Feasibility of Achieving Efficient Nitrite Accumulation in Moving Bed Biofilm Reactor: The Influencing Factors, Microbial Structures, and Biofilm Characteristics
Abstract
1. Introduction
2. Materials and Methods
2.1. Construction and Operation of Denitrification MBBR
2.2. Influence of C/N and pH on the NO2−-N Accumulation in MBBR
2.3. Analytical Methods
2.4. Statistical Analysis
3. Results and Discussions
3.1. Start-Up of PD-MBBR
3.1.1. Variation of the Attached Biomass
3.1.2. Pollutants Removal Performance
3.1.3. Biofilm Surface Features
3.2. Effect of Influent C/N on PD-MBBR
3.2.1. NO2−-N Accumulation Performance
3.2.2. Microbial Community
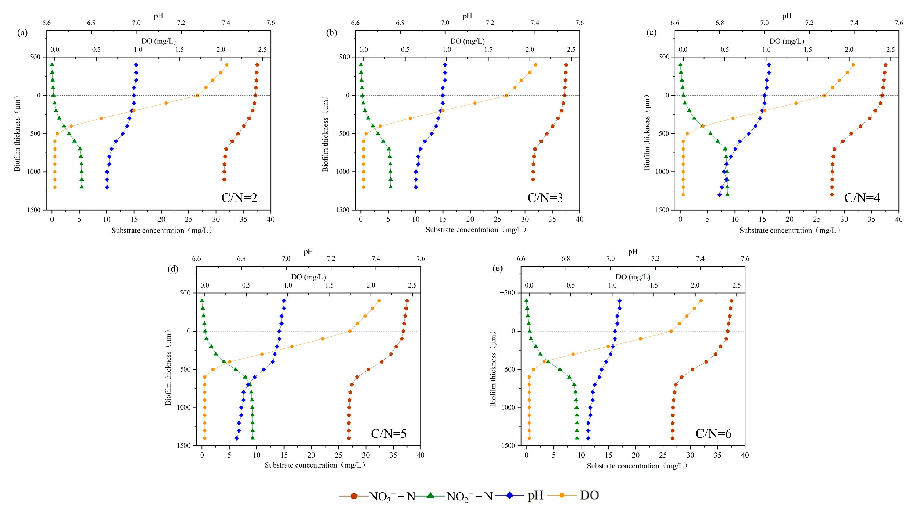
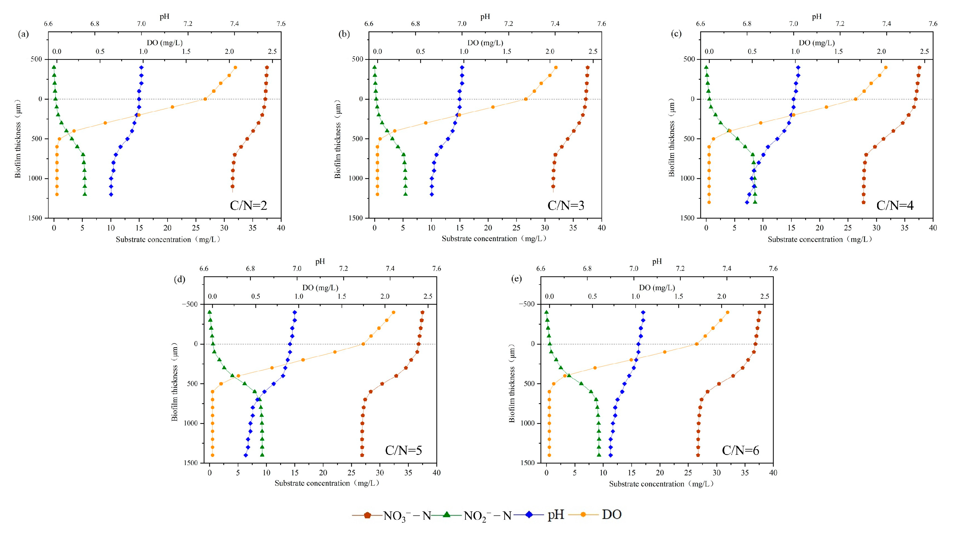
3.2.3. Biofilm Characteristic
3.3. Effect of Influent pH on PD-MBBR
3.3.1. NO2−-N Accumulation Performance
3.3.2. Microbial Community
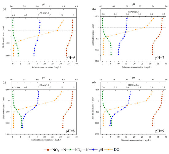
3.3.3. Biofilm Characteristic
4. Conclusions
Author Contributions
Funding
Data Availability Statement
Conflicts of Interest
References
- Mulder, A.; van de Graaf, A.A.; Robertson, L.A.; Kuenen, J.G. Anaerobic ammonium oxidation discovered in a denitrifying fluidized bed reactor. FEMS Microbiol. Ecol. 1995, 16, 177–183. [Google Scholar] [CrossRef]
- Cao, Y.; van Loosdrecht, M.C.; Daigger, G.T. Mainstream partial nitritation-anammox in municipal wastewater treatment: Status, bottlenecks, and further studies. Appl. Microbiol. Biotechnol. 2017, 101, 1365–1383. [Google Scholar] [CrossRef]
- Wang, J.; Li, L.; Liu, Y.; Li, W. A review of partial nitrification in biological nitrogen removal processes: From development to application. Biodegradation 2021, 32, 229–249. [Google Scholar] [CrossRef]
- Granger, J.; Ward, B.B. Accumulation of nitrogen oxides in copper-limited cultures of denitrifying bacteria. Limnol. Oceanogr. 2003, 48, 313–318. [Google Scholar] [CrossRef]
- Zhang, Z.; Zhang, Y.; Chen, Y. Recent advances in partial denitrification in biological nitrogen removal: From enrichment to application. Bioresour. Technol. 2020, 298, 122444. [Google Scholar] [CrossRef]
- Ji, J.; Peng, Y.; Wang, B.; Mai, W.; Li, X.; Zhang, Q.; Wang, S. Effects of salinity build-up on the performance and microbial community of partial-denitrification granular sludge with high nitrite accumulation. Chemosphere 2018, 209, 53–60. [Google Scholar] [CrossRef]
- Du, R.; Peng, Y.; Cao, S.; Li, B.; Wang, S.; Niu, M. Mechanisms and microbial structure of partial denitrification with high nitrite accumulation. Appl. Microbiol. Biotechnol. 2016, 100, 2011–2021. [Google Scholar] [CrossRef] [PubMed]
- Cao, S.; Li, B.; Du, R.; Ren, N.; Peng, Y. Nitrite production in a partial denitrifying upflow sludge bed (USB) reactor equipped with gas automatic circulation (GAC). Water Res. 2016, 90, 309–316. [Google Scholar] [CrossRef] [PubMed]
- Eskicioglu, C.; Galvagno, G.; Cimon, C. Approaches and processes for ammonia removal from side-streams of municipal effluent treatment plants. Bioresour. Technol. 2018, 268, 797–810. [Google Scholar] [CrossRef]
- Du, R.; Cao, S.; Li, B.; Niu, M.; Wang, S.; Peng, Y. Performance and microbial community analysis of a novel DEAMOX based on partial-denitrification and anammox treating ammonia and nitrate wastewaters. Water Res. 2017, 108, 46–56. [Google Scholar] [CrossRef]
- Qian, W.; Ma, B.; Li, X.; Zhang, Q.; Peng, Y. Long-term effect of pH on denitrification: High pH benefits achieving partial-denitrification. Bioresour. Technol. 2019, 278, 444–449. [Google Scholar] [CrossRef] [PubMed]
- Zhang, T.; Cao, J.; Zhang, Y.; Fang, F.; Feng, Q.; Luo, J. Achieving efficient nitrite accumulation in glycerol-driven partial denitrification system: Insights of influencing factors, shift of microbial community and metabolic function. Bioresour. Technol. 2020, 315, 123844. [Google Scholar] [CrossRef]
- Li, W.; Lin, X.Y.; Chen, J.J.; Cai, C.Y.; Abbas, G.; Hu, Z.Q.; Zhao, H.P.; Zheng, P. Enrichment of denitratating bacteria from a methylotrophic denitrifying culture. Appl. Microbiol. Biotechnol. 2016, 100, 10203–10213. [Google Scholar] [CrossRef] [PubMed]
- Xiujie, W.; Weiqi, W.; Jing, Z.; Siyu, W.; Jun, L. Dominance of Candidatus saccharibacteria in SBRs achieving partial denitrification: Effects of sludge acclimating methods on microbial communities and nitrite accumulation. RSC Adv. 2019, 9, 11263–11271. [Google Scholar] [CrossRef] [PubMed]
- Zhang, Q.H.; Yang, W.N.; Ngo, H.H.; Guo, W.S.; Jin, P.K.; Dzakpasu, M.; Yang, S.J.; Wang, Q.; Wang, X.C.; Ao, D. Current status of urban wastewater treatment plants in China. Environ. Int. 2016, 92–93, 11–22. [Google Scholar] [CrossRef]
- Ødegaard, H. A road-map for energy-neutral wastewater treatment plants of the future based on compact technologies (including MBBR). Front. Environ. Sci. Eng. 2016, 10, 7–23. [Google Scholar] [CrossRef]
- Pan, D.; Shao, S.; Zhong, J.; Wang, M.; Wu, X. Performance and mechanism of simultaneous nitrification–denitrification and denitrifying phosphorus removal in long-term moving bed biofilm reactor (MBBR). Bioresour. Technol. 2022, 348, 126726. [Google Scholar] [CrossRef]
- Liu, Q.; Hou, J.; Zeng, Y.; Xia, J.; Miao, L.; Wu, J. Integrated photocatalysis and moving bed biofilm reactor (MBBR) for treating conventional and emerging organic pollutants from synthetic wastewater: Performances and microbial community responses. Bioresour. Technol. 2023, 370, 128530. [Google Scholar] [CrossRef]
- Lawson, C.E.; Wu, S.; Bhattacharjee, A.S.; Hamilton, J.J.; McMahon, K.D.; Goel, R.; Noguera, D.R. Metabolic network analysis reveals microbial community interactions in anammox granules. Nat. Commun. 2017, 8, 15416. [Google Scholar] [CrossRef]
- Kuenen, J.G. Anammox bacteria: From discovery to application. Nat. Rev. Microbiol. 2008, 6, 320–326. [Google Scholar] [CrossRef]
- APHA. Standard Methods for the Examination of Water and Wastewater, 21st ed.; American Public Health Association: Washington, DC, USA, 2005. [Google Scholar]
- Zhang, T.; Cao, J.; Liu, W.; Liu, G.; Huang, C.; Luo, J. Insights into integrated glycerol-driven partial denitrification-anaerobic ammonium oxidation system using bioinformatic analysis: The dominance of Bacillus spp. and the potential of nitrite producing via assimilatory nitrate reduction. Sci. Total Environ. 2023, 858, 160048. [Google Scholar] [CrossRef]
- Mahto, K.U.; Das, S. Bacterial biofilm and extracellular polymeric substances in the moving bed biofilm reactor for wastewater treatment: A review. Bioresour. Technol. 2022, 345, 126476. [Google Scholar] [CrossRef] [PubMed]
- Gong, L.; Huo, M.; Yang, Q.; Li, J.; Ma, B.; Zhu, R.; Wang, S.; Peng, Y. Performance of heterotrophic partial denitrification under feast-famine condition of electron donor: A case study using acetate as external carbon source. Bioresour. Technol. 2013, 133, 263–269. [Google Scholar] [CrossRef] [PubMed]
- Albertsen, M.; Hugenholtz, P.; Skarshewski, A.; Nielsen, K.L.; Tyson, G.W.; Nielsen, P.H. Genome sequences of rare, uncultured bacteria obtained by differential coverage binning of multiple metagenomes. Nat. Biotechnol. 2013, 31, 533–538. [Google Scholar] [CrossRef] [PubMed]
- Gu, Y.; Wei, Y.; Xiang, Q.; Zhao, K.; Yu, X.; Zhang, X.; Li, C.; Chen, Q.; Xiao, H.; Zhang, X. C:N ratio shaped both taxonomic and functional structure of microbial communities in livestock and poultry breeding wastewater treatment reactor. Sci. Total Environ. 2019, 651, 625–633. [Google Scholar] [CrossRef]
- Remmas, N.; Melidis, P.; Zerva, I.; Kristoffersen, J.B.; Nikolaki, S.; Tsiamis, G.; Ntougias, S. Dominance of candidate Saccharibacteria in a membrane bioreactor treating medium age landfill leachate: Effects of organic load on microbial communities, hydrolytic potential and extracellular polymeric substances. Bioresour. Technol. 2017, 238, 48–56. [Google Scholar] [CrossRef]
- Cao, J.; Zhang, T.; Wu, Y.; Sun, Y.; Zhang, Y.; Huang, B.; Fu, B.; Yang, E.; Zhang, Q.; Luo, J. Correlations of nitrogen removal and core functional genera in full-scale wastewater treatment plants: Influences of different treatment processes and influent characteristics. Bioresour. Technol. 2019, 297, 122455. [Google Scholar] [CrossRef]
- Chen, J.; Strous, M. Denitrification and aerobic respiration, hybrid electron transport chains and co-evolution. Biochim. Biophys. Acta 2013, 1827, 136–144. [Google Scholar] [CrossRef]
- Xue, Z.; Zhang, T.; Sun, Y.; Yin, T.; Cao, J.; Fang, F.; Feng, Q.; Luo, J. Integrated moving bed biofilm reactor with partial denitrification-anammox for promoted nitrogen removal: Layered biofilm structure formation and symbiotic functional microbes. Sci. Total Environ. 2022, 839, 156339. [Google Scholar] [CrossRef]
- Du, R.; Peng, Y.; Ji, J.; Shi, L.; Gao, R.; Li, X. Partial denitrification providing nitrite: Opportunities of extending application for anammox. Environ. Int. 2019, 131, 105001. [Google Scholar] [CrossRef]








| Sample | Reads | Index (Similarity: 97%) | ||||
|---|---|---|---|---|---|---|
| OTU | Chao | Coverage | Shannon | Simpson | ||
| R1 (C/N = 2) | 47,201 | 448 | 472 | 0.999 | 4.09 | 0.0491 |
| R2 (C/N = 3) | 51,309 | 464 | 484 | 0.999 | 4.38 | 0.0300 |
| R3 (C/N = 4) | 41,178 | 470 | 504 | 0.999 | 4.44 | 0.0248 |
| R4 (C/N = 5) | 30,792 | 475 | 514 | 0.998 | 4.49 | 0.0246 |
| R5 (C/N = 6) | 45,565 | 482 | 519 | 0.999 | 4.51 | 0.0241 |
| Sample | Reads | Index (Similarity: 97%) | ||||
|---|---|---|---|---|---|---|
| OTU | Chao | Coverage | Shannon | Simpson | ||
| R1 (pH = 6) | 54,206 | 442 | 480 | 0.999 | 4.17 | 0.0391 |
| R2 (pH = 7) | 51,309 | 464 | 484 | 0.999 | 4.38 | 0.0300 |
| R3 (pH = 8) | 46,660 | 440 | 479 | 0.999 | 4.16 | 0.0406 |
| R4 (pH = 9) | 49,194 | 431 | 454 | 0.999 | 4.10 | 0.0424 |
Disclaimer/Publisher’s Note: The statements, opinions and data contained in all publications are solely those of the individual author(s) and contributor(s) and not of MDPI and/or the editor(s). MDPI and/or the editor(s) disclaim responsibility for any injury to people or property resulting from any ideas, methods, instructions or products referred to in the content. |
© 2023 by the authors. Licensee MDPI, Basel, Switzerland. This article is an open access article distributed under the terms and conditions of the Creative Commons Attribution (CC BY) license (https://creativecommons.org/licenses/by/4.0/).
Share and Cite
Li, H.; Xue, Z.; Yin, T.; Liu, T.; Hu, Z. Feasibility of Achieving Efficient Nitrite Accumulation in Moving Bed Biofilm Reactor: The Influencing Factors, Microbial Structures, and Biofilm Characteristics. Water 2023, 15, 998. https://doi.org/10.3390/w15050998
Li H, Xue Z, Yin T, Liu T, Hu Z. Feasibility of Achieving Efficient Nitrite Accumulation in Moving Bed Biofilm Reactor: The Influencing Factors, Microbial Structures, and Biofilm Characteristics. Water. 2023; 15(5):998. https://doi.org/10.3390/w15050998
Chicago/Turabian StyleLi, Hongyi, Zhaoxia Xue, Tongxin Yin, Tingfeng Liu, and Zhixin Hu. 2023. "Feasibility of Achieving Efficient Nitrite Accumulation in Moving Bed Biofilm Reactor: The Influencing Factors, Microbial Structures, and Biofilm Characteristics" Water 15, no. 5: 998. https://doi.org/10.3390/w15050998
APA StyleLi, H., Xue, Z., Yin, T., Liu, T., & Hu, Z. (2023). Feasibility of Achieving Efficient Nitrite Accumulation in Moving Bed Biofilm Reactor: The Influencing Factors, Microbial Structures, and Biofilm Characteristics. Water, 15(5), 998. https://doi.org/10.3390/w15050998
