Historical Drought Events in the Early Years of Qing Dynasty in Shanxi Based on Hydrological Reconstructions
Abstract
1. Introduction
2. Data and Methods
2.1. Study Area
2.2. Data
2.3. Method
2.3.1. Runoff and Soil Moisture Reconstruction of Shanxi’s Severe Drought in the Early Years of Guangxu
- Select 1975 as the base year in the period with daily scale meteorological observations, and divide the monthly rainfall of month j in year i by the monthly rainfall in month j of the base year to obtain the rainfall correction coefficient ri, j in year i month j
- Taking the daily rainfall sequence of month j in the base year as the benchmark and multiplying by the correction coefficients ri, j, respectively, the daily rainfall sequence of month j in year i can be obtained. Through the above downscaling method, the daily rainfall sequences of 95 stations in Shanxi Province from 1875 to 1879 were obtained. Combining the latitude and longitude positions and elevation information of each station, the SYMAP method was used to interpolate the rainfall grid. Thereafter, the daily rainfall sequence of each 1/8° grid in Shanxi Province from 1875 to 1879 was obtained.
2.3.2. VIC Model
2.3.3. Model Calibration and Validation
Model Input
- (1)
- Meteorological forced input
- (2)
- Land surface parameters
- (3)
- Confluence model input
Model Calibration
2.3.4. Meteorological Drought Indicator
3. Results
3.1. Model Applicability Evaluation
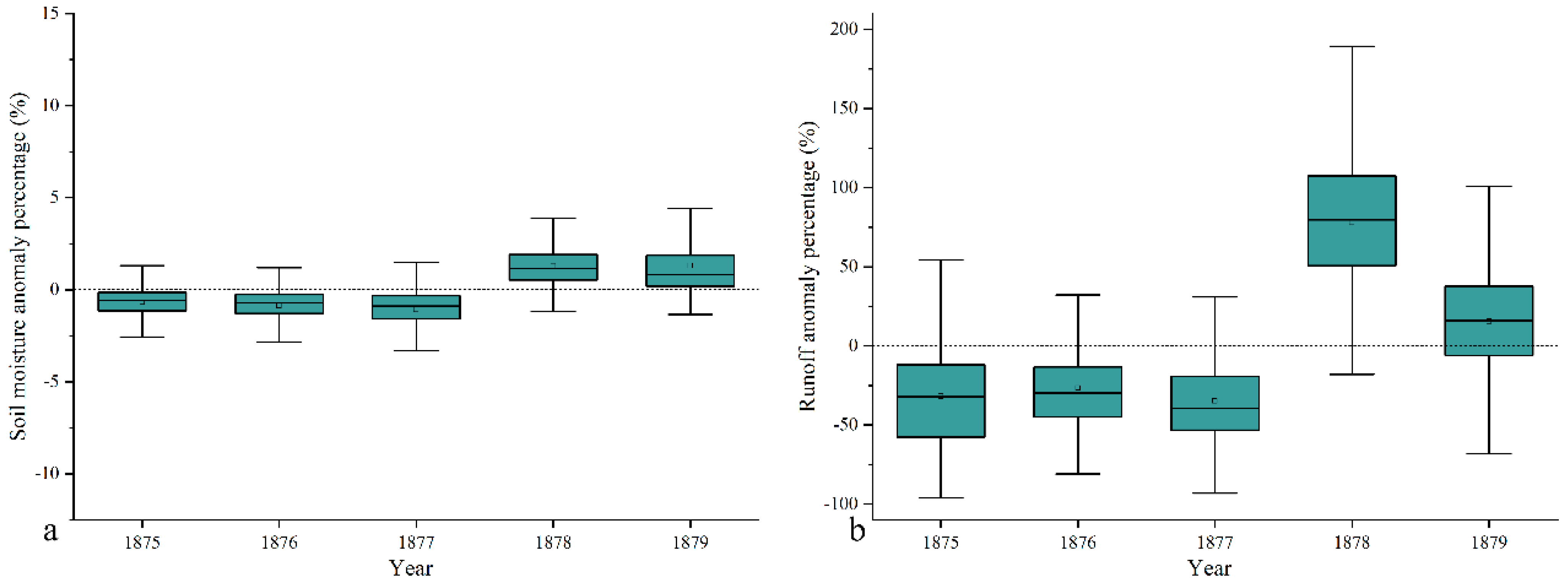
3.2. Runoff Reconstruction Results
3.3. Soil Moisture Reconstruction Results
3.4. SMAP and RPA
4. Discussion
5. Conclusions
Author Contributions
Funding
Institutional Review Board Statement
Data Availability Statement
Acknowledgments
Conflicts of Interest
References
- Allen, C.D.; Macalady, A.K.; Chenchouni, H.; Bachelet, D.; McDowell, N.; Vennetier, M.; Kitzberger, T.; Rigling, A.; Breshears, D.D.; Hogg, E.H.; et al. A global overview of drought and heat-induced tree mortality reveals emerging climate change risks for forests. For. Ecol. Manag. 2010, 259, 660–684. [Google Scholar] [CrossRef]
- Andreadis, K.M.; Clark, E.A.; Wood, A.W.; Hamlet, A.F.; Lettenmaier, D.P. Twentieth-century drought in the conterminous United States. J. Hydrometeorol. 2005, 6, 985–1001. [Google Scholar] [CrossRef]
- Chen, H.; Sun, J. Changes in Drought Characteristics over China Using the Standardized Precipitation Evapotranspiration Index. J. Clim. 2015, 28, 5430–5447. [Google Scholar] [CrossRef]
- Cook, B.I.; Ault, T.R.; Smerdon, J.E. Unprecedented 21st century drought risk in the American Southwest and Central Plains. Sci. Adv. 2015, 1, e1400082. [Google Scholar] [CrossRef]
- Cristi, F.; Fierro, V.; Suarez, F.; Munoz, J.F.; Hausner, M.B. A TDR-waveform approach to estimate soil water content in electrically conductive soils. Comput. Electron. Agric. 2016, 121, 160–168. [Google Scholar] [CrossRef]
- Dai, A. Drought under global warming: A review. WIREs Clim. Change 2011, 2, 45–65. [Google Scholar] [CrossRef]
- Feng, S.; Qiu, J.; Crow, W.T.; Mo, X.; Liu, S.; Wang, S.; Gao, L.; Wang, X.; Chen, S. Improved estimation of vegetation water content and its impact on L-band soil moisture retrieval over cropland. J. Hydrol. 2023, 617, 129015. [Google Scholar] [CrossRef]
- Ge, Q.; Zheng, J.; Tian, Y.; Wu, W.; Fang, X.; Wang, W.-C. Coherence of climatic reconstruction from historical documents in China by different studies. Int. J. Climatol. 2008, 28, 1007–1024. [Google Scholar] [CrossRef]
- Ge, Q.S.; Zheng, J.Y.; Hao, Z.X.; Liu, Y.; Li, M.Q. Recent advances on reconstruction of climate and extreme events in China for the past 2000 years. J. Geogr. Sci. 2016, 26, 827–854. [Google Scholar] [CrossRef]
- Ghasemloo, N.; Matkan, A.A.; Alimohammadi, A.; Aghighi, H.; Mirbagheri, B. Estimating the Agricultural Farm Soil Moisture Using Spectral Indices of Landsat 8, and Sentinel-1, and Artificial Neural Networks. J. Geovisualization Spat. Anal. 2022, 6, 19. [Google Scholar] [CrossRef]
- Guo, P.; Zhao, X.; Shi, J.; Huang, J.; Tang, J.; Zhang, R.; Chen, J.; Wang, Q.; Zeng, J. The influence of temperature and precipitation on the vegetation dynamics of the tropical island of Hainan. Theor. Appl. Climatol. 2021, 143, 429–445. [Google Scholar] [CrossRef]
- Hao, Z.; Chen, S.; Li, Z.; Yu, Z.; Shao, Q.; Yuan, F.; Shi, F. Quantitative assessment of the impacts of irrigation on surface water fluxes in the Tarim River, China. Hydrol. Res. 2015, 46, 996–1007. [Google Scholar] [CrossRef]
- Hao, Z.; Yu, Y.; Ge, Q.; Zheng, J. Reconstruction of high-resolution climate data over China from rainfall and snowfall records in the Qing Dynasty. Wiley Interdiscip. Rev. Clim. Change 2018, 9, e517. [Google Scholar] [CrossRef]
- Hao, Z.X.; Zheng, J.Y.; Ge, Q.S. Precipitation cycles in the middle and lower reaches of the Yellow River (1736–2000). J. Geogr. Sci. 2008, 18, 17–25. [Google Scholar] [CrossRef]
- Kadupitiya, H.K.; Madushan, R.N.D.; Gunawardhane, D.; Sirisena, D.; Rathnayake, U.; Dissanayaka, D.; Ariyaratne, M.; Marambe, B.; Suriyagoda, L. Mapping Productivity-related Spatial Characteristics in Rice-based Cropping Systems in Sri Lanka. J. Geovisualization Spat. Anal. 2022, 6, 26. [Google Scholar] [CrossRef]
- Kim, E.-S. Simulation of Daily Soil Moisture Content and Reconstruction of Drought Events from the Early 20th Century in Seoul, Korea, using a Hydrological Simulation Model, BROOK. J. Ecol. Environ. 2010, 33, 47–57. [Google Scholar] [CrossRef]
- Leng, S.; Huete, A.; Cleverly, J.; Gao, S.; Yu, Q.; Meng, X.; Qi, J.; Zhang, R.; Wang, Q. Assessing the Impact of Extreme Droughts on Dryland Vegetation by Multi-Satellite Solar-Induced Chlorophyll Fluorescence. Remote Sens. 2022, 14, 1581. [Google Scholar] [CrossRef]
- Leng, S.; Huete, A.; Cleverly, J.; Yu, Q.; Zhang, R.; Wang, Q. Spatiotemporal Variations of Dryland Vegetation Phenology Revealed by Satellite-Observed Fluorescence and Greenness across the North Australian Tropical Transect. Remote Sens. 2022, 14, 2985. [Google Scholar] [CrossRef]
- Li, M.; Ma, Z. Soil moisture drought detection and multi-temporal variability across China. Sci. China-Earth Sci. 2015, 58, 1798–1813. [Google Scholar] [CrossRef]
- Li, W.; Hou, M.; Chen, H.; Chen, X. Study on drought trend in south China based on standardized precipitation evapotranspiration index. J. Nat. Disasters 2012, 21, 84–90. [Google Scholar]
- Li, Z.; Lv, J.; Qu, Y.; Zhang, W.; Ma, Z.; Ma, M. Reconstruction and analysis of the extreme drought event in Shanxi Province in early years of Emperor Guangxu of the Qing Dynasty. J. China Inst. Water Resour. Hydropower Res. 2019, 17, 459–469. [Google Scholar]
- Liang, X.; Lettenmaier, D.P.; Wood, E.F.; Burges, S.J. A simple hydrologically based model of land-surface water and energy fluxes for general-circulation models. J. Geophys. Res. Atmos. 1994, 99, 14415–14428. [Google Scholar] [CrossRef]
- Liu, X.; Luo, Y.; Yang, T.; Liang, K.; Zhang, M.; Liu, C. Investigation of the probability of concurrent drought events between the water source and destination regions of China’s water diversion project. Geophys. Res. Lett. 2015, 42, 8424–8431. [Google Scholar] [CrossRef]
- Ma, M.; Ren, L.; Singh, V.P.; Yuan, F.; Chen, L.; Yang, X.; Liu, Y. Hydrologic model-based Palmer indices for drought characterization in the Yellow River basin, China. Stoch. Environ. Res. Risk Assess. 2016, 30, 1401–1420. [Google Scholar] [CrossRef]
- Mao, Y.; Wu, Z.; He, H.; Lu, G.; Xu, H.; Lin, Q. Spatio-temporal analysis of drought in a typical plain region based on the soil moisture anomaly percentage index. Sci. Total Environ. 2017, 576, 752–765. [Google Scholar] [CrossRef]
- Niu, J. Precipitation in the Pearl River basin, South China: Scaling, regional patterns, and influence of large-scale climate anomalies. Stoch. Environ. Res. Risk Assess. 2013, 27, 1253–1268. [Google Scholar] [CrossRef]
- Niu, J.; Chen, J. A wavelet perspective on variabilities of hydrological processes in conjunction with geomorphic analysis over the Pearl River basin in South China. J. Hydrol. 2016, 542, 392–409. [Google Scholar] [CrossRef]
- Niu, J.; Chen, J.; Sun, L. Exploration of drought evolution using numerical simulations over the Xijiang (West River) basin in South China. J. Hydrol. 2015, 526, 68–77. [Google Scholar] [CrossRef]
- Otkin, J.A.; Shafer, M.; Svoboda, M.; Wardlow, B.; Anderson, M.C.; Hain, C.; Basara, J. Facilitating the Use of Drought Early Warning Information through Interactions with Agricultural Stakeholders. Bull. Am. Meteorol. Soc. 2015, 96, 1073–1078. [Google Scholar] [CrossRef]
- Qiu, J.; Crow, W.T.; Wang, S.; Dong, J.; Li, Y.; Garcia, M.; Shangguan, W. Microwave-based soil moisture improves estimates of vegetation response to drought in China. Sci. Total Environ. 2022, 849, 157535. [Google Scholar] [CrossRef]
- Qiu, J.; Dong, J.; Crow, W.T.; Zhang, X.; Reichle, R.H.; De Lannoy, G.J.M. The benefit of brightness temperature assimilation for the SMAP Level-4 surface and root-zone soil moisture analysis. Hydrol. Earth Syst. Sci. 2021, 25, 1569–1586. [Google Scholar] [CrossRef]
- Rajsekhar, D.; Singh, V.P.; Mishra, A.K. Multivariate drought index: An information theory based approach for integrated drought assessment. J. Hydrol. 2015, 526, 164–182. [Google Scholar] [CrossRef]
- Scaini, A.; Sanchez, N.; Vicente-Serrano, S.M.; Martinez-Fernandez, J. SMOS-derived soil moisture anomalies and drought indices: A comparative analysis using in situ measurements. Hydrol. Process. 2015, 29, 373–383. [Google Scholar] [CrossRef]
- Sehgal, V.; Sridhar, V.; Tyagi, A. Stratified drought analysis using a stochastic ensemble of simulated and in-situ soil moisture observations. J. Hydrol. 2017, 545, 226–250. [Google Scholar] [CrossRef]
- Shi, H.; Zhou, Z.; Liu, L.; Liu, S. A global perspective on propagation from meteorological drought to hydrological drought during 1902–2014. Atmos. Res. 2022, 280, 106441. [Google Scholar] [CrossRef]
- Stephen, H.; Ahmad, S.; Piechota, T.C.; Tang, C. Relating surface backscatter response from TRMM precipitation radar to soil moisture: Results over a semi-arid region. Hydrol. Earth Syst. Sci. 2010, 14, 193–204. [Google Scholar] [CrossRef]
- Tan, H.; Cai, R.; Chen, J.; Huang, R. Decadal winter drought in Southwest China since the late 1990s and its atmospheric teleconnection. Int. J. Climatol. 2017, 37, 455–467. [Google Scholar] [CrossRef]
- Wang, A.; Lettenmaier, D.P.; Sheffield, J. Soil Moisture Drought in China, 1950–2006. J. Clim. 2011, 24, 3257–3271. [Google Scholar] [CrossRef]
- Wang, G.; Zhang, J.; Pagano, T.C.; Xu, Y.; Bao, Z.; Liu, Y.; Jin, J.; Liu, C.; Song, X.; Wan, S. Simulating the hydrological responses to climate change of the Xiang River basin, China. Theor. Appl. Climatol. 2016, 124, 769–779. [Google Scholar] [CrossRef]
- Wang, H.; Rogers, J.C.; Munroe, D.K. Commonly Used Drought Indices as Indicators of Soil Moisture in China. J. Hydrometeorol. 2015, 16, 1397–1408. [Google Scholar] [CrossRef]
- Wang, L.; Yuan, X.; Xie, Z.; Wu, P.; Li, Y. Increasing flash droughts over China during the recent global warming hiatus. Sci. Rep. 2016, 6, 30571. [Google Scholar] [CrossRef] [PubMed]
- Wang, Q.; Qi, J.; Li, J.; Cole, J.; Waldhoff, S.T.; Zhang, X. Nitrate loading projection is sensitive to freeze-thaw cycle representation. Water Res. 2020, 186, 116355. [Google Scholar] [CrossRef] [PubMed]
- Wang, Q.; Qi, J.; Qiu, H.; Li, J.; Cole, J.; Waldhoff, S.; Zhang, X. Pronounced Increases in Future Soil Erosion and Sediment Deposition as Influenced by Freeze–Thaw Cycles in the Upper Mississippi River Basin. Environ. Sci. Technol. 2021, 55, 9905–9915. [Google Scholar] [CrossRef] [PubMed]
- Wang, Q.; Qi, J.; Wu, H.; Zeng, Y.; Shui, W.; Zeng, J.; Zhang, X. Freeze-Thaw cycle representation alters response of watershed hydrology to future climate change. CATENA 2020, 195, 104767. [Google Scholar] [CrossRef]
- Wang, Q.; Zeng, J.; Leng, S.; Fan, B.; Tang, J.; Jiang, C.; Huang, Y.; Zhang, Q.; Qu, Y.; Wang, W.; et al. The effects of air temperature and precipitation on the net primary productivity in China during the early 21st century. Front. Earth Sci. 2018, 12, 818–833. [Google Scholar] [CrossRef]
- Wang, Q.; Zeng, J.; Qi, J.; Zhang, X.; Zeng, Y.; Shui, W.; Xu, Z.; Zhang, R.; Wu, X.; Cong, J. A multi-scale daily SPEI dataset for drought characterization at observation stations over mainland China from 1961 to 2018. Earth Syst. Sci. Data 2021, 13, 331–341. [Google Scholar] [CrossRef]
- Wang, Q.; Zhang, R.; Qi, J.; Zeng, J.; Wu, J.; Shui, W.; Wu, X.; Li, J. An improved daily standardized precipitation index dataset for mainland China from 1961 to 2018. Sci. Data 2022, 9, 124. [Google Scholar] [CrossRef] [PubMed]
- Wang, Z.; Li, J.; Lai, C.; Wang, R.Y.; Chen, X.; Lian, Y. Drying tendency dominating the global grain production area. Glob. Food Secur. Agric. Policy Econ. Environ. 2018, 16, 138–149. [Google Scholar] [CrossRef]
- Wang, Z.; Zhong, R.; Lai, C.; Zeng, Z.; Lian, Y.; Bai, X. Climate change enhances the severity and variability of drought in the Pearl River Basin in South China in the 21st century. Agric. For. Meteorol. 2018, 249, 149–162. [Google Scholar] [CrossRef]
- Wu, X.; Zhang, R.; Bento, V.A.; Leng, S.; Qi, J.; Zeng, J.; Wang, Q. The Effect of Drought on Vegetation Gross Primary Productivity under Different Vegetation Types across China from 2001 to 2020. Remote Sens. 2022, 14, 4658. [Google Scholar] [CrossRef]
- Wu, Z.; Lu, G.; Wen, L.; Lin, C.A.; Zhang, J.; Yang, Y. Thirty-five year (1971–2005) simulation of daily soil moisture using the variable infiltration capacity model over China. Atmos. Ocean. 2007, 45, 37–45. [Google Scholar] [CrossRef]
- Wu, Z.; Lu, G.; Zhang, J.; Yang, Y. Simulation of Daily Soil Moisture Using VIC Model. Sci. Geogr. Sin. 2007, 27, 359–364. [Google Scholar]
- Wu, Z.; Qiu, J.; Crow, W.T.; Wang, D.; Wang, Z.; Zhang, X. Investigating the Efficacy of the SMAP Downscaled Soil Moisture Product for Drought Monitoring Based on Information Theory. IEEE J. Sel. Top. Appl. Earth Obs. Remote Sens. 2022, 15, 1604–1616. [Google Scholar] [CrossRef]
- Wu, Z.Y.; Lu, G.H.; Wen, L.; Lin, C.A. Reconstructing and analyzing China’s fifty-nine year (1951–2009) drought history using hydrological model simulation. Hydrol. Earth Syst. Sci. 2011, 15, 2881–2894. [Google Scholar] [CrossRef]
- Xu, K.; Yang, D.; Yang, H.; Li, Z.; Qin, Y.; Shen, Y. Spatio-temporal variation of drought in China during 1961–2012: A climatic perspective. J. Hydrol. 2015, 526, 253–264. [Google Scholar] [CrossRef]
- Yan, J.-H.; Liu, H.-L.; Hao, Z.-X.; Zhang, X.-Z.; Zheng, J.-Y. Climate extremes revealed by Chinese historical documents over the middle and lower reaches of the Yangtze River in winter 1620. Adv. Clim. Change Res. 2014, 5, 118–122. [Google Scholar] [CrossRef]
- Yao, N.; Li, Y.; Lei, T.; Peng, L. Drought evolution, severity and trends in mainland China over 1961–2013. Sci. Total Environ. 2018, 616, 73–89. [Google Scholar] [CrossRef]
- Zeng, J.; Zhang, R.; Lin, Y.; Wu, X.; Tang, J.; Guo, P.; Li, J.; Wang, Q. Drought frequency characteristics of China, 1981-2019, based on the vegetation health index. Clim. Res. 2020, 81, 131–147. [Google Scholar] [CrossRef]
- Zeng, J.; Zhang, R.; Qu, Y.; Bento, V.A.; Zhou, T.; Lin, Y.; Wu, X.; Qi, J.; Shui, W.; Wang, Q. Improving the drought monitoring capability of VHI at the global scale via ensemble indices for various vegetation types from 2001 to 2018. Weather. Clim. Extrem. 2022, 35, 100412. [Google Scholar] [CrossRef]
- Zeng, J.; Zhang, R.; Tang, J.; Liang, J.; Li, J.; Zeng, Y.; Li, Y.; Zhang, Q.; Shui, W.; Wang, Q. Ecological sustainability assessment of the carbon footprint in Fujian Province, southeast China. Front. Earth Sci. 2021, 15, 12–22. [Google Scholar] [CrossRef]
- Zhang, R.; Bento, V.A.; Qi, J.; Xu, F.; Wu, J.; Qiu, J.; Li, J.; Shui, W.; Wang, Q. The first high spatial resolution multi-scale daily SPI and SPEI raster dataset for drought monitoring and evaluating over China from 1979 to 2018. Big Earth Data 2023. [Google Scholar] [CrossRef]
- Zhang, R.; Qi, J.; Leng, S.; Wang, Q. Long-Term Vegetation Phenology Changes and Responses to Preseason Temperature and Precipitation in Northern China. Remote Sens. 2022, 14, 1396. [Google Scholar] [CrossRef]
- Zhang, X.-Z.; Ge, Q.-S.; Fang, X.-Q.; Zheng, J.-Y.; Fei, J. Precipitation variations in Beijing during 1860–1897 AD revealed by daily weather records from the Weng Tong-He Diary. Int. J. Climatol. 2013, 33, 568–576. [Google Scholar] [CrossRef]
- Zheng, J.Y.; Hao, Z.X.; Ge, Q.S. Variation of precipitation for the last 300 years over the middle and lower reaches of the Yellow River. Sci. China Ser. D Earth Sci. 2005, 48, 2182–2193. [Google Scholar] [CrossRef]










| Number | Station Number | Name | Longitude (°) | Latitude (°) |
|---|---|---|---|---|
| 1 | 53564 | Hequ | 111.15 | 39.38 |
| 2 | 53594 | Lingqiu | 114.18 | 39.45 |
| 3 | 53674 | Xizhou | 112.70 | 38.42 |
| 4 | 53769 | Fenyang | 111.78 | 37.25 |
| 5 | 53775 | Taigu | 112.53 | 37.43 |
| 6 | 53783 | Xiyang | 113.70 | 37.60 |
| 7 | 53853 | Xixian | 110.95 | 36.70 |
| 8 | 53863 | Jiexiu | 111.92 | 37.03 |
| 9 | 53868 | Linfen | 111.50 | 36.07 |
| 10 | 53877 | Anze | 112.25 | 36.17 |
| 11 | 53882 | Changzhi | 113.07 | 36.05 |
| 12 | 53956 | Wanrong | 110.83 | 35.40 |
| 13 | 53959 | Yuncheng | 111.02 | 35.03 |
| 14 | 53976 | Jincheng | 112.83 | 35.52 |
| Name | Longitude (°) | Latitude (°) | Area (km2) |
|---|---|---|---|
| Jingle | 111.92 | 38.34 | 2799 |
| Yitang | 111.83 | 37 | 23,945 |
| Hejin | 110.80 | 35.57 | 38,728 |
| Data Type | Data Sources | Name | Resolution |
|---|---|---|---|
| Digital elevation (DEM) | United States Geological Survey (USGS) | HyDRO1K digital elevation data | 1 km |
| Soil cover data | University of Maryland land cover dataset | Global land cover dataset | 1 km |
| Soil parameter data | Food and Agriculture Organization of the United Nations (FAO) | Global 5′ soil dataset | 9 km |
| Parameter | Description |
|---|---|
| binf | Variable infiltration capacity curve parameters |
| d2 | Upper soil depth |
| d3 | Bottom soil depth |
| Dsmax | Maximum base flow in the bottom soil |
| Ds | The proportion of Dsmax when the base flow nonlinearly increases |
| Ws | The ratio of the maximum moisture content of the bottom soil |
| Number | Grade | SMAP | RAP |
|---|---|---|---|
| 1 | No drought | −0.18 < SMAP | −13 < RPA |
| 2 | Mild drought | −0.18 < SMAP ≤ −0.49 | −13 < RPA ≤ −28 |
| 3 | Moderate drought | −0.49 < SMAP ≤ −0.88 | −28 < RPA ≤ −41 |
| 4 | Severe drought | −0.88 < SMAP ≤ −1.47 | −41 < RPA ≤ −55 |
| 5 | Extreme drought | SMAP ≤ −1.47 | RPA ≤ −55 |
Disclaimer/Publisher’s Note: The statements, opinions and data contained in all publications are solely those of the individual author(s) and contributor(s) and not of MDPI and/or the editor(s). MDPI and/or the editor(s) disclaim responsibility for any injury to people or property resulting from any ideas, methods, instructions or products referred to in the content. |
© 2023 by the authors. Licensee MDPI, Basel, Switzerland. This article is an open access article distributed under the terms and conditions of the Creative Commons Attribution (CC BY) license (https://creativecommons.org/licenses/by/4.0/).
Share and Cite
Qu, Y.; Zhang, X.; Zeng, J.; Li, Z.; Lv, J. Historical Drought Events in the Early Years of Qing Dynasty in Shanxi Based on Hydrological Reconstructions. Water 2023, 15, 995. https://doi.org/10.3390/w15050995
Qu Y, Zhang X, Zeng J, Li Z, Lv J. Historical Drought Events in the Early Years of Qing Dynasty in Shanxi Based on Hydrological Reconstructions. Water. 2023; 15(5):995. https://doi.org/10.3390/w15050995
Chicago/Turabian StyleQu, Yanping, Xuejun Zhang, Jingyu Zeng, Zhe Li, and Juan Lv. 2023. "Historical Drought Events in the Early Years of Qing Dynasty in Shanxi Based on Hydrological Reconstructions" Water 15, no. 5: 995. https://doi.org/10.3390/w15050995
APA StyleQu, Y., Zhang, X., Zeng, J., Li, Z., & Lv, J. (2023). Historical Drought Events in the Early Years of Qing Dynasty in Shanxi Based on Hydrological Reconstructions. Water, 15(5), 995. https://doi.org/10.3390/w15050995

