Research on the Evolution of Snow Crystal Necks and the Effect on Hardness during Snowpack Metamorphism
Abstract
1. Introduction
2. Materials and Methods
2.1. Overview of the Research Area and Research Equipment
2.2. Experimental Design
3. Results and Discussion
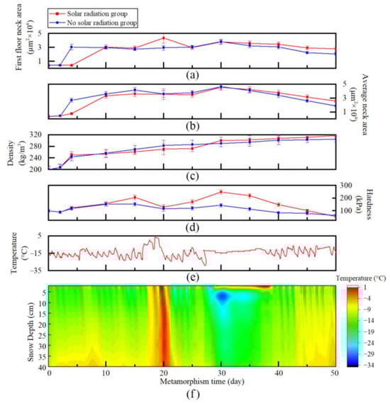
3.1. Snow Metamorphosis
3.2. Analysis of Changes in Snow Crystal Neck Area
3.2.1. Effects of Solar Radiation
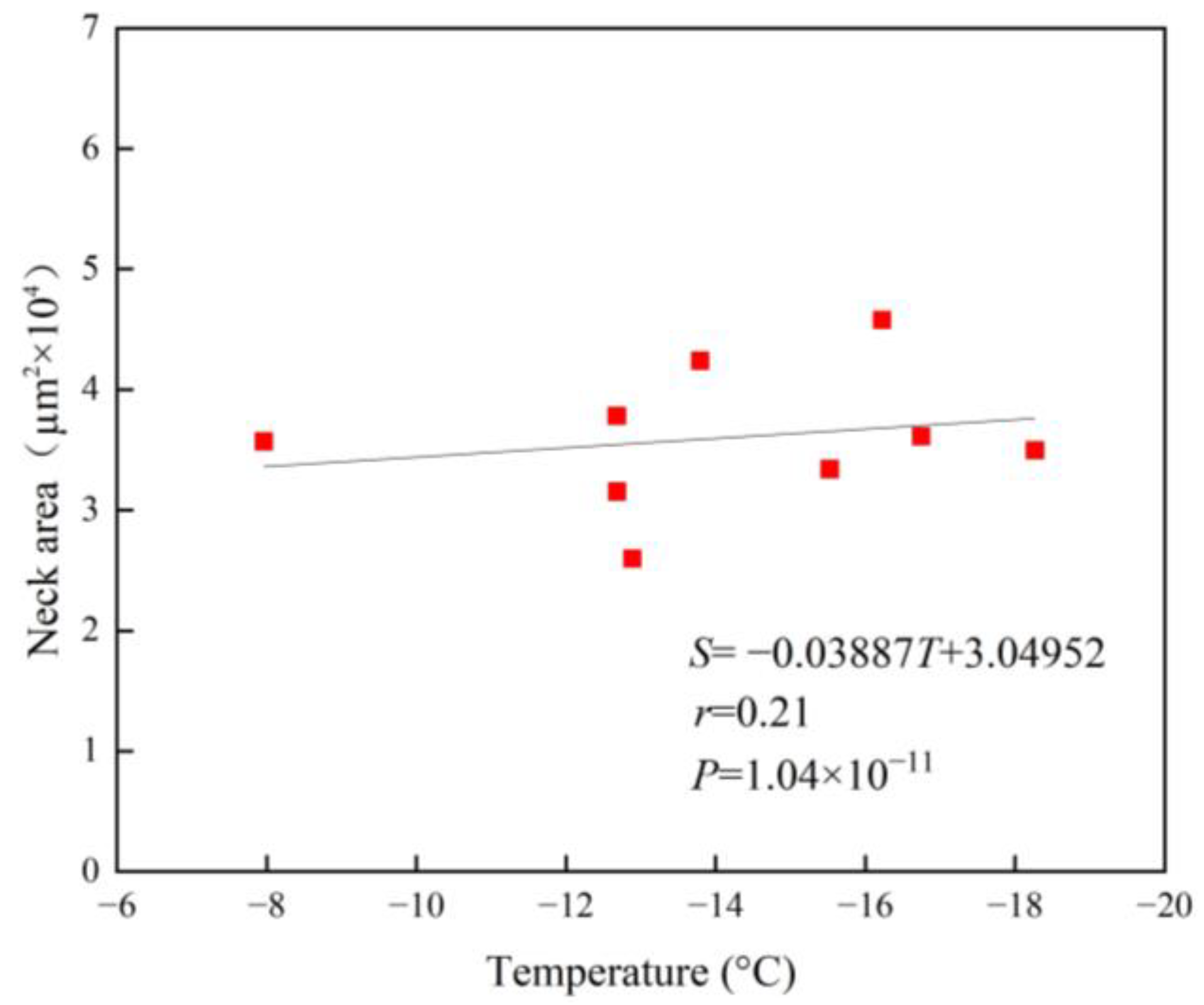
3.2.2. Effects of Temperature
3.2.3. Effects of Snow Density
3.2.4. Effects of Snow Depth
3.3. Relationship between Snow Crystal Neck Area and Total Crystal Area
3.4. Relationship between Snow Crystal Neck Area and Hardness
4. Discussion
5. Conclusions
Author Contributions
Funding
Data Availability Statement
Conflicts of Interest
References
- Li, H.; Zhong, X.; Zheng, L.; Hao, X.; Wang, J.; Zhang, J. Classification of snow cover persistence across China. Water 2022, 14, 933. [Google Scholar] [CrossRef]
 - Calonne, N.; Flin, F.; Geindreau, C.; Lesaffre, B.; Rolland, D.R.S. Study of a temperature gradient metamorphism of snow from 3-D images: Time evolution of microstructures, physical properties and their associated anisotropy. Cryosphere 2014, 8, 2255–2274. [Google Scholar] [CrossRef]
 - Schneebeli, M. The importance of the microstructure of snow in nature and engineering. In Proceedings of the 1st International Conference on Design and Nature, Udine, Italy, 21 January 2002. [Google Scholar] [CrossRef]
 - Sarmiento, J.; Slater, R.; Barber, R.; Bopp, L.; Doney, S.; Hirst, A.; Kleypas, J.; Matear, R.; Mikolajewicz, U.; Monfray, P.; et al. Response of ocean ecosystems to climate warming. Glob. Biogeochem. Cy. 2004, 18, GB3003. [Google Scholar] [CrossRef]
 - Huo, P.; Lu, P.; Cheng, B.; Zhang, L.; Wang, Q.; Li, Z. Monitoring Ice Phenology in Lake Wetlands Based on Optical Satellite Data: A Case Study of Wuliangsu Lake. Water 2022, 14, 3307. [Google Scholar] [CrossRef]
 - Zhao, Q.; Li, Z.; Lu, P.; Wang, Q.; Wei, J.; Hu, S.; Yang, H. An Investigation of the Influence on Compacted Snow Hardness by Density, Temperature and Punch Head Velocity. Water 2023, 15, 2897. [Google Scholar] [CrossRef]
 - Xie, F.; Lu, P.; Li, Z.; Wang, Q.; Zhang, H.; Zhang, Y. A floating remote observation system (FROS) for full seasonal lake ice evolution studies. Cold Reg. Sci. Technol. 2022, 199, 103557. [Google Scholar] [CrossRef]
 - Han, H.; Yang, M.; Liu, X.; Li, Y.; Gao, G.; Wang, E. Study on the Constitutive Equation and Mechanical Properties of Natural Snow under Step Loading. Water 2022, 15, 3271. [Google Scholar] [CrossRef]
 - Ballesteros-Canovas, J.; Trappmann, D.; Madrigal-Gonzalez, J.; Eckert, N.; Stoffel, M. Climate warming enhances snow avalanche risk in the Western Himalayas. Proc. Natl. Acad. Sci. USA 2018, 115, 3410–3415. [Google Scholar] [CrossRef]
 - Medeu, A.; Blagovechshenskiy, V.; Gulyayeva, T.; Zhdanov, V.; Ranova, S. Interannual Variability of Snowiness and Avalanche Activity in the Ile Alatau ridge, northern Tien Shan. Water 2022, 14, 2936. [Google Scholar] [CrossRef]
 - Brown, R.; Edens, M. On the relationship between neck length and bond radius during compression of snow. J. Glaciol. 1991, 37, 203–208. [Google Scholar] [CrossRef]
 - Mellor, M. Engineering properties of snow. J. Glaciol. 1977, 19, 15–66. [Google Scholar] [CrossRef]
 - Lee, J.H.; Huang, D. Material point method modeling of porous semi-brittle materials. In Proceedings of the 9th World Congress on Computational Mechanics and 4th Asian Pacific Congress on Computational Mechanics, Sydney, Australia, 19–23 July 2010. [Google Scholar] [CrossRef]
 - Edens, M.; Brown, R. Measurement of microstructure of snow from surface sections. Def. Sci. J. 1995, 45, 107–116. [Google Scholar] [CrossRef]
 - Zhou, S.; Nakawo, M.; Hashimoto, S.; Sakai, A.; Narita, H.; Ishikawa, N. Densification and grain coarsening of melting snow. J. Glaciol. 2002, 24, 275–281. [Google Scholar] [CrossRef]
 - Libbrecht, K.G. Morphogenesis on ice: The physics of snow crystals. Rep. Prog. Phys. 2001, 1, 10–19. [Google Scholar] [CrossRef]
 - Gubler, H. Determination of the Mean Number of Bonds per snow grain And of the Dependence of the Tensile Strength of Snow on Stereological Parameters. J. Glaciol. 1978, 20, 329–341. [Google Scholar] [CrossRef]
 - Edens, M.Q.; Brown, R.L. Changes in microstructure of snow under large deformations. J. Glaciol. 1991, 37, 193–202. [Google Scholar] [CrossRef]
 - Brown, R.L. A volumetric constitutive law for snow based on a neck growth model. J. Appl. Phys. 1980, 51, 161–165. [Google Scholar] [CrossRef]
 - Kry, P.R. The relationship between the visco-elastic and structural properties of fine-grained snow. J. Glaciol. 1975, 14, 479–500. [Google Scholar] [CrossRef]
 - Hansen, A.C.; Brown, R.L. The granular structure of snow: An internal-state variable approach. J. Glaciol. 1986, 32, 434–438. [Google Scholar] [CrossRef]
 - Shapiro, L.H.; Johnson, J.B.; Sturm, M.; Blaisdell, G.L. Snow mechanics review of the state of knowledge and applications. In US Army Cold Regions Research and Engineering Laboratory (CRREL) Report 97-3; Cold Regions Research and Engineering Laboratory: Hanover, NH, USA, 1997. [Google Scholar] [CrossRef]
 - Yang, Q.; Song, K.; Hao, X.; Wen, Z.; Tan, Y.; Li, W. Investigation of spatial and temporal variability of river ice phenology and thickness across Songhua River Basin, northeast China. Cryosphere 2020, 11, 3581–3593. [Google Scholar] [CrossRef]
 - Wang, E.; Fu, X.; Han, H.; Liu, X.; Xiao, Y.; Leng, Y. Study on the mechanical properties of compacted snow under uniaxial compression and analysis of influencing factors. Cold Reg. Sci. Technol. 2021, 182, 103215. [Google Scholar] [CrossRef]
 - Feng, Z. Experimental Study on Snow Hardness and Its Testing Technology. Master’s Thesis, Dalian University of Technology, Dalian, China, 2019. (In Chinese). [Google Scholar] [CrossRef]
 - Casado, M.; Landais, A.; Picard, G.; Arnaud, L.; Dreossi, G.; Stenni, B.; Prié, F. Water Isotopic Signature of Surface Snow Metamorphism in Antarctica. Geophys. Res. Lett. 2021, 48, e2021GL093382. [Google Scholar] [CrossRef]
 - Ma, H.; Liu, Z.; Sun, L.; Cai, G. A one-dimensional solution to the effect of solar radiation on the temperature field of snow cover: A case study of seasonal snow cover in the Western Tianshan Mountains of China. Sci. Bull. 1992, 37, 1205–1208. (In Chinese) [Google Scholar] [CrossRef]
 - Apaloo, J.; Brenning, A.; Bodin, X. Interactions between Seasonal Snow Cover, Ground Surface Temperature and Topography (Andes of Santiago, Chile, 33.5° S). Permafrost Periglac. 2013, 23, 277–291. [Google Scholar] [CrossRef]
 - Lehning, M.; Bartelt, P.; Brown, B.; Fierz, C.; Satyawali, P. A physical SNOWPACK model for the swiss avalanche warning-Part II. Snow microstructure. Cold Reg. Sci. Technol. 2002, 35, 147–167. [Google Scholar] [CrossRef]
 - Colbeck, S. Theory of metamorphism of dry snow. J. Geophys. Res-Oceans 1983, 88, 5475–5482. [Google Scholar] [CrossRef]
 - Pinzer, B.R.; Schneebeli, M. Snow metamorphism under alternating temperature gradients: Morphology and recrystallization in surface snow. Geophys. Res. Lett. 2009, 36, L23503. [Google Scholar] [CrossRef]
 - Donahue, C.; Skiles, S.M.; Hammonds, K. In situ effective snow grain size mapping using a compact hyperspectral imager. J. Glaciol. 2021, 67, 49–57. [Google Scholar] [CrossRef]
 - Bartelt, P.; von Moos, M. Triaxial tests to determine a microstructure-based snow viscosity law. In Proceedings of the International Symposium on the Verification of Cryospheric Models, Zurich, Switzerland, 14 January 2000. [Google Scholar] [CrossRef]
 - Yue, S.; Yan, Y.; Zhang, S.; Yang, J.; Wang, W. Spatiotemporal variations of soil freeze-thaw state in Northeast China based on the ERA5-LAND dataset. Acta. Geogr. Sin. 2021, 76, 2765–2779. [Google Scholar] [CrossRef]
 - Pelosi, A.; Chirico, G. Regional assessment of daily reference evapotranspiration: Can ground observations be replaced by blending ERA5-Land meteorological reanalysis and CM-SAF satellite-based radiation data? Agric. Water Manag. 2021, 258, 107169. [Google Scholar] [CrossRef]
 - Flin, F.; Brzoska, J.B.; Lesaffre, B.; Coléou, C.C.; Pieritz, R.A. Three-dimensional geometric measurements of snow microstructural evolution under isothermal conditions. Ann. Glaciol. 2004, 38, 39–44. [Google Scholar] [CrossRef]
 - Slaughter, A.E.; Adams, E.E.; Staron, P.J.; Shertzer, R.H.; Walters, D.J.; McCabe, D.; Catherine, D.; Henninger, I.; Leonard, T.; Cooperstein, M.; et al. Field investigation of near-surface metamorphism of snow. J. Glaciol. 2011, 57, 441–452. [Google Scholar] [CrossRef][Green Version]
 - Hansen, A.C.; Brown, R.L. A new constitutive theoiy for snow based on a micromechanical approach. In Proceedings of the Davos Symposium, Davos, Switzerland, 29 January 1987. [Google Scholar]
 - Izumi, K.; Huzioka, T. Studies of metamorphism and thermal conductivity of snow. I. Cold Reg. Sci. Technol. 1975, 33, 91–102. [Google Scholar] [CrossRef]
 












| Snow Hardness (kPa) | Equivalent Neck Diameter (μm) | Neck Circumference (μm)  | Snowpack Density (kg/m3)  | Neck Area (μm2) | |
|---|---|---|---|---|---|
| Snow hardness (kPa) | / | 0.443 | 0.459 | 0.041 | 0.650 * | 
| Equivalent neck Diameter (μm)  | 0.443 | / | 0.997 ** | 0.804 ** | 0.919 ** | 
| Neck circumference (μm)  | 0.459 | 0.997 ** | / | 0.783 ** | 0.926 ** | 
| Snowpack density(kg/m3) | 0.041 | 0.804 ** | 0.783 * | / | 0.688 ** | 
| Neck area (μm2)  | 0.650 * | 0.919 ** | 0.926 ** | 0.688 ** | / | 
| Days to Metamorphism (day) | Average Neck Area (µm2) | Average Ambient Temperature (°C) | Cumulative Solar Radiation (W·h/m2) | Snow Density (kg/m3)  | Average Wind Speed (m/s) | Average Specific Humidity (g/kg) | 
|---|---|---|---|---|---|---|
| 0 | 3593.9 | −13.5 | 1137.4 | 200.0 | 2.9 | 0.9 | 
| 2 | 4750.5 | −16.3 | 1668.5 | 207.9 | 1.5 | 0.6 | 
| 4 | 7791.9 | −17.1 | 2086.2 | 249.8 | 1.8 | 0.7 | 
| 10 | 33,403.8 | −15.5 | 7002.8 | 254.2 | 2.8 | 0.6 | 
| 15 | 36,121.9 | −16.7 | 5639.1 | 261.9 | 1.9 | 0.6 | 
| 20 | 35,700.4 | −8.0 | 5586.1 | 270.5 | 3.3 | 1.5 | 
| 25 | 34,969.3 | −18.3 | 6280.4 | 272.5 | 2.3 | 0.5 | 
| 30 | 45,791.3 | −16.2 | 6335.2 | 300.5 | 2.3 | 0.5 | 
| 35 | 42,391.0 | −13.8 | 7763.6 | 302.5 | 1.8 | 0.3 | 
| 40 | 37,831.3 | −12.7 | 8366.3 | 307.6 | 1.8 | 0.7 | 
| 45 | 31,541.3 | −12.7 | 8270.2 | 311.0 | 1.7 | 0.8 | 
| 50 | 25,977.3 | −12.9 | 8117.7 | 317.0 | 2.1 | 1.2 | 
| Ingredient | Initial Eigenvalue | Extraction of the Sum of Squares and Load | ||||
|---|---|---|---|---|---|---|
| Total | Percentage of Variance (%) | Cumulative Percentage (%) | Total | Variance | Cumulative Percentage (%) | |
| 1 | 2.201 | 44.024 | 44.024 | 2.201 | 44.024 | 44.024 | 
| 2 | 1.997 | 39.945 | 83.970 | 1.997 | 39.945 | 83.970 | 
| 3 | 0.524 | 10.487 | 94.457 | / | / | / | 
| 4 | 0.213 | 4.259 | 98.715 | / | / | / | 
| 5 | 0.064 | 1.285 | 100.000 | / | / | / | 
Disclaimer/Publisher’s Note: The statements, opinions and data contained in all publications are solely those of the individual author(s) and contributor(s) and not of MDPI and/or the editor(s). MDPI and/or the editor(s) disclaim responsibility for any injury to people or property resulting from any ideas, methods, instructions or products referred to in the content.  | 
© 2023 by the authors. Licensee MDPI, Basel, Switzerland. This article is an open access article distributed under the terms and conditions of the Creative Commons Attribution (CC BY) license (https://creativecommons.org/licenses/by/4.0/).
Share and Cite
Wei, J.; Lu, P.; Hu, S.; Zhao, Q.; Yuan, S.; Huo, P.; Wang, Q. Research on the Evolution of Snow Crystal Necks and the Effect on Hardness during Snowpack Metamorphism. Water 2024, 16, 48. https://doi.org/10.3390/w16010048
Wei J, Lu P, Hu S, Zhao Q, Yuan S, Huo P, Wang Q. Research on the Evolution of Snow Crystal Necks and the Effect on Hardness during Snowpack Metamorphism. Water. 2024; 16(1):48. https://doi.org/10.3390/w16010048
Chicago/Turabian StyleWei, Jie, Peng Lu, Shengbo Hu, Qiuming Zhao, Shunqi Yuan, Puzhen Huo, and Qingkai Wang. 2024. "Research on the Evolution of Snow Crystal Necks and the Effect on Hardness during Snowpack Metamorphism" Water 16, no. 1: 48. https://doi.org/10.3390/w16010048
APA StyleWei, J., Lu, P., Hu, S., Zhao, Q., Yuan, S., Huo, P., & Wang, Q. (2024). Research on the Evolution of Snow Crystal Necks and the Effect on Hardness during Snowpack Metamorphism. Water, 16(1), 48. https://doi.org/10.3390/w16010048
        
