MOC-Z Model of Transient Cavitating Flow in Viscoelastic Pipe
Abstract
1. Introduction
2. Mathematical Model
2.1. Continuity and Momentum Equations
2.2. Method of Characteristics (MOC)
2.3. Numerical Scheme
3. Analysis of Results
4. Discussion
5. Conclusions
- -
- The analysis of transient cavitation in viscoelastic pipes was carried out by a new mathematical model framing both aspect in the MOC.
- -
- An MOC-Z scheme was adopted and extended to grids with Courant numbers less than 1, then requiring interpolations, to avoid numerical instabilities.
- -
- Viscoelastic models of increasing complexity were adopted, in particular a KV model and three GKV models with one, two, or three KV elements (GKV1, GKV2, and GKV3).
- -
- The analysis of the comparisons between numerical results and experimental data from the literature showed only a limited number of numerical instabilities for the GKV1 and the GKV3 models, for which a Courant number C = 0.99 was adopted, capable of eliminating the numerical instabilities.
- -
- The viscoelastic parameters calibrated for the tests without cavitation at corresponding temperature were used, generally showing good agreement between numerical and experimental pressure versus time.
- -
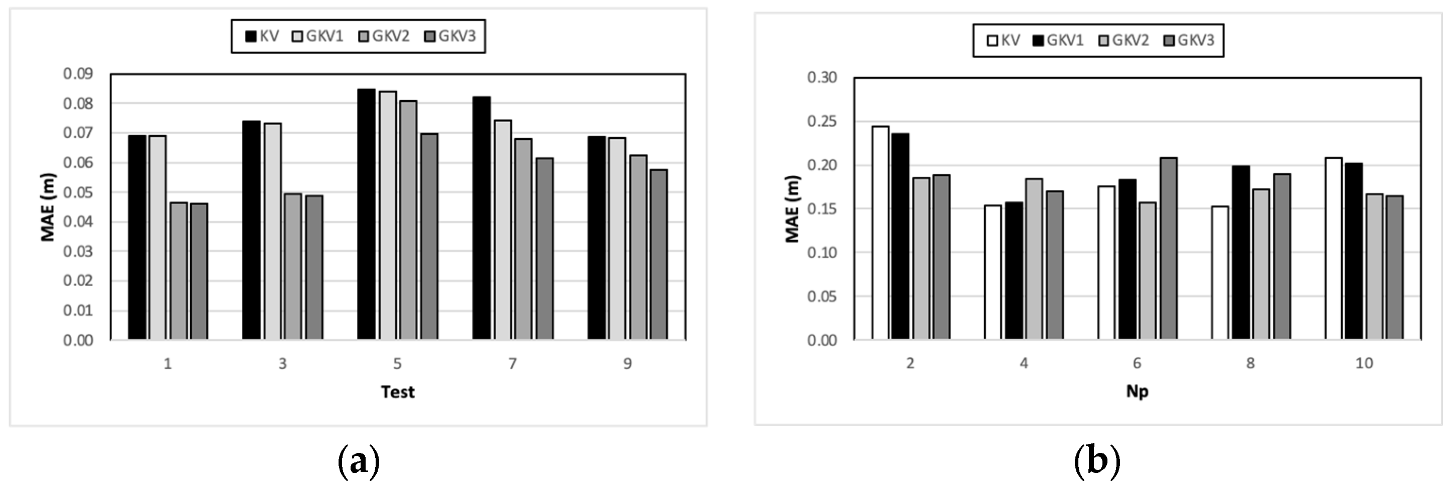
- The KV model gives values of the mean absolute error (MAE) less than those obtained by the GKV1 model and by the GKV3 model in three cases in five and the GKV2 model gives an MAE less than those obtained by the GKV3 model in three cases in five, whereas in the corresponding cases without cavitation, models of increasing complexity give an ever more decreasing MAE, as expected.
- -
- Note that the GKV2 model gives an MAE less than those obtained by the KV model only in three cases in five.
Funding
Data Availability Statement
Acknowledgments
Conflicts of Interest
References
- Wylie, E.B.; Streeter, V.L. Fluid Transients in Systems; Prentice-Hall: Englewood Cliffs, NJ, USA, 1993. [Google Scholar]
- Bergant, A.; Simpson, A.R. Pipeline column separation flow regimes. J. Hydraul. Eng. 1999, 125, 835–848. [Google Scholar] [CrossRef]
- Bergant, A.; Simpson, A.R.; Tijsseling, A.S. Water hammer with column separation: A historical review. J. Fluids Struct. 2006, 22, 135–171. [Google Scholar] [CrossRef]
- Güney, M. Contribution à l’étude du Phénomène de Coup de Bélier en Conduite Viscoélastique. Ph.D. Thesis, Université de Lyon I, Lyon, France, 1977. (In French). [Google Scholar]
- Soares, A.K.; Covas, D.I.; Carriço, N.J. Transient vaporous cavitation in viscoelastic pipes. J. Hydraul. Res. 2012, 50, 228–235. [Google Scholar] [CrossRef]
- Zielke, W. Frequency-dependent friction in transient pipe flow. Trans. ASME J. Basic Eng. 1968, 901, 109–115. [Google Scholar] [CrossRef]
- Trikha, A.K. An efficient method for simulating frequency-dependent friction in liquid flow. J. Fluids Eng. 1975, 971, 97–105. [Google Scholar] [CrossRef]
- Hadj-Taïeb, L.; Hadj-Taïeb, E. Numerical simulation of transient flows in viscoelastic pipes with vapour cavitation. Int. J. Modell. Simul. 2009, 29, 206–213. [Google Scholar] [CrossRef]
- Lax, P.; Wendroff, B. Systems of Conservation Laws. Commun. Pure Appl. Math. 1960, 13, 217–237. [Google Scholar] [CrossRef]
- Soares, A.K.; Covas, D.I.; Ramos, H.M.; Reis, L.F.R. Unsteady flow with cavitation in viscoelastic pipes. Int. J. Fluid Mach. Syst. 2009, 2, 269–277. [Google Scholar] [CrossRef]
- Keramat, A.; Tijsseling, A.S.; Ahmadi, A. Investigation of transient cavitating flow in viscoelastic pipes. IOP Conf. Ser. Earth Environ. Sci. 2010, 12, 012081. [Google Scholar] [CrossRef]
- Keramat, A.; Tijsseling, A.S. Waterhammer with Column Separation, Fluid-Structure Interaction and Unsteady Friction in a Viscoelastic Pipe; CASA-Report; Technische Universiteit Eindhoven: Eindhoven, The Netherlands, 2012; Volume 1243. [Google Scholar]
- Vardy, A.E.; Brown, J.M.B. Transient turbulent friction in smooth pipe flows. J. Sound Vib. 2003, 259, 1011–1036. [Google Scholar] [CrossRef]
- Urbanowicz, K.; Firkowski, M. Extended Bubble Cavitation Model to predict water hammer in viscoelastic pipelines. J. Phys. Conf. Ser. 2018, 1101, 012046. [Google Scholar] [CrossRef]
- Urbanowicz, K. Fast and accurate modelling of frictional transient pipe flow. Z. Angew. Math. Mech. 2018, 98, 802–823. [Google Scholar] [CrossRef]
- Urbanowicz, K.; Bergant, A.; Duan, H.F.; Stosiak, M.; Firkowski, M. Using DGCM to predict transient flow in plastic pipe. IOP Conf. Ser. Earth Environ. Sci. 2019, 405, 012020. [Google Scholar] [CrossRef]
- Urbanowicz, K.; Bergant, A.; Duan, H.F. Simulation of unsteady flow with cavitation in plastic pipes using the discrete bubble cavity and Adamkowski models. IOP Conf. Ser. Mater. Sci. Eng. 2019, 710, 012013. [Google Scholar] [CrossRef]
- Mousavifard, M. Turbulence parameters during transient cavitation flow in viscoelastic pipe. J. Hydraul. Eng. 2022, 148, 04022004. [Google Scholar] [CrossRef]
- Pezzinga, G.; Brunone, B.; Meniconi, S. Relevance of pipe period on Kelvin-Voigt viscoelastic parameters: 1D and 2D inverse transient analysis. J. Hydraul. Eng. 2016, 142, 04016063. [Google Scholar] [CrossRef]
- Pezzinga, G.; Cannizzaro, D. Analysis of transient vaporous cavitation in pipes by a distributed 2D model. J. Hydraul. Eng. 2014, 140, 04014019. [Google Scholar] [CrossRef]
- Pezzinga, G. Evaluation of time evolution of mechanical parameters of polymeric pipes by unsteady flow runs. J. Hydraul. Eng. 2014, 140, 04014057. [Google Scholar] [CrossRef]
- Pezzinga, G. On the Characterization of Viscoelastic Parameters of Polymeric Pipes for Transient Flow Analysis. Modelling 2023, 4, 283–295. [Google Scholar] [CrossRef]
- Pezzinga, G.; Santoro, V.C. Shock-Capturing Characteristics Models for Transient Cavitating Pipe Flow. J. Hydraul. Eng. 2020, 146, 04020075. [Google Scholar] [CrossRef]








| Test | (°C) | (m/s) | (m) |
|---|---|---|---|
| 2 | 13.8 | 1.28 | 2.88 |
| 4 | 25.0 | 1.37 | 2.99 |
| 6 | 31.0 | 1.34 | 2.98 |
| 8 | 35.0 | 1.37 | 2.98 |
| 10 | 38.5 | 1.33 | 2.93 |
| Test | 2 | 4 | 6 | 8 | 10 | |
| (°C) | 13.8 | 25.0 | 31.0 | 35.0 | 38.5 | |
| KV | (GPa) | 0.6038 | 0.4063 | 0.3321 | 0.2813 | 0.2453 |
| (ms) | 11.20 | 15.63 | 19.16 | 22.66 | 25.92 | |
| GKV1 | (GPa) | 547.8 | 732.6 | 583.8 | 478.8 | 580.1 |
| (GPa) | 0.6050 | 0.4076 | 0.3351 | 0.2915 | 0.2427 | |
| (ms) | 11.00 | 15.35 | 18.64 | 21.36 | 25.71 | |
| GKV2 | (GPa) | 1.221 | 0.6681 | 0.5667 | 0.4099 | 0.3694 |
| (GPa) | 1.265 | 1.436 | 1.071 | 1.698 | 0.9070 | |
| (ms) | 6.243 | 5.943 | 11.38 | 17.11 | 17.52 | |
| (GPa) | 2.010 | 2.038 | 1.476 | 1.314 | 0.9980 | |
| (ms) | 406.5 | 130.0 | 244.9 | 130.0 | 292.1 | |
| GKV3 | 1.652 | 0.8416 | 0.7386 | 0.6641 | 0.5259 | |
| 1.190 | 1.193 | 1.070 | 0.9610 | 0.8950 | ||
| 4.010 | 2.207 | 1.894 | 2.005 | 2.057 | ||
| 2.325 | 2.008 | 1.032 | 0.8490 | 0.6470 | ||
| 338.3 | 141.8 | 279.7 | 473.0 | 788.0 | ||
| 6.443 | 5.362 | 2.439 | 1.392 | 0.9841 | ||
| 10.76 | 15.73 | 19.50 | 25.84 | 30.81 |
Disclaimer/Publisher’s Note: The statements, opinions and data contained in all publications are solely those of the individual author(s) and contributor(s) and not of MDPI and/or the editor(s). MDPI and/or the editor(s) disclaim responsibility for any injury to people or property resulting from any ideas, methods, instructions or products referred to in the content. |
© 2024 by the author. Licensee MDPI, Basel, Switzerland. This article is an open access article distributed under the terms and conditions of the Creative Commons Attribution (CC BY) license (https://creativecommons.org/licenses/by/4.0/).
Share and Cite
Pezzinga, G. MOC-Z Model of Transient Cavitating Flow in Viscoelastic Pipe. Water 2024, 16, 1610. https://doi.org/10.3390/w16111610
Pezzinga G. MOC-Z Model of Transient Cavitating Flow in Viscoelastic Pipe. Water. 2024; 16(11):1610. https://doi.org/10.3390/w16111610
Chicago/Turabian StylePezzinga, Giuseppe. 2024. "MOC-Z Model of Transient Cavitating Flow in Viscoelastic Pipe" Water 16, no. 11: 1610. https://doi.org/10.3390/w16111610
APA StylePezzinga, G. (2024). MOC-Z Model of Transient Cavitating Flow in Viscoelastic Pipe. Water, 16(11), 1610. https://doi.org/10.3390/w16111610
