Experimental Study on the Hydraulic Performance of the Horizontal Main Drain of Building Drainage Systems Affected by Surfactants Sodium Dodecyl Benzene Sulfonate and Alkyl Ethoxylate-9
Abstract
1. Introduction
2. Materials and Methods
2.1. Experimental Equipment and System
2.1.1. Experimental System
2.1.2. Test Equipment
- Rotational Viscometer
- 2.
- Nano-particle size and potential analyzer
- 3.
- ZR4-6 coagulation test mixer
2.2. Materials
2.2.1. Polypropylene Balls
2.2.2. Solid Simulant
2.2.3. Surfactants
2.3. Methods
2.3.1. Test Conditions
2.3.2. Determining Viscosity
2.3.3. Determining Colloidal Particle Size
2.3.4. Measuring Foam Property
2.3.5. Hydraulic Jump and Full-Degree Test
2.3.6. Air Pressure Test
2.3.7. Water Velocity Test
2.3.8. Solid Simulant Transportation Distance Test
3. Results and Discussion
3.1. Physical Properties of SDBS and AEO-9
3.1.1. Viscosity
3.1.2. Foaming Property
3.1.3. Colloidal Particle Size
3.2. Air Pressure in Drainage Horizontal Main Drain
3.2.1. Hydraulic Jump and Full Degree in the Drainage Horizontal Main Drain
3.2.2. Air Pressure of Drainage Horizontal Main Drain
3.3. Drainage Horizontal Main Drain Solids Transportation Performance
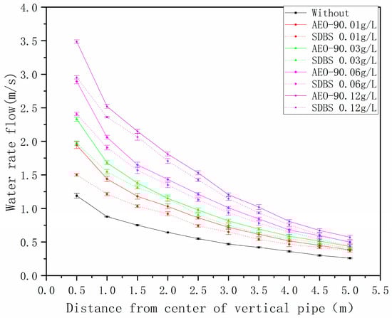
3.3.1. Water Velocity of Drainage Horizontal Main Drain
3.3.2. Deposition Distances of Solid Simulant
4. Conclusions
Author Contributions
Funding
Data Availability Statement
Conflicts of Interest
References
- Lei, F.; Xiao, L.; Gao, Y.; Li, L. Study on the bacteriostatic properties of piroctone ethanolamine salts in commonly used surfactant systems. Sci. Dly. Use Chem. 2022, 45, 18–22. [Google Scholar]
- Ye, D. Application of surfactants in household detergents. Sci. Technol. Wind 2018, 144P. [Google Scholar] [CrossRef]
- Liu, H. A Brief Discussion on the Characteristics and Applications of Non ionic Surfactants. Leather Chem. Ind. 2012, 8. [Google Scholar] [CrossRef]
- Peng, Y.; Xu, M.; Lin, S.; Li, Q. Research on synthesis methods and market development of non-ionic surfactants. Appl. Chem. 2023, 52, 546–550. [Google Scholar] [CrossRef]
- Tang, X.; Wu, C.; Li, C.; Li, B. Characterization and application of fatty alcohol polyoxyethylene ethers. Sci. Dly. Chem. 2012, 35, 22–24. [Google Scholar] [CrossRef]
- Ma, X. Some problems of building drainage technology development. Water Supply Drain. 2007, S2, 74–80. [Google Scholar]
- Savins, J.G. A stress-controlled drag-reduction phenomenon. Rheol. Acta 1967, 6, 323–330. [Google Scholar] [CrossRef]
- Wang, H.; Guo, W.; Zheng, C.; Wang, D.; Zhan, H. Effect of temperature on foaming ability and foam stability of typical surfactants used for foaming agent. J. Surfactants Deterg. 2017, 20, 615–622. [Google Scholar] [CrossRef]
- Wang, J.; Li, Z.; Fan, G.; Ye, C.; Li, G.; Cao, Y. Free drainage and bubble size for aqueous foams stabilized by sodium dodecyl benzene sulpho-nate. Destil. Water Treat. 2019, 156, 59–67. [Google Scholar] [CrossRef]
- Zhang, D.; Bai, Y.; Shen, J.; Wang, G. Surface activities and wetting behavior of fluorocarbon-cationic and hydrocarbon-anionic sur-factant mixtures in dilute solutions. J. Mol. Liq. 2019, 286, 110947. [Google Scholar] [CrossRef]
- Arabadzhieva, D.; Tchoukov, P.; Mileva, E. Impact of adsorption layer properties on drainage behavior of microscopic foam films: The case of cationic/nonionic surfactant mixtures. Colloids Interfaces 2020, 4, 53. [Google Scholar] [CrossRef]
- Xuan, Y.; Ni, X.; Yu, J. The influence of common binary surfactant complex systems on foaming ability. J. East China Univ. Sci. Technol. 2022, 48, 449–455. [Google Scholar] [CrossRef]
- Yang, A.; McKenzie, B.E.; Yi, Y.; Khair, A.S.; Garoff, S.; Tilton, R.D. Effect of polymer/surfactant complexation on diffusiophoresis of colloids in surfactant concentration gradients. J. Colloid Interface Sci. 2023, 642, 169–181. [Google Scholar] [CrossRef] [PubMed]
- Li, H.R.; Wu, S.H.; Yang, C.P. Performance and biomass characteristics of sbrs treating high-salinity wastewater at presence of anionic surfactants. Int. J. Environ. Res. Public Health 2020, 17, 2689. [Google Scholar] [CrossRef]
- Yin, C.; Li, Y.; Zhang, T.; Liu, J.; Yuan, Y.; Huang, M. Effects of exposure to anionic surfactants (SDBS and SDS) on nitrogen removal of aerobic denitrifier. Water Environ. Res. 2020, 92, 2129–2139. [Google Scholar] [CrossRef]
- Meng, J.; Wang, L.; Zhang, S.; Lyu, Y.; Xia, J. Effect of anionic/nonionic surfactants on the wettability of coal surface. Chem. Phys. Lett. 2021, 785, 139130. [Google Scholar] [CrossRef]
- Nie, W.; Liu, F.; Peng, H.; Xu, C.; Lei, C.; Akanyange, S.N.; Mwabaima, F.I. Study on the mechanism of surfactant droplet wetting and coagulation of respiratory dust: The case of AEO-9. J. Mol. Liq. 2024, 394, 123742. [Google Scholar] [CrossRef]
- Fichman, M.; Hetsroni, G. Electrokinetic aspects of turbulent drag reduction in surfactant solutions. Phys. Fluids 2004, 16, 4346–4352. [Google Scholar] [CrossRef]
- Matras, Z.; Kopiczak, B. Intensification of drag reduction effect by simultaneous addition of surfactant and high molecular polymer into the solvent. Chem. Eng. Res. Des. 2015, 96, 35–42. [Google Scholar] [CrossRef]
- Wang, X.; Zhao, M.; Wang, X.; Liu, P.; Fan, M.; Yan, X.; Ma, Z.; Zhang, Y.; Dai, C. Synergistic effect of dual hydrogen-donor deep eutectic solvent for performance improvement of fracturing-oil expulsion fluids. Chem. Eng. J. 2023, 468, 143728. [Google Scholar] [CrossRef]
- Meng, J.; Wang, J.; Wang, L.; Lyu, C.; Lyu, Y.; Nie, B. Effects of polymer-surfactant interactions on drag reduction performance and mechanisms: Molecular dynamics simulations and experimentation. Colloids Surf. A Physicochem. Eng. Asp. 2024, 684, 133126. [Google Scholar] [CrossRef]
- Campbell, D.P.; MacLeod, K.A. Detergency in drainage–waste–ventilation (DWV) systems. Build. Serv. Eng. Res. Technol. 2000, 21, 39–43. [Google Scholar]
- Campbell, D.P.; MacLeod, K.A. Detergents in drainage systems for buildings. Water Res. 2000, 18, 128–134. [Google Scholar] [CrossRef] [PubMed]
- Campbell, D.P. Surfactant effects on air pressure transients in building drainage, waste and ventilation (DWV) systems. Build. Environ. 2007, 42, 1989–1993. [Google Scholar] [CrossRef]
- Gormley, M.; Campbell, D.P. The effects of surfactant dosed water on solid transport in above ground near horizontal drainage systems. Build. Environ. 2007, 42, 707–716. [Google Scholar] [CrossRef]
- CJJ/T 245-2016; Standard for Testing the Drainage Capacity of Residential Domestic Drainage System Standdrains. Available online: https://www.doc88.com/p-6691787367502.html (accessed on 4 June 2024).
- GB6952-2015; Sanitary Ceramics. Available online: https://www.nssi.org.cn/nssi/front/88075770.html (accessed on 4 June 2024).
- Zhang, Z.; Li, J.; Gao, N. Research on the sanitation and safety of the water environment in buildings-the effect of bidet cross branch drain diameter and slope on the conveyance distance. Urban Hous. 2015, 5, 29–33. [Google Scholar]
- Hao, X.; Yang, Z.; Li, J. The impact and mechanism of surfactants in wastewater treatment under the background of the epidemic. J. Environ. Eng. 2021, 15, 1831–1839. [Google Scholar]
- Scott, M.J.; Jones, M.N. The biodegradation on surfactants in environment. Biochim. Biophys. Acta-Biomembr. 2000, 1508, 235–251. [Google Scholar] [CrossRef]
- Li, Y.; Fan, J.; Wang, B.; Xiang, L. Study on the Physical and Chemical Properties of Surfactant Micelles. Univ. Chem. 2022, 37, 171–177. [Google Scholar]
- Khadelwal, M.; J.S, A.; Rai, B.; Sarasan, G. Thermodynamic Study of Micellization of SDBS in Aqueous and in Binary Solvent Systems of Ethylene Glycol. Int. J. Eng. Res. Technol. 2020, 9, 581–586. [Google Scholar]
- Oengoeren, A.; Meier, B. A numerical approach to investigate solid transport characteristics in waste water drainage systems. In Proceedings of the CIB W62 International Symposium on Water Supply and Drainage, Brno, Czech Republic, 19–21 September 2007. [Google Scholar]
- Hu, Y.T.; Boltenhagen, P.; Matthys, E.; Pine, D.J. Shear thickening in low-concentration solution of worm like micelles. II. Slip fracture, and stability of the shear induced phase. J. Rheol. 1998, 42, 1209–1226. [Google Scholar] [CrossRef]
- Hu, Y.T.; Boltenhagen, P.; Pine, D.J. Shear thickening in low-concentration solution of wormlike micelles. I. Direct visualization of transient behavior and phase transitions. J. Rheol. 1998, 42, 1185–1208. [Google Scholar] [CrossRef]
- Wang, F.; Song, G.; Tan, B.; Du, H.; Wang, X. Effects of anionic surfactants and compounding on the performance of barrier layer polishing solutions. Lubrication Eng. 2023, 48, 46–54. [Google Scholar]
- Li, G.; Cai, L.; Wang, P.; Chen, S.; Wang, Y. Surface activity and dynamic surface tension of sodium dodecyl sulfate compounded with nonionic surfactant AEO 9/6501. J. Light Ind. 2016, 31, 7. [Google Scholar]
- Xing, M.; Gong, Z.; Wang, R. Nucleate pool boiling heat transfer characteristics of perfluoroalkyl quaternary mmonium iodide. Chem. Ind. Eng. Prog. 2020, 39, 2989–2997. [Google Scholar]
- Guo, X.; Ruan, L.; Tan, T. Study on the effect of tea saponin on the foaming ability of soybean protein. J. Henan Univ. Technol. 2009, 30, 12–15. [Google Scholar] [CrossRef]
- Tan, S.N.; Fornasiero, D.; Sedev, R.; Ralston, J. The role of surfactant structure on foam behaviour. Colloids Surf. A Physicochem. Eng. Asp. 2005, 263, 233–238. [Google Scholar] [CrossRef]
- Wang, X.; Zhang, L.; Gong, Q.; Wang, L.; Zhang, L.; Li, Z.; Zhao, S.; Yu, J. Foam properties and dynamic surface tension of aqueous solutions of sodium alkylbenzene sulfonate with different structures. J. Higher Educ. Chem. 2007, 28, 2118–2123. [Google Scholar]
- Wei, J.; Liu, F.; Liu, D. Progress in molecular dynamics simulations of surfactant solution for turbulent drag reduction. Chin. J. Theor. Appl. Mech. 2019, 51, 971–990. [Google Scholar]
- Paria, S.; Khilar, K.C. A review on experimental studies of surfactant adsorption at the hydrophilic solid–water interface. Adv. Colloid Interface Sci. 2004, 110, 75–95. [Google Scholar] [CrossRef]
- Li, J.; Zhang, X.; Zhang, C.; Xu, N. Mesoscopic Brownian dynamics simulation of self-assembly behavior of CTAC/NaSal surfactant rod micelles. China Surfactant Deterg. Cosmet. 2020, 50, 7. [Google Scholar]
- Wu, C. Hydraulics, 4th ed.; Higher Education Press: Beijing, China, 2008; pp. 127–131. [Google Scholar]
- Zhang, Z.; Fu, M.; Zhao, Y.; Li, R. Discussion on the free water jump characteristics of wave-shaped bottom plate dissipative tank. J. Appl. Mech. 2013, 6, 870–875. [Google Scholar]
- He, Z.; Liu, H.; He, L.; Wang, D.; He, S. Research progress on the excitation force of gas-liquid two-phase flow in pipelines. J. Eng. Sci. 2021, 43, 129–136. [Google Scholar]
- Pilpel, N. The relationship between rheolobic characteristic and microscopy structure–Study of surfactant additive. Trans. Faraday Soc. 1996, 62, 29–41. [Google Scholar]
- De Gennes, P.G.; Deutsch, J.M. Introduction to Polymer Dynamics.Cambridge; Cambridge University Press: Cambridge, MA, USA, 1990; pp. 34–54. [Google Scholar]
















| Surfactants | Type | Molecular Weight | Density (g/cm3) | Property | Surface Tension (25 °C 0.01 mol/L) mN/m | CMC mmol/L |
|---|---|---|---|---|---|---|
| SDBS | anionic surfactant | 348.48 | 1.02 | white or light-yellow powder | 31.8 | 1.3 |
| AEO-9 | Non-ionic surfactant | 610 | 1.0 | colorless transparent liquid in white paste form | 33.39 | 0.15 |
| CTAC | cationic surfactant | 320 | 0.44 | white powder or white paste | 36 | 1.57 × 10−3 |
| Control Groups | Type | Concentration (g/L) |
|---|---|---|
| 1 | SDBS (anionic surfactant) | 0.01 |
| 2 | 0.03 | |
| 3 | 0.06 | |
| 4 | 0.12 | |
| 5 | AEO-9 (non-ionic surfactant) | 0.01 |
| 6 | 0.03 | |
| 7 | 0.06 | |
| 8 | 0.12 |
| Control Groups | Flash Volume (L) | Type | Concentration (g/L) |
|---|---|---|---|
| 1 | 6 | Without | |
| 2 | SDBS (anionic surfactant) | 0.01 | |
| 3 | 0.03 | ||
| 4 | 0.06 | ||
| 5 | 0.12 | ||
| 6 | AEO-9 (non-ionic surfactant) | 0.01 | |
| 7 | 0.03 | ||
| 8 | 0.06 | ||
| 9 | 0.12 |
Disclaimer/Publisher’s Note: The statements, opinions and data contained in all publications are solely those of the individual author(s) and contributor(s) and not of MDPI and/or the editor(s). MDPI and/or the editor(s) disclaim responsibility for any injury to people or property resulting from any ideas, methods, instructions or products referred to in the content. |
© 2024 by the authors. Licensee MDPI, Basel, Switzerland. This article is an open access article distributed under the terms and conditions of the Creative Commons Attribution (CC BY) license (https://creativecommons.org/licenses/by/4.0/).
Share and Cite
Hu, S.; Xu, P.; Fu, B. Experimental Study on the Hydraulic Performance of the Horizontal Main Drain of Building Drainage Systems Affected by Surfactants Sodium Dodecyl Benzene Sulfonate and Alkyl Ethoxylate-9. Water 2024, 16, 1641. https://doi.org/10.3390/w16121641
Hu S, Xu P, Fu B. Experimental Study on the Hydraulic Performance of the Horizontal Main Drain of Building Drainage Systems Affected by Surfactants Sodium Dodecyl Benzene Sulfonate and Alkyl Ethoxylate-9. Water. 2024; 16(12):1641. https://doi.org/10.3390/w16121641
Chicago/Turabian StyleHu, Shengjie, Ping Xu, and Bin Fu. 2024. "Experimental Study on the Hydraulic Performance of the Horizontal Main Drain of Building Drainage Systems Affected by Surfactants Sodium Dodecyl Benzene Sulfonate and Alkyl Ethoxylate-9" Water 16, no. 12: 1641. https://doi.org/10.3390/w16121641
APA StyleHu, S., Xu, P., & Fu, B. (2024). Experimental Study on the Hydraulic Performance of the Horizontal Main Drain of Building Drainage Systems Affected by Surfactants Sodium Dodecyl Benzene Sulfonate and Alkyl Ethoxylate-9. Water, 16(12), 1641. https://doi.org/10.3390/w16121641
