Occurrence and Removal Efficiency of Microplastics in Four Drinking Water Treatment Plants in Zhengzhou, China
Abstract
:1. Introduction
2. Materials and Methods
2.1. Sample Collection
2.2. Sample Pretreatment
2.3. Detection of MPs
2.4. Quality Control
2.5. Data Analysis
3. Results and Discussion
3.1. Abundance of the MPs
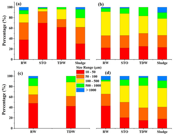
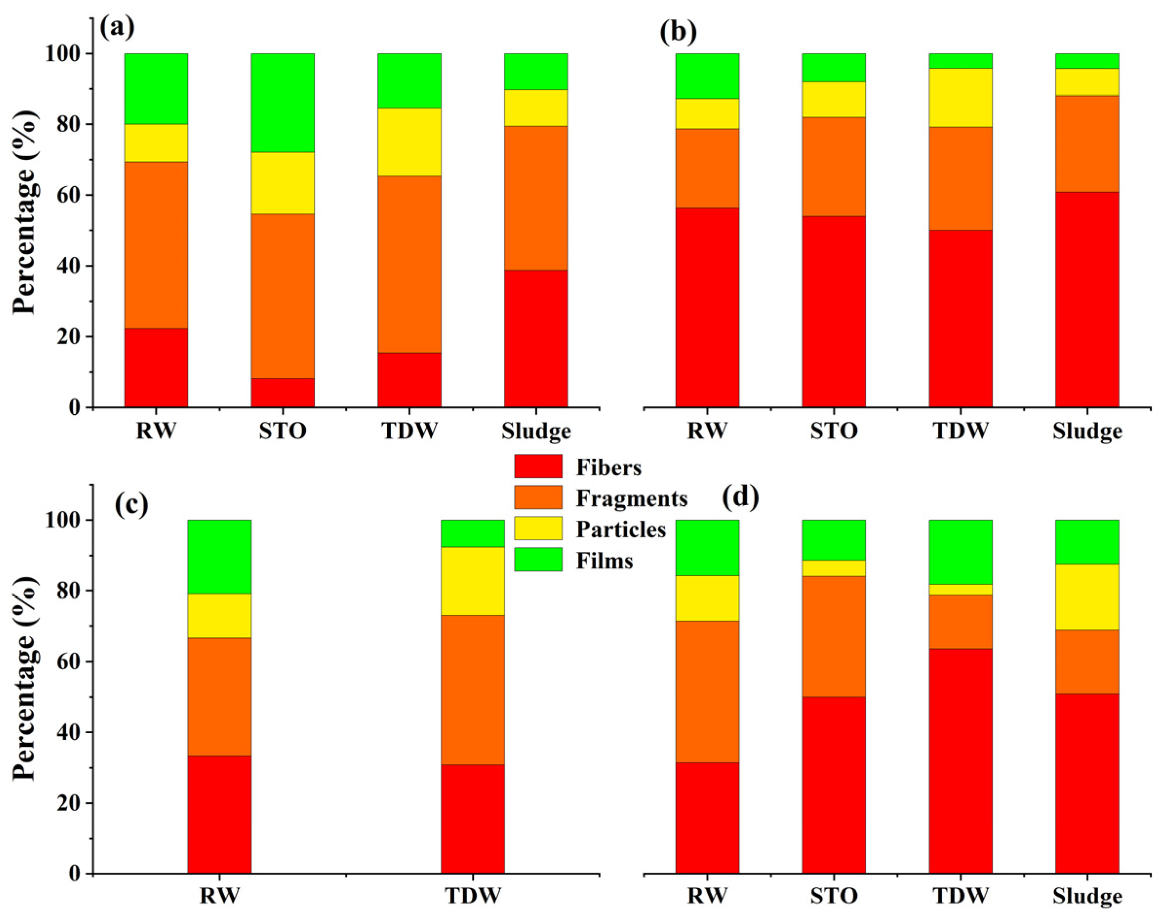
3.2. Size and Morphology of the MPs
3.3. Color and Polymer Type of the MPs
3.4. MP Removal Efficiency
4. Conclusions
Supplementary Materials
Author Contributions
Funding
Data Availability Statement
Conflicts of Interest
References
- Xiang, Y.; Jiang, L.; Zhou, Y.; Luo, Z.; Zhi, D.; Yang, J.; Lam, S.S. Microplastics and environmental pollutants: Key interaction and toxicology in aquatic and soil environments. J. Hazard. Mater. 2022, 422, 126843. [Google Scholar] [CrossRef]
- Ma, H.; Pu, S.; Liu, S.; Bai, Y.; Mandal, S.; Xing, B. Microplastics in aquatic environments: Toxicity to trigger ecological consequences. Environ. Pollut. 2020, 261, 114089. [Google Scholar] [CrossRef]
- Koelmans, A.A.; Redondo-Hasselerharm, P.E.; Nor, N.H.M.; Gouin, T. On the probability of ecological risks from microplastics in the Laurentian Great lakes. Environ. Pollut. 2023, 325, 121445. [Google Scholar] [CrossRef]
- Thompson, R.C.; Olsen, Y.; Mitchell, R.P.; Davis, A.; Rowland, S.J.; John, A.W.G.; Mcgonigle, D.; Rissell, A.E. Lost at Sea: Where Is All the Plastic? Science 2004, 304, 838. [Google Scholar] [CrossRef]
- Talbot, R.; Chang, H. Microplastics in freshwater: A global review of factors affecting spatial and temporal variations. Environ. Pollut. 2022, 292, 118393. [Google Scholar] [CrossRef] [PubMed]
- Yang, L.; Zhang, Y.; Kang, S.; Wang, Z.; Wu, C. Microplastics in soil: A review on methods, occurrence, sources, and potential risk. Sci. Total Environ. 2021, 780, 146546. [Google Scholar] [CrossRef] [PubMed]
- Ding, J.; Sun, C.; He, C.; Zheng, L.; Dai, D.; Li, F. Atmospheric microplastics in the Northwestern Pacific Ocean: Distribution, source, and deposition. Sci. Total Environ. 2022, 829, 154337. [Google Scholar] [CrossRef] [PubMed]
- Vethaak, A.D.; Legler, J. Microplastics and human health. Science 2021, 371, 672–674. [Google Scholar] [CrossRef]
- Santana-Viera, S.; Montesdeoca-Esponda, S.; Guedes-Alonso, R.; Sosa-Ferrera, Z.; Santana-Rodríguez, J.J. Organic pollutants adsorbed on microplastics: Analytical methodologies and occurrence in oceans. Trends Environ. Anal. Chem. 2021, 29, e00114. [Google Scholar] [CrossRef]
- Wang, C.; Zhao, J.; Xing, B. Environmental source, fate, and toxicity of microplastics. J. Hazard. Mater. 2021, 407, 124357. [Google Scholar] [CrossRef]
- Sarkar, D.J.; Sarkar, S.D.; Das, B.K.; Sahoo, B.K.; Das, A.; Nag, S.K.; Manna, R.K.; Behera, B.K.; Samanta, S. Occurrence, fate and removal of microplastics as heavy metal vector in natural wastewater treatment wetland system. Water Res. 2021, 192, 116853. [Google Scholar] [CrossRef]
- Prata, J.C.; da Costa, J.P.; Lopes, I.; Duarte, A.C.; Rocha-Santos, T. Environmental exposure to microplastics: An overview on possible human health effects. Sci. Total Environ. 2020, 702, 134455. [Google Scholar] [CrossRef]
- Prokić, M.D.; Gavrilović, B.R.; Radovanović, T.B.; Gavrić, J.P.; Petrović, T.G.; Despotović, S.G.; Faggio, C. Studying microplastics: Lessons from evaluated literature on animal model organisms and experimental approaches. J. Hazard. Mater. 2021, 414, 125476. [Google Scholar] [CrossRef]
- Zhang, L.; Li, Y.; Wang, W.; Zhang, W.; Zuo, Q.; Abdelkader, A.; Xi, K.; Heynderickx, P.M.; Kim, K.H. The potential of microplastics as adsorbents of sodium dodecyl benzene sulfonate and chromium in an aqueous environment. Environ. Res. 2021, 197, 111057. [Google Scholar] [CrossRef]
- Liu, S.; Huang, J.; Zhang, W.; Shi, L.; Yi, K.; Yu, H.; Zhang, C.; Li, S.; Li, J. Microplastics as a vehicle of heavy metals in aquatic environments: A review of adsorption factors, mechanisms, and biological effects. J. Environ. Manag. 2022, 302, 113995. [Google Scholar] [CrossRef]
- Yu, X.; Du, H.; Huang, Y.; Yin, X.; Liu, Y.; Li, Y.; Liu, H.; Wang, X. Selective adsorption of antibiotics on aged microplastics originating from mariculture benefits the colonization of opportunistic pathogenic bacteria. Environ. Pollut. 2022, 313, 120157. [Google Scholar] [CrossRef]
- Galafassi, S.; Sabatino, R.; Sathicq, M.B.; Eckert, E.M.; Fontaneto, D.; Dalla Fontana, G.; Mossotti, R.; Corno, G.; Volta, P.; Di Cesare, A. Contribution of microplastic particles to the spread of resistances and pathogenic bacteria in treated wastewaters. Water Res. 2021, 201, 117368. [Google Scholar] [CrossRef]
- Rozman, U.; Turk, T.; Skalar, T.; Zupančič, M.; Korošin, N.Č.; Marinšek, M.; Olivero-Verbel, J.; Kalčíková, G. An extensive characterization of various environmentally relevant microplastics—Material properties, leaching and ecotoxicity testing. Sci. Total Environ. 2021, 773, 145576. [Google Scholar] [CrossRef] [PubMed]
- Li, J.; Ouyang, Z.; Liu, P.; Zhao, X.; Wu, R.; Zhang, C.; Lin, C.; Li, Y.; Guo, X. Distribution and characteristics of microplastics in the basin of Chishui River in Renhuai, China. Sci. Total Environ. 2021, 773, 145591. [Google Scholar] [CrossRef] [PubMed]
- Anagha, P.L.; Viji, N.V.; Devika, D.; Ramasamy, E.V. Distribution and abundance of microplastics in the water column of Vembanad Lake—A Ramsar site in Kerala, India. Mar. Pollut. Bull. 2023, 194, 115433. [Google Scholar] [CrossRef]
- Conley, K.; Clum, A.; Deepe, J.; Lane, H.; Beckingham, B. Wastewater treatment plants as a source of microplastics to an urban estuary: Removal efficiencies and loading per capita over one year. Water Res. X 2019, 3, 100030. [Google Scholar] [CrossRef] [PubMed]
- Liu, W.; Zhang, J.; Liu, H.; Guo, X.; Zhang, X.; Yao, X.; Cao, Z.; Zhang, T. A review of the removal of microplastics in global wastewater treatment plants: Characteristics and mechanisms. Environ. Int. 2021, 146, 106277. [Google Scholar] [CrossRef] [PubMed]
- Reddy, A.S.; Nair, A.T. The fate of microplastics in wastewater treatment plants: An overview of source and remediation technologies. Environ. Technol. Innov. 2022, 28, 102815. [Google Scholar] [CrossRef]
- Novotna, K.; Cermakova, L.; Pivokonska, L.; Cajthaml, T.; Pivokonsky, M. Microplastics in drinking water treatment—Current knowledge and research needs. Sci. Total Environ. 2019, 667, 730–740. [Google Scholar] [CrossRef] [PubMed]
- Xue, J.; Samaei, S.H.A.; Chen, J.; Doucet, A.; Ng, K.T.W. What have we known so far about microplastics in drinking water treatment? A timely review. Front. Environ. Sci. Eng. 2022, 16, 58. [Google Scholar] [CrossRef] [PubMed]
- Sarkar, D.J.; Sarkar, S.D.; Das, B.K.; Praharaj, J.K.; Samanta, S. Microplastics removal efficiency of drinking water treatment plant with pulse clarifier. J. Hazard. Mater. 2021, 413, 125347. [Google Scholar] [CrossRef]
- Pivokonský, M.; Pivokonská, L.; Novotná, K.; Čermáková, L.; Klimtová, M. Occurrence and fate of microplastics at two different drinking water treatment plants within a river catchment. Sci. Total Environ. 2020, 741, 140236. [Google Scholar] [CrossRef]
- Jung, J.W.; Kim, S.; Kim, Y.S.; Jeong, S.; Lee, J. Tracing microplastics from raw water to drinking water treatment plants in Busan, South Korea. Sci. Total Environ. 2022, 825, 154015. [Google Scholar] [CrossRef]
- Radityaningrum, A.D.; Trihadiningrum, Y.; Mar’atusholihah; Soedjono, E.S.; Herumurti, W. Microplastic contamination in water supply and the removal efficiencies of the treatment plants: A case of Surabaya City, Indonesia. J. Water Process Eng. 2021, 43, 102195. [Google Scholar] [CrossRef]
- Hajji, S.; Ben-Haddad, M.; Abelouah, M.R.; De-la-Torre, G.E.; Alla, A.A. Occurrence, characteristics, and removal of microplastics in wastewater treatment plants located on the Moroccan Atlantic: The case of Agadir metropolis. Sci. Total Environ. 2023, 862, 160815. [Google Scholar] [CrossRef]
- Min, R.; Ma, K.; Zhang, H.; Zhang, J.; Yang, S.; Zhou, T.; Zhang, G. Distribution and risk assessment of microplastics in Liujiaxia Reservoir on the upper Yellow River. Chemosphere 2023, 320, 138031. [Google Scholar] [CrossRef] [PubMed]
- Li, L.; Geng, S.; Wu, C.; Song, K.; Wang, Q. Microplastics contamination in different trophic state lakes along the middle and lower reaches of Yangtze River Basin. Environ. Pollut. 2019, 254, 112951. [Google Scholar] [CrossRef] [PubMed]
- Shu, X.; Xu, L.; Yang, M.; Qin, Z.; Zhang, Q.; Zhang, L. Spatial distribution characteristics and migration of microplastics in surface water, groundwater and sediment in karst areas: The case of Yulong River in Guilin, Southwest China. Sci. Total Environ. 2023, 868, 161578. [Google Scholar] [CrossRef] [PubMed]
- Selvam, S.; Jesuraja, K.; Senapathi, V.; Roy, P.D.; Kumari, V.J. Hazardous microplastic characteristics and its role as a vector of heavy metal in groundwater and surface water of coastal south India. J. Hazard. Mater. 2021, 402, 123786. [Google Scholar] [CrossRef]
- Qian, Y.; Shang, Y.; Zheng, Y.; Jia, Y.; Wang, F. Temporal and spatial variation of microplastics in Baotou section of Yellow River, China. J. Environ. Manag. 2023, 338, 117803. [Google Scholar] [CrossRef] [PubMed]
- Di, M.; Liu, X.; Wang, W.; Wang, J. Pollution in drinking water source areas: Microplastics in the Danjiangkou Reservoir, China. Environ. Toxicol. Phar. 2019, 65, 82–89. [Google Scholar] [CrossRef]
- Dronjak, L.; Exposito, N.; Rovira, J.; Florencio, K.; Emiliano, P.; Corzo, B.; Schuhmacher, M.; Valero, F.; Sierra, J. Screening of microplastics in water and sludge lines of a drinking water treatment plant in Catalonia, Spain. Water Res. 2022, 225, 119185. [Google Scholar] [CrossRef]
- Johnson, A.C.; Ball, H.; Cross, R.; Horton, A.A.; Jürgens, M.D.; Read, D.S.; Vollertsen, J.; Svendsen, C. Identification and quantification of microplastics in potable water and their sources within water treatment works in England and Wales. Environ. Sci. Technol. 2020, 54, 12326–12334. [Google Scholar] [CrossRef]
- Ren, Z.; Gui, X.; Xu, X.; Zhao, L.; Qiu, H.; Cao, X. Microplastics in the soil-groundwater environment: Aging, migration, and co-transport of contaminants—A critical review. J. Hazard. Mater. 2021, 419, 126455. [Google Scholar] [CrossRef]
- Fan, J.; Zou, L.; Duan, T.; Qin, L.; Qi, Z.; Sun, J. Occurrence and distribution of microplastics in surface water and sediments in China’s inland water systems: A critical review. J. Clean. Prod. 2022, 331, 129968. [Google Scholar] [CrossRef]
- Da Le, N.; Hoang, T.T.H.; Duong, T.T.; Lu, X.; Pham, T.M.H.; Phung, T.X.B.; Le, T.M.H.; Duong, T.H.; Nguyen, T.D.; Le, T.P.Q. First observation of microplastics in surface sediment of some aquaculture ponds in Hanoi city, Vietnam. J. Hazard. Mater. Adv. 2022, 6, 100061. [Google Scholar] [CrossRef]
- Wang, G.; Lu, J.; Tong, Y.; Liu, Z.; Zhou, H.; Xiayihazi, N. Occurrence and pollution characteristics of microplastics in surface water of the Manas River Basin, China. Sci. Total Environ. 2020, 710, 136099. [Google Scholar] [CrossRef]
- Okamoto, K.; Nomura, M.; Horie, Y.; Okamura, H. Color preferences and gastrointestinal-tract retention times of microplastics by freshwater and marine fishes. Environ. Pollut. 2022, 304, 119253. [Google Scholar] [CrossRef] [PubMed]
- Zhao, X.; Wang, J.; Yee Leung, K.M.; Wu, F. Color: An important but overlooked factor for plastic photoaging and microplastic formation. Environ. Sci. Technol. 2022, 56, 9161–9163. [Google Scholar] [CrossRef] [PubMed]
- Sangkham, S.; Islam, M.A.; Adhikari, S.; Kumar, R.; Sharma, P.; Sakunkoo, P.; Bhattacharya, P.; Tiwari, A. Evidence of microplastics in groundwater: A growing risk for human health. Groundw. Sustain. Dev. 2023, 23, 100981. [Google Scholar] [CrossRef]
- Bäuerlein, P.S.; Hofman-Caris, R.C.; Pieke, E.N.; Ter Laak, T.L. Fate of microplastics in the drinking water production. Water Res. 2022, 221, 118790. [Google Scholar] [CrossRef]
- Gambino, I.; Bagordo, F.; Grassi, T.; Panico, A.; De Donno, A. Occurrence of microplastics in tap and bottled water: Current Knowledge. Int. J. Environ. Res. Public Health 2022, 19, 5283. [Google Scholar] [CrossRef]
- Wang, Z.; Lin, T.; Chen, W. Occurrence and removal of microplastics in an advanced drinking water treatment plant (ADWTP). Sci. Total Environ. 2020, 700, 134520. [Google Scholar] [CrossRef]
- Li, C.; Busquets, R.; Moruzzi, R.B.; Campos, L.C. Preliminary study on low-density polystyrene microplastics bead removal from drinking water by coagulation-flocculation and sedimentation. J. Water Process Eng. 2021, 44, 102346. [Google Scholar] [CrossRef]
- Pivokonsky, M.; Cermakova, L.; Novotna, K.; Peer, P.; Cajthaml, T.; Janda, V. Occurrence of microplastics in raw and treated drinking water. Sci. Total Environ. 2018, 643, 1644–1651. [Google Scholar] [CrossRef]
- Dalmau-Soler, J.; Ballesteros-Cano, R.; Boleda, M.R.; Paraira, M.; Ferrer, N.; Lacorte, S. Microplastics from headwaters to tap water: Occurrence and removal in a drinking water treatment plant in Barcelona Metropolitan area (Catalonia, NE Spain). Environ. Sci. Pollut. Res. 2021, 28, 59462–59472. [Google Scholar] [CrossRef] [PubMed]
- Xu, L.; Wang, Z.F. Occurrence and removal of microplastics in a water treatment plant. Water Purif. Technol. 2020, 39, 109–113, 120. [Google Scholar] [CrossRef]






| DWTP | Sampling Time | Scale (×104 m3) | Water Source |
|---|---|---|---|
| A | 14 June 2023 | 15 | Yellow River (10%) Middle Route Project of S-N Water Diversion (90%) |
| B | 16 June 2023 | 10 | Yellow River (95%) Middle Route Project of S-N Water Diversion (5%) |
| C | 27 June 2023 | 6 | Fourteen underground water wells (100%) |
| D | 11 July 2023 | 10 | Middle Route Project of S-N Water Diversion (100%) |
| WDTP | Mean Abundance (n/L) | Removal Rate 1 (%) | Removal Rate 2 (%) | ||
|---|---|---|---|---|---|
| RW | STO | TDW | |||
| A | 22.67 | 11.47 | 6.93 | 49.4 | 69.4 |
| B | 25.07 | 13.33 | 6.40 | 46.8 | 74.5 |
| C | 12.80 | / | 6.93 | / | 45.8 |
| D | 18.67 | 11.73 | 8.80 | 37.1 | 52.9 |
| Name | Country | Raw Water | Capacity (104 m3/d) | Treatment Process | Removal Efficiency (%) | Reference |
|---|---|---|---|---|---|---|
| Milence | Czech Republic | Úhlava River | 1.56 | Flocculation and sand filtration | 40.0 | [27] |
| Plzeň | Czech Republic | Úhlava River | 3.46 | Coagulation/flocculation, sedimentation, filtration, ozonation, and GAC filtration | 88.0 | [27] |
| DWTP1 | Czech Republic | Large reservoir | 31.97 | Coagulation/flocculation, sand filtration | 70.0 | [50] |
| DWTP2 | Czech Republic | Small reservoir | 0.86 | Coagulation/flocculation, sedimentation, sand and granular activated carbon filtration | 81.0 | [50] |
| DWTP3 | Czech Republic | River | 0.78 | Coagulation/flocculation, flotation, sand filtration and granular activated carbon filtration | 83.0 | [50] |
| Sant Joan Despí | Spain | Llobregat River | 43.20 | Coagulation/flocculation, settling, sand filtration, ozonation, GAC filtration, and ultrafiltration | 93.0 | [51] |
| Barcelona | Spain | Llobregat river | 27.65 | Coagulation/flocculation, clarifiers, sand filters, carbon filters, reversible electrodialysis | 98.3 | [37] |
| Indira Gandhi | India | Ganga River | 34.85 | Pre-disinfection, coagulation/flocculation, pulse clarification, sand filtration, and post-disinfection | 84.6 | [26] |
| A total of 4 DWTPs | Korea | Nakdong River and two lakes | ND | Pre-ozonation, coagulation, sedimentation, sand filtration | >90.0 | [28] |
| / | China | Yangtze River | 120 | Coagulation/flocculation, sedimentation, sand filtration, ozonation, granular activated carbon (GAC) filtration | 82.1–88.6 | [48] |
| / | China | / | 20.00 | Coagulation/flocculation, settling, ozonation, biological activated carbon, sand filtration | 80.1 | [52] |
Disclaimer/Publisher’s Note: The statements, opinions and data contained in all publications are solely those of the individual author(s) and contributor(s) and not of MDPI and/or the editor(s). MDPI and/or the editor(s) disclaim responsibility for any injury to people or property resulting from any ideas, methods, instructions or products referred to in the content. |
© 2023 by the authors. Licensee MDPI, Basel, Switzerland. This article is an open access article distributed under the terms and conditions of the Creative Commons Attribution (CC BY) license (https://creativecommons.org/licenses/by/4.0/).
Share and Cite
Li, Y.; Meng, Y.; Qin, L.; Shen, M.; Qin, T.; Chen, X.; Chai, B.; Liu, Y.; Dou, Y.; Duan, X. Occurrence and Removal Efficiency of Microplastics in Four Drinking Water Treatment Plants in Zhengzhou, China. Water 2024, 16, 131. https://doi.org/10.3390/w16010131
Li Y, Meng Y, Qin L, Shen M, Qin T, Chen X, Chai B, Liu Y, Dou Y, Duan X. Occurrence and Removal Efficiency of Microplastics in Four Drinking Water Treatment Plants in Zhengzhou, China. Water. 2024; 16(1):131. https://doi.org/10.3390/w16010131
Chicago/Turabian StyleLi, Yang, Yinghui Meng, Liwen Qin, Minghui Shen, Tongtong Qin, Xudong Chen, Beibei Chai, Yue Liu, Yanyan Dou, and Xuejun Duan. 2024. "Occurrence and Removal Efficiency of Microplastics in Four Drinking Water Treatment Plants in Zhengzhou, China" Water 16, no. 1: 131. https://doi.org/10.3390/w16010131
APA StyleLi, Y., Meng, Y., Qin, L., Shen, M., Qin, T., Chen, X., Chai, B., Liu, Y., Dou, Y., & Duan, X. (2024). Occurrence and Removal Efficiency of Microplastics in Four Drinking Water Treatment Plants in Zhengzhou, China. Water, 16(1), 131. https://doi.org/10.3390/w16010131

