Assessment of Groundwater Decontamination Processes around a Dismantled Septic Tank Using GIS and Statistical Analysis
Abstract
1. Introduction
2. Materials and Methods
2.1. Location of the Study Area
2.2. Field Sampling and Laboratory Analysis
2.3. Septic Tanks in Hungarian Settlements
2.4. GIS and Statistical Analysis
3. Results and Discussion
3.1. Impact of Septic Tank Discharge on Groundwater Level
3.2. Evaluation of δD and δ18O Values
3.3. Temporal and Spatial Changes in the Water Quality Parameters after Elimination of the Septic Tank
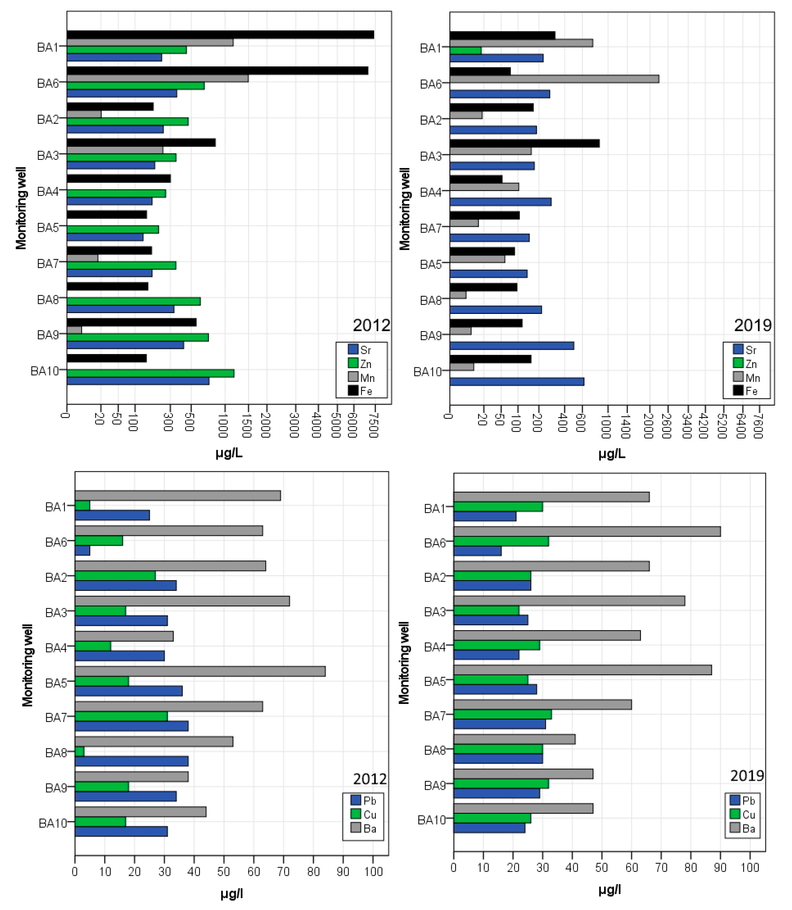
3.4. Temporal Changes in the Microelements around the Septic Tank
3.5. Cation and Anoin Ratios in the Post-Closure Period
3.6. Statistical Analyses of the Data
4. Conclusions
Author Contributions
Funding
Institutional Review Board Statement
Informed Consent Statement
Data Availability Statement
Acknowledgments
Conflicts of Interest
References
- Richards, S.; Paterson, E.; Withers, P.J.A.; Stutter, M. Septic Tank Discharges as Multi-Pollutant Hotspots in Catchments. Sci. Total Environ. 2016, 542, 854–863. [Google Scholar] [CrossRef] [PubMed]
- Gao, Q.; Blum, K.M.; Gago-Ferrero, P.; Wiberg, K.; Ahrens, L.; Andersson, P.L. Impact of On-Site Wastewater Infiltration Systems on Organic Contaminants in Groundwater and Recipient Waters. Sci. Total Environ. 2019, 651, 1670–1679. [Google Scholar] [CrossRef]
- Houéménou, H.; Tweed, S.; Dobigny, G.; Mama, D.; Alassane, A.; Silmer, R.; Babic, M.; Ruy, S.; Chaigneau, A.; Gauthier, P.; et al. Degradation of Groundwater Quality in Expanding Cities in West Africa. A Case Study of the Unregulated Shallow Aquifer in Cotonou. J. Hydrol. 2020, 582, 124438. [Google Scholar] [CrossRef]
- Abioye, S.O.; Perera, E.D.P. Public Health Effects Due to Insufficient Groundwater Quality Monitoring in Igando and Agbowo Regions in Nigeria: A Review. Sustain. Water Resour. Manag. 2019, 5, 1711–1721. [Google Scholar] [CrossRef]
- Dudley, B.; May, L. Estimating the Phosphorus Load to Waterbodies from Septic Tanks. Available online: https://nora.nerc.ac.uk/id/eprint/2531/ (accessed on 18 January 2023).
- Bouderbala, A.; Hadj Mohamed, N. Groundwater Quality in an Alluvial Aquifer Affected by the Anthropogenic and Natural Processes in a Rural Area, North Algeria. In Advances in Sustainable and Environmental Hydrology, Hydrogeology, Hydrochemistry and Water Resources; Chaminé, H.I., Barbieri, M., Kisi, O., Chen, M., Merkel, B.J., Eds.; Advances in Science, Technology & Innovation; Springer International Publishing: Cham, Switzerland, 2019; pp. 107–110. ISBN 978-3-030-01571-8. [Google Scholar]
- Withers, P.J.; Jordan, P.; May, L.; Jarvie, H.P.; Deal, N.E. Do Septic Tank Systems Pose a Hidden Threat to Water Quality? Front. Ecol. Environ. 2014, 12, 123–130. [Google Scholar] [CrossRef] [PubMed]
- Okoye, B.S.; Umeora, C.O.; Ifebi, O.C.; Onwuzuligbo, C.C. Effects of Sewage Disposal Systems on the Environment in Public Housing Estates in Enugu Metrpolis. Coou Afr. J. Environ. Res. 2018, 1, 120–130. [Google Scholar]
- Singh, S.; Hariteja, N.; Renuka Prasad, T.J.; Raju, N.J.; Ramakrishna, C. Impact Assessment of Faecal Sludge on Groundwater and River Water Quality in Lucknow Environs, Uttar Pradesh, India. Groundw. Sustain. Dev. 2020, 11, 100461. [Google Scholar] [CrossRef]
- Lasagna, M.; De Luca, D.A. Evaluation of Sources and Fate of Nitrates in the Western Po Plain Groundwater (Italy) Using Nitrogen and Boron Isotopes. Environ. Sci. Pollut. Res. 2019, 26, 2089–2104. [Google Scholar] [CrossRef] [PubMed]
- Bugajski, P.M.; Kurek, K.; Młyński, D.; Operacz, A. Designed and Real Hydraulic Load of Household Wastewater Treatment Plants. J. Water Land Dev. 2019, 40, 155–160. [Google Scholar] [CrossRef]
- Wolf, L.; Held, I.; Eiswirth†, M.; Hötzl, H. Impact of Leaky Sewers on Groundwater Quality. Acta Hydrochim. Hydrobiol. 2004, 32, 361–373. [Google Scholar] [CrossRef]
- Oliveira, T.J.J.; da Fonseca Santiago, A.; da Silva Lanna, M.C.; Fongaro, G.; Milagres, N.L.; Cunha, T.R.; Corrêa, A.L.I. Rural Blackwater Treatment by a Full-Scale Brazilian Biodigester Septic Tank: Microbial Indicators and Pathogen Removal Efficiency. Environ. Sci. Pollut. Res. 2021, 28, 23235–23242. [Google Scholar] [CrossRef]
- Brennan, R.B.; Clifford, E.; Devroedt, C.; Morrison, L.; Healy, M.G. Treatment of Landfill Leachate in Municipal Wastewater Treatment Plants and Impacts on Effluent Ammonium Concentrations. J. Environ. Manag. 2017, 188, 64–72. [Google Scholar] [CrossRef]
- Brandes, M. Characteristics of Effluents from Gray and Black Water Septic Tanks. J. (Water Pollut. Control Fed.) 1978, 50, 2547–2559. [Google Scholar]
- Mester, T.; Balla, D.; Karancsi, G.; Bessenyei, É.; Szabó, G. Eects of Nitrogen Loading from Domestic Wastewater on Groundwater Quality. Water SA 2019, 45, 349–358. [Google Scholar] [CrossRef]
- Katz, B.G.; Eberts, S.M.; Kauffman, L.J. Using Cl/Br Ratios and Other Indicators to Assess Potential Impacts on Groundwater Quality from Septic Systems: A Review and Examples from Principal Aquifers in the United States. J. Hydrol. 2011, 397, 151–166. [Google Scholar] [CrossRef]
- Pang, L.; Nokes, C.; Šimůnek, J.; Kikkert, H.; Hector, R. Modeling the Impact of Clustered Septic Tank Systems on Groundwater Quality. Vadose Zone J. 2006, 5, 599–609. [Google Scholar] [CrossRef]
- Lu, Y.; Tang, C.; Chen, J.; Sakura, Y. Impact of Septic Tank Systems on Local Groundwater Quality and Water Supply in the Pearl River Delta, China: Case Study. Hydrol. Process. 2008, 22, 443–450. [Google Scholar] [CrossRef]
- Shirazi, S.M.; Adham, M.I.; Zardari, N.H.; Ismail, Z.; Imran, H.M.; Mangrio, M.A. Groundwater Quality and Hydrogeological Characteristics of Malacca State in Malaysia. J. Water Land Dev. 2015, 24, 11–19. [Google Scholar] [CrossRef]
- Hanchar, D.W. Effects of Septic-Tank Effluent on Ground-Water Qualilty in Northern Williamson County and Southern Davidson County, Tennessee; US Geological Survey: Reston, VA, USA, 1991.
- Reay, W.G. Septic Tank Impacts on Ground Water Quality and Nearshore Sediment Nutrient Flux. Ground Water 2004, 42, 1079–1089. [Google Scholar] [CrossRef]
- McQuillan, D. Ground-Water Quality Impacts from On-Site Septic Systems. In Proceedings of the National Onsite Wastewater Recycling Association, 13th Annual Conference, Albuquerque, NM, USA, 7–10 November 2004; pp. 6–18. [Google Scholar]
- Abdalla, F.; Khalil, R. Potential Effects of Groundwater and Surface Water Contamination in an Urban Area, Qus City, Upper Egypt. J. Afr. Earth Sci. 2018, 141, 164–178. [Google Scholar] [CrossRef]
- Kringel, R.; Rechenburg, A.; Kuitcha, D.; Fouépé, A.; Bellenberg, S.; Kengne, I.M.; Fomo, M.A. Mass Balance of Nitrogen and Potassium in Urban Groundwater in Central Africa, Yaounde/Cameroon. Sci. Total Environ. 2016, 547, 382–395. [Google Scholar] [CrossRef] [PubMed]
- Edo, F.A.; Ejiogu, C.C.; Uzoije, A.P.; Nwachukwu, M.A.; Okoli, C.G. Impact of Open Sewage Dumpsites on Groundwater Quality in Igwuruta, Rivers State, Nigeria. J. Glob. Biosci. 2014, 3, 919–930. [Google Scholar]
- Dawes, L.; Goonetilleke, A. An Investigation into the Role of Site and Soil Characteristics in Onsite Sewage Treatment. Environ. Geol. 2003, 44, 467–477. [Google Scholar] [CrossRef]
- Mester, T.; Szabó, G.; Balla, D. Assessment of Shallow Groundwater Purification Processes after the Construction of a Municipal Sewerage Network. Water 2021, 13, 1946. [Google Scholar] [CrossRef]
- Hungarian Central Statistical Office. Secondary Public Utility Gap; Hungarian Central Statistical Office: Central, SC, USA; Available online: https://www.ksh.hu/stadat_files/kor/hu/kor0067.html (accessed on 15 January 2023).
- Michéli, E.; Fuchs, M.; Hegymegi, P.; Stefanovits, P. Classification of the Major Soils of Hungary and Their Correlation with the World Reference Base for Soil Resources (WRB). Agrokémia Talajt. 2006, 55, 19–28. [Google Scholar] [CrossRef]
- Dövényi, Z.; Ambrózy, P.; Juhász, Á.; Marosi, S.; Mezősi, G.; Michalkó, G.; Somogyi, S.; Szalai, Z.; Tiner, T. Magyarország Kistájainak Katasztere = Inventory of Microregions in Hungary. Available online: http://real.mtak.hu/1416/ (accessed on 23 January 2023).
- Negrel, P.; Ollivier, P.; Flehoc, C.; Hube, D. An Innovative Application of Stable Isotopes (Δ2H and Δ18O) for Tracing Pollutant Plumes in Groundwater. Sci. Total Environ. 2017, 578, 495–501. [Google Scholar] [CrossRef] [PubMed]
- Elgettafi, M.; Elmeknassi, M.; Elmandour, A.; Himi, M.; Lorenzo, J.M.; Casas, A. Δ34S, Δ18O, and Δ2H-Δ18O as an Approach for Settling the Question of Groundwater Salinization in Neogene Basins: The North of Morocco in Focus. Water 2022, 14, 3404. [Google Scholar] [CrossRef]
- Sankoh, A.A.; Derkyi, N.S.A.; Frazer-williams, R.A.D.; Laar, C.; Kamara, I. A Review on the Application of Isotopic Techniques to Trace Groundwater Pollution Sources within Developing Countries. Water 2022, 14, 35. [Google Scholar] [CrossRef]
- Güler, C.; Thyne, G.D.; McCray, J.E.; Turner, K.A. Evaluation of Graphical and Multivariate Statistical Methods for Classification of Water Chemistry Data. Hydrogeol. J. 2002, 10, 455–474. [Google Scholar] [CrossRef]
- Judeh, T.; Bian, H.; Shahrour, I. GIS-Based Spatiotemporal Mapping of Groundwater Potability and Palatability Indices in Arid and Semi-Arid Areas. Water 2021, 13, 1323. [Google Scholar] [CrossRef]
- Hajji, S.; Yahyaoui, N.; Bousnina, S.; Ben Brahim, F.; Allouche, N.; Faiedh, H.; Bouri, S.; Hachicha, W.; Aljuaid, A.M. Using a Mamdani Fuzzy Inference System Model (MFISM) for Ranking Groundwater Quality in an Agri-Environmental Context: Case of the Hammamet-Nabeul Shallow Aquifer (Tunisia). Water 2021, 13, 2507. [Google Scholar] [CrossRef]
- De Filippis, T.; Rocchi, L.; Massazza, G.; Pezzoli, A.; Rosso, M.; Housseini Ibrahim, M.; Tarchiani, V. Hydrological Web Services for Operational Flood Risk Monitoring and Forecasting at Local Scale in Niger. ISPRS Int. J. Geo Inf. 2022, 11, 236. [Google Scholar] [CrossRef]
- Jolliffe, I.T. (Ed.) Principal Component Analysis for Special Types of Data. In Principal Component Analysis; Springer Series in Statistics; Springer: New York, NY, USA, 2002; pp. 338–372. ISBN 978-0-387-22440-4. [Google Scholar]
- Aravinthasamy, P.; Karunanidhi, D.; Subramani, T.; Roy, P.D. Demarcation of Groundwater Quality Domains Using GIS for Best Agricultural Practices in the Drought-Prone Shanmuganadhi River Basin of South India. Environ. Sci. Pollut. Res. 2021, 28, 18423–18435. [Google Scholar] [CrossRef] [PubMed]
- Piper, A.M. A Graphic Procedure in the Geochemical Interpretation of Water-Analyses. Eos Trans. Am. Geophys. Union 1944, 25, 914–928. [Google Scholar] [CrossRef]
- Green, C.J.; Blackmer, A.M.; Yang, N.C. Release of Fixed Ammonium during Nitrification in Soils. Soil Sci. Soc. Am. J. 1994, 58, 1411–1415. [Google Scholar] [CrossRef]
- Adekunle, I.M.; Adetunji, M.T.; Gbadebo, A.M.; Banjoko, O.B. Assessment of Groundwater Quality in a Typical Rural Settlement in Southwest Nigeria. Int. J. Environ. Res. Public Health 2007, 4, 307–318. [Google Scholar] [CrossRef]
- Robertson, W.D.; Van Stempvoort, D.R.; Schiff, S.L. Review of Phosphorus Attenuation in Groundwater Plumes from 24 Septic Systems. Sci. Total Environ. 2019, 692, 640–652. [Google Scholar] [CrossRef]
- Harman, J.; Robertson, W.D.; Cherry, J.A.; Zanini, L. Impacts on a Sand Aquifer from an Old Septic System: Nitrate and Phosphate. Groundwater 1996, 34, 1105–1114. [Google Scholar] [CrossRef]
- James, A.; Percy, M.; Ameh, O.S. Heavy Metals Pollution Status of the Katima Mulilo Urban Open Land Wastewater Disposal Centre and the Immediate Vicinity. Cogent Environ. Sci. 2020, 6, 1726093. [Google Scholar] [CrossRef]
- Gulyás, G.; Pitás, V.; Fazekas, B.; Kárpáti, Á. Heavy Metal Balance in a Communal Wastewater Treatment Plant. Hung. J. Ind. Chem. 2015, 43, 1–5. [Google Scholar] [CrossRef]
- Pitt, W.A.; Mattraw, H.C., Jr.; Klein, H. Ground-Water Quality in Selected Areas Serviced by Septic Tanks, Dade County, Florida; Open-File Report; U.S. Geological Survey: Reston, VA, USA, 1975; Volume 75–607.
- Szabó, G.; Bessenyei, É.; Hajnal, A.; Csige, I.; Szabó, G.; Tóth, C.; Posta, J.; Mester, T. The Use of Sodium to Calibrate the Transport Modeling of Water Pollution in Sandy Formations around an Uninsulated Sewage Disposal Site. Water Air Soil Pollut. 2016, 227, 45. [Google Scholar] [CrossRef]












| Parameter | pH | EC | NH4+ | NO2− | NO3− | PO43− | COD | Na+ |
|---|---|---|---|---|---|---|---|---|
| pH | 1.000 | |||||||
| EC | −0.103 | 1.000 | ||||||
| NH4+ | −0.103 | 0.173 | 1.000 | |||||
| NO2− | −0.207 | 0.226 | 0.397 | 1.000 | ||||
| NO3− | 0.062 | 0.484 | −0.083 | 0.150 | 1.000 | |||
| PO43− | 0.086 | −0.009 | 0.162 | 0.265 | 0.119 | 1.000 | ||
| COD | −0.294 | 0.226 | 0.510 | 0.190 | 0.041 | 0.072 | 1.000 | |
| Na+ | −0.269 | 0.289 | 0.302 | 0.282 | −0.158 | −0.005 | 0.243 | 1.000 |
| Distance from septic tank | 0.338 | −0.169 | −0.689 | −0.360 | 0.246 | −0.017 | −0.519 | −0.542 |
| Rotated Component Matrix a | |||
|---|---|---|---|
| Parameters | Component | ||
| 1 | 2 | 3 | |
| NO3− | 0.879 | 0.010 | 0.108 |
| EC | 0.754 | 0.208 | −0.216 |
| NO2− | 0.699 | −0.039 | −0.006 |
| COD | 0.515 | 0.300 | 0.497 |
| NH4+ | −0.014 | 0.805 | 0.113 |
| Na+ | −0.038 | 0.785 | −0.065 |
| pH | −0.331 | −0.614 | −0.047 |
| PO43− | −0.108 | −0.016 | 0.879 |
| Classification Results a,c | |||||
|---|---|---|---|---|---|
| Distance from the Septic Tank | Predicted Group Membership | Total | |||
| 1 | 2 | ||||
| Original | Count | 1 (Distance < 1 m) | 19 | 4 | 23 |
| 2 (Distance > 1 m) | 0 | 92 | 92 | ||
| % | 1 (Distance < 1 m) | 82.6 | 17.4 | 100.0 | |
| 2 (Distance > 1 m) | 0.0 | 100.0 | 100.0 | ||
| Cross-validated b | Count | 1 (Distance < 1 m) | 19 | 4 | 23 |
| 2 (Distance > 1 m) | 0 | 92 | 92 | ||
| % | 1 (Distance < 1 m) | 82.6 | 17.4 | 100.0 | |
| 2 (Distance > 1 m) | 0.0 | 100.0 | 100.0 | ||
| Classification Results a,c | |||||
|---|---|---|---|---|---|
| Period | Predicted Group Membership | Total | |||
| 1 | 2 | ||||
| Original | Count | Before septic tank closure | 22 | 18 | 40 |
| After septic tank closure | 6 | 69 | 75 | ||
| % | Before septic tank closure | 55.0 | 45.0 | 100.0 | |
| After septic tank closure | 8.0 | 92.0 | 100.0 | ||
| Cross-validated b | Count | Before septic tank closure | 20 | 20 | 40 |
| After septic tank closure | 13 | 62 | 75 | ||
| % | Before septic tank closure | 50.0 | 50.0 | 100.0 | |
| After septic tank closure | 17.3 | 82.7 | 100.0 | ||
Disclaimer/Publisher’s Note: The statements, opinions and data contained in all publications are solely those of the individual author(s) and contributor(s) and not of MDPI and/or the editor(s). MDPI and/or the editor(s) disclaim responsibility for any injury to people or property resulting from any ideas, methods, instructions or products referred to in the content. |
© 2023 by the authors. Licensee MDPI, Basel, Switzerland. This article is an open access article distributed under the terms and conditions of the Creative Commons Attribution (CC BY) license (https://creativecommons.org/licenses/by/4.0/).
Share and Cite
Mester, T.; Szabó, G.; Sajtos, Z.; Baranyai, E.; Kiss, E.; Balla, D. Assessment of Groundwater Decontamination Processes around a Dismantled Septic Tank Using GIS and Statistical Analysis. Water 2023, 15, 884. https://doi.org/10.3390/w15050884
Mester T, Szabó G, Sajtos Z, Baranyai E, Kiss E, Balla D. Assessment of Groundwater Decontamination Processes around a Dismantled Septic Tank Using GIS and Statistical Analysis. Water. 2023; 15(5):884. https://doi.org/10.3390/w15050884
Chicago/Turabian StyleMester, Tamás, György Szabó, Zsófi Sajtos, Edina Baranyai, Emőke Kiss, and Dániel Balla. 2023. "Assessment of Groundwater Decontamination Processes around a Dismantled Septic Tank Using GIS and Statistical Analysis" Water 15, no. 5: 884. https://doi.org/10.3390/w15050884
APA StyleMester, T., Szabó, G., Sajtos, Z., Baranyai, E., Kiss, E., & Balla, D. (2023). Assessment of Groundwater Decontamination Processes around a Dismantled Septic Tank Using GIS and Statistical Analysis. Water, 15(5), 884. https://doi.org/10.3390/w15050884

