Next Article in Journal
Simulation and Risk Assessment of Flood Disaster at the Entrance to a Rail Transit Station under Extreme Weather Conditions—A Case Study of Wanqingsha Station of Guangzhou Line 18
Next Article in Special Issue
Habitat Assessment of Bocachico (Prochilodus magdalenae) in Ciénaga de Betancí, Colombia, Using a Habitat Suitability Index Model
Previous Article in Journal
Modelling of Granular Sediment Transport in Steady Flow over a Mobile Sloped Bed
Previous Article in Special Issue
Monitoring the Landscape Pattern Dynamics and Driving Forces in Dongting Lake Wetland in China Based on Landsat Images
 
 
Font Type:
Arial Georgia Verdana
Font Size:
Aa Aa Aa
Line Spacing:
Column Width:
Background:
Article

Ecological Vulnerability Assessment of the Three Rivers Source Area Based on the Analytic Hierarchy Process

1
School of Environment and Resource, Southwest University of Science and Technology, Mianyang 621010, China
2
Mianyang S&T City Division of National Remote Sensing Center of China, Mianyang 621010, China
*
Author to whom correspondence should be addressed.
Water 2024, 16(14), 2023; https://doi.org/10.3390/w16142023
Submission received: 22 June 2024 / Revised: 11 July 2024 / Accepted: 15 July 2024 / Published: 17 July 2024

Abstract

The Three Rivers Source, known as the “Water Tower of China”, is the birthplace of the Yangtze River, Yellow River, and Lancang River. The carrying capacity and environmental capacity of its ecological environment affect the ecological balance and resource utilization in the surrounding areas of the Three Rivers Source region, and are even closely related to the country’s ecology and economy. Taking the Three Rivers Source region as the research object, this paper selects six indicator layers and their corresponding 23 indicator items that affect the ecological vulnerability of the region. Nine professors in the field of ecological environment were invited to score and screen the indicators. Finally, a judgment matrix was established, and the Analytic Hierarchy Process (AHP) was used to comprehensively evaluate the ecological vulnerability of the Three Rivers Source region. The research results show that the most significant factor affecting the ecological vulnerability of the Three Rivers Source region is the reduction in ecological area, with a weight of up to 23.4%. This factor is followed by changes in terrain, growth and development environment, ground trampling effects, changes in vegetation structure, and potential changes in the integrity of natural vegetation. Their weights are 19.8%, 18.5%, 15.4%, 13.8%, and 12.3%, respectively. The weight of reduction in area is approximately 1.6 times higher than the potential impact on the integrity of natural vegetation. Changes in soil environment and terrain are the primary factors affecting ecological vulnerability. The lower the potential integrity of vegetation, the more fragile the ecosystem. Among the 20 research sites in the Three Rivers Source region, one has an extremely fragile ecological environment, and only six sites do not require excessive intervention. By analyzing and evaluating the different influencing factors of ecological vulnerability in the Three Rivers Source region, this study formulates corresponding ecological strategies to ensure the ecological restoration and sustainable development of the Three Rivers Source region. It provides a theoretical basis for the protection, management, and ecological construction of the Three Rivers Source region.

1. Introduction

Ecological vulnerability refers to the sensitive response and self-recovery ability of the ecological environment to external disturbances under specific regional conditions. It is an inherent attribute of the ecosystem, and its regional and objective nature is the result of internal succession, natural factors, and human activities [1,2,3]. But in recent years, with the continuous development of the social economy and the acceleration of urban expansion, ecological problems have gradually emerged and even disrupted the balance of the ecosystem under the joint influence of natural environment and human activities [4,5]. The deteriorating ecosystem has a significant impact on social and economic development as well as human health [6,7,8]. The Three Rivers Source region, known as China’s water tower, is the birthplace of the Yangtze River, Yellow River, and Lancang River. Its ecological vulnerability is of great significance for the protection and rational development and utilization of the ecological environment in surrounding areas and even the whole country [9,10]. Therefore, real-time monitoring and evaluation of ecological vulnerability in the Three Rivers Source area can not only provide a basis for regional economic development and environmental protection, but also have important theoretical significance for the rational development and utilization of regional resources and the sustainable development of the region [11,12]. Research on ecological vulnerability has been conducted for a long time both domestically and internationally. Overall, current research on ecological vulnerability mainly focuses on the impact of ecological vulnerability analysis models and their causes on the characteristics and types of ecological vulnerability [13,14,15]. Li et al. proposed a TOPSIS model based on the entropy weight method, analyzed the vulnerability of scenic spots, and standardized and graded the evaluation indicators [3]. Zheng et al. developed a new ecological vulnerability index based on big Earth data to evaluate the vulnerability of protected areas, and successfully applied it in case studies of international nature reserves such as the Black Sea [16]. Zhang et al. evaluated the ecological vulnerability of the middle and lower reaches of the Han River Basin based on causal theory, and ultimately proposed a watershed-scale ecological vulnerability evaluation system [17]. Wang et al. constructed a multi indicator evaluation system using a vulnerability range map and applied it to the ecological vulnerability assessment of Zhongwei City, ultimately obtaining that the annual average temperature is an important indicator affecting ecological vulnerability [18]. Hou et al. summarized the ecological vulnerability assessment articles published from 2000 to 2022 and proposed the application of quantitative analysis to identify regulatory factors, exploring new research perspectives on the transformation of ecological vulnerability [19]. Qi et al. proposed a vulnerability assessment method based on spatial heterogeneity to address the issue of significant errors in water resource vulnerability assessments [20]. Yuan et al. proposed a vulnerability evaluation method based on dynamic weighting to address the issue of poor comparability of vulnerability indicators in different research areas [21].
The above research has yielded many valuable achievements. However, due to the differences in natural geographical and human environments in different regions, there are significant differences in the factors affecting ecological vulnerability. Therefore, the selection of quantitative evaluation models and parameters should be based on specific research fields. The Three Rivers Source region has a fragile ecological environment, harsh climatic conditions, and severe water and soil erosion. In recent years, due to factors such as deforestation, reclamation, engineering construction, and overgrazing, its ecological environment has continued to deteriorate, seriously affecting the sustainable and healthy development of the social economy in the middle and lower reaches of the Three Rivers Source region [22,23,24]. The Three Rivers Source region has unique natural geographical and human environments. In view of the current ecological environment of the Three Rivers Source region, this paper selects six comprehensive evaluation indicator layers that reflect the ecological vulnerability of the study area, including vegetation structure, potential natural vegetation integrity, regional surface water level decline, landform and geomorphology, growth environment changes, and trampling effects. The six comprehensive evaluation indicator layers collectively encompass a total of 23 specific indicator items. Nine professors in the field of ecological environment were invited to score and screen the evaluation indicators. Subsequently, a judgment matrix was established, and an ecological vulnerability evaluation index model was constructed using the Analytic Hierarchy Process (AHP) to analyze the impact weight of each indicator [25,26]. Finally, the ecological vulnerability levels of 20 study sites in the Three Rivers Source region were obtained, and a vulnerability assessment and analysis of the ecological environment in the Three Rivers Source region were conducted. Based on the vulnerability levels, corresponding ecological strategies were formulated to ensure the ecological restoration and sustainable development of the Three Rivers Source region.

2. Overview of the Research Area

The Three Rivers Source area is located in the southern part of Qinghai Province, China, and lies within 31°39′–36°12′ N latitudes and 89°45′–102°23′ E longitudes (Figure 1). Located in the hinterland of the Qinghai–Tibet Plateau, it is the source of the Yangtze River, Lancang River, and Yellow River, and includes 4 autonomous prefectures and 16 counties, with a total area of 3.0 × 105 m2. The distribution of land use in the Three Rivers Source area is shown in Figure 2. The average altitude is 3500–4800 m, and the terrain is complex and variable. The climate conditions are poor and the wind speed is high. The average annual rainfall is 300–400 mm, and the rainfall is concentrated and mostly rainstorms, which belongs to the typical plateau continental climate. The soil is mainly formed from loess and sediment, with poor resistance to wind erosion. Grassland degradation is severe, with low soil and water conservation capacities.

3. Selection of Evaluation Indicators and Construction of Models

This study adopts the Analytic Hierarchy Process (AHP) evaluation method based on the differential impacts of the research objects, considering both the structural and functional aspects that affect ecological vulnerability. Wang et al.’s method in indicator selection was combined with on-site investigation of ecological differences and vegetation conditions in the Three Rivers Source area [27]. Finally, on a relatively unified basis, the Delphi method was comprehensively applied, and after three rounds of information collection and organization, a total of nine professors in the field of ecological environment from Sichuan University, Chongqing University, and Southwest University of Science and Technology were selected to score and screen the indicators [28,29,30]. The evaluation index system consists of three levels: a target layer, criterion layer, and indicator layer. The indicator layer includes six aspects, including changes in vegetation structure, integrity of potential natural vegetation, reduction in regional area, terrain changes, changes in ecological environment, and trampling effects, along with 23 indicator items, forming independent factors that are not repetitive with each other. The ecological vulnerability model was determined by screening indicators. The main body consisted of three parts: target layer (a), criterion layer (b), and indicator layer (c). By decomposing the problem layer-by-layer into interrelated levels, and then analyzing and decomposing the problem, indicator items could be formed for evaluation. The specific evaluation system is shown in Table 1.
After establishing an evaluation model, a questionnaire survey was conducted using expert scoring to further determine the various indicator factors (The questionnaire content is shown in Table 2). We processed the obtained data to construct a judgment matrix for the relative importance of indicators at each level. Then, we calculated the corresponding weight values, verified the consistency of indicators at each level through judgment, and calculated the weights of each factor to evaluate the vulnerability of the ecological environment. The specific steps are as follows:
(1) Identify the factors affecting ecological vulnerability. Establish a hierarchical structure model; extract influencing factors and divide them into different levels based on membership and cross relationships. Connect attributes and aggregate indicators into a progressive hierarchical model.
(2) Compare the factors in the same layer pairwise, determine the importance of each factor in the same layer, and form a judgment matrix. The importance of factors can be divided into 9 levels, corresponding to integers between 1–9, with the most important being 9 and the least important being 1 (Table 3) [31,32].
Construct a judgment matrix. Use A to represent the goal, and ui and uj (i, j = 1, 2, …, n) to represent the factors. uij represents the relative importance value of ui to uj. The A–U judgment matrix P composed of uij is:
P w = u 11 u 12 u 1 n u 21 u 22 u 2 n u n 1 u n 2 u n n
(3) Conduct unified processing of the matrix; the eigenvector of the maximum eigenvalue of the matrix represents the relative weight between influencing factors, and the relative weight coefficients of each evaluation indicator can be obtained.
(4) Conduct consistency test: Calculate CR and CI values. Only when CR < 0.1, can the reliability of the questionnaire answer be determined by the consistency ratio, which is considered an “appropriate test” [33,34].
Consistency indicators:
C R = λ max R I n 1
In Equation (2), λ max is the maximum eigenvalue of the judgment matrix; n is the order of the judgment matrix; CR is a consistency indicator; and RI is the average random consistency index, and the value pattern is shown in Table 4.
(5) After determining the weights of the indicators, calculate the weighted sum of each indicator layer-by-layer to obtain the ecological vulnerability index. The calculation formula is:
e v i = i = 1 a i × p i
In Equation (3), evi is the vulnerability index; ai is the weight of each evaluation indicator; and pi is the standardized score for each evaluation indicator.
(6) Using the weighted values of the evaluation items, use a relative evaluation table with a total score of 100 points to quantitatively evaluate the vulnerability of the ecological environment (Table 5).

4. Results and Discussion

4.1. Calculation and Analysis of Indicator Weights

We conducted a questionnaire survey on the evaluation items in the indicator layer. All questionnaires passed consistency verification, with an overall average consistency ratio of 0.006, demonstrating high logical coherence and confirming the effectiveness of the model. According to the analysis ratio of weight values in Table 5, it can be seen that the reduction in regional area in the ecological environment is the biggest influencing factor, with a weight value as high as 23.4%. Next are changes in terrain, growth and development environment, ground trampling effects, changes in vegetation structure, and potential changes in natural vegetation integrity. The proportions are 19.8%, 18.5%, 15.4%, 13.8%, and 12.3%, respectively. The impact of regional scale reduction compared to the integrity of natural vegetation is about 1.6 times higher. Therefore, in the ecological restoration and reconstruction of the Three Rivers Source area, it is necessary to strengthen the control on the ecological surface level. Based on the analysis of Table 6, the indicator items were further weighted to obtain the weights of detailed evaluation items for each element (Table 7).
According to the analysis of the ecological vulnerability impact factors in Table 7, it can be concluded that, when both the shrub layer and the herbaceous layer degrade, the impact on the ecosystem is highest. Next are the degradation of the shrub layer and the degradation of the herbaceous layer. When there is no change in vegetation structure, a similarity weight value of 16.9% is obtained, and the consistency ratio is 0.006, which passes the test. Vegetation degradation has a significant impact on ecological systems, and it is necessary to maintain the integrity and sustainability of the ecosystem, so that the results are coherent.
According to the weight analysis results, the lower the composition of potential vegetation integrity, the more fragile the ecosystem is. The weight analysis of terrain and landform changes shows that the highest weight is 43.2% when the terrain and landform changes reach more than 50%. The difference in weight values between when the terrain changes by less than 25% and when there is no terrain change is very small. The weight analysis of soil environmental changes shows that the highest weighted value occurs when the soil environmental changes exceed 50%. The comparison of the three elements of “strong, medium, and weak” in the stampede effect shows that “strong” accounts for 35.6%, “medium” accounts for 33.1%, and “weak” accounts for 31.3%. Through the weight and evaluation analysis of the above indicators, it can be concluded that the reduction in ecological environment area is the most important factor for the instability of the ecosystem. The smaller the area is reduced to, the greater the weight value, so it is necessary to strengthen the protection of ecological environment area.

4.2. Evaluation Index Results and Analysis

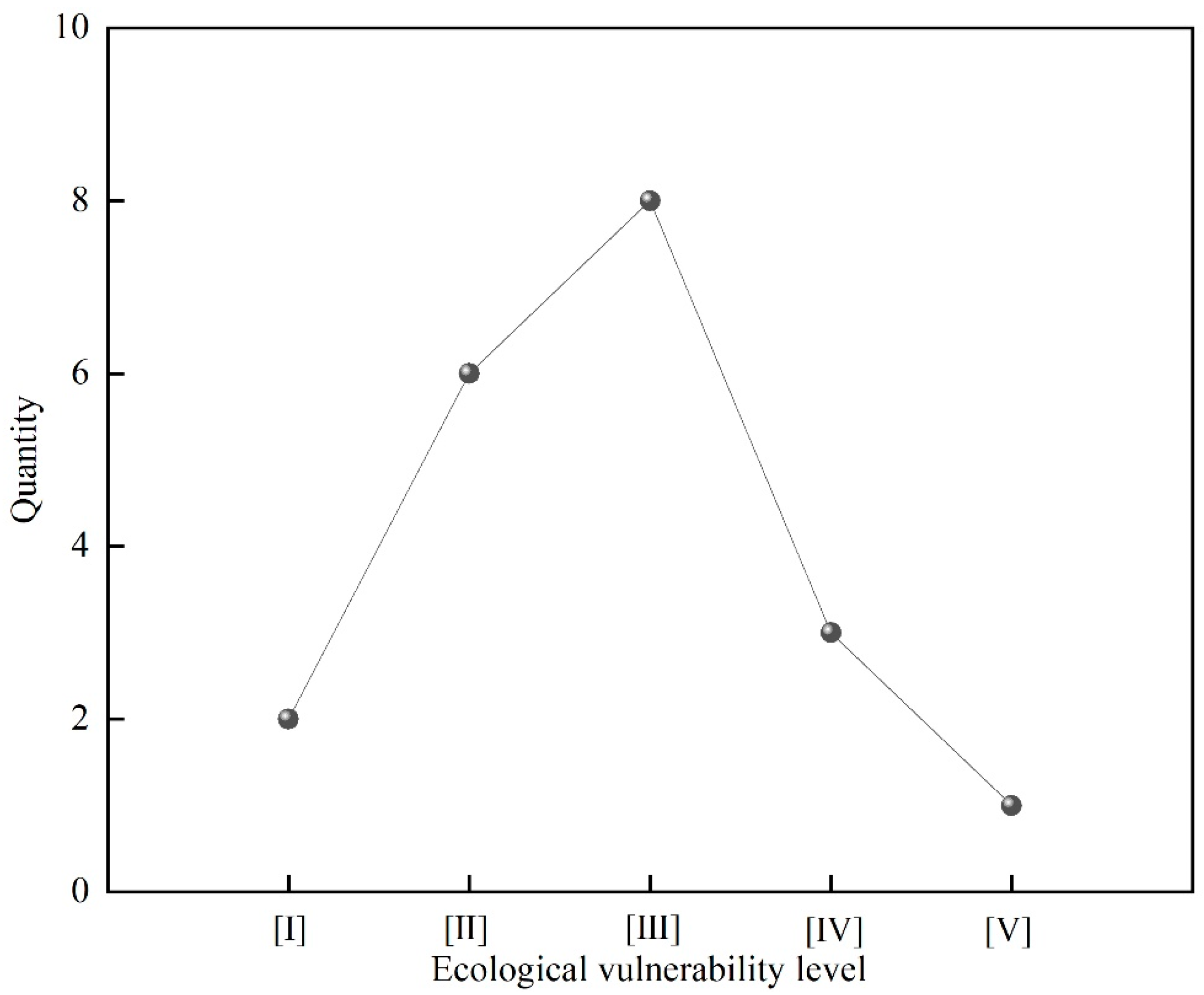
Judging from the weight distribution and comprehensive evaluation results of ecological vulnerability assessment indicators, the weight of area reduction is as high as 23.4%, which has become the biggest threat factor affecting ecological vulnerability. This is because area reduction refers to the area occupied by human activities, human engineering and construction activities in the original vegetation area, breaking the ecological balance [35,36]. In addition, existing studies have proven that it is difficult to restore the original ecology through the self-regulation of the ecological environment, and artificial intervention should be carried out [37]. The degradation degree of potential vegetation integrity has a weight of 12.3%, which is the factor with the least impact on ecological vulnerability and has a relatively low impact on ecological vulnerability. In the assessment of factors affecting the reduction in ecosystem area, the vast majority of the reduction in ecosystem area occurs in industrial construction areas. The increase in human construction activities directly endangers the growth space of vegetation in the ecological environment. The reduction in the area of ecosystems located in industrial construction areas accounts for 80.3% of the total reduction in ecosystem area, indicating that there is a close relationship between the reduction in ecosystem area and land use patterns (Figure 3 for ecosystem area degradation). Industrial construction in the Three Rivers Source region should avoid areas with poor ecological vulnerability. Changes in topography and landforms are the second largest vulnerability assessment factor after area reduction, with a weight of 18.5%. This is because changes in topography and landforms can directly interfere with the ecological environment, affect vegetation development, simplify vegetation structure, and reduce quality, thereby further reducing ecological area [38]. According to the assessment results, changes in soil environment and trampling will directly lead to the compression of vegetation growth space. Secondly, trampling leads to the reduction and disappearance of soil pores, the deterioration of soil permeability and infiltration, and further leads to the decline of the environmental quality of plant habitats, posing a threat to the sustainability of the ecological environment [39]. Due to frequent human activities, most ecological environments are subject to trampling, resulting in a decline in the quality of their growth environment. In addition, the disappearance of existing vegetation seed banks and the invasion of exotic plant species are also important factors that hinder and affect tree growth and vegetation restoration, leading to secondary degradation of the ecological environment [40,41]. At the same time, the Analytic Hierarchy Process, indicator layers, and items selection also have their limitations, including the subjectivity of experts. It is also unrealistic to fully cover all indicators of ecological vulnerability in the indicator layer and items selection. However, we selected nine experienced experts in the field of ecological environment to rate the questionnaire in order to minimize the influence of subjective evaluation results from the experts. Meanwhile, the literature has shown that the Analytic Hierarchy Process (AHP), the indicator layers selected in this paper, and the items used for environmental vulnerability assessment are feasible and efficient [42,43]. In the ecological vulnerability assessment of 20 locations in the study area, the average value of ecosystem vulnerability caused by six factors was 46.31 points. Figure 4 shows the distribution map of ecological vulnerability levels for the 20 locations. According to Figure 5, there is one location with an extremely vulnerable ecological environment, which is at level V and requires an emergency plan to overcome ecological vulnerability. There are three locations with sustainable ecological environment vulnerability at level IV. There are two locations with vulnerability level I, which are less disturbed by biological and non-biological factors. There are six locations with vulnerability level II, which do not require excessive intervention. There are eight locations with vulnerability level III, which can be managed to maintain the sustainability of the ecosystem.

5. Conclusions

This study uses the Analytic Hierarchy Process to select the Three Rivers Source as the research object and establish an evaluation index system to comprehensively evaluate its ecological vulnerability. According to the analysis of the results, it can be concluded that the vegetation structure in the Three Rivers Source area has severely degraded, and the quality of vegetation structure is low. From a long-term perspective, the structural restoration of the ecological environment is necessary, and it is necessary to establish a multi-layer vegetation structure with potential natural vegetation composition in the region to ensure sustainable development. An evaluation of the factors affecting the reduction in ecosystem area revealed that, due to the influence of human development and utilization, the area of the ecosystem is continuously shrinking. Therefore, it is necessary to set the autonomous scope for the development and utilization of the Three Rivers Source. At the same time, it is necessary to promote and educate local residents, and work together with multiple parties to complete the protection work. By establishing an evaluation index system to assign weight values to various factors that pose a long-term threat to the ecosystem, the influencing factors that threaten the ecosystem have been determined. By analyzing the evaluation results, emergency management plans can be provided for areas with high vulnerability. There is currently no unified standard or specification for ecological vulnerability assessment indicators and methods. This study evaluates ecological vulnerability. Although it does not have spatial comparability, it can provide a certain reference basis for ecological restoration and environmental construction, and also play a certain reference and promotion role in establishing and using the ecological environment of the Three Rivers Source area.

Author Contributions

Conceptualization, J.L. and Z.Y.; validation, J.L.; methodology, Y.F. and C.W.; formal analysis, Z.Y.; writing—original draft, J.L.; writing—review and editing, Y.F. and C.W.; data curation and funding acquisition, J.L. All authors have read and agreed to the published version of the manuscript.

Funding

This study was financially supported by the Third Xinjiang Scientific Expedition Program (Grant No. 2021xjkk14); the Talent Introduction Fund Project of Southwest University of Science and Technology (No. 21ZX7160; No. 21ZX7154).

Data Availability Statement

Data are contained within the article.

Conflicts of Interest

The authors declare no conflicts of interest.

References

  1. Hou, K.; Tao, W.; Wang, L.; Li, X. Study on hierarchical transformation mechanisms of regional ecological vulnerability and its applicability. Ecol. Indic. 2020, 114, 106343. [Google Scholar] [CrossRef]
  2. Lan, G.; Jiang, X.; Xu, D.; Guo, X.; Wu, Y.; Liu, Y.; Yang, Y. Ecological vulnerability assessment based on remote sensing ecological index (RSEI): A case of Zhongxian County, Chongqing. Front. Environ. Sci. 2023, 10, 1074376. [Google Scholar] [CrossRef]
  3. Li, J. Evaluation method of ecological vulnerability of scenic spots based on entropy weight TOPSIS model. Int. J. Environ. Technol. Manag. 2023, 26, 14–26. [Google Scholar] [CrossRef]
  4. Hyrynsalmi, S.; Mantymaki, M. Is Ecosystem Health a Useful Metaphor? Towards a Research Agenda for Ecosystem Health Research. In Proceedings of the 17th International-Federation-of-Information-Processing (IFIP) WG 6.11 Conference on e-Business, e-Services, and e-Society (I3E), Gulf Univ Sci & Technol, Kuwait City, Kuwait, 30 October–1 November 2018. [Google Scholar]
  5. Zhu, T.; Zhang, S.; Wang, Y.; Wang, C.; Wang, H. Integrated Assessment and Restoration Pathways for Holistic Ecosystem Health in Anxi County, China. Sustainability 2023, 15, 15932. [Google Scholar] [CrossRef]
  6. Yang, F.; Zhao, H. Progress in radiotherapy for small-cell lung cancer. Precis. Radiat. Oncol. 2023, 7, 207–217. [Google Scholar] [CrossRef]
  7. Kiladze, I.; Chkhaidze, L.; Iovashvili, A.; Natelauri, E.; Sokurashvili, B.; Mariamidze, E.; Kacheishvili, N.; Jeremic, B. Definitive chemoradiotherapy in elderly patients with esophageal cancer: Safety and outcome. Precis. Radiat. Oncol. 2023, 7, 51–58. [Google Scholar] [CrossRef]
  8. Zhang, Z.; Chen, X.; Yuan, T. Precision radiotherapy for nasopharyngeal carcinoma. Precis. Radiat. Oncol. 2024, 8, 37–41. [Google Scholar] [CrossRef]
  9. Cui, C. The Study of Ecological Environment Evolution and Countermeasures in Source Area of the Three Rivers. In Proceedings of the 5th International Yellow River Forum on Ensuring Water Right of the River’s Demand and Healthy River Basin maintenance, Minist Water Resources, Yellow River Conservancy Commiss, Zhengzhou, China, 24–28 September 2012. [Google Scholar]
  10. Zeng, Y.; Wang, L.-E.; Zhong, L. Future Risk of Tourism Pressures under Climate Change: A Case Study in the Three-River-Source National Park. Remote Sens. 2022, 14, 3758. [Google Scholar] [CrossRef]
  11. Cheng, H.J. The Coupled Model of Melting Snow and Frozen Soil in Three-River Source Area. Master’s Thesis, Hohai University, Nanjing, China, 2011. [Google Scholar]
  12. Liu, X.; Zhang, J.; Zhu, X.; Pan, Y.; Liu, Y.; Zhang, D.; Lin, Z. Spatiotemporal changes in vegetation coverage and its driving factors in the Three-River Headwaters Region during 2000–2011. J. Geogr. Sci. 2014, 24, 288–302. [Google Scholar] [CrossRef]
  13. Chen, P.; Hou, K.; Chang, Y.; Li, X.; Zhang, Y. Study on the Progress of Ecological Fragility Assessment in China. In Proceedings of the 3rd International Conference on Advances in Energy Resources and Environment Engineering (ICAESEE), Harbin, China, 8–10 December 2017. [Google Scholar]
  14. He, C.; Wu, H.; Zhou, Q.; Wang, F.; Li, H. Gis Analysis of Changes in Environmental Fragility in the Yinchuan, China. Fresenius Environ. Bull. 2018, 27, 5391–5398. [Google Scholar]
  15. Nicholson, S.K.; Dickman, A.; Hinks, A.; Riggio, J.; Bauer, H.; Loveridge, A.; Becker, M.; Begg, C.; Bhalla, S.; Burnham, D.; et al. Socio-political and ecological fragility of threatened, free-ranging African lion populations. Commun. Earth Environ. 2023, 4, 302. [Google Scholar] [CrossRef]
  16. Zheng, Y.; Wang, S.; Cao, Y.; Shi, J.; Qu, Y.; Li, L.; Zhao, T.; Niu, Z.; Yang, R.; Gong, P. Assessing the ecological vulnerability of protected areas by using Big Earth Data. Int. J. Digit. Earth 2021, 14, 1624–1637. [Google Scholar] [CrossRef]
  17. Zhang, H.; Lin, X.; Yu, G.; Huang, X.; Jing, G. Ecological vulnerability assessment in the middle and lower reaches of the Hanjiang River Basin. In Proceedings of the 3rd International Conference on Bioinformatics and Biomedical Engineering, Beijing, China, 11–13 June 2009. [Google Scholar]
  18. Wang, Z.; Xiong, H.; Zhang, F.; Qiu, Y.; Ma, C. Sustainable development assessment of ecological vulnerability in arid areas under the influence of multiple indicators. J. Clean. Prod. 2024, 436, 140629. [Google Scholar] [CrossRef]
  19. Hou, K.; Tao, W.; He, D.; Li, X. A new perspective on ecological vulnerability and its transformation mechanisms. Ecosyst. Health Sustain. 2022, 8, 2115403. [Google Scholar] [CrossRef]
  20. Qi, A.N.; Wu, Q.; Zhao, G.L. Research on the vulnerability of ecological water resources under continuous precipitation based on spatial heterogeneity. Int. J. Environ. Technol. Manag. 2021, 24, 231–247. [Google Scholar] [CrossRef]
  21. Yuan, X.M.; Guo, B. Dynamic Monitoring of the Ecological Vulnerability for Multi-Type Ecological Functional Areas during 2000–2018. Sustainability 2022, 14, 15987. [Google Scholar] [CrossRef]
  22. Zhang, W.; Chen, J.; Peng, J. Ecological change of the Source Region of Three Rivers during last 30 years based on satellite and ground observations. In Proceedings of the International Workshop on Earth Observation and Remote Sensing Applications, Beijing, China, 30 June–2 July 2008. [Google Scholar]
  23. Zhang, Y.; Zhang, S.; Zhai, X.; Xia, J. Runoff variation and its response to climate change in the Three Rivers Source Region. J. Geogr. Sci. 2012, 22, 781–794. [Google Scholar] [CrossRef]
  24. Li, F.; Wang, W.; Yin, Y.; Zhang, S. Climate control on summer precipitation in the Source Region of Three Rivers, China: East or South Asian summer monsoon? Hydrol. Sci. J. 2020, 65, 242–253. [Google Scholar] [CrossRef]
  25. Cui, D.H.; Zhang, X.Y. Application of Gray Analytic Hierarchy Process in Project Risk Evaluation. In Proceedings of the International Conference on Artificial Intelligence and Computational Intelligence, Shanghai, China, 7–8 November 2009. [Google Scholar]
  26. Díaz, H.; Teixeira, A.; Soares, C.G. Application of Monte Carlo and Fuzzy Analytic Hierarchy Processes for ranking floating wind farm locations. Ocean. Eng. 2022, 245, 110453. [Google Scholar] [CrossRef]
  27. Wang, J.; An, B. Comprehensive Evaluation of Forest Health Status of Guangxi State owned Paiyangshan Forest Farm Based on Analytic Hierarchy Process. J. West China For. Sci. 2022, 51, 711–724. [Google Scholar]
  28. van Zolingen, S.J.; Klaassen, C.A. Selection processes in a Delphi study about key qualifications in Senior Secondary Vocational Education. Technol. Forecast. Soc. Chang. 2003, 70, 317–340. [Google Scholar] [CrossRef]
  29. Lund, B.D. Review of the Delphi method in library and information science research. J. Doc. 2020, 76, 929–960. [Google Scholar] [CrossRef]
  30. Fathullah, M.A.; Subbarao, A.; Muthaiyah, S. Methodological Investigation: Traditional and Systematic Reviews as Preliminary Findings for Delphi Technique. Int. J. Qual. Methods 2023, 22, 16094069231190747. [Google Scholar] [CrossRef]
  31. Jin, F.; Zhou, Z.; Ma, Y.; Chen, Y. Satisfactory consistency judgement and inconsistency adjustment of linguistic judgement matrix. Appl. Math. Nonlinear Sci. 2022, 8, 2091–2102. [Google Scholar] [CrossRef]
  32. Zhang, R.; Gao, C.; Chen, X.; Li, F.; Yi, D.; Wu, Y. Genetic algorithm optimised Hadamard product method for inconsistency judgement matrix adjustment in AHP and automatic analysis system development. Expert Syst. Appl. 2023, 211, 118689. [Google Scholar] [CrossRef]
  33. Lin, C.; Kou, G.; Ergu, D. A statistical approach to measure the consistency level of the pairwise comparison matrix. J. Oper. Res. Soc. 2014, 65, 1380–1386. [Google Scholar] [CrossRef]
  34. Zarifian, T.; Ahmadi, A.; Ebadi, A. Development and measurement of psychometric properties of the Persian test of speech consistency in children with typical development. Appl. Neuropsychol. Child 2022, 11, 226–234. [Google Scholar] [CrossRef]
  35. Wang, Y.; Wang, Z.; Li, R.; Meng, X.; Ju, X.; Zhao, Y.; Sha, Z. Comparison of Modeling Grassland Degradation with and without Considering Localized Spatial Associations in Vegetation Changing Patterns. Sustainability 2018, 10, 316. [Google Scholar] [CrossRef]
  36. Yang, H.; Yao, L.; Wang, Y.; Li, J. Relative contribution of climate change and human activities to vegetation degradation and restoration in North Xinjiang, China. Rangel. J. 2017, 39, 289–302. [Google Scholar] [CrossRef]
  37. Liu, X.; Wang, X.; Chen, K.; Li, D. Simulation and prediction of multi-scenario evolution of ecological space based on FLUS model: A case study of the Yangtze River Economic Belt, China. J. Geogr. Sci. 2023, 33, 373–391. [Google Scholar] [CrossRef]
  38. Li, J.; Ke, X.; Wang, X.; Wang, L.; Luo, J.; Feng, S. Analysis of soil organic carbon composition characteristics and causes in Wuming region Karst landforms, Nanning, Guangxi Province, China. Environ. Earth Sci. 2024, 83, 349. [Google Scholar] [CrossRef]
  39. Hu, W.; Drewry, J.; Beare, M.; Eger, A.; Müller, K. Compaction induced soil structural degradation affects productivity and environmental outcomes: A review and New Zealand case study. Geoderma 2021, 395, 115035. [Google Scholar] [CrossRef]
  40. Li, C.; Li, Y.; Xu, Z.; Zhong, S.; Cheng, H.; Liu, J.; Yu, Y.; Wang, C.; Du, D. The effects of co-invasion by three Asteraceae invasive alien species on plant taxonomic and functional diversity in herbaceous ruderal communities in southern Jiangsu, China. Biol. Futur. 2024, 75, 205–217. [Google Scholar] [CrossRef] [PubMed]
  41. Park, J.S.; Yun, J.-H.; Choi, J.-Y.; Kim, J.-C.; Lee, J.; Song, H.-R. Multivariate Associations between Environmental Variables and the Invasion of Alien Plants in Floodplain Waterfront Parklands along the Nakdong River. J. Plant Biol. 2019, 62, 400–409. [Google Scholar] [CrossRef]
  42. Hu, X.; Ma, C.; Huang, P.; Guo, X. Ecological vulnerability assessment based on AHP-PSR method and analysis of its single parameter sensitivity and spatial autocorrelation for ecological protection A case of Weifang City, China. Ecol. Indic. 2021, 125, 107464. [Google Scholar] [CrossRef]
  43. Zhang, F.-R.; Suo, H. Ecological Tourism Bearing Capacity Assessment based on Analytic Hierarchy Process. In Proceedings of the 8th International Conference on Measuring Technology and Mechatronics Automation (ICMTMA), Macau, China, 11–12 March 2016. [Google Scholar]
Figure 1. Location of the study area.
Figure 1. Location of the study area.
Water 16 02023 g001
Figure 2. Distribution of land use in Three Rivers Source.
Figure 2. Distribution of land use in Three Rivers Source.
Water 16 02023 g002
Figure 3. Degradation distribution of ecosystem area.
Figure 3. Degradation distribution of ecosystem area.
Water 16 02023 g003
Figure 4. Map of the distribution of ecological vulnerability levels.
Figure 4. Map of the distribution of ecological vulnerability levels.
Water 16 02023 g004
Figure 5. Distribution of ecological vulnerability levels.
Figure 5. Distribution of ecological vulnerability levels.
Water 16 02023 g005
Table 1. Ecological vulnerability model of Three Rivers Source area.
Table 1. Ecological vulnerability model of Three Rivers Source area.
Target LayerCriterion LayerIndicator LayersDescribeIndicator Items
An Ecological vulnerability assessmentB1 Biological factorsC1 Vegetation structureThe degree of changes in vegetation structure caused by natural vegetationInvariant
Degradation of herbaceous layer
Degradation of Shrubs layer
Grass and shrub layer degradation
C2 Potential natural vegetation integrityThe degree of change in potential natural vegetation integrity0%
<25%
<50%
≥50%
C3 Regional area reductionThe degree to which the ecological environment has decreased due to human activities0%
<25%
<50%
≥50%
B2 Non biological factorsC4 Topographic featuresThe degree of terrain change0%
<25%
<50%
≥50%
C5 Changes in ecological environmentChanges in factors such as soil fertility, dryness and humidity, and temperature0%
<25%
<50%
≥50%
C6 Trampling effectsGround hardening caused by human activitiesWeak
Medium
Strong
Table 2. Expert scoring table for ecological vulnerability assessment.
Table 2. Expert scoring table for ecological vulnerability assessment.
Criterion LayerIndicator LayersIndicator ItemsScale
B1C1Invariant
Degradation of herbaceous layer
Degradation of shrubs layer
Grass and shrub layer degradation
C20%
<25%
<50%
≥50%
C30%
<25%
<50%
≥50%
B2C40%
<25%
<50%
≥50%
C50%
<25%
<50%
≥50%
C6Weak
Medium
Strong
Notes: The score range is between 0 and 10. A 0 indicates that the indicator is not important to the study area. A 10 indicates that this indicator is extremely important for the study area.
Table 3. The scale meaning of judgment matrix.
Table 3. The scale meaning of judgment matrix.
ScaleMeaning
1Both factors are equally important
3One factor is slightly more important than another factor
5One factor is more important than another factor
7One factor is significantly more important than another factor
9One factor is extremely important compared to another factor
2, 4, 6, 8The median value between adjacent scales mentioned above
ReciprocalThe judgment uij for comparing factor i with j, then the judgment uji for comparing factor j with i is 1/uij
Table 4. The 1st–9th order average random consistency index.
Table 4. The 1st–9th order average random consistency index.
n123456789
RI000.60.91.11.21.31.41.5
Table 5. Ecological vulnerability level and danger level.
Table 5. Ecological vulnerability level and danger level.
Vulnerability ScoreVulnerability LevelHazard Level
0–20[Ⅰ]High
21–40[Ⅱ]
41–60[Ⅲ]
61–80[Ⅳ]
81–100[Ⅴ]Low
Notes:↑indicates a gradual increase.↓indicates a gradual decrease.
Table 6. Factors and weights for ecological vulnerability assessment.
Table 6. Factors and weights for ecological vulnerability assessment.
ExpertC1C2C3C4C5C6CR
10.2600.2310.1240.1280.1450.1280.012
20.1400.0590.1320.1210.2420.3610.054
30.0650.0620.3650.2360.1590.1290.089
40.1140.0990.3290.2320.1210.1680.035
50.1320.1070.2980.1980.1980.1130.025
60.1310.1070.2800.2320.1590.1120.034
70.2250.2310.1680.1290.1520.1340.085
80.1280.1250.2790.1450.1850.1450.019
90.1130.3110.1850.1950.1260.1250.121
Total0.1380.1230.2340.1980.1850.1540.008
Table 7. Weight scores of each evaluation indicator and the proportion of the number of research areas.
Table 7. Weight scores of each evaluation indicator and the proportion of the number of research areas.
Indicator LayerWeightScoreIndicator ItemsWeightCRScoreNumber of
Research Areas
Percentage (%)
C10.14515Grass and shrub layer degradation0.5230.00515840
Degradation of shrubs layer0.2739840
Degradation of herbaceous layer0.1726210
Invariant0.0320210
C20.13813≥50%0.3400.00214630
<50%0.2598210
<25%0.1895420
0%0.2120840
C30.24726≥50%0.4130.01325210
<50%0.25613525
<25%0.1677630
0%0.1640735
C40.17217≥50%0.4320.0211915
<50%0.2131000
<25%0.17531050
0%0.1800945
C50.16915≥50%0.4280.01517420
<50%0.2688315
<25%0.1537315
0%0.15101050
C60.12914Weak0.3560.002161575
Medium0.33110315
Strong0.3133210
Disclaimer/Publisher’s Note: The statements, opinions and data contained in all publications are solely those of the individual author(s) and contributor(s) and not of MDPI and/or the editor(s). MDPI and/or the editor(s) disclaim responsibility for any injury to people or property resulting from any ideas, methods, instructions or products referred to in the content.

Share and Cite

MDPI and ACS Style

Liu, J.; Yi, Z.; Fang, Y.; Wu, C. Ecological Vulnerability Assessment of the Three Rivers Source Area Based on the Analytic Hierarchy Process. Water 2024, 16, 2023. https://doi.org/10.3390/w16142023

AMA Style

Liu J, Yi Z, Fang Y, Wu C. Ecological Vulnerability Assessment of the Three Rivers Source Area Based on the Analytic Hierarchy Process. Water. 2024; 16(14):2023. https://doi.org/10.3390/w16142023

Chicago/Turabian Style

Liu, Jiao, Zhenyan Yi, Yahui Fang, and Caiyan Wu. 2024. "Ecological Vulnerability Assessment of the Three Rivers Source Area Based on the Analytic Hierarchy Process" Water 16, no. 14: 2023. https://doi.org/10.3390/w16142023

APA Style

Liu, J., Yi, Z., Fang, Y., & Wu, C. (2024). Ecological Vulnerability Assessment of the Three Rivers Source Area Based on the Analytic Hierarchy Process. Water, 16(14), 2023. https://doi.org/10.3390/w16142023

Note that from the first issue of 2016, this journal uses article numbers instead of page numbers. See further details here.

Article Metrics

Back to TopTop