Interaction of the Coupled Effects of Irrigation Mode and Nitrogen Fertilizer Format on Tomato Production
Abstract
1. Introduction
2. Materials and Methods
2.1. Overview of the Test Site and Test Materials
2.2. Experimental Design
2.3. Experimental Method
2.4. Project Measurement and Methods
2.4.1. Solar Greenhouse Environmental Conditions and Water Consumption
2.4.2. Tomato Yield and Quality
2.4.3. N, P, and K Contents of Plants
2.4.4. Water Use Efficiency, Nutrient Accumulation, and Use Efficiency
2.5. Data Analysis Methods
3. Results
3.1. Effect of Different Treatments on Tomato Yield and Quality
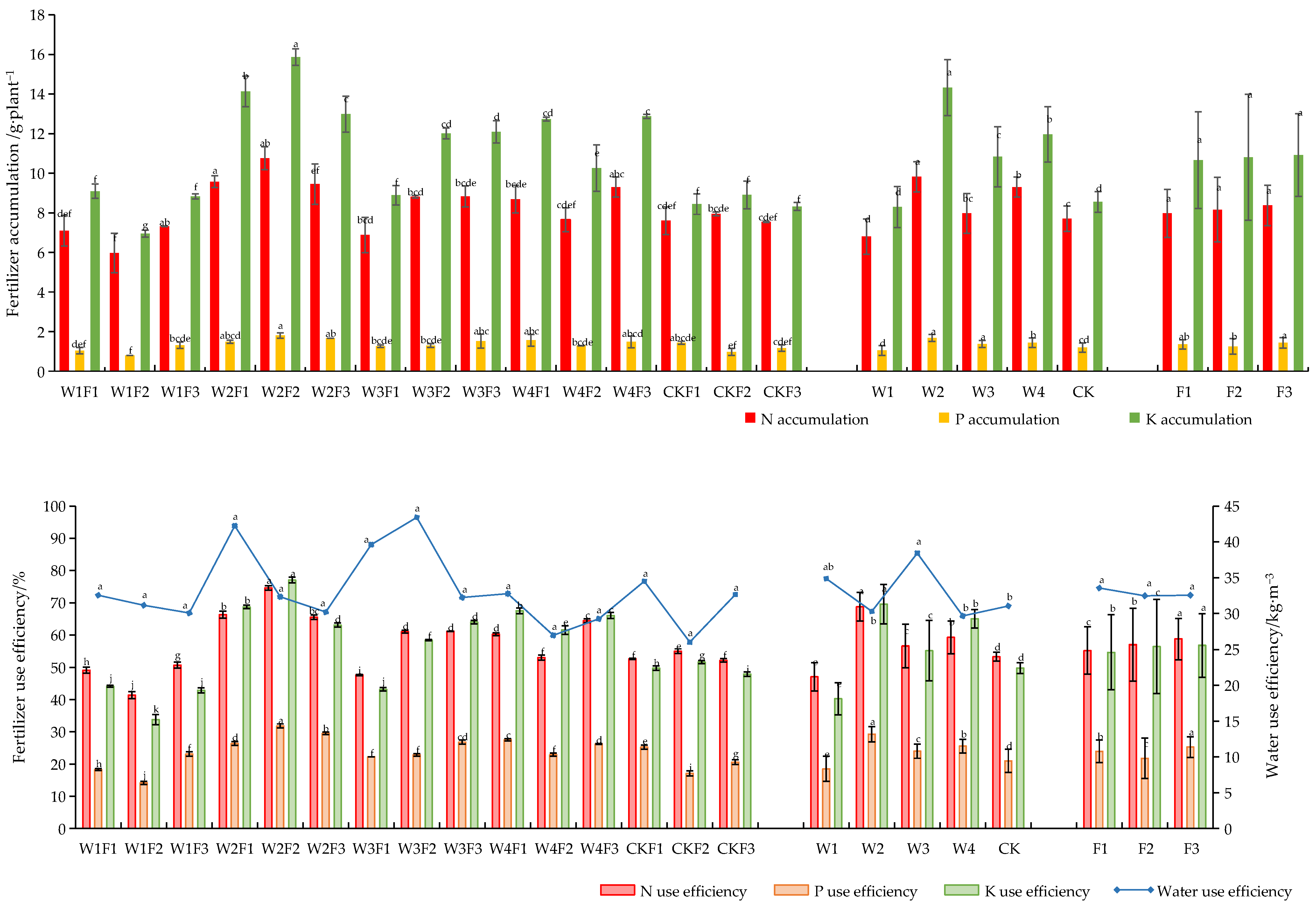
3.2. Effects of Different Treatments on Water and Fertilizer Use Efficiency of Tomato
3.3. Comprehensive Evaluation of the Effect of Different Water and Fertilizer Treatments
3.3.1. Correlation between Indicators
3.3.2. Analysis and Evaluation of Tomato Yield, Quality, and Water–Fertilizer Use Efficiency
3.3.3. Comprehensive Evaluation of the Effect of Different Water and Fertilizer Treatments Using Fuzzy Borda
4. Discussion
4.1. Relationships among Tomato Yield, Quality Indicators, and Water and Fertilizer Use Efficiency Indicators
4.2. Effects of Irrigation Lower Limit and Nitrogen Forms and Water-Fertilizer Interactions on Tomato Yield and Quality
4.3. Effects of Irrigation Lower Limit and Nitrogen Forms and Water-Fertilizer Interactions on Water and Fertilizer Use Efficiency of Tomato
5. Conclusions
Author Contributions
Funding
Institutional Review Board Statement
Informed Consent Statement
Data Availability Statement
Conflicts of Interest
Appendix A
| Treatment | N Accumulation (g/plant) | P Accumulation (g/plant) | K Accumulation (g/plant) | N Use Efficiency (%) | P Use Efficiency (%) | K Use Efficiency (%) | Water Use Efficiency (kg/·m3) |
|---|---|---|---|---|---|---|---|
| W1F1 | 7.09 ± 0.77 def | 1.03 ± 0.16 def | 9.09 ± 0.36 f | 49.15 ± 0.94 h | 18.24 ± 0.30 h | 44.16 ± 0.32 j | 32.55 ± 8.51 a |
| W1F2 | 5.97 ± 1.00 f | 0.80 ± 0.00 f | 6.95 ± 0.18 g | 41.39 ± 1.11 j | 14.15 ± 0.49 j | 33.79 ± 1.60 k | 31.15 ± 10.91 a |
| W1F3 | 7.32 ± 0.02 def | 1.31 ± 0.16 bcde | 8.83 ± 0.13 f | 50.73 ± 0.90 g | 23.11 ± 0.70 f | 42.91 ± 0.79 j | 30.07 ± 5.24 a |
| W2F1 | 9.57 ± 0.30 ab | 1.49 ± 0.08 abcd | 14.13 ± 0.77 b | 66.31 ± 1.05 b | 26.40 ± 0.58 d | 68.68 ± 0.54 b | 42.25 ± 11.22 a |
| W2F2 | 10.76 ± 0.58 a | 1.80 ± 0.13 a | 15.86 ± 0.42 a | 74.58 ± 0.71 a | 31.83 ± 0.63 a | 77.06 ± 0.86 a | 32.34 ± 13.89 a |
| W2F3 | 9.45 ± 1.02 ab | 1.67 ± 0.00 ab | 12.98 ± 0.91 c | 65.49 ± 0.67 bc | 29.53 ± 0.37 b | 63.07 ± 0.65 d | 30.21 ± 10.76 a |
| W3F1 | 6.88 ± 0.89 ef | 1.26 ± 0.07 bcde | 8.89 ± 0.49 f | 47.66 ± 0.21 i | 22.26 ± 0.00 f | 43.21 ± 0.52 j | 39.63 ± 3.15 a |
| W3F2 | 8.81 ± 0.06 bcd | 1.29 ± 0.10 bcde | 12.01 ± 0.27 cd | 61.02 ± 0.43 d | 22.86 ± 0.39 f | 58.39 ± 0.23 f | 43.43 ± 9.08 a |
| W3F3 | 8.82 ± 0.53 bcde | 1.52 ± 0.35 abc | 12.09 ± 0.56 d | 61.14 ± 0.06 d | 26.83 ± 0.68 cd | 63.99 ± 0.57 d | 32.24 ± 2.46 a |
| W4F1 | 8.69 ± 0.70 bcde | 1.56 ± 0.30 abc | 12.73 ± 0.10 c | 60.24 ± 0.42 d | 27.54 ± 0.34 c | 67.49 ± 0.88 b | 32.77 ± 9.66 a |
| W4F2 | 7.65 ± 0.60 cdef | 1.29 ± 0.01 bcde | 10.26 ± 1.17 e | 53.04 ± 0.80 f | 22.90 ± 0.49 f | 61.52 ± 1.34 e | 26.95 ± 6.06 a |
| W4F3 | 9.30 ± 0.50 abc | 1.48 ± 0.30 abcd | 12.87 ± 0.10 c | 64.46 ± 0.59 c | 26.25 ± 0.18 d | 66.05 ± 0.96 c | 29.25 ± 5.84 a |
| CKF1 | 7.60 ± 0.70 cdef | 1.43 ± 0.08 abcde | 8.44 ± 0.52 f | 52.69 ± 0.22 f | 25.25 ± 0.66 e | 49.80 ± 0.68 h | 34.50 ± 7.62 a |
| CKF2 | 7.94 ± 0.10 bcde | 0.97 ± 0.18 ef | 8.90 ± 0.70 f | 55.04 ± 0.74 e | 17.13 ± 0.80 i | 51.65 ± 0.50 g | 26.00 ± 5.76 a |
| CKF3 | 7.54 ± 0.03 cdef | 1.16 ± 0.16 cdef | 8.32 ± 0.20 f | 52.22 ± 0.57 f | 20.60 ± 0.73 g | 47.94 ± 0.69 i | 32.64 ± 4.66 a |
| W1 | 6.80 ± 0.89 d | 1.05 ± 0.25 d | 8.29 ± 1.03 d | 47.09 ± 4.41 e | 18.50 ± 3.91e | 40.28 ± 4.99 e | 34.87 ± 5.34 ab |
| W2 | 9.82 ± 0.76 a | 1.68 ± 0.18 a | 14.32 ± 1.41 a | 68.75 ± 4.46 a | 29.25 ± 2.40 a | 69.60 ± 6.12 a | 30.30 ± 6.04 b |
| W3 | 7.97 ± 1.00 bc | 1.37 ± 0.23 bc | 10.83 ± 1.52 c | 56.60 ± 6.72 c | 23.98 ± 2.19 c | 55.20 ± 9.32 c | 38.43 ± 6.99 a |
| W4 | 9.30 ± 0.50 b | 1.44 ± 0.24 b | 11.96 ± 1.40 b | 59.25 ± 5.03 b | 25.56 ± 2.1 b | 65.02 ± 2.85 b | 29.66 ± 6.89 b |
| CK | 7.70 ± 0.64 c | 1.19 ± 0.23 cd | 8.55 ± 0.52 d | 53.32 ± 1.39 d | 20.99 ± 3.58 d | 49.80 ± 1.70 d | 31.05 ± 6.57 b |
| F1 | 7.97 ± 1.21 a | 1.35 ± 0.24 ab | 10.66 ± 2.44 a | 55.21 ± 7.32 c | 23.94 ± 3.49 b | 54.67 ± 11.60 b | 33.56 ± 6.09 a |
| F2 | 8.16 ± 1.63 a | 1.25 ± 0.39 b | 10.80 ± 3.18 a | 57.01 ± 11.25 b | 21.77 ± 6.28 c | 56.48 ± 14.60 a | 32.47 ± 8.57 a |
| F3 | 8.37 ± 1.02 a | 1.43 ± 0.27 a | 10.92 ± 2.09 a | 58.78 ± 6.38 a | 25.26 ± 3.24 a | 56.79 ± 9.82 a | 32.55 ± 6.40 a |
| W | 0.000 | 0.000 | 0.000 | 0.000 | 0.000 | 0.000 | 0.029 |
| F | 0.278 | 0.021 | 0.435 | 0.000 | 0.000 | 0.000 | 0.871 |
| W*F | 0.003 | 0.003 | 0.000 | 0.000 | 0.000 | 0.000 | 0.249 |
References
- Ronga, D.; Pentangelo, A.; Parisi, M. Optimizing N Fertilization to Improve Yield, Technological and Nutritional Quality of Tomato Grown in High Fertility Soil Conditions. Plants 2020, 9, 575. [Google Scholar] [CrossRef] [PubMed]
- Sun, X.; Ritzema, H.; Huang, X.; Bai, X.; Hellegers, P. Assessment of farmers water and fertilizer practices and perceptions in the North China Plain. Irrig. Drain. 2022, 71, 980–996. [Google Scholar] [CrossRef]
- Paul, W. Prospects for controlled application of water and fertiliser, based on sensing permittivity of soil. Comput. Electron. Agric. 2002, 36, 151–163. [Google Scholar] [CrossRef]
- Alordzinu, K.E.; Appiah, S.A.; Al Aasmi, A.; Darko, R.O.; Li, J.; Lan, Y.; Adjibolosoo, D.; Lian, C.; Wang, H.; Qiao, S.; et al. Evaluating the Influence of Deficit Irrigation on Fruit Yield and Quality Indices of Tomatoes Grown in Sandy Loam and Silty Loam Soils. Water 2022, 14, 1753. [Google Scholar] [CrossRef]
- Bai, C.; Zuo, J.; Watkins, C.B.; Wang, Q.; Liang, H.; Zheng, Y.; Liu, M.; Ji, Y. Sugar accumulation and fruit quality of tomatoes under water deficit irrigation. Postharvest Biol. Technol. 2023, 195, 112112. [Google Scholar] [CrossRef]
- Fu, H.; Cui, D.; Shen, H. Effects of Nitrogen Forms and Application Rates on Nitrogen Uptake, Photosynthetic Characteristics and Yield of Double-Cropping Rice in South China. Agronomy 2021, 11, 158. [Google Scholar] [CrossRef]
- Guo, H.X.; Liu, W.Q.; Shi, Y.C. Effects of different nitrogen forms on photosynthetic rate and the chlorophyll fluorescence induction kinetics of flue-cured tobacco. Photosynthetica 2006, 44, 140–142. [Google Scholar] [CrossRef]
- Qiqige, S.; Jia, L.; Qin, Y.; Chen, Y.; Fan, M. Effects of different nitrogen forms on potato growth and development. J. Plant Nutr. 2017, 40, 1651–1659. [Google Scholar] [CrossRef]
- Kowalska, I.; Sady, W. Effects of polyethylene film covering the greenhouse, nitrogen fertiliser form, and foliar nutrition on the yield and quality of lettuce. Folia Hortic. 2010, 22, 37–44. [Google Scholar] [CrossRef]
- Zhang, M.; Xiao, N.; Li, Y.; Niu, W.; Zhang, D.; Xu, Z.; Zhang, Z. Growth and Fruit Yields of Greenhouse Tomato under the Integrated Water and Fertilizer by Moistube Irrigation. Agronomy 2022, 12, 1630. [Google Scholar] [CrossRef]
- Du, Q.; Xiao, H.; Li, J.; Zhang, J.; Zhou, L.; Wang, J. Effects of different fertilization rates on growth, yield, quality and partial factor productivity of tomato under non-pressure gravity irrigation. PLoS ONE 2021, 16, e0247578. [Google Scholar] [CrossRef] [PubMed]
- Khapte, P.S.; Kumar, P.; Burman, U.; Kumar, P. Deficit irrigation in tomato: Agronomical and physio-biochemical implications. Sci. Hortic. 2019, 248, 256–264. [Google Scholar] [CrossRef]
- Luo, H.Y.; Li, F. Tomato yield, quality and water use efficiency under different drip fertigation strategies. Sci. Hortic. 2018, 235, 181–188. [Google Scholar] [CrossRef]
- Zhang, Q.; Wu, S.; Chen, C.; Shu, L.; Zhou, X.; Zhu, S. Regulation of nitrogen forms on growth of eggplant under partial root-zone irrigation. Agric. Water Manag. 2014, 142, 56–65. [Google Scholar] [CrossRef]
- Xu, G.; Jiang, M.; Lu, D.; Hezheng, W.; Chen, M. Nitrogen forms affect the root characteristic, photosynthesis, grain yield, and nitrogen use efficiency of rice under different irrigation regimes. Crop Sci. 2020, 60, 2594–2610. [Google Scholar] [CrossRef]
- Chen, C.; Xu, F.; Zhu, J.; Wang, R.; Xu, Z.Z.; Shu, L.; Xu, W. Nitrogen forms affect root growth, photosynthesis, and yield of tomato under alternate partial root-zone irrigation. J. Plant Nutr. Soil Sci. 2016, 179, 104–112. [Google Scholar] [CrossRef]
- Wang, F.; Kang, S.; Du, T.; Li, F.; Qiu, R. Determination of comprehensive quality index for tomato and its response to different irrigation treatments. Agric. Water Manag. 2011, 98, 1228–1238. [Google Scholar] [CrossRef]
- Viskelis, P.; Jankauskiene, J.; Bobinaite, R.; Karklina, D.; Venskutonis, P.R.; Vokk, R.; Verhe, R.; Lucke, F.K.; Kuka, P.; Rukshan, L.; et al. Content of carotenoids and physical properties of tomatoes harvested at different ripening stages. FOODBALT 2008, 2008, 166–171. [Google Scholar]
- Wang, C.; Gu, F.L.; Chen, J.; Yang, H.; Jiang, J.; Du, T.; Zhang, J. Assessing the response of yield and comprehensive fruit quality of tomato grown in greenhouse to deficit irrigation and nitrogen application strategies. Agric. Water Manag. 2015, 161, 9–19. [Google Scholar] [CrossRef]
- Zheng, J.; Qi, X.; Shi, C.; Yang, S.; Wu, Y. Tomato Comprehensive Quality Evaluation and Irrigation Mode Optimization with Biogas Slurry Based on the Combined Evaluation Model. Agronomy 2022, 12, 1391. [Google Scholar] [CrossRef]
- Eynizadeh, P.; Dehghani, H. Selecting elite tomato genotypes through a modified analytical hierarchy process. Crop Pasture Sci. 2020, 71, 822. [Google Scholar] [CrossRef]
- Jin, N.; Jin, L.; Wang, S.; Meng, X.; Ma, X.; Xianxia, H.; Zhang, G.; Luo, S.; Bi, J.; Yu, J. A Comprehensive Evaluation of Effects on Water-Level Deficits on Tomato Polyphenol Composition, Nutritional Quality and Antioxidant Capacity. Antioxidants 2022, 11, 1585. [Google Scholar] [CrossRef] [PubMed]
- Shan, B.; Guo, P.; Guo, S.; Li, Z. A Price-Forecast-Based Irrigation Scheduling Optimization Model under the Response of Fruit Quality and Price to Water. Sustainability 2019, 11, 2124. [Google Scholar] [CrossRef]
- Orouskhani, M.; Teshnehlab, M.; Nekoui, M.A. Evolutionary dynamic multi-objective optimization algorithm based on Borda count method. Int. J. Mach. Learn. Cybern. 2019, 10, 1931–1959. [Google Scholar] [CrossRef]
- Chand, J.B.; Hewa, G.; Hassanli, A.M.; Myers, B. Evaluation of Deficit Irrigation and Water Quality on Production and Water Productivity of Tomato in Greenhouse. Agriculture 2020, 10, 297. [Google Scholar] [CrossRef]
- Liu, H.; Li, H.; Ning, H.; Zhang, X.; Li, S.; Pang, J.; Wang, G.; Sun, J. Optimizing irrigation frequency and amount to balance yield, fruit quality and water use efficiency of greenhouse tomato. Agric. Water Manag. 2019, 226, 105787. [Google Scholar] [CrossRef]
- Takács, S.; Pék, Z.; Csányi, D.; Daood, H.G.; Szuvandzsiev, P.; Palotás, G.; Helyes, L. Influence of Water Stress Levels on the Yield and Lycopene Content of Tomato. Water 2020, 12, 2165. [Google Scholar] [CrossRef]
- Du, Y.; Cao, H.; Liu, S.; Gu, X.; Cao, Y. Response of yield, quality, water and nitrogen use efficiency of tomato to different levels of water and nitrogen under drip irrigation in Northwestern China. J. Integr. Agric. 2017, 16, 1153–1161. [Google Scholar] [CrossRef]
- Fang, L.; Wei, K.; Feng, L.; Tu, K.; Peng, J.; Wang, J.; Pan, L. Optical Absorption and Scattering Properties at 900–1650 nm and Their Relationships with Soluble Solid Content and Soluble Sugars in Apple Flesh during Storage. Foods 2020, 9, 1881. [Google Scholar] [CrossRef]
- Panthee, D.R.; Labate, J.A.; Robertson, L.W. Evaluation of tomato accessions for flavour and flavour-contributing components. Plant Genet. Resour. 2013, 11, 106–113. [Google Scholar] [CrossRef]
- Oesper, R.E. Kjeldahl and the determination of nitrogen. J. Chem. Educ. 1934, 11, 457. [Google Scholar] [CrossRef]
- Hanping, M.; Wenjing, Z.; Hongyu, L. Determination of nitrogen and potassium content in greenhouse tomato leaves using a new spectro-goniophotometer. Crop Pasture Sci. 2014, 65, 888. [Google Scholar] [CrossRef]
- Willard, H.H.; Van Lente, K.; Van Atta, R.E. An experiment in flame photometry. J. Chem. Educ. 1957, 34, 192. [Google Scholar] [CrossRef]
- Hou, M.; Lin, Z.; Chen, J.; Zhai, Y.; Jin, Q.; Zhong, F. Optimization on theBuried Depth of Subsurface Drainage under Greenhouse Condition Based on Entropy Evaluation Method. Entropy 2018, 20, 859. [Google Scholar] [CrossRef] [PubMed]
- Pramanik, S.; Lai, S.; Ray, R.L.; Patra, S.K. Effect of Drip Fertigation on Yield, Water Use Efficiency, and Nutrients Availability in Banana in West Bengal, India. Commun. Soil Sci. Plant Anal. 2016, 47, 1691–1700. [Google Scholar] [CrossRef]
- Wang, Y.; De Gil, P.R.; Chen, Y.; Kromrey, J.D.; Kim, E.K.; Pham, T.S.; Nguyen, D.N.; Romano, J.L. Comparing the Performance of Approaches for Testing the Homogeneity of Variance Assumption in One-Factor ANOVA Models. Educ. Psychol. Meas. 2017, 77, 305–329. [Google Scholar] [CrossRef] [PubMed]
- LaMotte, L.R. Proportional subclass numbers in two-factor ANOVA. Statistics 2018, 52, 228–238. [Google Scholar] [CrossRef]
- Wang, X.; Xing, Y. Evaluation of the effects of irrigation and fertilization on tomato fruit yield and quality: A principal component analysis. Sci. Rep. 2017, 7, 350. [Google Scholar] [CrossRef]
- Liu, R.; Kuang, J.J.; Gong, Q.; Hou, X.L. Principal component regression analysis with spss. Comput. Methods Programs Biomed. 2003, 71, 141–147. [Google Scholar] [CrossRef]
- Sivakumar, J.; Prashanth, J.; Rajesh, N.; Reddy, S.; Pinjari, O.B. Principal component analysis approach for comprehensive screening of salt stress-tolerant tomato germplasm at the seedling stage. J. Biosci. 2020, 45, 141. [Google Scholar] [CrossRef]
- Li, X.; Ma, J.; Zheng, L.; Chen, J.; Sun, X.; Guo, X. Optimization of the Regulated Deficit Irrigation Strategy for Greenhouse Tomato Based on the Fuzzy Borda Model. Agriculture 2022, 12, 324. [Google Scholar] [CrossRef]
- Chen, G.; Lou, Q.; Su, X.; Sun, H.; Xu, C.; Li, S.; Zhao, J.; Qiao, H.; Wang, Y.; Liang, Y. Research Progress on Tomato Fruits Flavor Substance Composition and Its Influencing Factors. China Veg. 2022, 7, 23–33. [Google Scholar] [CrossRef]
- Coyago-Cruz, E.; Meléndez-Martínez, A.J.; Moriana, A.; Girón, I.; Martín-Palomo, M.; Galindo, A.; Pérez-López, D.; Torrecillas, A.; Sinchiguano, E.B. Yield response to regulated deficit irrigation of greenhouse cherry tomatoes. Agric. Water Manag. 2019, 213, 212–221. [Google Scholar] [CrossRef]
- Colimba-Limaico, J.E.; Zubelzu-Minguez, S.; Rodríguez-Sinobas, L. Optimal Irrigation Scheduling for Greenhouse Tomato Crop (Solanum Lycopersicum L.) in Ecuador. Agronomy 2022, 12, 1020. [Google Scholar] [CrossRef]
- Wu, Y.; Yan, S.; Fan, J.; Zhang, F.; Zhao, W.; Zheng, J.; Guo, J.; Xiang, Y.; Wu, L. Combined effects of irrigation level and fertilization practice on yield, economic benefit and water-nitrogen use efficiency of drip-irrigated greenhouse tomato. Agric. Water Manag. 2022, 262, 107401. [Google Scholar] [CrossRef]
- Ayankojo, I.T.; Morgan, K.T. Optimizing Tomato Growth and Productivity Using Nitrogen and Irrigation Application Timing. Agronomy 2021, 11, 1968. [Google Scholar] [CrossRef]
- Cheng, M.; Wang, H.; Fan, J.; Xiang, Y.; Liu, X.; Liao, Z.; Abdelghany, A.F.; Zhang, F.; Li, Z. Evaluation of AquaCrop model for greenhouse cherry tomato with plastic film mulch under various water and nitrogen supplies. Agric. Water Manag. 2022, 274, 107949. [Google Scholar] [CrossRef]
- Wang, X.; Yun, J.; Shi, P.; Li, Z.; Li, P.; Xing, Y. Root Growth, Fruit Yield and Water Use Efficiency of Greenhouse Grown Tomato Under Different Irrigation Regimes and Nitrogen Levels. J. Plant Growth Regul. 2019, 38, 400–415. [Google Scholar] [CrossRef]
- Xu, X.; Li, Q.; Song, X.; Qi-Rong, S.; Cai-Xia, D. Dynamic Regulation of Nitrogen and Organic Acid Metabolism of Cherry Tomato Fruit as Affected by Different Nitrogen Forms. Pedosphere 2012, 22, 67–78. [Google Scholar] [CrossRef]
- Han, K.; Han, X.; Curtis, D.J.; Kleinman PJ, A.; Tang, B.Z.; Wang, L. Impact of Irrigation, Nitrogen Fertilization, and Spatial Management on Maize. Agron. J. 2016, 108, 1794–1804. [Google Scholar] [CrossRef]
- Naghdyzadegan Jahromi, M.; Razzaghi, F.; Zand-Parsa, S. Strategies to increase barley production and water use efficiency by combining deficit irrigation and nitrogen fertilizer. Irrig. Sci. 2022, 41, 261–275. [Google Scholar] [CrossRef]
- Ochieng, I.O.; Gitari, H.I.; Mochoge, B.; Rezaei-Chiyaneh, E.; Gweyi-Onyango, J.P. Optimizing Maize Yield, Nitrogen Efficacy and Grain Protein Content under Different N Forms and Rates. J. Soil Sci. Plant Nutr. 2021, 21, 1867–1880. [Google Scholar] [CrossRef]
- Dai, J.; Duan, L.; Dong, H. Comparative Effect of Nitrogen Forms on Nitrogen Uptake and Cotton Growth Under Salinity Stress. J. Plant Nutr. 2015, 38, 1530–1543. [Google Scholar] [CrossRef]









| Depth (cm) | Organic Matter (g/kg) | Available Nitrogen (mg/kg) | Available Phosphorus (mg/kg) | Available Potassium (mg/kg) | pH | Electrical Conductivity, EC (uS/cm) |
|---|---|---|---|---|---|---|
| 0–20 | 13.50 | 54.83 | 21.50 | 179 | 7.72 | 177.20 |
| 20–40 | 16.60 | 68.32 | 17.90 | 188 | 7.81 | 179.80 |
| 40–60 | 12.00 | 57.34 | 26.80 | 172 | 7.74 | 246.20 |
| 60–80 | 11.60 | 56.53 | 19.30 | 196 | 7.86 | 232.20 |
| Irrigation Level | Soil Moisture Content When Irrigation Started | Soil Moisture Content When Irrigation Stopped | Nitrogen Fertilizer Treatment | Amount of Nitrogen Applied in Different Forms/kg·hm−2 |
|---|---|---|---|---|
| W1 | 50%FC | 90%FC | F1 | Urinary ammonia nitrogen 610.31 |
| F2 | Calcium nitrate 1302 | |||
| F3 | Ammonium sulfate 930 | |||
| W2 | 60%FC | 90%FC | F1 | Urinary ammonia nitrogen 610.31 |
| F2 | Calcium nitrate 1302 | |||
| F3 | Ammonium sulfate 930 | |||
| W3 | 70%FC | 90%FC | F1 | Urinary ammonia nitrogen 610.31 |
| F2 | Calcium nitrate 1302 | |||
| F3 | Ammonium sulfate 930 | |||
| W4 | 80% FC | 90%FC | F1 | Urinary ammonia nitrogen 610.31 |
| F2 | Calcium nitrate 1302 | |||
| F3 | Ammonium sulfate 930 | |||
| CK | Commonly used local drip irrigation system | F1 | Urinary ammonia nitrogen 610.31 | |
| F2 | Calcium nitrate 1302 | |||
| F3 | Ammonium sulfate 930 | |||
| Irrigation Level | Field Capacity Determined Using a Ring Knife (%) | Field Capacity Determined by the Monitoring Equipment (%) | Comparison of Results | Relative Error (%) |
|---|---|---|---|---|
| W1 | 39.19 ± 1.74 a | 39.31 | −0.12 | −0.31 |
| W2 | 37.01 ± 1.34 a | 36.90 | 0.11 | 0.30 |
| W3 | 41.16 ± 1.33 a | 41.97 | −0.81 | −1.97 |
| W4 | 37.88 ± 2.05 a | 37.80 | 0.08 | 0.21 |
| Irrigation Level | Nitrogen Fertilizer Treatment | Yield per Plant (kg/Plant) | Vc (mg/100 g) | Soluble Sugar (g/100 g) | TSS (%) | Sugar–Acid Ratio | Lycopene (mg/100 g) |
|---|---|---|---|---|---|---|---|
| W1 | F1 | 3.82 ± 0.85 abc | 38.40 ± 1.96 cde | 32.73 ± 1.59 bc | 4.17 ± 0.06 f | 9.70 ± 0.47 bc | 12.20 ± 0.20 cde |
| F2 | 2.88 ± 0.64 c | 36.14 ± 1.96 def | 37.60 ± 1.38 a | 5.00 ± 0.17 b | 11.14 ± 0.41 a | 15.20 ± 0.40 b | |
| F3 | 3.62 ± 0.52 abc | 40.66 ± 0.00 bc | 30.39 ± 0.60 cd | 4.60 ± 0.00 cde | 8.15 ± 0.90 cd | 16.10 ± 0.30 b | |
| W2 | F1 | 5.14 ± 1.37 ab | 36.14 ± 1.96 def | 28.24 ± 0.61 d | 4.20 ± 0.100 f | 8.36 ± 0.18 cd | 11.53 ± 0.35 def |
| F2 | 3.94 ± 1.69 abc | 42.91 ± 1.96 b | 29.22 ± 1.44 d | 4.50 ± 0.17 de | 7.09 ± 0.28 d | 17.50 ± 0.60 a | |
| F3 | 3.68 ± 1.31 abc | 35.01 ± 1.96 ef | 30.13 ± 1.00 cd | 4.43 ± 0.06 e | 8.50 ± 0.80 cd | 11.93 ± 0.25 cdef | |
| W3 | F1 | 5.20 ± 0.41 ab | 32.75 ± 1.96 fg | 27.76 ± 1.41 d | 4.03 ± 0.06 f | 7.46 ± 1.20 d | 17.57 ± 0.95 a |
| F2 | 5.70 ± 1.19 a | 41.79 ± 1.96 bc | 37.68 ± 1.66 a | 4.73 ± 0.06 c | 9.57 ± 0.42 bc | 10.53 ± 1.05 ef | |
| F3 | 4.23 ± 0.32 abc | 30.49 ± 0.00 g | 26.80 ± 0.65 d | 4.60 ± 0.10 cde | 6.80 ± 0.16 d | 10.53 ± 1.05 ef | |
| W4 | F1 | 4.44 ± 1.31 abc | 38.40 ± 1.96 cde | 26.59 ± 0.56 d | 3.07 ± 0.06 g | 5.47 ± 0.46 e | 13.20 ± 0.40 cd |
| F2 | 3.65 ± 0.82 abc | 39.53 ± 1.96 bcd | 28.69 ± 2.77 d | 4.17 ± 0.06 f | 8.50 ± 0.82 cd | 13.63 ± 0.55 c | |
| F3 | 3.96 ± 0.79 abc | 27.10 ± 0.00 h | 17.88 ± 2.17 e | 4.00 ± 0.00 f | 5.30 ± 0.64 e | 13.67 ± 1.25 c | |
| CK | F1 | 3.46 ± 0.90 bc | 39.53 ± 1.96 bcd | 37.84 ± 3.08 a | 5.10 ± 0.10 b | 8.41 ± 0.69 cd | 10.37 ± 0.90 f |
| F2 | 3.31 ± 1.16 bc | 47.43 ± 0.00 a | 39.04 ± 0.48 a | 5.40 ± 0.10 a | 10.46 ± 0.96 ab | 12.80 ± 0.80 cd | |
| F3 | 3.20 ± 0.56 bc | 36.14 ± 1.96 def | 33.93 ± 1.24 b | 4.70 ± 0.10 cd | 9.55 ± 0.56 bc | 12.10 ± 0.20 cdef | |
| Irrigation level | W1 | 3.44 ± 0.73 b | 38.40 ± 2.40 b | 33.58 ± 3.37 b | 4.59 ± 0.37 b | 9.66 ± 1.40 a | 14.50 ± 1.79 a |
| W2 | 4.25 ± 1.44 ab | 38.02 ± 4.07 b | 29.19 ± 1.24 d | 4.38 ± 0.17 c | 7.98 ± 0.80 b | 13.66 ± 2.91 b | |
| W3 | 5.04 ± 0.92 a | 35.01 ± 5.36 c | 30.75 ± 5.34 c | 4.46 ± 0.33 c | 7.94 ± 1.37 b | 13.07 ± 3.49 b | |
| W4 | 4.01 ± 0.93 b | 35.01 ± 6.11 c | 24.39 ± 5.27 e | 3.74 ± 0.52 d | 6.42 ± 1.66 c | 13.50 ± 0.75 b | |
| CK | 3.32 ± 0.80 b | 41.03 ± 5.21 a | 36.94 ± 2.86 a | 5.07 ± 0.32 a | 9.47 ± 1.11 a | 11.76 ± 1.25 c | |
| Nitrogen fertilizer treatment | F1 | 4.41 ± 1.13 a | 37.04 ± 2.99 b | 30.63 ± 4.55 b | 4.11 ± 0.67 c | 7.88 ± 1.54 b | 12.97 ± 2.62 b |
| F2 | 3.90 ± 1.40 a | 41.56 ± 4.14 a | 34.45 ± 4.89 a | 4.76 ± 0.45 a | 9.35 ± 1.58 a | 13.93 ± 2.49 a | |
| F3 | 3.74 ± 0.75 a | 33.88 ± 4.96 c | 27.83 ± 5.75 c | 4.47 ± 0.26 b | 7.66 ± 1.62 b | 12.98 ± 1.93 b | |
| p | W | 0.007 | 0.000 | 0.000 | 0.000 | 0.000 | 0.000 |
| F | 0.171 | 0.000 | 0.000 | 0.000 | 0.000 | 0.001 | |
| W*F | 0.67 | 0.000 | 0.000 | 0.000 | 0.000 | 0.000 |
| No. | U1 | U2 | U3 | U4 | U5 | U6 | U7 | U8 | U9 | U10 |
|---|---|---|---|---|---|---|---|---|---|---|
| U1 | 1 | |||||||||
| U2 | −0.219 | 1 | ||||||||
| U3 | −0.579 * | 0.614 * | 1 | |||||||
| U4 | −0.558 * | 0.453 | 0.852 ** | 1 | ||||||
| U5 | −0.527 * | 0.371 | 0.833 ** | 0.603 * | 1 | |||||
| U6 | −0.075 | 0.032 | −0.293 | −0.37 | −0.204 | 1 | ||||
| U7 | 0.557 * | −0.061 | 0.007 | −0.057 | −0.077 | −0.35 | 1 | |||
| U8 | 0.429 | −0.005 | −0.361 | −0.166 | −0.45 | −0.281 | 0.007 | 1 | ||
| U9 | 0.432 | −0.147 | −0.579 * | −0.386 | −0.745 ** | −0.118 | 0.089 | 0.789 ** | 1 | |
| U10 | 0.493 | –0.144 | −0.536 * | −0.376 | −0.570 * | −0.195 | 0.064 | 0.929 ** | 0.796 ** | 1 |
| No. | Eigenvalue | Variance Interpretation Rate (%) | Cumulative Variance Interpretation Rate (%) |
|---|---|---|---|
| U2 | 2.998 | 59.965 | 59.965 |
| U3 | 1.038 | 20.757 | 80.723 |
| U4 | 0.582 | 11.631 | 92.354 |
| U5 | 0.297 | 5.932 | 98.286 |
| U6 | 0.086 | 1.714 | 100.000 |
| No. | Eigenvalue | Variance Interpretation Rate (%) | Cumulative Variance Interpretation Rate (%) |
|---|---|---|---|
| U7 | 2.773 | 69.316 | 69.316 |
| U8 | 0.984 | 24.591 | 93.906 |
| U9 | 0.187 | 4.685 | 98.591 |
| U10 | 0.056 | 1.409 | 100.000 |
| Irrigation Level | Nitrogen Fertilizer Treatment | Tomato Quality Indicator | Water and Fertilizer Use Efficiency Indicator | Yield Indicator | |||
|---|---|---|---|---|---|---|---|
| Score | Ranking | Score | Ranking | Yield | Ranking | ||
| W1 | F1 | 0.302 | 7 | −1.735 | 14 | 3.823 | 8 |
| F2 | 1.470 | 2 | −3.258 | 15 | 2.882 | 15 | |
| F3 | 0.428 | 6 | −1.170 | 11 | 3.618 | 11 | |
| W2 | F1 | −0.538 | 11 | 1.745 | 2 | 5.144 | 3 |
| F2 | 0.297 | 8 | 3.122 | 1 | 3.937 | 7 | |
| F3 | −0.299 | 10 | 1.533 | 3 | 3.678 | 10 | |
| W3 | F1 | −0.828 | 12 | −1.256 | 12 | 5.196 | 2 |
| F2 | 1.154 | 3 | 0.511 | 7 | 5.695 | 1 | |
| F3 | −1.275 | 13 | 1.012 | 6 | 4.227 | 5 | |
| W4 | F1 | −1.731 | 14 | 1.212 | 4 | 4.435 | 4 |
| F2 | −0.101 | 9 | −0.224 | 8 | 3.647 | 9 | |
| F3 | −2.738 | 15 | 1.199 | 5 | 3.958 | 6 | |
| CK | F1 | 0.929 | 4 | −0.365 | 9 | 3.458 | 12 |
| F2 | 2.444 | 1 | −1.257 | 13 | 3.309 | 13 | |
| F3 | 0.485 | 5 | −1.071 | 10 | 3.195 | 14 | |
Disclaimer/Publisher’s Note: The statements, opinions and data contained in all publications are solely those of the individual author(s) and contributor(s) and not of MDPI and/or the editor(s). MDPI and/or the editor(s) disclaim responsibility for any injury to people or property resulting from any ideas, methods, instructions or products referred to in the content. |
© 2023 by the authors. Licensee MDPI, Basel, Switzerland. This article is an open access article distributed under the terms and conditions of the Creative Commons Attribution (CC BY) license (https://creativecommons.org/licenses/by/4.0/).
Share and Cite
Huang, Y.; Yang, Y.-R.; Yu, J.-X.; Huang, J.-X.; Kang, Y.-F.; Du, Y.-R.; Tian, G.-Y. Interaction of the Coupled Effects of Irrigation Mode and Nitrogen Fertilizer Format on Tomato Production. Water 2023, 15, 1546. https://doi.org/10.3390/w15081546
Huang Y, Yang Y-R, Yu J-X, Huang J-X, Kang Y-F, Du Y-R, Tian G-Y. Interaction of the Coupled Effects of Irrigation Mode and Nitrogen Fertilizer Format on Tomato Production. Water. 2023; 15(8):1546. https://doi.org/10.3390/w15081546
Chicago/Turabian StyleHuang, Yuan, Ying-Ru Yang, Jing-Xin Yu, Jia-Xuan Huang, Yi-Fan Kang, Ya-Ru Du, and Guo-Ying Tian. 2023. "Interaction of the Coupled Effects of Irrigation Mode and Nitrogen Fertilizer Format on Tomato Production" Water 15, no. 8: 1546. https://doi.org/10.3390/w15081546
APA StyleHuang, Y., Yang, Y.-R., Yu, J.-X., Huang, J.-X., Kang, Y.-F., Du, Y.-R., & Tian, G.-Y. (2023). Interaction of the Coupled Effects of Irrigation Mode and Nitrogen Fertilizer Format on Tomato Production. Water, 15(8), 1546. https://doi.org/10.3390/w15081546

