Analysis of Hotel Water-Use Behavior Based on the MLP-SEM Model
Abstract
1. Introduction
2. Research and Analysis Methods
2.1. Questionnaire
2.2. Research Methods
2.2.1. Research Hypotheses
2.2.2. Research Methods
Spearman Rank Correlation Coefficient
MLP Neural Network Model
Structural Equation Model
3. Identification and Analysis of Influencing Factors of Hotel Consumers’ Water-Use Behavior
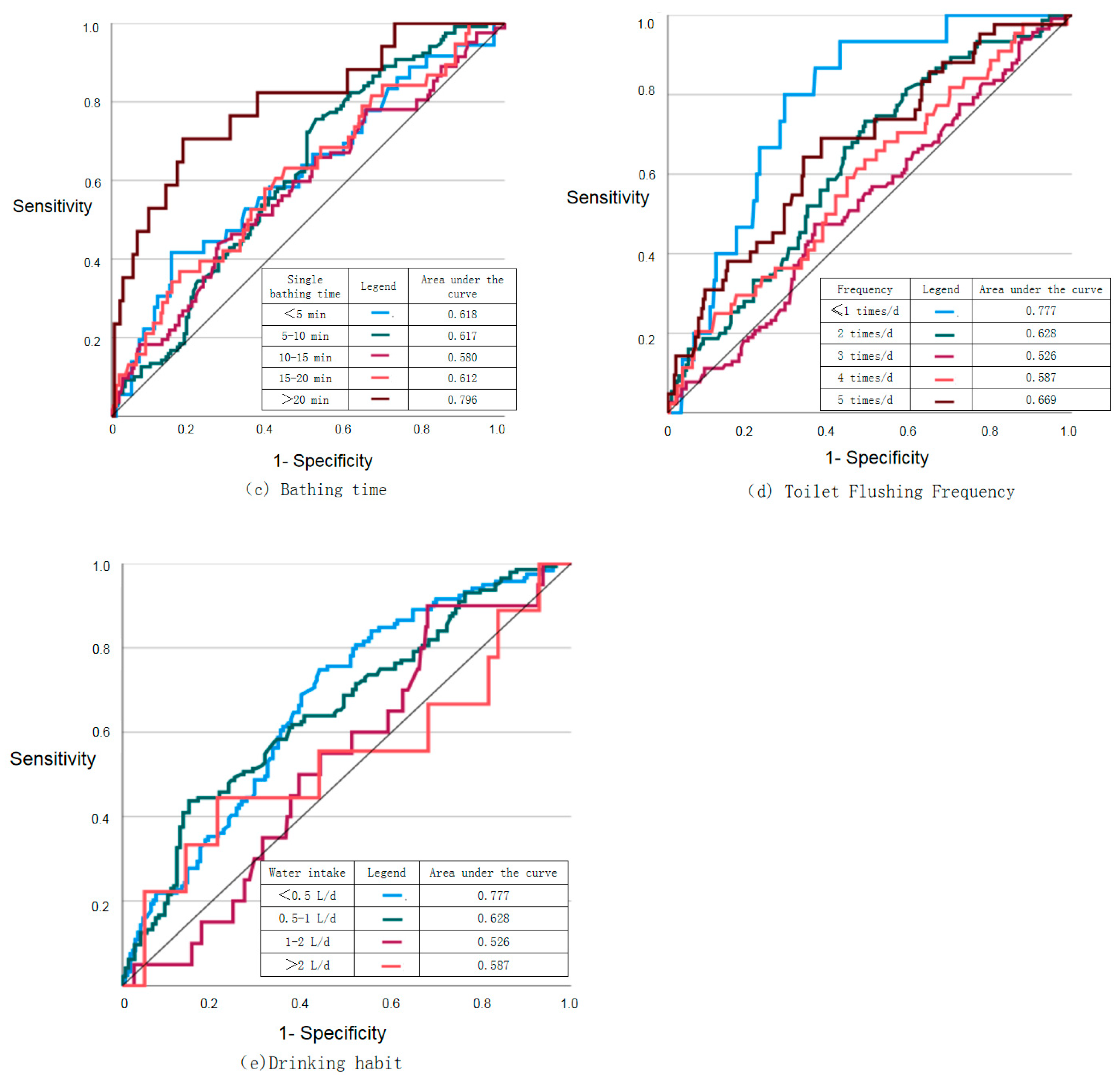
3.1. Identification of Single-Factor Influencing Factors
3.2. Identification of Influencing Multi-Factors and Quantitative Analysis of Importance
3.3. Identification of Comprehensive Influencing Factors
3.4. Hypothesis Test Results
4. Conclusions
Author Contributions
Funding
Data Availability Statement
Conflicts of Interest
References
- Song, L. Outliers Identification of Water Intake Monioring Data in Industrial and Domestic Service Industry Based on LOF and CEEMD; Hebei University of Engineering: Handan, China, 2021. [Google Scholar]
- Chen, M.; Yi, Y.N.; Qin, J. On management of and measures for planned water use management in China. Water Resour. Dev. Res. 2022, 22, 57–61. [Google Scholar]
- Zhong, F.L.; Guo, A.J.; Jiang, D.W.; Yang, X.; Yao, W.G.; Lu, J. Research progress regarding residents’ water consumption behavior as relates to water demancmanagement: A literature review. Adv. Water Sci. 2018, 29, 9. [Google Scholar]
- Wegelinschuringa, M. Water Demand Management and the Urban Poor; Delft Netherlands International Water & Sanitation Centre: Delft, The Netherlands, 2002. [Google Scholar]
- Zhong, F.; Li, L.; Guo, A.; Song, X.; Cheng, Q.; Zhang, Y.; Ding, X. Quantifying the influence path of water conservation awareness on water-saving irrigation behavior based on the theory of planned behavior and structural equation modeling: A case study from northwest China. Sustainability 2019, 11, 4967. [Google Scholar] [CrossRef]
- Addo, I.B.; Thoms, M.C.; Parsons, M. Barriers and drivers of household water-conservation behavior: A profiling approach. Water 2018, 10, 1794. [Google Scholar] [CrossRef]
- Shi, L.; Zhu, Y.; Li, H.; Zhao, Y.; Wang, J.; Wang, L.; Qu, J.; Zhen, L. Simulation of residential water consumption and analysis of water-saving potential in Beijing. South—North Water Transf. Water Sci. Technol. 2022, 20, 851–861. [Google Scholar]
- Nyong, A.O.; Kanaroglou, P.S. A survey of household domestic water-use patterns in rural semi-arid Nigeria. J. Arid. Environ. 2001, 49, 387–400. [Google Scholar] [CrossRef]
- Nauges, C.; Thomas, A. Privately operated water utilities, municipal price negotiation, and estimation of residential water demand: The case of France. Land Econ. 2000, 76, 68–85. [Google Scholar] [CrossRef]
- Dandy, G.; Nguyen, T.; Davies, C. Estimating residential water demand in the presence of free allowances. Land Econ. 1997, 73, 125–139. [Google Scholar] [CrossRef]
- Chen, X.; Xu, J.; Ji, Y. Research on determinant factors in residential water demand. J. Econ. Water Resour. 2005, 25–26, 73. [Google Scholar]
- Zhao, W. An empirical analysis of the factors influencing residential household water consumption-an examination of survey data based on the water consumption behavior of Beijing residents. J. Arid. Land Resour. Environ. 2015, 29, 137–142. [Google Scholar] [CrossRef]
- Lin, R.; Qi, Y.; Fan, H.; Yang, S.; Zhang, C. An analysis of the present situation and influencing factors of household water consumption in Beijing. China Rural. Water Hydropower 2021, 6. [Google Scholar]
- Sha, K.; Dorssen, A.V.; Brouwer, S. Enhancing domestic water conservation behaviour: A review of empirical studies on influencing tactics. J. Environ. Manag. 2019, 247, 867–876. [Google Scholar]
- David, S. Water conservation: Theory and evidence in urban areas of the developed world. Annu. Rev. Environ. Resour. 2013, 38, 227–248. [Google Scholar]
- Lee, M.; Berrin, T.; Maribel, B. Urban sustainability incentives for residential water conservation: Adoption of multiple high efficiency appliance. Water Resour. Manag. 2013, 27, 2531–2540. [Google Scholar] [CrossRef]
- Chang, G. Factors influencing water conservation behavior among urban residents in China’s arid areas. Water Policy 2013, 15, 691–704. [Google Scholar] [CrossRef]
- Tortella, B.D.; Tirado, D. Hotel water consumption at a seasonal mass tourist destination. The case of the island of Mallorca. J. Environ. Manag. 2021, 92, 2568–2579. [Google Scholar]
- Zhu, J.; Zhao, X.; Zhu, T.; Li, L. Which factors determine students water-saving behaviors? Evidence from China colleges. Urban Water J. 2021, 18, 860–872. [Google Scholar] [CrossRef]
- Du, J. Model analysis of hotel customer satisfaction based on two-factor theory. Mark. Mod. 2008, 40–41. [Google Scholar]
- National Bureau of Statistics. China Statistical Yearbook; China Statistics Press: Beijing, China, 2021.
- Antakyali, D.; Krampe, J.; Steinmetz, H. Practical application of wastewater reuse in tourist resorts. Water Sci. Technol. 2008, 57, 2051–2057. [Google Scholar] [CrossRef]
- Gössling, S.; Peeters, P.; Hall, C.M.; Ceron, J.P.; Dubois, G.; Lehmann, L.V.; Scott, D. Tourism and water use: Supply, demand, and security. An international review. Tour. Manag. 2012, 33, 1–15. [Google Scholar]
- Huang, X.; Zhao, T.; Yu, S.; Cao, W.; Wu, D.; Yu, K. Research on China’s tertiary industry development and water saving. China Water Wastewater 2022, 38, 49–56. [Google Scholar]
- Bohdanowicz, P.; Martinac, I. Determinants and benchmarking of resource consumption in hotels—Case study of Hilton International and Scandic in Europe. Energy Build. 2007, 39, 82–95. [Google Scholar] [CrossRef]
- Zuo, J.; Liu, C.; Zhang, H. Assessment of water use efficiency of hotels in Beijing Municipality. China Water Resour. 2009, 52–55. [Google Scholar]
- Deng, S. Energy and water uses and their performance explanatory indicators in hotels in Hong Kong. Energy Build. 2003, 35, 775–784. [Google Scholar] [CrossRef]
- Wang, Z. Assessment and Reduction of Water Footprint in Hotel Service Industry: A Case Study of Shanghai; Tianjin University: Tianjin, China, 2020. [Google Scholar]
- Wang, Y.; Chen, Y.; Weng, J.; Jiang, Y. Analysis of the characteristics of urban public domestic water use in Beijing. Water Wastewater Eng. 2008, 138–143. [Google Scholar]
- Jiang, Y. Study on Factor Analysis and Prediction Model of Water Consumption in Typical Public Buildings; Chongqing University: Chongqing, China, 2021. [Google Scholar]
- Li, R.; Yu, N.; Wang, X.; Liu, Y.; Cai, Z.; Wang, E. Model-Based synthetic geoelectric sampling for magnetotelluric inversion with deep neural networks. IEEE Trans. Geosci. Remote Sens. 2022, 60, 1–14. [Google Scholar] [CrossRef]
- Zhu, X.; Xu, Z.; Liu, Z.; Liu, M.; Yin, Z.; Yin, L.; Zheng, W. Impact of dam construction on precipitation: A regional perspective. Mar. Freshw. Res. 2022. [Google Scholar] [CrossRef]
- Wu, L.; He, D.; Ai, B.; Wang, J.; Guan, K.; Zhong, Z. Path loss prediction based on multi-layer perceptron artificial neural network. Chinese J. Radio Sci. 2021, 36, 396–404. [Google Scholar]
- Do, M.; Li, J.; Cui, L.; Wei, Y.; Su, H.; Li, C. Application of correlation analysis -- Neural network model in water consumption prediction in Ningxia. Pearl River 2022, 43, 71–77. [Google Scholar]
- Gardner, M.W.; Dorling, S.R. Artificial neural networks (the multilayer perceptron)—A review of applications in the atmospheric sciences. Atmos. Environ. 1998, 32, 2627–2636. [Google Scholar] [CrossRef]
- Agatonovic-Kustrin, S.; Beresford, R. Basic concepts of artificial neural network (ANN) modeling and its application in pharmaceutical research. J. Pharm. Biomed. Anal. 2000, 22, 717–727. [Google Scholar] [CrossRef] [PubMed]
- Wang, N.; Li, D. Research on influencing factors of forestry enterprise management performance based on MLP Model. China For. Econ. 2019, 37–40. [Google Scholar]
- Li, Y.; Dang, Y.; Tang, R. Analysis of hospotalization expenses and influencing factors of malignant tumor patients based BP neural network model. China J. Pharm. Econ. 2022, 17, 10–13. [Google Scholar]
- Xie, X.; Xie, B.; Cheng, J.; Chu, Q.; Dooling, T. A simple Monte Carlo method for estimating the chance of a cyclone impact. Nat. Hazards 2021, 107, 2573–2582. [Google Scholar] [CrossRef]
- Yin, L.; Wang, L.; Tian, J.; Yin, Z.; Liu, M.; Zheng, W. Atmospheric density inversion based on Swarm-C satellite accelerometer. Appl. Sci. 2023, 13, 3610. [Google Scholar] [CrossRef]
- Liu, Z.; Xu, J.; Liu, M.; Yin, Z.; Liu, X.; Yin, L.; Zheng, W. Remote sensing and geostatistics in urban water-resource monitoring: A review. Mar. Freshw. Res. 2023. [Google Scholar] [CrossRef]
- Reisinger, Y.; Turner, L. Structural equation modeling with Lisrel: Application in tourism. Tour. Manag. 1999, 20, 71–88. [Google Scholar] [CrossRef]
- Wu, B. Pilot study of Structural Equation Modeling; Tianjin University: Tianjin, China, 2006. [Google Scholar]
- Raykov, T.; Marcoulides, G.A. First Course in Structural Equation Modeling, 2nd ed.; Routledge: New York, NY, USA, 2006. [Google Scholar]







| Type | Survey Content |
|---|---|
| Individual characteristics | Gender, age, education, income, etc. |
| Water-saving awareness | Degree of water-saving awareness |
| Consumption behavior | Type of hotel, travel purpose, length of stay in hotel, etc. |
| Water-use behavior | The single washing time of bathing, washing up, and hand-washing time, toilet-flushing frequency, drinking habits, etc. |
| S/N | Hypotheses |
|---|---|
| H1a | Gender significantly affects the water-use behavior of hotel consumers |
| H1b | Age significantly affects the water-use behavior of hotel consumers |
| H1c | There are significant effects of the educational level on the water-use behavior of hotel consumers |
| H1d | Income significantly affects the water-use behavior of hotel consumers |
| H1e | The degree of awareness of water conservation significantly affects the water-consumption behavior of hotel consumers |
| H1f | The type of hotel stay significantly affects the water-use behavior of hotel consumers |
| H1g | Travel purpose significantly affects the water-use behavior of hotel consumers |
| H1h | The length of daily hotel stay significantly affects the water-use behavior of hotel consumers |
| H2a | The degree of influence of each influencing factor on different water-use behaviors of hotel consumers is different |
| H3a | Typical individual characteristics have a significant impact on the typical water-use behavior of hotel consumers |
| H3b | Typical consumption behavior has a significant impact on the typical water-use behavior of hotel consumers |
| Type | Washing-Up Time | Hand-Washing Time | Bathing Time | Toilet-Flushing Frequency | Drinking Habit | |
|---|---|---|---|---|---|---|
| Individual characteristics | Gender | 0.143 ** | 0.081 | 0.304 *** | 0.272 *** | 0.041 |
| Age | 0.075 | 0.075 | 0.046 | 0.107 * | 0.074 | |
| Education | 0.053 | 0.105 * | 0.153 *** | 0.111 * | 0.183 *** | |
| Income | 0.03 | 0.068 | 0.067 | 0.125 ** | 0.216 *** | |
| Water-saving awareness | Degree of water-saving awareness | −0.026 | 0.005 | −0.004 | 0.061 | −0.005 |
| Consumption behavior | Type of hotel | −0.084 | −0.004 | 0.096 | 0.082 | 0.074 |
| Travel purpose | 0.009 | 0.001 | 0.004 | 0.01 | −0.202 *** | |
| Daily stay in the hotel | 0.152 *** | 0.095 | 0.238 *** | 0.209 *** | 0.11 * |
| Type | Washing-Up Time | Hand-Washing Time | Bathing Time | Toilet-Flushing Frequency | Drinking Habit | ||||||
|---|---|---|---|---|---|---|---|---|---|---|---|
| Importance | Normalization Importance | Importance | Normalization Importance | Importance | Normalization Importance | Importance | Normalization Importance | Importance | Normalization Importance | ||
| Individual characteristics | Gender | 0.138 | 82.9% | 0.076 | 38.6% | 0.172 | 86.2% | 0.165 | 80.1% | 0.047 | 14.4% |
| Age | 0.118 | 70.9% | 0.123 | 62.3% | 0.081 | 40.8% | 0.128 | 62.4% | 0.142 | 43.1% | |
| Education | 0.152 | 91.4% | 0.082 | 41.4% | 0.143 | 72.0% | 0.141 | 68.5% | 0.072 | 22.0% | |
| Income | 0.118 | 71.1% | 0.150 | 76.1% | 0.096 | 48.3% | 0.206 | 100.0% | 0.329 | 100.0% | |
| Water-saving awareness | Degree of water-saving awareness | 0.086 | 51.9% | 0.098 | 49.4% | 0.087 | 43.6% | 0.058 | 28.2% | 0.080 | 24.2% |
| Consumption behavior | Hotel type | 0.099 | 59.6% | 0.145 | 73.5% | 0.108 | 54.1% | 0.046 | 22.5% | 0.103 | 31.3% |
| Travel purpose | 0.123 | 74.3% | 0.128 | 64.7% | 0.114 | 57.5% | 0.118 | 57.4% | 0.153 | 46.4% | |
| Daily stay | 0.166 | 100.0% | 0.198 | 100% | 0.199 | 100.0% | 0.137 | 66.5% | 0.075 | 22.8% | |
| Factor (Latent Variable) | → | Item (Explicit Variable) | Non-Standardized Coefficient | Standardized Coefficient | Standard Error | p |
|---|---|---|---|---|---|---|
| Typical Individual Characteristics | → | Main Water-Use Behavior | 0.545 | 0.108 | 0.027 | 0.000 *** |
| Typical Consumption Behavior | → | Main Water-Use Behavior | 0.023 | 0.020 | 0.121 | 0.851 |
| Typical Individual Characteristics | → | Typical Consumption Behavior | 4.496 | 1.000 | 2.679 | 0.093 * |
Disclaimer/Publisher’s Note: The statements, opinions and data contained in all publications are solely those of the individual author(s) and contributor(s) and not of MDPI and/or the editor(s). MDPI and/or the editor(s) disclaim responsibility for any injury to people or property resulting from any ideas, methods, instructions or products referred to in the content. |
© 2023 by the authors. Licensee MDPI, Basel, Switzerland. This article is an open access article distributed under the terms and conditions of the Creative Commons Attribution (CC BY) license (https://creativecommons.org/licenses/by/4.0/).
Share and Cite
Cai, R.; Bai, X.; Liu, J.; Hu, M. Analysis of Hotel Water-Use Behavior Based on the MLP-SEM Model. Water 2023, 15, 1534. https://doi.org/10.3390/w15081534
Cai R, Bai X, Liu J, Hu M. Analysis of Hotel Water-Use Behavior Based on the MLP-SEM Model. Water. 2023; 15(8):1534. https://doi.org/10.3390/w15081534
Chicago/Turabian StyleCai, Rong, Xue Bai, Jialin Liu, and Mengting Hu. 2023. "Analysis of Hotel Water-Use Behavior Based on the MLP-SEM Model" Water 15, no. 8: 1534. https://doi.org/10.3390/w15081534
APA StyleCai, R., Bai, X., Liu, J., & Hu, M. (2023). Analysis of Hotel Water-Use Behavior Based on the MLP-SEM Model. Water, 15(8), 1534. https://doi.org/10.3390/w15081534

