Soil Nutrient Distribution and Preferential Flow Transport Patterns in Robinia Pseudoacacia Communities of Degraded Wetlands
Abstract
:1. Introduction
2. Materials and Methods
2.1. Study Area
2.2. Field Experiment
2.3. Soil Column Breakthrough Experiment
2.4. Outflow Fluid-Related Parameters
2.5. Soil Physical and Chemical Determination
3. Results
3.1. Outflow Rate and the First Penetration Time Variation
3.2. Characteristics of Outflow Fluid Concentration
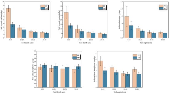
3.3. Soil Nutrient Characteristics
4. Discussion
4.1. Preferential Flow Types and Characteristics
4.2. Soil Nutrient Distribution in the Preferential Flow and Matrix Flow Zones
5. Conclusions
Author Contributions
Funding
Data Availability Statement
Conflicts of Interest
References
- Yao, C.X.; Yuan, H.M.; Meng, X.J.; Li, S.Q. Natural factors for the loss and degradation of coastal wetlands in the Yellow River Delta. Marine Geol. Quat. Geol. 2011, 31, 43–50. [Google Scholar] [CrossRef]
- Cui, B.S.; Cai, Y.Z.; Xie, T.; Ning, Z.H.; Hua, Y.Y. Research progress and development trend of the ecological effect of wetland hydrological connectivity. J. Beijing Norm. Univ. 2016, 52, 738–746. [Google Scholar]
- Liu, L.; Wang, H.; Yang, Z.; Fan, Y.; Wu, X.; Hu, L.; Bi, N. Coarsening of sediments from the Huanghe (Yellow River) delta-coast and its environmental implications. Geomorphology 2022, 401, 108105. [Google Scholar] [CrossRef]
- Lu, C.; Zhao, C.; Liu, J.; Li, K.; Wang, B.; Chen, M. Increased salinity and groundwater levels lead to degradation of the Robinia Pseudoacacia forest in the Yellow River Delta. J. Forest. Res. 2022, 33, 1233–1245. [Google Scholar] [CrossRef]
- Yu, X.J.; Zhang, Z.S. Morphological characteristics and connectivity of tidal channels in the Yellow River Delta during seven periods since 1989. Wetl. Sci. 2018, 16, 517–523. [Google Scholar]
- Dekker, L.W.; Ritsema, C.J.; Wendroth, O.; Jarvis, N.; Oostindie, K.; Pohl, W.; Larsson, M.; Gaudet, J.P. Moisture distributions and wetting rates of soils at experimental fields in the Netherlands, France, Sweden and Germany. J. Hydrol. 1999, 215, 4–22. [Google Scholar] [CrossRef]
- Jarvis, N.J. A review of non-equilibrium water flow and solute transport in soil macropores: Principles, controlling factors and consequences for water quality. Eur. J. Soil Sci. 2007, 58, 523–546. [Google Scholar] [CrossRef]
- Hou, F.; Cheng, J.H.; Qi, S.L.; Yao, J.J.; Ruan, X.Z. Quantitative evaluation of priority flow characteristics and staining morphology of different woodland types in Chongqing. J. Southwest Forest Univ. 2021, 2, 107–117. [Google Scholar]
- Zhang, X.; Zhang, H.J.; Zhang, F.M.; Cheng, J.H.; Ruan, L.; Li, S.Y.; Tian, X.J.; Wei, H.W.; Xu, G.L. Influence of water content on priority flow in southwest China. J. Soil Water Conserv. 2014, 28, 1–7. [Google Scholar]
- Guo, L.L.; Zeng, Q.; Xu, Z.M.; Zhang, Y.W.; Yang, J.Q. Diversion characteristics of root soil in soil slopes of different vegetation communities in Makaka. Soil 2017, 49, 196–202. [Google Scholar]
- Qu, Z.Q.; Jia, L.Q.; Jin, H.Y.; Jiang, X.; Gao, J.H. Large pores and preferential water flow and their effects on the migration behavior of pollutants in the soil. Soil J. 1999, 3, 341–347. [Google Scholar]
- Cheng, J.X.; Cheng, J.H.; Zheng, X.; Zhang, Y.G. Characteristics of soil priority flow and influencing factors under different vegetation cover. J. Henan Agr. Univ. 2018, 52, 973–982. [Google Scholar]
- Yan, J.L.; Zhao, W.Z. Effect of long-term mechanical tillage compaction on preferential soil flow in oasis fields. J. Ecol. 2019, 38, 1376–1383. [Google Scholar]
- Chen, R.; Wang, Z.; Dhital, Y.P.; Zhang, X. A comparative evaluation of soil preferential flow of mulched drip irrigation cotton field in Xinjiang based on dyed image variability versus fractal characteristic parameter. Agr. Water Manag. 2022, 269, 107722. [Google Scholar] [CrossRef]
- Liu, Y.P.; Chen, C. Priority flow in soil unsaturated zones. Prog. Water Sci. 1996, 1, 85–89. [Google Scholar]
- Niu, J.Z. Priority Flow Study of Forest Ecosystems; Science Press: Beijing, China, 2013. [Google Scholar]
- Zhang, Y.H.; Niu, J.Z.; Du, X.Q.; Qiu, Y.C. Analysis of soil priority flow in peak National Forest Park. J. Soil Water Conserv. 2013, 27, 41–45. [Google Scholar]
- Grangeon, T.; Ceriani, V.; Evrard, O.; Grison, A.; Vandromme, R.; Gaillot, A.; Cerdan, O.; Salvador-Blanes, S. Quantifying hydro-sedimentary transfers in a lowland tile-drained agricultural catchment. Catena 2021, 198, 105033. [Google Scholar] [CrossRef]
- Xiao, P.W.; Xiao, B.H. Progress of soil column leaching experiment and its application in soil organic carbon migration. Earth Environ. 2021, 49, 106–114. [Google Scholar]
- Wang, Z.; Lei, G. Study on penetration effect of heavy metal migration in different soil types. Mater. Sci. Eng. 2018, 394, 052033. [Google Scholar] [CrossRef]
- Shangguan, Y.X.; Qin, X.P.; Zhao, D.; Zhao, L.; Wang, L.Q.; Hou, H.; Li, F.S. The migration and morphological transformation of soil. Environ. Sci. Res. 2015, 28, 1015–1024. [Google Scholar]
- Sun, L.; Zhang, H.J.; Cheng, J.H.; Wang, B.Y.; Wang, X. Preferential transport study of solutes in citrus soil. J. Soil Water Conserv. 2012, 26, 63–67. [Google Scholar]
- Wang, S.Y. Analysis of the change of soil physical characteristics in degraded wetlands in Sanjiang Plain. J. Soil Water Conserv. 2004, 18, 167–170. [Google Scholar]
- Mao, J.; Jing, L. Impact of Ecological Restoration of Taihu Lake Wetland on Eutrophic Factors in Soil. In Seminar on Soil and Groundwater Pollution and Remediation across the Taiwan Straits; Geological Society of China: Beijing, China, 2012. [Google Scholar]
- Jiao, H.J.; Lu, J.W. Study on soil structure and carbon and nitrogen characteristics in the natural restoration of degraded wetlands in Binhu area. Beijing Water Supply 2012, 4, 21–24. [Google Scholar]
- Huang, Y.J.; Zhang, Y.; Zhang, Y.L.; Jiang, B.; Yuan, W.A.; Zhu, J.R. Spatial variation of carbon and nitrogen in the sediment of Taihu Lake. Environ. Sci. Manag. 2015, 40, 140–145. [Google Scholar]
- Hua, R.; Xu, X.X. Research for suitable brilliant blue concentrations to trace soil water movement. Res. Soil Water Conserv. 2016, 23, 73–77. [Google Scholar]
- Vogt, D.J.; Tilley, J.P.; Edmonds, R.L. Soil and Plant Analysis for Forest Ecosystem Characterization; Walter de Gruyter GmbH & Co. KG: Berlin, Germany, 2015. [Google Scholar]
- Xiao, Z.X.; Zhu, W.L.; Niu, J.Z.; Shao, W.W.; Zhang, Y.S. Study on the preferential soil flow under different stands in peak National Forest Park. Hunan Agr. Sci. 2011, 17, 118–121. [Google Scholar]
- Gao, R.; Zhang, J.F.; Wu, J.Q. Research status and development trend of soil middle finger flow. J. Water Res. Water Eng. 2009, 20, 72–76. [Google Scholar]
- Li, H. Effects of medium characteristics on finger flow during soil water redistribution. Trans. Chin. Soc. Agr. Eng. 2010, 26, 65–70. [Google Scholar]
- Allaire, S.E.; Dadfar, H.; Denault, J.T.; van Bochove, E.; Charles, A.; Thériault, G. Development of a method for estimating the likelihood of finger flow and lateral flow in Canadian agricultural landscapes. J. Hydrol. 2011, 403, 261–277. [Google Scholar] [CrossRef]
- Yu, B.W.; Liu, G.H.; Liu, Q.S.; Feng, J.L.; Wang, X.P.; Han, H.Z.; Zhao, Z.H.; Yang, J. Soil nutrient effect of different reclaimed locust forests in loess hilly areas of western Shanxi. J. Soil Water Conserv. 2016, 30, 188–193. [Google Scholar]
- Wang, Y.H.; Peng, Z.D.; Li, Y. Soil nutrient and structure characteristics of different generations in shallow mountainous areas of western Henan. J. Beijing Forest. Univ. 2020, 3, 54–64. [Google Scholar]
- Li, J.M.; Zhu, Q.L.; Ma, J.; Gao, M.Y.; Wang, Y.P. Shallow fine root characteristics of the oak oak and locust mixed forest in the stony mountains of North China. J. Northwest Coll. Forest. 2018, 33, 37–42. [Google Scholar]









| Physicochemical Properties | Soil Depth | |||
|---|---|---|---|---|
| 0–10 cm | 10–20 cm | 20–40 cm | 40–60 cm | |
| Mass water content | 0.269 ± 0.046 | 0.226 ± 0.015 | 0.245 ± 0.007 | 0.215 ± 0.011 |
| Bulk density(g/cm3) | 0.912 ± 0.094 | 1.304 ± 0.052 | 1.384 ± 0.002 | 1.427 ± 0.177 |
| Total porosity/% | 0.568 ± 0.031 | 0.480 ± 0.014 | 0.489 ± 0.000 | 0.459 ± 0.040 |
| Capillary porosity/% | 0.508 ± 0.064 | 0.463 ± 0.004 | 0.478 ± 0.005 | 0.444 ± 0.021 |
| Maximum moisture capacity/% | 0.631 ± 0.097 | 0.369 ± 0.026 | 0.353 ± 0.000 | 0.326 ± 0.068 |
| Capillary moisture capacity/% | 0.492 ± 0.035 | 0.352 ± 0.026 | 0.344 ± 0.003 | 0.317 ± 0.067 |
| Minimum moisture capacity/% | 0.438 ± 0.037 | 0.335 ± 0.027 | 0.334 ± 0.002 | 0.311 ± 0.064 |
| Soil water storage/mm | 0.026 ± 0.002 | 0.031 ± 0.003 | 0.035 ± 0.001 | 0.032 ± 0.002 |
| Organic carbon/(g/kg) | 12.204 ± 5.374 | 2.929 ± 0.292 | 2.237 ± 0.729 | 1.561 ± 0.411 |
| Organic matter/(g/kg) | 21.039 ± 9.265 | 5.050 ± 0.503 | 3.857 ± 1.257 | 2.692 ± 0.709 |
| Total nitrogen/(g/kg) | 1.345 ± 0.631 | 0.358 ± 0.043 | 0.270 ± 0.094 | 0.183 ± 0.039 |
| Total phosphorus/(g/kg) | 0.614 ± 0.033 | 0.569 ± 0.055 | 0.538 ± 0.045 | 0.518 ± 0.038 |
| Available phosphorus/(mg/kg) | 3.927 ± 1.933 | 2.398 ± 1.031 | 1.792 ± 0.111 | 1.655 ± 0.231 |
| Conductivity/(μS/cm) | 114.2 ± 26.8 | 145.5 ± 111.3 | 209.1 ± 71.9 | 387.0 ± 125.4 |
| pH | 8.960 ± 0.053 | 9.063 ± 0.246 | 9.137 ± 0.170 | 8.983 ± 0.304 |
| Soil Nutrient Indexes | Organic Carbon | Organic Matter | Total Nitrogen | Total Phosphorus | Available Phosphorus |
|---|---|---|---|---|---|
| Preferential flow area | 6.96 ± 6.08 * | 12.00 ± 10.49 * | 0.71 ± 0.61 * | 0.530 ± 0.038 | 3.430 ± 1.037 ** |
| Matrix flow area | 4.28 ± 2.44 * | 7.37 ± 4.2 * | 0.45 ± 0.27 * | 0.570 ± 0.030 | 2.60 ± 0.30 ** |
Disclaimer/Publisher’s Note: The statements, opinions and data contained in all publications are solely those of the individual author(s) and contributor(s) and not of MDPI and/or the editor(s). MDPI and/or the editor(s) disclaim responsibility for any injury to people or property resulting from any ideas, methods, instructions or products referred to in the content. |
© 2023 by the authors. Licensee MDPI, Basel, Switzerland. This article is an open access article distributed under the terms and conditions of the Creative Commons Attribution (CC BY) license (https://creativecommons.org/licenses/by/4.0/).
Share and Cite
Zhao, S.; Wang, J.; Zhang, M. Soil Nutrient Distribution and Preferential Flow Transport Patterns in Robinia Pseudoacacia Communities of Degraded Wetlands. Water 2023, 15, 1140. https://doi.org/10.3390/w15061140
Zhao S, Wang J, Zhang M. Soil Nutrient Distribution and Preferential Flow Transport Patterns in Robinia Pseudoacacia Communities of Degraded Wetlands. Water. 2023; 15(6):1140. https://doi.org/10.3390/w15061140
Chicago/Turabian StyleZhao, Shiqiang, Jingwen Wang, and Mingxiang Zhang. 2023. "Soil Nutrient Distribution and Preferential Flow Transport Patterns in Robinia Pseudoacacia Communities of Degraded Wetlands" Water 15, no. 6: 1140. https://doi.org/10.3390/w15061140
APA StyleZhao, S., Wang, J., & Zhang, M. (2023). Soil Nutrient Distribution and Preferential Flow Transport Patterns in Robinia Pseudoacacia Communities of Degraded Wetlands. Water, 15(6), 1140. https://doi.org/10.3390/w15061140
