Model-Based Assessment of Preventive Drought Management Measures’ Effect on Droughts Severity
Abstract
1. Introduction
2. Materials and Methods
2.1. Case of Study
2.2. Hydrological Modeling
2.2.1. Model Setup
2.2.2. Model Sensitivity Analysis and Calibration
2.2.3. Modeling PDMMs
2.3. Applying the Threshold Level Method to Analyze the Effect of PDMMs on Drought Severity
2.3.1. Setting the Thresholds to Identify Droughts
2.3.2. Identifying Drought Events and Calculating Drought Severity
2.3.3. Estimating Changes in Drought Severity
3. Results and Discussion
3.1. Sensitivity Analysis and Model Calibration
3.2. Agricultural and Hydrological Droughts in the Baseline Scenario
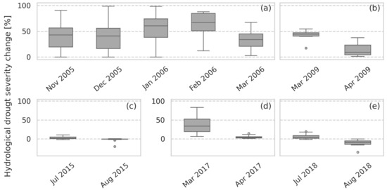
3.3. Effect of PDMMs on Drought Severity
3.3.1. Effect RWH Ponds on Drought Severity
3.3.2. Effect of Forest Conservation on Droughts Severity
3.3.3. Effect of Check Dams and Ponds on Droughts Severity
4. Conclusions
Author Contributions
Funding
Data Availability Statement
Acknowledgments
Conflicts of Interest
References
- UNDRR. GAR Special Report on Drought 2021. Geneva, 2021. Available online: https://www.undrr.org/publication/gar-special-report-drought-2021 (accessed on 14 October 2021).
- FAO. The Impact of Disasters and Crises on Agriculture and Food Security. Rome, 2017. Available online: https://www.fao.org/documents/card/en/c/I8656EN/ (accessed on 14 October 2021).
- FAO. The State of Food and Agriculture 2020, Overcoming Water Challenges in Agriculture; FAO: Rome, Italy, 2020. [Google Scholar] [CrossRef]
- van Vliet, M.T.H.; Sheffield, J.; Wiberg, D.; Wood, E.F. Impacts of recent drought and warm years on water resources and electricity supply worldwide. Environ. Res. Lett. 2016, 11, 124021. [Google Scholar] [CrossRef]
- FAO. Proactive Approaches to Drought Preparedness–Where Are We Now and Where Do We Go from Here? Rome, 2019. Available online: http://www.fao.org/3/ca5794en/ca5794en.pdf (accessed on 6 March 2020).
- World Bank. Assessing Drought Hazard and Risk: Principles and Implementation Guidance. Washington, DC, USA. 2019. Available online: https://openknowledge.worldbank.org/handle/10986/33805 (accessed on 7 April 2020).
- Sayers, P.B.; Yuanyuan, L.; Moncrieff, C.; Jianqiang, L.; Tickner, D.; Gang, L.; Speed, R. Strategic drought risk management: Eight ‘golden rules’ to guide a sound approach. Int. J. River Basin Manag. 2017, 15, 239–255. [Google Scholar] [CrossRef]
- Bressers, H.; de Boer, C.; Lordkipanidze, M.; Özerol, G.; Vinke-de Kruijf, J.; Farusho, C.; Lajeunesse, C.; Larrue, C.; Ramos, M.H.; Kampa, E.; et al. Water Governance Assessment Tool–With an Elaboration for Drought Resilience; INTERREG IVb DROP Project; University of Twente: Enschede, The Netherlands, 2013. [Google Scholar]
- Assimacopoulos, D.; Kampragou, E.; Andreu, J.; Bifulco, C.; de Carli, A.; De Stefano, L.; Dias, S.; Kartalidis, A.; Massarutto, A.; Monteagudo, D.; et al. Drought Risk Mitigation Options–Case Study Scale. 2015. Available online: http://www.isa.ulisboa.pt/ceabn/uploads/docs/projectos/drought/DROUGHT_TR_29.pdf (accessed on 7 April 2020).
- United Nations World Water Assessment Programme. The United Nations World Water Development Report 2018: Nature-Based Solutions for Water; UN-Water WWAP: Paris, France, 2018. [Google Scholar]
- Global Water Partnership Central and Eastern Europe. Guidelines for preparation of the Drought Management Plans. Development and implementation in the context of the EU Water Framework Directive. 2015. Available online: https://climate-adapt.eea.europa.eu/metadata/guidances/guidelines-for-preparation-of-the-drought-management-plans-1/guidelines-preparation-drought (accessed on 27 February 2020).
- UNCCD. The Land-Drought Nexus Enhancing the Role of Land-Based Interventions in Drought Mitigation and Risk Management. 2019. Available online: https://catalogue.unccd.int/1211_03EP_UNCCD_SPI_2019_Report_2.pdf (accessed on 28 December 2021).
- Islam, M.S.; Hossain, M.Z.; Sikder, M.B. Drought adaptation measures and their effectiveness at Barind Tract in northwest Bangladesh: A perception study. Nat. Hazards 2019, 97, 1253–1276. [Google Scholar] [CrossRef]
- World Bank; International Center for Tropical Agriculture (CIAT); Centro Agronómico Tropical de Investigación y Enseñanza (CATIE). Climate-Smart Agriculture in El Salvador. CSA Country Profiles for Latin America Series, 2nd ed.; World Bank: Washington, DC, USA, 2015. [Google Scholar]
- Brutsaert, W.; Cheng, L.; Zhang, L. Spatial Distribution of Global Landscape Evaporation in the Early Twenty-First Century by Means of a Generalized Complementary Approach. J. Hydrometeorol. 2020, 21, 287–298. [Google Scholar] [CrossRef]
- UNESCO. Balance hídrico integrado y dinámico de El Salvador Documentos Técnicos del PHI-LAC, No 2. 2006. Available online: http://www.unesco.org.uy/phi (accessed on 12 March 2021).
- Depsky, N.; Pons, D. Meteorological droughts are projected to worsen in Central America’s dry corridor throughout the 21st century. Environ. Res. Lett. 2020, 16, 014001. [Google Scholar] [CrossRef]
- Neitsch, S.L.; Arnold, J.G.; Kiniry, J.R.; Williams, J.R. Soil and Water Assessment Tool Theoretical Documentation Version 2009; Texas Water Resources Institute: College Station, TX, USA, 2011; Available online: https://swat.tamu.edu/media/99192/swat2009-theory.pdf (accessed on 3 August 2021).
- Arnold, J.G.; Moriasi, D.N.; Gassman, P.W.; Abbaspour, K.C.; White, M.J.; Srinivasan, R.; Santhi, C.; Harmel, R.D.; Van Griensven, A.; Van Liew, M.W.; et al. SWAT: Model Use, Calibration, and Validation. Trans. ASABE 2012, 55, 1491–1508. Available online: http://swatmodel.tamu.edu (accessed on 12 August 2020). [CrossRef]
- FAO; UNESCO. Digital Soil Map of the World. 2007. Available online: https://data.apps.fao.org/map/catalog/static/api/records/446ed430-8383-11db-b9b2-000d939bc5d8 (accessed on 13 March 2023).
- FAO. Global land cover distribution, by dominant land cover type (FGGD). 2007. Available online: https://data.apps.fao.org/map/catalog/static/api/records/b915a4c0-7592-11db-b9b2-000d939bc5d8 (accessed on 13 March 2023).
- Abbaspour, K.C.; Vaghefi, S.A.; Srinivasan, R. A Guideline for Successful Calibration and Uncertainty Analysis for Soil and Water Assessment: A Review of Papers from the 2016 International SWAT Conference. Water 2018, 10, 6. [Google Scholar] [CrossRef]
- Moriasi, D.N.; Arnold, J.G.; van Liew, M.W.; Bingner, R.L.; Harmel, R.D.; Veith, T.L. Model evaluation guidelines for systematic quantification of accuracy in watershed simulations. Trans. ASABE 2007, 50, 885–900. [Google Scholar] [CrossRef]
- Berhane, G. Benefits and Challenges of Dugout Rainwater Harvesting Ponds in Tigray Region, Ethiopia. In Rainwater-Smart Agriculture in Arid and Semi-Arid Areas: Fostering the Use of Rainwater for Food Security, Poverty Alleviation, Landscape Restoration and Climate Resilience; Springer: Cham, Switzerland, 2017; pp. 259–280. [Google Scholar] [CrossRef]
- FAO; IUFRO; USDA. A Guide to Forest–Water Management; FAO: Rome, Italy, 2021. [Google Scholar] [CrossRef]
- Lucas-Borja, M.E.; Piton, G.; Yu, Y.; Castillo, C.; Zema, D.A. Check dams worldwide: Objectives, functions, effectiveness and undesired effects. Catena 2021, 204, 105390. [Google Scholar] [CrossRef]
- Woldegiorgis, B.G. Effect of Water Harvesting Techniques on Hydrological Processes and Sediment Yield in Northern Ethiopia. Ph.D. Thesis, Wageningen University, Wageningen, The Netherlands, 2017. [Google Scholar] [CrossRef]
- Polyakov, V.O.; Nichols, M.H.; McClaran, M.P.; Nearing, M. AEffect of check dams on runoff, sediment yield, and retention on small semiarid watersheds. J. Soil Water Conserv. 2014, 69, 414–421. [Google Scholar] [CrossRef]
- Kahinda, J.M.M.; Lillie, E.S.B.; Taigbenu, A.E.; Taute, M.; Boroto, R.J. Developing suitability maps for rainwater harvesting in South Africa. Phys. Chem. Earth 2008, 33, 788–799. [Google Scholar] [CrossRef]
- Piton, G.; Carladous, S.; Recking, A.; Tacnet, J.M.; Liébault, F.; Kuss, D.; Quefféléan, Y.; Marco, O. Why do we build check dams in Alpine streams? An historical perspective from the French experience. Earth Surf. Process. Landforms 2016, 42, 91–108. [Google Scholar] [CrossRef]
- Oweis, T.Y.; Prinz, D.; Hachum, A.Y. Rainwater Harvesting for Agriculture in the Dry Areas; CRC Press: Boca Raton, FL, USA, 2012. [Google Scholar] [CrossRef]
- Wambura, F.J.; Dietrich, O.; Graef, F. Analysis of infield rainwater harvesting and land use change impacts on the hydrologic cycle in the Wami River basin. Agric. Water Manag. 2018, 203, 124–137. [Google Scholar] [CrossRef]
- Mishra, S.K.; Singh, V.P. Soil Conservation Service Curve Number (SCS-CN) Methodology. Water Sci. Technol. Libr. 2003, 42, 355–362. [Google Scholar]
- Jalowska, A.M.; Yuan, Y. Evaluation of SWAT Impoundment Modeling Methods in Water and Sediment Simulations. JAWRA J. Am. Water Resour. Assoc. 2019, 55, 209–227. [Google Scholar] [CrossRef]
- Du, B.; Arnold, J.G.; Saleh, A.; Jaynes, D.B. Development and application of SWAT to landscapes with tiles and potholes. Trans. ASAE 2005, 48, 1121–1133. [Google Scholar] [CrossRef]
- Abbasi, N.A.; Xu, X.; Lucas-Borja, M.E.; Dang, W.; Liu, B. The use of check dams in watershed management projects: Examples from around the world. Sci. Total. Environ. 2019, 676, 683–691. [Google Scholar] [CrossRef] [PubMed]
- Waidler, D.; White, M.; Steglich, E.; Wang, S.; Williams, J.; Jones, C.A.; Srinivasan, R. Conservation Practice Modeling Guide for SWAT and APEX. 2009. Available online: https://swat.tamu.edu/media/57882/Conservation-Practice-Modeling-Guide.pdf (accessed on 1 July 2022).
- Herrera-Estrada, J.E.; Satoh, Y.; Sheffield, J. Spatiotemporal dynamics of global drought. Geophys. Res. Lett. 2017, 44, 2254–2263. [Google Scholar] [CrossRef]
- Heudorfer, B.; Stahl, K. Comparison of different threshold level methods for drought propagation analysis in Germany. Hydrol. Res. 2017, 48, 1311–1326. [Google Scholar] [CrossRef]
- Van Lanen, H.A.J.; Wanders, N.; Tallaksen, L.M.; Van Loon, A.F. Hydrological drought across the world: Impact of climate and physical catchment structure. Hydrol. Earth Syst. Sci. 2013, 17, 1715–1732. [Google Scholar] [CrossRef]
- Van Loon, A.F. How Climate and Catchment Characteristics Influence Hydrological Drought Development and Recovery. Ph.D. Thesis, Wageningen University, Wageningen, The Netherlands, 2017. Available online: https://edepot.wur.nl/249786 (accessed on 17 October 2021).
- Sheffiel, J.; Wood, E.F. What is drought. In Drought: Past Problems and Future Scenarios; Taylor & Francis Group: Abingdon, UK, 2011; pp. 9–15. [Google Scholar]
- FAO. Chronology of the Dry Corridor: The Impetus for Resilience in Central America. Agronoticias: Agriculture News from Latin America and the Caribbean. 2017. Available online: https://www.fao.org/in-action/agronoticias/detail/en/c/1024539/ (accessed on 17 October 2021).
- Pascale, S.; Kapnick, S.B.; Delworth, T.L.; Hidalgo, H.G.; Cooke, W.F. Natural variability vs forced signal in the 2015–2019 Central American drought. Clim. Chang. 2021, 168, 1–21. [Google Scholar] [CrossRef]
- Dile, Y.T.; Karlberg, L.; Temesgen, M.; Rockström, J. The role of water harvesting to achieve sustainable agricultural intensification and resilience against water related shocks in sub-Saharan Africa. Agric. Ecosyst. Environ. 2013, 181, 69–79. [Google Scholar] [CrossRef]
- Filho, W.J.; de Trincheria Gomez, J. Rainwater-Smart Agriculture in Arid and Semi-Arid Areas: Fostering the Use of Rainwater for Food Security, Poverty Alleviation, Landscape Restoration and Climate Resilience; Springer: Cham, Switzerland, 2017. [Google Scholar] [CrossRef]
- Zelelew, D.G.; Ayimute, T.A.; Melesse, A.M. Evaluating the Response of In Situ Moisture Conservation Techniques in Different Rainfall Distributions and Soil-Type Conditions on Sorghum Production and Soil Moisture Characteristics in Drought-Prone Areas of Northern Ethiopia. Water Conserv. Sci. Eng. 2018, 3, 157–167. [Google Scholar] [CrossRef]
- Krishnaswamy, J.; Kelkar, N.; Birkel, C. Positive and neutral effects of forest cover on dry-season stream flow in Costa Rica identified from Bayesian regression models with informative prior distributions. Hydrol. Process. 2018, 32, 3604–3614. [Google Scholar] [CrossRef]
- Roa-García, M.C.; Brown, S.; Schreier, H.; Lavkulich, L.M. The role of land use and soils in regulating water flow in small headwater catchments of the Andes. Water Resour. Res. 2011, 47. [Google Scholar] [CrossRef]
- Ogden, F.L.; Crouch, T.D.; Stallard, R.F.; Hall, J.S. Effect of land cover and use on dry season river runoff, runoff efficiency, and peak storm runoff in the seasonal tropics of Central Panama. Water Resour. Res. 2013, 49, 8443–8462. [Google Scholar] [CrossRef]
- Mohammad, A.G.; Adam, M.A. The impact of vegetative cover type on runoff and soil erosion under different land uses. Catena 2010, 81, 97–103. [Google Scholar] [CrossRef]
- Glendenning, C.; van Ogtrop, F.; Mishra, A.; Vervoort, R. Balancing watershed and local scale impacts of rain water harvesting in India—A review. Agric. Water Manag. 2012, 107, 1–13. [Google Scholar] [CrossRef]















| Data Type | Details | Source |
|---|---|---|
| Digital elevation model | 5 × 5 m | Ministry of Environment and Natural Resources, El Salvador. |
| Soil map | 300 × 300 m | Digital Soil Map of the World [20]. |
| Land use map | 300 × 300 m | Global land cover distribution, by dominant land cover type (FGGD) [21]. |
| Rainfall and temperature, daily data (2 stations) | Period 2004–2018 (15 years) | Ministry of Environment and Natural Resources, El Salvador. |
| Discharge, monthly data (1 station) | Period 2004–2018 (15 years) | Ministry of Environment and Natural Resources, El Salvador. |
| Criteria | RWH Ponds | Forest Conservation | Check Dams |
|---|---|---|---|
| Description | Designed to trap and collect runoff from a relatively small catchment area (10–500 m2) [24]. | Forest conservation aims to maintain forest cover and limit soil degradation [25]. | Small barriers constructed across channels to obstruct flow [26]. |
| Annual rainfall | 200–1000 mm [27]. | NA. | Used frequently in arid or mountainous environments with ephemeral hydrology [28]. |
| Topography | Steeply and mild slopes [29]. | NA. | Steep and mild slopes [30]. |
| Soil type | Sandy loam, sandy clay loam, and sandy clays [29]. | NA. | On areas with coarse soil texture [28]. |
| Land use compatibility | Applied in agricultural land [31]. | Land where forest is, or is planned to become, the dominant land use [25]. | Where the slope is mild and the area is sufficient to store discharge and sediment [30]. |
| Parameter(s) to model the measure in SWAT | Pothole routine: POT_FR a (0.3), POT_VOLX b (20 cm), [32]. | CN2 c value of forested HRUs was reduced from the calibrated value to the recommended value for forest in good hydrological conditions [33]. | Ponds: PND_FR d (0.3), PND_PVOL e (5 × 104 m3), PND_PSA f (1 ha) [34]. |
| No. of PDMM applied | 140 potholes were applied at HRU level (140 HRUs met the allocation criteria). | – | 17 ponds were applied at the subbasin level (17 subbasins met the allocation criteria). |
| Measures allocation | ![]() | ![]() | ![]() |
| Parameter a | Description in SWAT | Range | Default Value | Calibrated Value |
|---|---|---|---|---|
| r__SOL_Z().sol | Depth from soil surface to bottom of layer (mm). | 0–3500 | Soil and layer specific | 300–1000 b |
| r__SOL_BD().sol | Moist bulk density (g/cm3). | 0.9–2.5 | Soil and layer specific | 1.0–1.3 b |
| r__SOL_AWC().sol | Available water capacity of the soil layer (mm H20/mm soil). | 0–1 | Soil and layer specific | 0.1–0.2 b |
| r__SOL_K().sol | Saturated hydraulic conductivity (mm/h). | 0–2000 | Soil and layer specific | 8.0–45.0 b |
| r__CN2.mgt | SCS runoff curve number. | 35–98 | Specific HRU | 70–85 b |
| v__RCHRG_DP.gw | Deep aquifer percolation fraction. | 0–1 | 0.05 | 0.02 |
| v__GWQMN.gw | Threshold depth of water in the shallow aquifer required for return flow to occur. | 0–5000 | 1000 | 4642 |
| v__GW_DELAY.gw | Groundwater delay (days). | 0–500 | 31 | 4.0 |
| r__ESCO.hru | Soil evaporation compensation factor. | 0–1 | 0.95 | 0.51 |
| v__CH_N2.rte | Manning’s for the main channel. | −0.01–0.3 | 0.014 | 0.10 |
Disclaimer/Publisher’s Note: The statements, opinions and data contained in all publications are solely those of the individual author(s) and contributor(s) and not of MDPI and/or the editor(s). MDPI and/or the editor(s) disclaim responsibility for any injury to people or property resulting from any ideas, methods, instructions or products referred to in the content. |
© 2023 by the authors. Licensee MDPI, Basel, Switzerland. This article is an open access article distributed under the terms and conditions of the Creative Commons Attribution (CC BY) license (https://creativecommons.org/licenses/by/4.0/).
Share and Cite
Paez-Trujillo, A.; Corzo, G.A.; Maskey, S.; Solomatine, D. Model-Based Assessment of Preventive Drought Management Measures’ Effect on Droughts Severity. Water 2023, 15, 1442. https://doi.org/10.3390/w15081442
Paez-Trujillo A, Corzo GA, Maskey S, Solomatine D. Model-Based Assessment of Preventive Drought Management Measures’ Effect on Droughts Severity. Water. 2023; 15(8):1442. https://doi.org/10.3390/w15081442
Chicago/Turabian StylePaez-Trujillo, Ana, Gerald A. Corzo, Shreedhar Maskey, and Dimitri Solomatine. 2023. "Model-Based Assessment of Preventive Drought Management Measures’ Effect on Droughts Severity" Water 15, no. 8: 1442. https://doi.org/10.3390/w15081442
APA StylePaez-Trujillo, A., Corzo, G. A., Maskey, S., & Solomatine, D. (2023). Model-Based Assessment of Preventive Drought Management Measures’ Effect on Droughts Severity. Water, 15(8), 1442. https://doi.org/10.3390/w15081442




