Analysis of Stormwater and Rainwater Harvesting Potential Based on a Daily Water Balance Model: A Case Study of Korea
Abstract
:1. Introduction
2. Materials and Methods
2.1. Overview of the Study Area
2.2. Descriptions of the Studied Facilities
2.3. Methodology of the Present Study
2.4. Daily Water Balance Model Methodology
2.5. Rainfall Data Summary
3. Results and Discussion
3.1. Selected Studied Storage Facilities Locations’ Land Cover Maps
3.2. Selected Studied Locations’ Required Water Quantities
3.3. Selected Studied Locations’ Storm/Rainwater (SR Water) Availability Rates
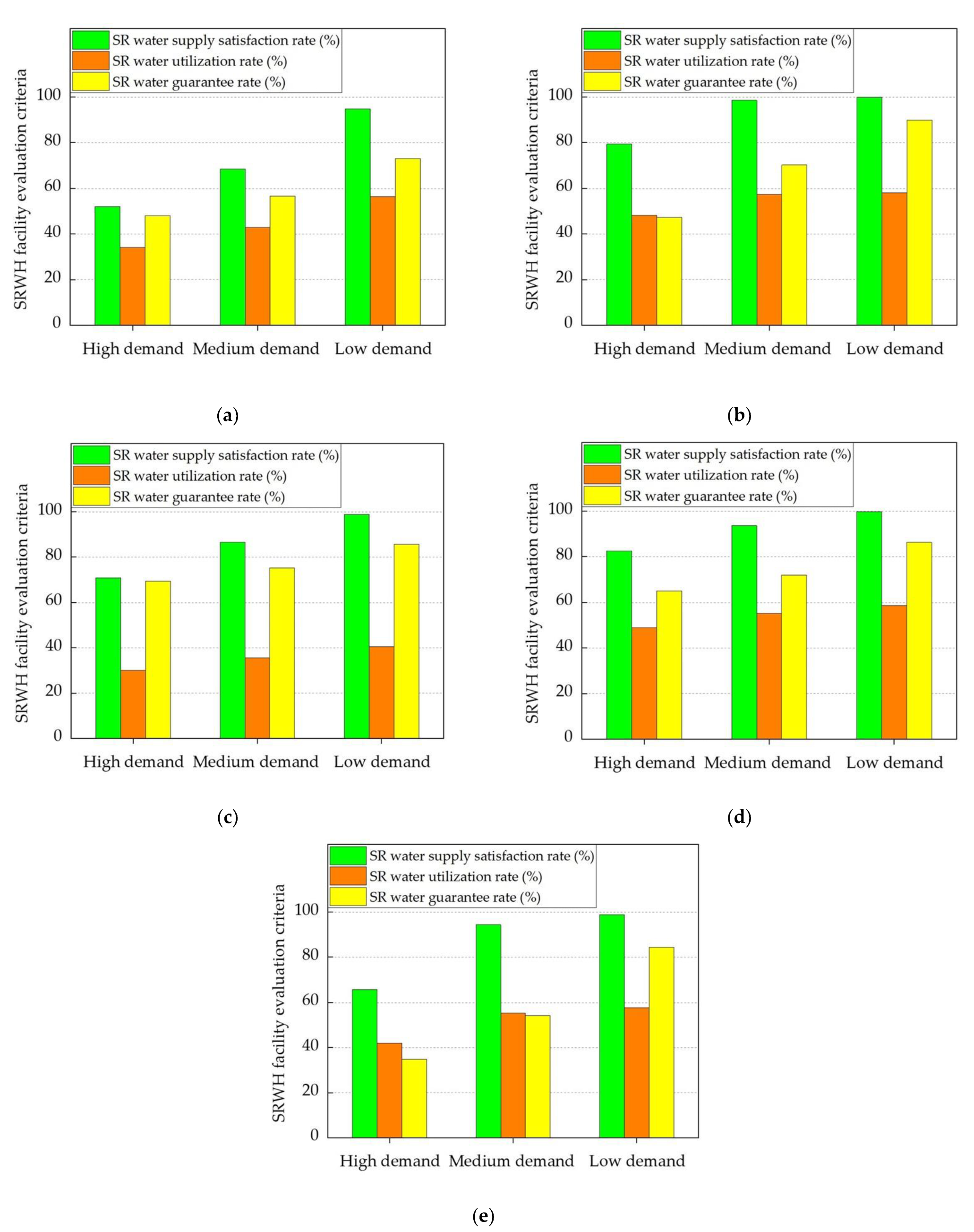
3.4. Effects of the Water Demand Scenarios on the SRWH Facility Evaluation Criteria
4. Conclusions
- For every scrutinized storage facility, the detailed generated land cover map through ArcGIS shows the potential utilization of SR water for multiple non-potable applications within the one-kilometer circular vicinity;
- Opting for releasing water safely after storms events and keeping space for water available during the monsoon season and releasing water only if the storage is full in the dry season is recommended;
- For each examined facility depicted in Figure 9a–e, the SR water guarantee rate can potentially surpass 70% under conditions of low water demand.
Author Contributions
Funding
Data Availability Statement
Acknowledgments
Conflicts of Interest
References
- Whitmee, S.; Haines, A.; Beyrer, C.; Boltz, F.; Capon, A.G.; de Souza Dias, B.F.; Ezeh, A.; Frumkin, H.; Gong, P.; Head, P. Safeguarding human health in the Anthropocene epoch: Report of The Rockefeller Foundation–Lancet Commission on planetary health. Lancet 2015, 386, 1973–2028. [Google Scholar] [CrossRef] [PubMed]
- Ayeni, A.; Kapangaziwiri, E.; Soneye, A.; Engelbrecht, F. Assessing the impact of global changes on the surface water resources of Southwestern Nigeria. Hydrol. Sci. J. 2015, 60, 1956–1971. [Google Scholar] [CrossRef]
- Tacoli, C.; McGranahan, G.; Satterthwaite, D. Urbanisation, Rural-Urban Migration and Urban Poverty; IIED: London, UK, 2015. [Google Scholar]
- Cook, B.I.; Mankin, J.S.; Anchukaitis, K.J. Climate change and drought: From past to future. Curr. Clim. Chang. Rep. 2018, 4, 164–179. [Google Scholar] [CrossRef]
- Mukherjee, S.; Mishra, A.; Trenberth, K.E. Climate change and drought: A perspective on drought indices. Curr. Clim. Chang. Rep. 2018, 4, 145–163. [Google Scholar] [CrossRef]
- Monier, E.; Gao, X. Climate change impacts on extreme events in the United States: An uncertainty analysis. Clim. Chang. 2015, 131, 67–81. [Google Scholar] [CrossRef]
- Sharma, A.K.; Sanciolo, P.; Behroozi, A.; Navaratna, D.; Muthukumaran, S. Stormwater Harvesting Potential for Local Reuse in an Urban Growth Area: A Case Study of Melton Growth Area in the West of Melbourne. Water 2023, 15, 2093. [Google Scholar] [CrossRef]
- Hoban, A. Water sensitive urban design approaches and their description. In Approaches to Water Sensitive Urban Design; Elsevier: Amsterdam, The Netherlands, 2019; pp. 25–47. [Google Scholar]
- Shafique, M.; Kim, R. Low impact development practices: A review of current research and recommendations for future directions. Ecol. Chem. Eng. S 2015, 22, 543–563. [Google Scholar] [CrossRef]
- Zevenbergen, C.; Fu, D.; Pathirana, A. Transitioning to sponge cities: Challenges and opportunities to address urban water problems in China. Water 2018, 10, 1230. [Google Scholar] [CrossRef]
- Luthy, R.G.; Sharvelle, S.; Dillon, P. Urban stormwater to enhance water supply. Environ. Sci. Technol. 2019, 53, 5534–5542. [Google Scholar] [CrossRef]
- Fisher-Jeffes, L.; Carden, K.; Armitage, N.P.; Winter, K. Stormwater harvesting: Improving water security in South Africa’s urban areas. S. Afr. J. Sci. 2017, 113, 4. [Google Scholar] [CrossRef]
- Hoban, A.; Mills, K.; Tanner, C.; Hamlyn-Harris, D. Climate change impacts on stormwater harvesting yields. Water J. Aust. Water Assoc. 2015, 42, 72–76. [Google Scholar]
- King, R.S.; Baker, M.E.; Kazyak, P.F.; Weller, D.E. How novel is too novel? Stream community thresholds at exceptionally low levels of catchment urbanization. Ecol. Appl. 2011, 21, 1659–1678. [Google Scholar] [CrossRef] [PubMed]
- Vietz, G.J.; Sammonds, M.J.; Walsh, C.J.; Fletcher, T.D.; Rutherfurd, I.D.; Stewardson, M.J. Ecologically relevant geomorphic attributes of streams are impaired by even low levels of watershed effective imperviousness. Geomorphology 2014, 206, 67–78. [Google Scholar] [CrossRef]
- Wright, I.A.; Davies, P.J.; Findlay, S.J.; Jonasson, O.J. A new type of water pollution: Concrete drainage infrastructure and geochemical contamination of urban waters. Mar. Freshw. Res. 2011, 62, 1355–1361. [Google Scholar] [CrossRef]
- Sharma, A.; Gardner, T.; Begbie, D. Approaches to Water Sensitive Urban Design: Potential, Design, Ecological Health, Urban Greening, Economics, Policies, and Community Perceptions; Woodhead Publishing: Sawston, UK, 2018. [Google Scholar]
- Fletcher, T.D.; Shuster, W.; Hunt, W.F.; Ashley, R.; Butler, D.; Arthur, S.; Trowsdale, S.; Barraud, S.; Semadeni-Davies, A.; Bertrand-Krajewski, J.-L. SUDS, LID, BMPs, WSUD and more—The evolution and application of terminology surrounding urban drainage. Urban Water J. 2015, 12, 525–542. [Google Scholar] [CrossRef]
- Radcliffe, J.C. History of water sensitive urban design/low impact development adoption in Australia and internationally. In Approaches to Water Sensitive Urban Design; Elsevier: Amsterdam, The Netherlands, 2019; pp. 1–24. [Google Scholar]
- Abdeljaber, A.; Adghim, M.; Abdallah, M.; Ghanima, R.; ALjassem, F. Comparative performance and cost-integrated life cycle assessment of low impact development controls for sustainable stormwater management. Environ. Impact Assess. Rev. 2022, 95, 106805. [Google Scholar] [CrossRef]
- Shafique, M.; Kim, R. Recent progress in low-impact development in South Korea: Water-management policies, challenges and opportunities. Water 2018, 10, 435. [Google Scholar] [CrossRef]
- Philp, M.; McMahon, J.; Heyenga, S.; Marinoni, O.; Jenkins, G.; Maheepala, S.; Greenway, M. Review of stormwater harvesting practices. In Urban Water Security Research Alliance; Technical Report No. 9; UWSRA: City East, QLD, Australia, 2008; p. 130. [Google Scholar]
- Walsh, T.C.; Pomeroy, C.A.; Burian, S.J. Hydrologic modeling analysis of a passive, residential rainwater harvesting program in an urbanized, semi-arid watershed. J. Hydrol. 2014, 508, 240–253. [Google Scholar] [CrossRef]
- Lindsey, G.; Roberts, L.; Page, W. Inspection and maintenance of infiltration facilities. J. Soil Water Conserv. 1992, 47, 481–486. [Google Scholar]
- Day, J.K.; Sharma, A.K. Stormwater harvesting infrastructure systems design for urban park irrigation: Brimbank Park, Melbourne case study. J. Water Supply Res. Technol.—AQUA 2020, 69, 844–857. [Google Scholar] [CrossRef]
- Fam, D.; Mosley, E.; Lopes, A.; Mathieson, L.; Morison, J.; Connellan, G. Irrigation of Urban Green Spaces: A Review of the Environmental, Social and Economic Benefits; CRC for Irrigation Futures Technical Report; CRC for Irrigation Futures: Toowoomba, QLD, Canada, 2008; p. 4. [Google Scholar]
- Liu, L.; Fryd, O.; Zhang, S. Blue-green infrastructure for sustainable urban stormwater management—Lessons from six municipality-led pilot projects in Beijing and Copenhagen. Water 2019, 11, 2024. [Google Scholar] [CrossRef]
- Asif, Z.; Chen, Z.; Sadiq, R.; Zhu, Y. Climate change impacts on water resources and sustainable water management strategies in North America. Water Resour. Manag. 2023, 37, 2771–2786. [Google Scholar] [CrossRef]
- Almaaitah, T.; Appleby, M.; Rosenblat, H.; Drake, J.; Joksimovic, D. The potential of Blue-Green infrastructure as a climate change adaptation strategy: A systematic literature review. Blue-Green Syst. 2021, 3, 223–248. [Google Scholar] [CrossRef]
- Choi, H.; Geronimo, F.K.F.; Jeon, M.; Kim, L.-H. Investigation of the factors affecting the treatment performance of a stormwater horizontal subsurface flow constructed wetland treating road and parking lot runoff. Water 2021, 13, 1242. [Google Scholar] [CrossRef]
- Pathak, S.; Garg, R.D.; Jato-Espino, D.; Lakshmi, V.; Ojha, C.; Asce, F. Evaluating hotspots for stormwater harvesting through participatory sensing. J. Environ. Manag. 2019, 242, 351–361. [Google Scholar] [CrossRef] [PubMed]
- Shojaeizadeh, A.; Geza, M.; McCray, J.; Hogue, T.S. Site-scale integrated decision support tool (i-DSTss) for stormwater management. Water 2019, 11, 2022. [Google Scholar] [CrossRef]
- Dandy, G.C.; Marchi, A.; Maier, H.R.; Kandulu, J.; MacDonald, D.H.; Ganji, A. An integrated framework for selecting and evaluating the performance of stormwater harvesting options to supplement existing water supply systems. Environ. Model. Softw. 2019, 122, 104554. [Google Scholar] [CrossRef]
- Jiménez Ariza, S.L.; Martínez, J.A.; Muñoz, A.F.; Quijano, J.P.; Rodríguez, J.P.; Camacho, L.A.; Díaz-Granados, M. A multicriteria planning framework to locate and select sustainable urban drainage systems (SUDS) in consolidated urban areas. Sustainability 2019, 11, 2312. [Google Scholar] [CrossRef]
- Inamdar, P.M.; Sharma, A.; Cook, S.; Perera, B. Evaluation of stormwater harvesting sites using multi criteria decision methodology. J. Hydrol. 2018, 562, 181–192. [Google Scholar] [CrossRef]
- Mahmoud, S.H.; Alazba, A.; Adamowski, J.; El-Gindy, A. GIS methods for sustainable stormwater harvesting and storage using remote sensing for land cover data-location assessment. Environ. Monit. Assess. 2015, 187, 598. [Google Scholar] [CrossRef]
- Khan, A.; Park, Y.; Park, J.; Kim, R. Assessment of Rainwater Harvesting Facilities Tank Size Based on a Daily Water Balance Model: The Case of Korea. Sustainability 2022, 14, 15556. [Google Scholar] [CrossRef]
- Lee, J.M.; Jeong, Y.K. A study on the rational scale estimation of rainwater harvesting facilities on condominium complex. J. Korean Soc. Hazard Mitig. 2017, 17, 297–303. [Google Scholar] [CrossRef]
- Maniquiz-Redillas, M.; Robles, M.E.; Cruz, G.; Reyes, N.J.; Kim, L.H. First flush stormwater runoff in urban catchments: A bibliometric and comprehensive review. Hydrology 2022, 9, 63. [Google Scholar] [CrossRef]
- Ringler, S. First Flush Characterization of Storm Water Runoff. Master’s Thesis, University of New Orleans, New Orleans, LA, USA, 2007. Available online: https://scholarworks.uno.edu/td/537 (accessed on 14 November 2023).
- Baek, S.S.; Choi, D.H.; Jung, J.W.; Lee, H.J.; Lee, H.; Yoon, K.S.; Cho, K.H. Optimizing low impact development (LID) for stormwater runoff treatment in urban area, Korea: Experimental and modeling approach. Water Res. 2015, 86, 122–131. [Google Scholar] [CrossRef] [PubMed]
- Zhou, Q. A review of sustainable urban drainage systems considering the climate change and urbanization impacts. Water 2014, 6, 976–992. [Google Scholar] [CrossRef]
- Coombes, P.J.; Argue, J.R.; Kuczera, G. Figtree Place: A case study in water sensitive urban development (WSUD). Urban Water 2000, 1, 335–343. [Google Scholar] [CrossRef]
- Kolavani, N.J.; Kolavani, N.J. Technical feasibility analysis of rainwater harvesting system implementation for domestic use. Sustain. Cities Soc. 2020, 62, 102340. [Google Scholar] [CrossRef]
- Korea Meteorogical Administration. Meteorological Information. Available online: https://data.kma.go.kr/ (accessed on 11 November 2023).











| Name | Sewage Retention Facility | Stormwater Runoff Reduction Facility | Non-Point Pollution Reduction Facility | Buffer Storage Facility | Rainwater Utilization Facility |
|---|---|---|---|---|---|
| Installation purpose |
| Urban flood control | Water quality control | Water quality control | Water use |
| Number of facilities | 536 | 110 | 73 | 24 | 697 |
| Type of Facility | Name | Location | Lat. | Long. | Station Name | Station No. | Distance of the Facility from the Station (km) | Average Annual Rainfall (mm) |
|---|---|---|---|---|---|---|---|---|
| Sewage retention facility | Gapyeong drainage pumping Station | Gapyeong | 37.823962 | 127.517879 | Gapyeongbuk-myeon | 531 | 8.78 | 1257.8 |
| Stormwater runoff reduction facility | Stormwater runoff reduction facility in Okdong | Okdong | 35.535547 | 129.284424 | Ulsan | 152 | 6.95 | 1288.61 |
| Non-point pollution reduction facility | Detention facility in Jangsan-ri, Seongju-gun | Seongju-gun | 35.971144 | 128.283297 | Seongju | 810 | 5.25 | 1108.8 |
| Buffer storage facility | Gimcheon 1.2 Industrial Complex | Gimcheon | 36.172310 | 128.142052 | Gimcheon | 822 | 10.73 | 1089.45 |
| Rainwater utilization facility | Naju Korea Electric Power Corporation (KEPCO) | Naju | 35.026302 | 126.784430 | Naju | 710 | 12.40 | 1410 |
| S. No. | Type of Facility | Name of Studied Facility | Catchment Area (m2) | Storage Tank Size (m3) |
|---|---|---|---|---|
| 1 | Sewage retention facility | Gapyeong Drainage Pumping Station | 1,200,000 | 18,000 |
| 2 | Stormwater runoff reduction facility | Stormwater runoff reduction facility in Okdong | 1,060,000 | 136,000 |
| 3 | Non-point pollution reduction facility | Detention facility in Jangsan-ri, Seongju-gun | 270,000 | 1365 |
| 4 | Buffer storage facility | Gimcheon 1.2 Industrial Complex | 3,980,700 | 23,000 |
| 5 | Rainwater utilization facility | Naju Korea Electric Power Corporation (KEPCO) | 2339 | 900 |
| Name of Studied Facility | Toilet Flushing | Irrigation
| Road Cleaning
| Fountain **
|
|---|---|---|---|---|
| Gapyeong Drainage Pumping Station | 10,000 (person) | 0.30 | 200 km | - |
| Stormwater runoff reduction facility in Okdong | 25,000 (person) | 0.60 | 186.33 km | ◯ 360 m3 |
| Detention facility in Jangsan-ri, Seongju-gun | 0 (person) | 0.20 | 41.01 km | - |
| Gimcheon 1.2 Industrial Complex | 8400 (person) | 0.30 | 75.86 km | - |
| Naju Korea Electric Power Corporation (KEPCO) | 1000 (person) | 0.20 | 2.0 km | - |
Disclaimer/Publisher’s Note: The statements, opinions and data contained in all publications are solely those of the individual author(s) and contributor(s) and not of MDPI and/or the editor(s). MDPI and/or the editor(s) disclaim responsibility for any injury to people or property resulting from any ideas, methods, instructions or products referred to in the content. |
© 2023 by the authors. Licensee MDPI, Basel, Switzerland. This article is an open access article distributed under the terms and conditions of the Creative Commons Attribution (CC BY) license (https://creativecommons.org/licenses/by/4.0/).
Share and Cite
Khan, A.; Park, Y.; Park, J.; Sim, I.; Kim, R. Analysis of Stormwater and Rainwater Harvesting Potential Based on a Daily Water Balance Model: A Case Study of Korea. Water 2024, 16, 96. https://doi.org/10.3390/w16010096
Khan A, Park Y, Park J, Sim I, Kim R. Analysis of Stormwater and Rainwater Harvesting Potential Based on a Daily Water Balance Model: A Case Study of Korea. Water. 2024; 16(1):96. https://doi.org/10.3390/w16010096
Chicago/Turabian StyleKhan, Amjad, Yoonkyung Park, Jongpyo Park, Inkyeong Sim, and Reeho Kim. 2024. "Analysis of Stormwater and Rainwater Harvesting Potential Based on a Daily Water Balance Model: A Case Study of Korea" Water 16, no. 1: 96. https://doi.org/10.3390/w16010096
APA StyleKhan, A., Park, Y., Park, J., Sim, I., & Kim, R. (2024). Analysis of Stormwater and Rainwater Harvesting Potential Based on a Daily Water Balance Model: A Case Study of Korea. Water, 16(1), 96. https://doi.org/10.3390/w16010096

