Identification of Environmental Damage Process of a Chromium-Contaminated Site in China
Abstract
1. Introduction
2. Methodology
2.1. Study Area
2.2. Sampling and Analysis
2.2.1. Sampling
2.2.2. Spatial Distribution Analysis
3. Numerical Model
3.1. Conceptual Model
3.2. Numerical Model
3.3. Parameter Settings
3.4. Sources
4. Results and Discussion
4.1. Model Identification
4.1.1. Analysis and Validation of Liquid Saturation Changes in the Unsaturated Zone
4.1.2. Verification of Vertical Migration Process of Pollutants
4.2. Scenario Design
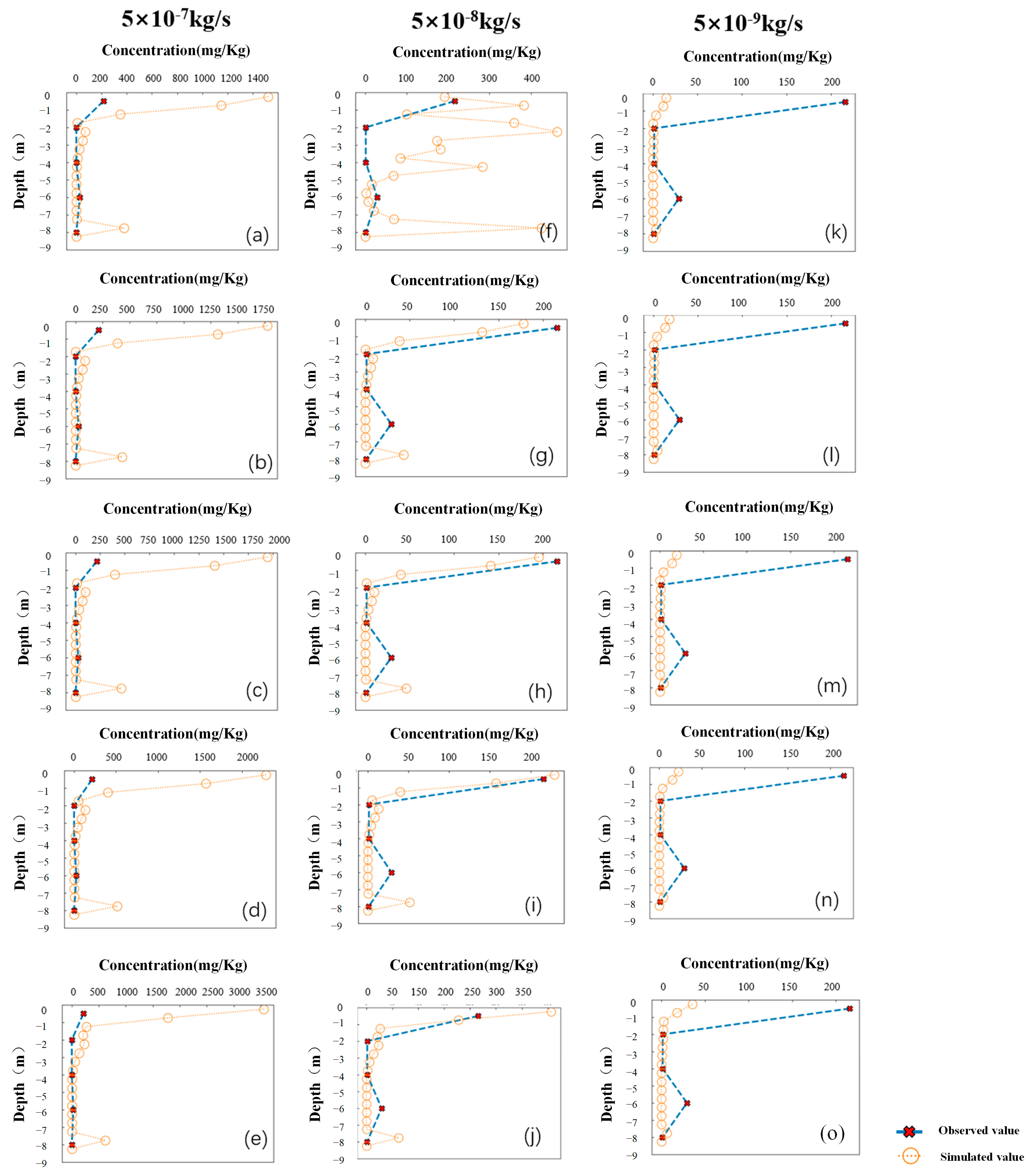
4.2.1. Damage Process Identification
4.2.2. Simulation Error Analysis
5. Conclusions
Author Contributions
Funding
Data Availability Statement
Conflicts of Interest
References
- Ofiara, D.D. Natural resource damage assessments in the United States: Rules and procedures for compensation from spills of hazardous substances and oil in waterways under US jurisdiction. Mar. Pollut. Bull. 2002, 44, 96–110. [Google Scholar] [CrossRef] [PubMed]
- Su, X.; Wang, H.; Zhang, Y. Health risk assessment of nitrate contamination in groundwater: A case study of an agricultural area in Northeast China. Water Resour. Manag. 2013, 27, 3025–3034. [Google Scholar] [CrossRef]
- Liao, F.; Wang, G.; Shi, Z.; Huang, X.; Xu, F.; Xu, Q.; Guo, L. Distributions, sources, and species of heavy metals/trace elements in shallow groundwater around the Poyang Lake, East China. Expo. Health 2018, 10, 211–227. [Google Scholar] [CrossRef]
- Qin, G.; Niu, Z.; Yu, J.; Li, Z.; Ma, J.; Xiang, P. Soil heavy metal pollution and food safety in China: Effects, sources and removing technology. Chemosphere 2021, 267, 129205. [Google Scholar] [CrossRef] [PubMed]
- Miao, F.; Zhang, Y.; Li, Y.; Liang, X.; Lin, Q.; Zhou, Y. Establishing a weighted methodology for human health risk assessment of cadmium based on its equilibrium speciation in groundwater. J. Clean. Prod. 2021, 322, 129053. [Google Scholar] [CrossRef]
- Wu, J.; Li, J.; Teng, Y.; Chen, H.; Wang, Y. A partition computing-based positive matrix factorization (PC-PMF) approach for the source apportionment of agricultural soil heavy metal contents and associated health risks. J. Hazard. Mater. 2020, 388, 121766. [Google Scholar] [CrossRef] [PubMed]
- Zhu, G.; Wu, X.; Ge, J.; Liu, F.; Zhao, W.; Wu, C. Influence of mining activities on groundwater hydrochemistry and heavy metal migration using a self-organizing map (SOM). J. Clean. Prod. 2020, 257, 120664. [Google Scholar] [CrossRef]
- Zhai, Y.; Jiang, Y.; Cao, X.; Leng, S.; Wang, J. Valuation of ecosystem damage induced by soil groundwater pollution in an arid climate area: Framework, method and case study. Environ. Res. 2022, 211, 113013. [Google Scholar] [CrossRef] [PubMed]
- Snell, T.; Cowell, R. Scoping in environmental impact assessment: Balancing precaution and efficiency? Environ. Impact Assess. Rev. 2006, 26, 359–376. [Google Scholar] [CrossRef]
- Glasson, J.; Therivel, R. Introduction to Environmental Impact Assessment; Routledge: London, UK, 2013. [Google Scholar]
- Shi, D.; Xie, C.; Wang, J.; Xiong, L. Changes in the structures and directions of heavy metalcontaminated soil remediation research from 1999 to 2020: A bibliometric & scientometric study. Int. J. Environ. Res. Public Health 2021, 18, 7358. [Google Scholar] [CrossRef]
- Zhang, Y.; Wu, W.; Liu, Q.; Sheng, L. Studying with small sample for leaching behavior of heavy metals based on the fuzzy theory. World J. Eng. 2015, 12, 271–282. [Google Scholar] [CrossRef]
- Yu, F.; Zhang, J.; Li, Z.; Liu, S. Ecological and Health Risk Assessment of Heavy Metals in Soils from Recycled Lead Smelting Sites. Water 2022, 14, 1445. [Google Scholar] [CrossRef]
- Fei, X.; Lou, Z.; Xiao, R.; Lv, X.; Christakos, G. Contamination and health risk assessment of heavy metal pollution in soils developed from different soil parent materials. Expo. Health 2023, 15, 395–408. [Google Scholar] [CrossRef]
- Wang, P.; Huang, W.; Ren, F.; Fan, D. Pollution evaluation and source identification of heavy metals in soil around steel factories located in Lanshan District, Rizhao City, eastern China. Environ. Monit. Assess. 2023, 195, 1–18. [Google Scholar] [CrossRef] [PubMed]
- Su, Q.; Zhang, X.; Zhang, Y.; Sun, G.; Li, Z.; Xiang, L.; Cai, J. Risk assessment of heavy metal pollution in agricultural soil surrounding a typical pharmaceutical manufacturing complex. Front. Environ. Sci. 2023, 10, 1105910. [Google Scholar] [CrossRef]
- He, Y.; Hu, G.; Zhang, Z.; Lou, W.; Zou, Y.H.; Li, X.; Zhang, K.N. Experimental study and numerical simulation on the migration and transformation mechanism of hexavalent chromium in contaminated site. Rock Soil Mech. 2022, 43, 7. [Google Scholar] [CrossRef]
- Qu, J.; Jiang, J.; Zhang, Y.; Li, Y.; Yan, T.; Guo, W.; Lu, S. Soil column experiment and numerical simulation research of Pb migration process in the groundwater fluctuation zone based on HYDRUS. Front. Environ. Sci. 2022, 10, 989257. [Google Scholar] [CrossRef]
- He, Y.; Li, B.B.; Zhang, K.N.; Li, Z.; Chen, Y.G.; Ye, W.M. Experimental and numerical study on heavy metal contaminant migration and retention behavior of engineered barrier in tailings pond. Environ. Pollut. 2019, 252, 1010–1018. [Google Scholar] [CrossRef]
- Zou, Y.; Yousaf, M.S.; Yang, F.; Deng, H.; He, Y. Surrogate-Based Uncertainty Analysis for Groundwater Contaminant Transport in a Chromium Residue Site Located in Southern China. Water 2024, 16, 638. [Google Scholar] [CrossRef]
- Shi, X.; Ren, B. Predict three-dimensional soil manganese transport by HYDRUS-1D and spatial interpolation in Xiangtan manganese mine. J. Clean. Prod. 2021, 292, 125879. [Google Scholar] [CrossRef]
- Bali, K.M.; Mohamed, A.Z.; Begna, S.; Wang, D.; Putnam, D.; Dahlke, H.E.; Eltarabily, M.G. The use of HYDRUS-2D to simulate intermittent Agricultural Managed Aquifer Recharge (Ag-MAR) in Alfalfa in the San Joaquin Valley. Agric. Water Manag. 2023, 282, 108296. [Google Scholar] [CrossRef]
- Anlauf, R.; Schaefer, J.; Kajitvichyanukul, P. Coupling HYDRUS-1D with ArcGIS to estimate pesticide accumulation and leaching risk on a regional basis. J. Environ. Manag. 2018, 217, 980–990. [Google Scholar] [CrossRef] [PubMed]
- Zeng, J.; Guo, B. Multidimensional simulation of PFAS transport and leaching in the vadose zone: Impact of surfactant-induced flow and subsurface heterogeneities. Adv. Water Resour. 2021, 155, 104015. [Google Scholar] [CrossRef]
- Mainhagu, J.; Morrison, C.; Truex, M.; Oostrom, M.; Brusseau, M.L. Measuring spatial variability of vapor flux to characterize vadose-zone VOC sources: Flow-cell experiments. J. Contam. Hydrol. 2014, 167, 32–43. [Google Scholar] [CrossRef] [PubMed]
- Dafny, E. TCE longevity in the vadose zone and loading to the groundwater—The case of episodic NAPL releases from near-surface source. Environ. Technol. Innov. 2017, 7, 128–140. [Google Scholar] [CrossRef]
- Yu, Z.; Hu, L.; Lo, I.M. Transport of the arsenic (As)-loaded nano zero-valent iron in groundwater saturated sand columns: Roles of surface modification and As loading. Chemosphere 2019, 216, 428–436. [Google Scholar] [CrossRef] [PubMed]
- Cao, X.; Hu, L.; Wang, J.; Wang, J. Regional groundwater flow assessment in a prospective high-level radioactive waste repository of China. Water 2017, 9, 551. [Google Scholar] [CrossRef]
- Pruess, K.; Oldenburg, C.M.; Moridis, G.J. TOUGH2 User’s Guide, Version 2; Lawrence Berkeley National Laboratory: Berkeley, CA, USA, 1999. Available online: https://www.osti.gov/biblio/751729 (accessed on 1 January 2024).
- Yao, L.; Wang, D.; Hooshyar, M.; Singh, A.; Sivapalan, M. Time compression approximation relationship for infiltration in the presence of a shallow water table: Evaluating the role of Péclet number. Water Resour. Res. 2018, 54, 9384–9397. [Google Scholar] [CrossRef]
- Finsterle, S.; Commer, M.; Edmiston, J.K.; Jung, Y.; Kowalsky, M.B.; Pau, G.S.H.; Wainwright, H.M.; Zhang, Y. iTOUGH2: A multiphysics simulation-optimization framework for analyzing subsurface systems. Comput. Geosci. 2017, 108, 8–20. [Google Scholar] [CrossRef]
- Ministry of Ecology and Environment of the People’s Republic of China. Technical Guidelines for Investigation on Soil Contamination of Land for Construction (HJ 25.1-2019). 2019. Available online: https://www.anshun.gov.cn/zwgk/zdlyxx/hjbh/trsthjgl/202008/P020200824530844557953.pdf (accessed on 1 January 2024).
- Ministry of Ecology and Environment of the People’s Republic of China. Technical Guidelines for Monitoring During Risk Control and Remediation of Soil Contamination of Land for Construction (HJ 25.2-2019). 2019. Available online: https://www.mee.gov.cn/ywgz/fgbz/bz/bzwb/trhj/201912/W020191224561614977338.pdf (accessed on 1 January 2024).
- Ministry of Land and Resources of the People’s Republic of China. Technical Guide for Soil Environmental Investigation and Assessment of Construction Land (Announcement No. 72 of 2017). 2017. Available online: https://www.mee.gov.cn/gkml/hbb/bgg/201712/t20171220_428231.htm?eqid=b490e2e00003db5100000006648bb9ca (accessed on 1 January 2024).
- Liu, K. Climate characteristics and variation features of precipitation amount and precipitation days in Suining Airport in the past ten years. Sci. Technol. Commun. 2011, 14, 32–33. (In Chinese) [Google Scholar]









| Pollutant | Depth (m) | Content Range (mg/kg) | Mean (mg/kg) | Median (mg/kg) | Standard Deviation (mg/kg) | Variance (mg/kg) | Coefficient of Variation (%) |
|---|---|---|---|---|---|---|---|
| Cr | 0 | 43.00–2230.00 | 227.71 | 82.00 | 453.93 | 206,056.69 | 199.35 |
| 2 | 42.00–206.00 | 89.74 | 78.00 | 39.58 | 1566.57 | 44.11 | |
| 4 | 31.00–190.00 | 75.95 | 72.00 | 29.07 | 844.82 | 38.27 | |
| 6 | 27.00–341.00 | 69.36 | 63.00 | 43.37 | 1881.00 | 62.53 | |
| 8 | 26.00–501.00 | 75.97 | 59.00 | 78.70 | 6193.36 | 103.59 |
| Description | Governing Equations |
|---|---|
| Fluid Flow Equation | |
| Heat Transfer Equation | |
| Mass Transfer Equation | |
| Phase Change Equation | f (P,T,composition) = 0 |
| Soil Sample Number | Depth (m) | Color | Geotechnical Classification | Permeability Coefficient | |
|---|---|---|---|---|---|
| Vertical (cm/s) | Horizontal (cm/s) | ||||
| S43-0.5 | 0.5 | Dark Brownish | Silt | 3.43 × 10−6 | 2.80 × 10−6 |
| S43-2 | 2.0 | Brownish Red | Silty Clay | 1.52 × 10−6 | 1.24 × 10−6 |
| S43-4 | 4.0 | Brown | Silty Clay | 1.47 × 10−6 | 1.33 × 10−6 |
| S43-6 | 6.0 | Brownish Yellow (Brown) | Silty Clay | 1.68 × 10−6 | 8.41 × 10−7 |
| S43-8 | 8.0 | Brownish Yellow | Silt | 5.75 × 10−5 | 4.47 × 10−5 |
| Injection Scheme | 5 Years | 10 Years | 15 Years | 20 Years | 30 Years |
|---|---|---|---|---|---|
| Injection Concentration (kg/s) | 5 × 10−7 | 5 × 10−7 | 5 × 10−7 | 5 × 10−7 | 5 × 10−7 |
| 5 × 10−8 | 5 × 10−8 | 5 × 10−8 | 5 × 10−8 | 5 × 10−8 | |
| 5 × 10−9 | 5 × 10−9 | 5 × 10−9 | 5 × 10−9 | 5 × 10−9 |
| Injection Scheme | 5 × 10−7 kg/s | ||||
| 5 Years | 10 Years | 15 Years | 20 Years | 30 Years | |
| R2 | 0.74469 | 0.64669 | 0.58536 | 0.39776 | −0.37785 |
| MAE | 323.00 | 378.00 | 409.00 | 493.00 | 763.00 |
| RMSE | 684.53 | 805.26 | 872.36 | 1051.34 | 1590.23 |
| MAPE (%) | 33.04 | 37.25 | 40.38 | 51.11 | 115.45 |
| Injection Scheme | 5 × 10−8 kg/s | ||||
| 5 Years | 10 Years | 15 Years | 20 Years | 30 Years | |
| R2 | 0.98562 | 0.99965 | 0.99976 | 0.99982 | 0.99730 |
| MAE | 100.00 | 17.80 | 14.40 | 11.00 | 44.00 |
| RMSE | 162.48 | 25.43 | 21.18 | 18.34 | 70.34 |
| MAPE (%) | 153.44 | 5.58 | 4.73 | 4.58 | 13.97 |
| Injection Scheme | 5 × 10−9 kg/s | ||||
| 5 Years | 10 Years | 15 Years | 20 Years | 30 Years | |
| R2 | 0.99454 | 0.99476 | 0.99498 | 0.99518 | 0.99538 |
| MAE | 54.60 | 54.00 | 53.40 | 52.80 | 52.20 |
| RMSE | 100.06 | 98.03 | 96.02 | 94.02 | 92.05 |
| MAPE (%) | 8.30 | 8.38 | 8.45 | 8.52 | 8.59 |
Disclaimer/Publisher’s Note: The statements, opinions and data contained in all publications are solely those of the individual author(s) and contributor(s) and not of MDPI and/or the editor(s). MDPI and/or the editor(s) disclaim responsibility for any injury to people or property resulting from any ideas, methods, instructions or products referred to in the content. |
© 2024 by the authors. Licensee MDPI, Basel, Switzerland. This article is an open access article distributed under the terms and conditions of the Creative Commons Attribution (CC BY) license (https://creativecommons.org/licenses/by/4.0/).
Share and Cite
Cao, X.; Wang, B.; Hu, L.; Wu, J.; Zhao, D.; Zhai, Y.; Han, K.; Wang, M. Identification of Environmental Damage Process of a Chromium-Contaminated Site in China. Water 2024, 16, 1578. https://doi.org/10.3390/w16111578
Cao X, Wang B, Hu L, Wu J, Zhao D, Zhai Y, Han K, Wang M. Identification of Environmental Damage Process of a Chromium-Contaminated Site in China. Water. 2024; 16(11):1578. https://doi.org/10.3390/w16111578
Chicago/Turabian StyleCao, Xiaoyuan, Bin Wang, Litang Hu, Jin Wu, Dan Zhao, Yuanzheng Zhai, Kexue Han, and Mingming Wang. 2024. "Identification of Environmental Damage Process of a Chromium-Contaminated Site in China" Water 16, no. 11: 1578. https://doi.org/10.3390/w16111578
APA StyleCao, X., Wang, B., Hu, L., Wu, J., Zhao, D., Zhai, Y., Han, K., & Wang, M. (2024). Identification of Environmental Damage Process of a Chromium-Contaminated Site in China. Water, 16(11), 1578. https://doi.org/10.3390/w16111578

