Next Article in Journal
Evaluation of Soil-Water Characteristic Curves for Different Textural Soils Using Fractal Analysis
Previous Article in Journal
Development of a Distributed Control System for the Hydrodynamic Processes of Aquifers, Taking into Account Stochastic Disturbing Factors
 
 
Font Type:
Arial Georgia Verdana
Font Size:
Aa Aa Aa
Line Spacing:
Column Width:
Background:
Article

Promoting Sponge City Construction through Rainwater Trading: An Evolutionary Game Theory-Based Analysis

1
School of Municipal and Environmental Engineering, Jilin Jianzhu University, Changchun 130118, China
2
Faculty of Environmental Engineering, The University of Kitakyushu, Kitakyushu 808-0135, Japan
3
School of Emergency Science and Engineering, Jilin Jianzhu University, Changchun 130118, China
4
Irnovation Institute for Sustainable Maritime Architecture Research and Technology, Qingdao University of Technology, Qingdao 266033, China
5
School of Environment, Northeast Normal University, Changchun 130024, China
*
Author to whom correspondence should be addressed.
Water 2023, 15(4), 771; https://doi.org/10.3390/w15040771
Submission received: 6 December 2022 / Revised: 6 February 2023 / Accepted: 12 February 2023 / Published: 15 February 2023
(This article belongs to the Section Urban Water Management)

Abstract

Sponge city construction strategies (SCCSs) have gradually attracted increased attention because of the strong shocks to society and economies caused by extreme weather and global climate change. The development of sponge cities is consistent with the national goal, and China must support environmental sustainability. Rainwater trading (RWT) plays a key role in promoting the efficient allocation and use of rainwater resources in sponge cities. In this study, we built an evolutionary game model on the basis of 13 parameters influencing the strategy selection of game players of environmental protection enterprises (EPEs) and municipal enterprises (MEs)’ in promoting sponge city construction. Next, we discussed the interaction effect of the two players’ behaviors in the 16 cases. Finally, we used the first RWT project in an empirical simulation to analyze the critical parameters influencing the game; we provide regulation policy suggestions to achieve the final goal. The results show that sufficient financial subsidies, the reduction in additional sales, the increase in taxes, and the participation of more EPEs can accelerate the realization of the evolutionary stable strategy (ESS) between EPEs and MEs. Incentive measures should focus not only on economic measures but also on reputation incentives and industry regulations. The proposed model can be used as a tool to promote the development and application of sponge cities, thus enriching the literature on promoting the communication of SCCSs. Moreover, our findings are valuable for the promotion of the use of rainwater resources, the marketization of the ecological value of rainwater resources, and the further construction of sponge cities.

1. Introduction

In recent years, with the increase in the area of impermeable surfaces due to rapid urbanization, the volume of storm surface runoff has dramatically increased, and the peak runoff value appears earlier than before urbanization. This, combined with more frequent extreme weather incidents has led to global water problems, such as waterlogging and flooding in cities, the wasting of rainwater re-sources, and water pollution [1,2,3]. China proposed a sponge city development strategy to address these issues in 2013 [4,5,6,7]. The aim of the sponge city construction strategy (SCCSs) (Figure 1) is to effectively realize a benign water cycle within cities by absorbing, storing, infiltrating, and purifying rainwater resources. The stored water is released and used when needed. This is a new generation management concept for urban stormwater involving water ecology, water environment, and water safety. Cities should be resilient in adapting to environmental changes and coping with natural disasters produced by rain, which can also be called water-resilient cities [8]. To implement the SCCS, 30 national urban areas have been established as pilot sponge cities from 2015 to 2016, and another 20 pilot cities were established in 2021 [9]. Additionally, according to the data, the government has invested a lot of money, with approximately RMB 10 trillion (USD $1.5 trillion) in the SCCS for 657 cities [10]. By 2030, more than 80% of urban areas will have achieved the sponge city goals, and 70% of the rainwater will be consumed and used locally, according to Chinese government plans [11,12]. To achieve this, exploring how to rationally use the water in the “sponge” after sponge city construction has become an important task.
Rainwater harvesting and use systems (RHUSs) are complex engineered systems, providing an important link and powerful guarantee for the construction of sponge cities. RHUSs mainly include rainwater storage and use (collection), indirect use of rainwater (infiltration, etc.), direct use of rainwater (reuse, etc.), and comprehensive use of rainwater [13]. The concept refers to a multidisciplinary and multi-objective method used to promote the sustainable exploitation of available water resources to achieve multiple goals [14,15,16]. RHUSs have been widely applied in urbanized areas. Most new buildings in Germany have been equipped with decentralized solutions for RHUSs [17]. Australian authorities have provided financial subsidies for the installation and reconstruction of RHUSs [18,19,20]. The United States emphasized low-impact development and started their research on stormwater management in 1970. As such, the USA has formed a relatively systematic concept and system of stormwater management after years of exploration and practice. They have more experience in policies and regulations, management mechanisms, economic incentives and public participation [21,22]. Due to the lack of mature supervision, assessment, and market mechanisms in China, developers attach high importance to the infiltration and retention of rainwater during sponge city construction, but few studies and practices have focused on use and discharge. As a result, many rainwater collection projects are underway, the use is not efficient, the collected rainwater resources remain dormant for a long time, and the deterioration of water quality leads to secondary pollution. However, if rainwater is directly discharged, this is not an efficient use of water resources. Therefore, there are still many problems in the development and utilization of rainwater resources that need to be addressed.
With the establishment of the rainwater management system under the background of a sponge city, the first step is to establish a market relationship to take advantage of the collected rainwater and industrialize the rainwater resources. On 11 December 2020, Hunan Yuchuang Environmental Protection Engineering Co., Ltd. in Changsha, Hunan Province, China purchased 4000 m3 of rainwater resources stored by Hunan High-tech Property Co., Ltd. in Changsha, Hunan Province, China at the price of 0.7 RMB/m3. After rainwater treatment, Hunan Yuchuang Environmental Protection Engineering Co., Ltd. transferred the rainwater resources to Changsha High-tech Zone Municipal Sanitation Co., Ltd. in Changsha, Hunan Province, China at the price of 3.85 RMB/m3 (20% lower than the local water price) for landscaping and road cleaning, instead of using high-quality tap water. This was the country’s first rainwater trading. The transaction of the right to use rainwater resources in a sponge city creates a new model of intensive use of rainwater resources and the marketization of ecological value.
Rainwater trading (RWT) broadens the application scenarios of RHUs and speeds up the marketization practice of SCCSs. However, less than 100 cases of RWT have been recorded in China since the concept of sponge city was mentioned in 2013. This suggests that neither environmental protection enterprises (EPEs) nor municipal enterprises (MEs) have enough incentive to become involved. The study of the possible strategic choices of participating enterprises and their influences is conducive to analyzing the internal force driving RWT behavior and to achieving the efficient transfer of rainwater. However, few scholars have paid attention to this issue.
With this study, we attempted to fill this gap. The main practical and academic contributions of this study are as follows: (1) This is the first attempt to use Evolutionary Game Theory (EGT) to examine a specific scenario by looking at all 16 eventualities that could result from a player’s strategic decisions. We developed a comprehensive picture of the evolution and trends in dynamic systems. This analysis provides insight into the actions an enterprise may take. (2) Through the first RWT case, the model was numerically simulated, the validity and feasibility of the model were verified, and the key parameters affecting the game were analyzed, which aids in the design and optimization of appropriate policies to promote high efficiency RWT. (3) These findings provide the government with an in-depth understanding of how companies respond to incentive policies and how to better balance the interests, which can provide useful decision-making guidance for governments and enterprises. We outline targeted proposals to promote further development of rainwater trading and sponge cities.

2. Evolutionary Game Theory and Key Stakeholders

2.1. Applicability of the EGT

An evolutionary game model was used in this study to investigate how EPEs and MEs’ strategic choices might change as different parameters were changed. Enterprises have different interest demands, leading to conflicts in the process of RWT development. Their interaction is similar to a game because they are in different positions [23,24]. Game theory provides a mathematical way to evaluate and predict stakeholders’ strategic choices based on expected benefit analysis [25,26,27]. Classical game theory makes the assumption that participants are fully informed about their surroundings and are completely rational [28,29,30]. However, this is not always the case. Players with bounded rationality may not succeed in finding the best strategy at first [31]. They might receive tips from their peers and modify their strategies in the game [32,33]. Therefore, the dynamics of player strategy modification impact the system’s evolution [34]. As opposed to game theory, EGT makes the assumption that participants are rationally constrained and have limited knowledge of their surroundings. Additional, EGT has a clear advantage in analyzing the dynamics of strategy selection, where various strategies take turns dominating the game with evolutionary dynamics displaying an oscillating cycle between each strategy [35]. The EPEs and MEs would modify their strategies in response to one another’s choices. EGT offers a foundation for understanding dynamic iterative situations and explaining why and how the parties reach evolutionary stable strategy (ESS), and provide suggestion for policy improvement [36,37]. Therefore, EGT was particularly suitable for our study.

2.2. Analysis of Interactions of Key Stakeholders

The purpose of this study was to investigate the decision evolution behavior of EPEs and MEs. Therefore, we considered the EPEs and MEs the two key stakeholders in this evolutionary game.
Municipal enterprises (MEs): Although the MEs in various regions are state-owned, they all depend on their revenue. MEs generally need a large amount of water, but the price of municipal water is generally higher than that of tap water. The price of urban water supply in China is classified. According to the nature of use, urban water can be divided into five categories: residential, industrial, administrative, business service and special water. The prices of all types of water are determined by the local people’s government and the administrative department of water supply in considering the actual situation. However, municipal water belongs to the category of non-residential water in all provinces and cities, the price of which is higher than that of tap water. Taking 10 cities in Jilin Province as an example (Appendix A), municipal water in each city is approximately 10–15% higher than the price of tap water. MEs are more willing to actively look for alternatives. Both government departments and MEs are willing to motivate EPEs through subsidies and other incentive measures to attract more EPEs to recycle rainwater, to promote the increase in rainwater trading volume (RWTV). However, subsidies cannot be blindly increased, which will lead to increased costs for MEs. Therefore, the government can consider whether some incentive policies are useful or to increase others.
Environmental protection enterprises (EPEs): Economic benefits are the ultimate pursuit of any enterprise [38]. Companies are free to decide whether to recycle and trade rainwater, which is not currently mandated by the government, even though rainwater recycling plays a crucial role in promoting SCCSs. Although some EPEs have begun trading rainwater, many are still dubious, fearing that the additional expense of treating stormwater may not be justified by the absence of long-term execution of the agreement. Therefore, many EPEs are willing to cooperate with MEs in the case of incentive policies. However, when incentive policies are insufficient, they will choose to cooperate with enterprises with lower water quality requirements.
The interests of EPEs and MEs are mutually affected in the RWT that promotes sponge cities. Figure 2 shows the interactions between the two stakeholders. The goal in this study was to determine the equilibrium point on the basis of the EGT between the EPEs and MEs if EPEs are willing to participate in the SCCS and recycle rainwater. Under the incentive policy, EPEs cooperate with MEs. The income of EPEs comes from transaction income, subsidies, and incremental revenue to attract more enterprises to buy, and the expenditures are costs and taxes. MEs benefit from the money they save by trading rainwater instead of the high cost of buying tap water, the benefits of attracting more EPEs to increase rainwater trading, and the increased prestige. However, parameters do not all simultaneously arise in the same case.

2.3. Evolutionary Game Modeling between EPEs and MEs

With the establishment of a rainwater management system in the context of SCCSs, the lost rainwater resources are treated by EPEs to meet the urban miscellaneous water standards. The purchase cost of rainwater is much lower than that from water supply companies. Under the concept of sustainable development, if the EPEs process the collected rainwater and then sell it to the MEs, it will create economic and environmental benefits. If is sold to the non-MEs, the EPEs can also obtain a relatively appreciable profit. In this case, the EPEs need to pay taxes to the government. To effectively understand the cooperative evolution mechanism among the relevant participants in the RWT process and reveal the influence of different factors on the decision-making behavior of the game players, we constructed a two-party evolutionary game model of two stakeholders: MEs and EPEs.

2.3.1. Model Assumption

Hypothesis 1 (H1):
Both sides of the game are rationally bounded. They can all learn and adapt to dynamic environmental changes and optimize their strategies in the process of water rights trading in the context of sponge cities.
Hypothesis 2 (H2):
When EPEs cooperate with non-MEs in the RWT, the cost of EPEs (the cost of water treatment for agriculture, forestry, animal husbandry, fishery, etc., which do not require high water quality) CE, tax T is paid to the government, and revenue RE is obtained. If MEs choose the negative strategy, EPEs cooperate with non-MEs and adopt a series of preferential policies to attract additional sales revenue E. If EPEs cooperate with MEs, additional costs will be incurred (recreational, ornamental landscape environmental water, green pouring of roads, and other high water quality requirements) δ CE ( δ > 0), in this case, the increased revenue is γ RE ( γ > 0), and financial subsidy S is received.
Hypothesis 3 (H3):
If MEs choose the negative strategy in the RWT, the cost for MEs to buy tap water is CM, and the gain is RM. If MEs choose the positive strategy, the additional cost is θ CM ( θ > 0), the increased-revenue is ω RM ( ω > 0), attracting more EPEs to join and increasing RWT revenue N. If EPEs choose to cooperate with non-MEs, MEs adopt positive strategies to introduce a series of preferential subsidy policies and win the recognition of superior government departments, which will lead to subsidy income μ T ( μ > 0).

2.3.2. Parameters and Income Matrix

Assuming that the probability of EPEs adopting cooperation with MEs is x (0 ≤ x ≤ 1), the probability of EPEs adopting cooperation with non-MEs is 1 − x. The probability of MEs choosing the positive strategy is y (0 ≤ y ≤ 1); the probability of MEs choosing the negative strategy is 1 − y. Based on the assumptions in Section 2.3.1, the payoff matrix of EPEs and Mes is as shown in Table 1.

2.3.3. Stakeholder Replication Dynamic Equation

Let U11 represent the expected payoff of the EPEs if they cooperate with Mes, and let U12 represent the expected payoff of the EPEs if they cooperate with non-Mes. U1 represents the average expected payoff of the EPEs. U11, U12, and U1 can be expressed as:
U 11 = y 1 + γ R E 1 + δ C E + S + 1 y 1 + γ R E 1 + δ C E
U 12 = y R E C E T + 1 y R E C E + E
U 1 = x U 11 + 1 x U 12
Therefore, the replicator dynamics equation of the EPEs can be written as:
F x = d x d T = x 1 x y S + T + E + γ R E δ C E E
Similarly, U21 represents the expected payoff of the MEs if they choose positive strategies, and U22 represents the expected payoff of the MEs if they choose negative strategies. U2 represents the average expected payoff of the MEs. U21, U22, and U2 can be expressed as:
U 21 = x ( 1 + ω ) R M ( 1 + θ ) C M + N + 1 x R M 1 + θ C M + μ T
U 22 = x 1 + ω R M C M + 1 x R M C M
U 2 = y U 21 + 1 y U 22
Therefore, the replicator dynamics equation of the MEs can be written as (8):
F ( y ) = d y d T = y N μ T θ C M + μ T
The replicator dynamic equations of EPEs and MEs constitute a two-dimensional dynamic system I, as shown in Equation (9):
F x = d x d T = x 1 x y S + T + E + γ R E δ C E E F y = d y d T = x N μ T θ C M + μ T

2.3.4. Equilibrium Point and Stability Analysis

(i).
Equilibrium point
In system I, when F x = 0 , F y = 0 four local equilibrium points of two-species adopting pure strategies can be obtained: E1(0, 0), E2(0, 1), E3(1, 0), and E4(1, 1) and a mixed strategy equilibrium point may exist in in system I: E5(x*, y*), where x* = θ C M μ T N μ T and y* = E + δ C E γ R E S + T + E .
(ii).
Stability analysis of equilibrium point
If the EPEs meet the condition of stability, when F x = 0 , F x < 0 , then F x = 1 2 x y S + T + E + γ R E δ C E E . If F x = 0 is the stable state boundary, when y > y*, then F 0 > 0 , F 1 < 0 , which indicates that EPEs choose to cooperate with MEs as the stable state; When y < y*, then F 0 < 0 , F 1 > 0 , indicating that EPEs choose to cooperate with Non-MEs as the stable state.
If the MEs meet the condition of stability, when F y = 0 , F y < 0 , then, F y = 1 2 y x N μ T θ C M + μ T . If F y = 0 , is the stable state boundary, when x > x*, then F 0 > 0 , F 1 < 0 , indicating that MEs choose positive strategies as the stable state; when x < x*, then F 0 < 0 , F 1 > 0 , indicating that MEs choose negative strategies as the stable state.
In Figure 3, the point (x*, y*) is the saddle point of this evolutionary game. The square in the coordinate is divided into four parts by the five points donated as E1(0, 0), E2(0, 1), E4(1, 1), E3(1, 0), and E5(x*, y*). For an unstable initial situation with a specific value of (x*, y*), the evolutionary trend shows a convergence from point E5(x*, y*) to E1(0, 0) or E4(1, 1). The trend is expressed by the arrows in Figure 3. The arrow represents the two evolutionary results of EPEs and MEs after a long-term game in the RWT. E4(1, 1) is an ideal evolutionary game stable strategy. It means that EPEs choose to cooperate with MEs for more profit, and MEs choose positive strategies to gain social reputation or recognition from superior departments. In this case, the two sides jointly promoted the construction and maintenance of sponge cities.

2.4. ESS Analysis between EPEs and MEs

As the stability of the group’s dynamic equilibrium points systemically ascribed by differential equations can be obtained through the Jacobian matrix partial stability, the partial stability of the system can be explored using the Jacobian matrix to analyze the final evolutionary stability. The Jacobi matrix was established, as shown in Equation (10):
J = F x x F x y F y x F y y = 1 2 x y S + T + E + γ R E δ C E E x 1 x S + T + E y 1 y N μ T 1 2 y x N μ T θ C M + μ T
Based on the matrix, its determinant ( D e t J ) and trace ( T r J ) were also obtained (Equations (11) and (12)):
D e t J = F x x F y y F x y F y x
T r J = F x x + F y y
Regarding the equilibrium point of the model, if and only if the Jacobian matrix fits (1) If D e t J > 0 , T r J < 0 , then the point is in a partially asymptotic stability, that is, an evolutionarily stable strategy ESS [39]; (2) If D e t J > 0 , T r J > 0 , then the corresponding equilibrium point is unstable fixed point; (3) If D e t J < 0 , T r J = 0 , then the corresponding equilibrium point is the saddle point. When x = θ C M μ T N μ T , y = E γ R E + δ C E E + S + T , T r J = 0 , E5 is not the ESS. Based on the above equations, Table 2 displays D e t J and T r J for each equilibrium point.
Table 2 shows that four expressions—a, b, c, and d—are related to the stability of the system. They each stand for the relative benefit of a strategy’s payoff. If it is positive, the first strategy has a comparative advantage; if it is negative, the second strategy does. As a result, 16 situations could be created using the symbols for the four expressions, as shown in Table 3.
The stability of equilibrium points and replicator dynamic replicator results in 16 situations are provided in Table 4 based on the aforementioned investigation. The four equilibrium points of the interaction strategy between EPEs and MEs are listed in the first column of the table as E1(0, 0), E2(0, 1), E3(1, 0), and E4(1, 1). In scenarios 1–16, the first and second columns represent D e t J and T r J , respectively, while the third column represents the states at the four equilibrium points.
Figure 4 depicts the evolutionary path and equilibrium stability of EPE-ME strategic interaction under 16 different scenarios. Scenario 1 shows convergence evolution from E4(willing to cooperate) to E1(unwilling to cooperate); when a < 0, the improvement in MEs reputation is less than the increased cost of choosing a positive strategy after EPEs choose to cooperate with non-MEs; when b < 0, the net profit value of EPEs cooperating with MEs is less than the increase in sales value attracted by cooperation with non-MEs; when c < 0, EPEs cooperate with MEs, and after MEs adopt the positive strategy, the benefit of attracting more EPEs to join is less than the cost of MEs choosing the positive strategy; when d < 0, it means that when EPEs choose to cooperate with the non-MEs, and the tax paid is less than the net cost of EPEs choosing to cooperate with MEs. To summarize, if EPEs gain more profit from cooperating with non-MEs than from cooperating with MEs and pay less taxes than the net cost of cooperating with MEs, then EPEs’ strategies will change from “Cooperating with MEs” to “Cooperating with Non-MEs”. However, when the income of MEs is less than the increased cost of the MEs’ positive strategies, the MEs’ strategies will change from “positive strategy” to “negative strategy”. The evolutionary game system converges to E1(0, 0). Conversely, in scenario 16, the initial strategy equilibrium point would converge at E4(1, 1). This is the expected outcome of the eventual evolution of the two parties.
In scenarios 2 and 3, the ultimate point of equilibrium would converge at E1(0, 0); In scenario 5, the ultimate point of equilibrium would converge at E1(1, 0); in scenario 9, the ultimate point of equilibrium would converge at E1(0, 1). To summarize, we concluded that if only one party gains when changing the strategy, the two parties will not reach cooperation in the long-term evolution process, and thus the ultimate point of equilibrium would converge at (0, 0); if the external benefits (subsidies, etc.) directly obtained by the EPEs and MEs are greater than the benefits generated by the cooperation between the two parties, no matter whether the other party chooses cooperation, the evolutional game path of the party with benefits tends to be 1.
In scenario 11, the ultimate point of equilibrium would converge at E2(0, 1), suggesting that regardless of the strategy chosen by the EPEs, the benefits of the MEs will not be affected, so the result of the final evolutionary game of the MEs tends to 1; similarly, in scenario 6, the ultimate point of equilibrium would converge at E3(1, 0), and the final evolutionary game result of EPEs also tends to be 1.
In scenario 10, the ultimate point of equilibrium would converge at E4(1, 1), and in scenario 14, the ultimate point of equilibrium would converge at E3(1, 0), suggesting that the strategy choice of EPEs in this evolutionary game tends toward cooperation with MEs, If the MEs choose the active strategy, the evolutionary game system converges to E4(1, 1), conversely, it converges toward E3(1, 0). Similarly, in scenario 12, the ultimate point of equilibrium would converge at E4(1, 1); in scenario 15, the ultimate point of equilibrium would converge at E2(0, 1), suggesting that the strategy choice of MEs in evolutionary game tends toward cooperation with MEs. If the MEs choose the active strategy, the evolutionary game system converges to E4(1, 1), suggesting that the MEs choose an active strategy. If the EPEs choose to cooperate with the MEs, the ultimate point of equilibrium would converge at E4(1, 1), otherwise the ultimate point of equilibrium would converge at E2(0, 1).
As shown in scenarios 7 and 8, uncertain system evolution results from the strategic evolution process between EPEs and MEs being so cyclical that a stable state is never reached.
As shown in scenario 4, E1(0, 0) and E4(1, 1) are the two equilibrium points; in scenario 13, E1(1, 1) is an ideal evolutionary game stable strategy. The choice of system evolution strategy depends on the area of quadrangle S E 1 E 2 E 5 E 3 and S E 4 E 2 E 5 E 3 ; if S E 1 E 2 E 5 E 3 > S E 4 E 2 E 5 E 3 , the likelihood is higher that the ultimate point of equilibrium would converge at (0,0); if S E 1 E 2 E 5 E 3 < S E 4 E 2 E 5 E 3 , the likelihood is higher that the ultimate point of equilibrium would converge at (1, 1); if S E 1 E 2 E 5 E 3 = S E 4 E 2 E 5 E 3 , the final equilibrium point has the same probability of converging at two points. Therefore, the factors influencing the final strategy of the evolutionary game are the parameters that determine the area of S E 4 E 2 E 5 E 3 .
S E 4 E 2 E 5 E 3 = 1 1 2 θ C M μ T N μ T + E γ R E + δ C E E + S + T
Equation (13) shows that C M , C E , R E , θ , μ , γ , δ , N , E , T and S all affect the area of S E 4 E 2 E 5 E 3 . Next, we analyzed the sensitivity of each parameter.

3. Results and Discussion

The outcomes of the considered scenarios indicated four probabilities between the EPEs and MEs in the game, ‘Cooperate with MEs’ from the EPEs versus ‘Positive strategy’ from MEs and ‘Cooperate with Non-MEs’ from the EPEs versus ‘Negative strategy’ from MEs. However, the results only show how the evolutionary game finished; they cannot explain how the final results were produced. We used Matlab2010a software for numerical simulation to determine the impact of changes in parameters on the choices of both parties.

3.1. Related Data

The RWT market in Changsha city is an authentic representation of China’s cutting-edge RWT. As such, we selected the RWT in Changsha as a case in this study. As a result, we chose this situation as the basis for calculating the initial values of these variables. The initial values of the parameters are listed in Table 5. The data were provided by Hunan Yuchuang Environmental Protection Engineering Co. Ltd. in Changsha, Hunan Province, China. Some of the initial values were already set; therefore, in the following, we focused on exploring the influence of these four key parameters of the evolutionary game system: additional sales revenue (E), tax (T), incremental benefits (N), and subsidies (S). In Figure 5, Figure 6, Figure 7 and Figure 8, the y-axis in these figures represents the probability of the EPEs cooperating with MEs (x) or the probability of MEs adopting positive strategies (y). The evolution process is shown on the x-axis. The lines denoted with x and y represent the evolutionary trend of the EPEs and MEs, respectively.

3.2. Simulation and Parameter Analysis

3.2.1. Impact of S on Evolutionary Game

As shown Figure 5, subsidies positively impact the strategic choices of EPEs. When the subsidy is RMB 1200, the EPEs choose to sell to other enterprises (except MEs), and the MEs adopt a negative strategy. The evolutionary strategies of both sides tend to be 0, that is, the subsidy is not enough to create profits for the EPEs. When MEs adopt a negative strategy, subsidies are insufficient to recover the high investment costs of the enterprises. When the intensity of financial incentives is low, EPEs choose to sell to non-municipal enterprises because of their high incremental cost. When the subsidies are adjusted to RMB 1400, an increase of nearly 20%, the two sides reach a consensus where EPEs are willing to deal with MEs, which means that EPEs receive enough subsidies that can effectively offset the extra costs and increase profit. Higher fiscal incentives also indirectly influenced the market favorably. Consequently, EPEs are extremely sensitive to the magnitude of financial rewards. When the financial incentive is increased by 30%, the strategies of both sides more quickly converge to 1, and the trend is almost synchronized. When the financial incentive is doubled, the initiative of MEs to adopt positive strategies slightly weakens, because MEs will be under financial pressure from high financial subsidies, and excessive subsidies are equivalent to paying more costs, even higher than the cost of negative strategies. Although the government’s role in monitoring the market is important, MEs will not blindly increase subsidies to achieve cooperation [40,41].

3.2.2. Impact of T on Evolutionary Game

From Figure 6, when T increases from 0 to 800, line T = 800 moved above line T = 0, which indicates that the probability of cooperation between EPEs and non-MEs is weakened, and the probability of MEs choosing a positive strategy is also increased, although neither side tends to 1. When T increases from RMB 800 to 1600, the lines all tend to be 1. The strategy of EPEs changes from cooperation with non-MEs to cooperation with MEs, and the strategy of MEs also changes from negative to positive. This means that the tax paid by selling to non-MEs has become unbearable for EPEs, and they choose to cooperate with MEs to increase profits. When T increases from 1600 to 3200, EPEs tend to more quickly approach 1, which means that EPEs are more willing to cooperate with MEs. With the deepening of cooperation, MEs can obtain more profits at this time, and the probability of choosing positive strategies increases.
When T = 0, EPEs are more willing to cooperate with non-MEs. On the one hand, this may be because MEs require higher rainwater quality, which leads to increased costs. On the other hand, the subsidies received by EPEs in cooperation with MEs may not be enough to offset the high incremental costs, so EPEs choose to not cooperate with MEs. To help facilitate enterprises to engage in more RWTV, the government can intensify efforts to publicize the use of rainwater resources, establish more communication platforms for local enterprises, and commend or reward enterprises with excellent performance. Under the influence of a reputation mechanism, the reuse of rainwater can be effectively encouraged. A company’s good reputation can help it gain the trust of customers and increase the value of its brand. Reputation incentive can stimulate the enthusiasm of EPEs [42]. Therefore, the government can consider some incentive or punishment measures to establish a set of dynamic incentive and punishment mechanism to promote RWT and improve the construction of sponge cities.

3.2.3. Impact of E on Evolutionary Game

Figure 7 depicts the simulation of additional benefits. When E = 3000, both x and y tend to be 1, indicating that the MEs adopt a positive strategy and the EPEs cooperate with the MEs. In this case, the additional sales revenues are limited, and the benefits of cooperation with non-MEs are less than those cooperation with MEs. When E = 5000 (the additional sales revenues increases by 60%), after the strength of the additional benefits increases by 60%, both x and y tend to be 0, and EPEs are willing to trade rainwater with non-MEs, which indicates that the income from attracting more enterprises to join and increasing RWTV is enough for EPEs to forego a series of preferential subsidy policies of MEs and are willing to cooperate with non-MEs to increase profits. When E = 10,000 (increased by 2 times), EPEs more quickly tend to be 0, indicating that for higher profits, EPEs are more willing to cooperate with non-MEs. The increase in RWTV indicates that more enterprises are willing to accept this rainwater reuse method. The acceptance degree of consumers will substantially impact the strategic choice of EPEs. The acceptance of consumers will help EPEs improve the implementation of rainwater reuse. The reasons are as follows: From the perspective of EPEs, increasing consumer acceptability can lower EPE sales loss and boost sales profits; when the RWT market has many users, more EPEs will be attracted to join RWT, thus promoting the SCCSs. Ultimately, the absence of a perfect and developed market is the fundamental issue with this. Therefore, the government can appropriately raise the price of tap water. When enterprises find it more cost-effective to reuse rainwater, they will expand the RWT market, thus promoting the construction of sponge city. When the water in the sponge becomes an important commodity demand, the maintenance of sponge cities will become a normal mechanism, which not only benefits the enterprises but also promotes the construction of sponge cities, promoting virtuous cycle.

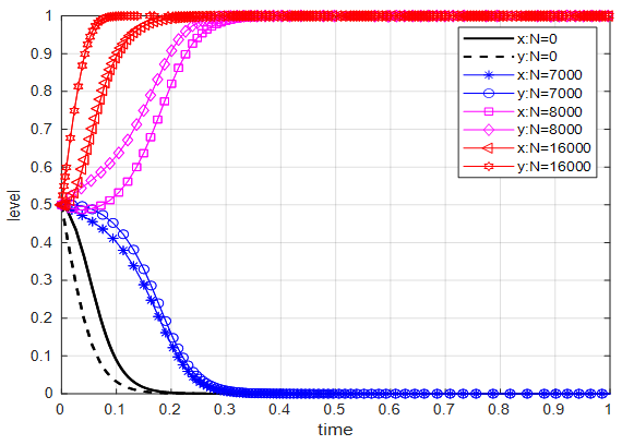
3.2.4. Impact of N on Evolutionary Game

When N = 0, both sides tend to 0, EPEs tend to cooperate with non-MEs, and MEs adopt negative strategies; When N = 7000, with the gradual participation of EPEs, the probability of MEs adopting active strategies gradually increases, line y: N = 7000 moves above line x: N = 7000, showing that the cooperation intention of MEs and EPEs gradually increases, but both sides tend to be 0 in the end. The lack of subsidies, publicity, information and other factors lead to the failure of some environmental protection enterprises to join the cooperation. According to product life cycle theory [43], RWT may undergo four market phases as a new product: introduction, growth, maturity, and recession. This stage belongs to the introduction stage, during which the market demand rapidly grows, and the technology remarkably changes. Users in the industry are mainly committed to allowing new users to occupy the market. However, uncertainty exists in technology at this stage, and with large room for products, market services, and other strategies, with low entry barriers for enterprises. When N = 8000, municipal enterprises gradually change their strategies from “negative strategy” to “positive strategy”. EPEs are also willing to cooperate with municipal enterprises, but the response of EPEs is not as quick and sensitive as that of MEs, indicating that the trading market has just begun to be active. That is the growth stage, during which the market growth rate is high, the demand rapidly grows, and the technology is becoming mature. Industry features, industry competition and user characteristics are clearer, enterprise entry barriers and the number of competitors increased. When N = 16,000, both sides more quickly tend to be 1, indicating that the market has gradually matured, MEs can purchase more rainwater for reuse, reduce the cost of buying tap water, and are willing to pay more subsidies to cooperate with more EPEs. At this time, EPEs gain considerable profits through cooperation, and the probability of cooperation increases. In this period, the market and demand growth rates are relatively low, and the technology is relatively mature. The industry features, industry competition and characteristics of users are clear and stable. With the formation of a buyer’s market, the profitability of the industry decreases, the development of new products and new uses of products becomes more difficult, and the barriers to entry of the industry are high. Due to the enormous negative gap between the investment cost and market profit, methods such as incentive programs or preferential policies are ineffective during the introduction stage of RWT; strong regulations, particularly incentive policies, are a waste of policy resources when both parties can gain sufficient profits in the mature stage. A gap between investment expenses and market returns still exists in the growth stage. Therefore, preferential policies or subsidies are the key force driving increases in to improve enterprise enthusiasm and achieving development goals.

4. Conclusions and Policy Implications

We used EGT and simulation methods to analyze the strategic choices of EPEs and MEs, and we developed suggestions for possible choices of players, as well as feasibility references for promoting RWT and sponge city construction. Based on our findings, we obtained the following conclusions:
Highly market-oriented sponge cities need enterprises to extensively and actively participate. However, a wealth of data indicate that enterprises lack the drive to participate in RWT, which suggests that effective government action is necessary to guarantee the successful implementation of SCCSs. First, we used EGT to analyze how EPEs and MEs interact and change their strategic decisions in 16 different scenarios. Second, we analyzed the key parameters affecting the game through the evolution simulation of Changsha RWT case. Finally, we developed regulation policy suggestions for each stage and final goal. The following are the findings and implications:
(1)
EGT should be used for analyzing the strategy selection of EPEs and MEs to improve the implementation of RWT. The incentive policy influences the behavior and strategic choices of players. Therefore, an ESS between the EPEs and MEs with “Cooperate with MEs” and “Positive strategy” can be realized.
(2)
Sufficient financial subsidies, the reduction of additional sales, the increase in taxes, and the participation of more EPEs can accelerate the realization of ESS between EPEs and MEs. Therefore, relevant incentive measures must be formulated to promote a stronger interactive relationship between players on both sides and to develop the rainwater trading market, as well as the normalization and standardization of sponge cities.
(3)
The incentive policies should be considered not only from the perspective of enterprises and focus on economic means, but also from the perspective of the government to formulate relevant industry standards and regulations. Constraints and supervision by governments are equally important, which maximize the interests for all parties.
First, to encourage enterprises to trade rainwater, the government should set up a system that combines financial incentives and reputational rewards. It should offer some assistance to these businesses in regard to overcoming the challenges. For example, local governments can regularly hold online and offline communication forums or enterprise exhibitions to assist enterprises in the supply chain to form collaborative relationships and garner more public attention and increase rainwater consumption in the growth stage of the rainwater trading market.
Second, fiscal subsidies cannot sustain momentum. Government departments should speed up the formation of a rainwater resource pricing mechanism and trading rules system through the China Water Exchange platform [44]; relevant urban departments should reasonably set tiered water prices and classify water prices based on the differences in water quality, treatment technology and user demand, so as to empower and assign value to rainwater resources, stimulate market vitality, attract social capital, and provide sustainable momentum for the construction and operation of sponge cities [45]. Meanwhile, we should vigorously develop rainwater collection and reuse system technology to reduce costs.
Third, to reduce the financial burden on the government, the concept of green finance can be introduced to drive water resource assets through sufficient financial support and flexible resource allocation. We may explore the practice of asset-based rainwater resources, strengthen cooperation with financial institutions, assess the value of rainwater resources assets, and study the feasibility of rainwater assets as collateral. Beijing, Changsha, and other pilot cities can be selected to explore the mortgage practice of rainwater assets. An important implication is that RWT pilots are worthy of promotion throughout China given the policy effects, and China should focus on financial models and the trading channels to promote the marketization of the ecological value of rainwater resources [46]. On the basis of estimating expected returns, green finance bond products can be designed to raise funds for sponge city construction from society, open up new investment and financing channels for sponge city construction, and integrate green finance, rainwater resource use, and sponge city construction.
Fourth, in the assessment of sponge cities and the physical examination of urban areas in recent years, indicators such as the proportion of flood point elimination, proportion of the pipe network meeting the standard, and proportion of blue and green space are still the key points in assessment. In the future, the RWTV in the RWT market can be included in the assessment criteria to promote green development and help achieve the goal of sponge city construction.
Because of the active support from the Chinese government, SCCSs currently have strong development prospects. The EPEs and MEs will be drawn to earnings by the government subsidies and appropriate investment allocation, and they will all participate in this stormwater trade initiative. The results of this study can be used as a reference by the Chinese government, and for water trade when the relevant government policies and trade standards are implemented for promoting the developments of sponge cities. The established mathematical model has certain reference value for similar research topics investigated by other scholars in other countries or regions.
This study contributes to the literature on SCCSs. Nevertheless, this study still has some limitations. First, we used EGT and developed some hypotheses based on reality. Following the EGT, we assumed that players were boundedly rational, and as a result, our analysis of participants’ strategic behaviors mostly focused on economic aspects. However, stakeholders do not always behave as predicted by the rational hypothesis, which suggests that many more factors are affecting their actions. Therefore, non-economic factors should be further considered in future research, including reputational incentives, subjective norms, and social responsibility. Second, the game model used only considers two key players (i.e., EPEs and MEs), whereas property companies are the main group of rainwater collectors and were not directly regarded as participants. Property companies can be considered an important player in future studies, where active participation of property companies plays a crucial role.

Author Contributions

Conceptualization, C.S.; methodology, X.M.; software, C.S.; validation, T.X. and W.G.; formal analysis, C.S.; investigation, X.M.; resources, W.G., Y.L. and H.L.; data curation, G.L. and S.L.; writing—original draft preparation, C.S.; writing—review and editing, C.S. and X.M.; visualization, X.W.; supervision, T.X. and W.G. All authors have read and agreed to the published version of the manuscript.

Funding

This research was supported by the National Natural Science Foundation of China (Grant No. 51778267), the National Water Pollution Control and Treatment Science and Technology Major Project (No. 2012ZX07408001), the Jilin Province Science and Technology Department Project (No. 20220203047SF), the Jilin Province Social Science Foundation Project (No. 2022B85).

Data Availability Statement

Data are contained within the article.

Conflicts of Interest

The authors declare no conflict of interest.

Nomenclature

Parameters
CEcost of rainwater treatment
REreturn from sales to non-MEs
CMcost of negative strategy
RMreturn of negative strategy
Ssubsidies
Tpay taxes to government departments
Eadditional sales revenue
Nincremental benefits
μMEs’ profit percentage
γthe percentage of increased revenue from EPEs cooperation with non-MEs
δthe percentage of increased cost of EPEs cooperation with non-MEs
θthe percentage of cost increase after MEs choose an active strategy
ωthe percentage of revenue increase after MEs choose an active strategy
Variables
xthe probability of EPEs cooperate with MEs
ythe probability of MEs choosing to positive strategies
Acronyms
EPE(s)environmental protection enterprise(s)
ME(s)municipal enterprise(s)
SCCS(s)sponge city construction strategy (ies)
ESSevolutionarily stable strategy
EGTevolutionary game theory
RWTrainwater trading
RWTVrainwater trading volume
RHUS(s)rainwater harvesting and utilization system(s)

Appendix A. Municipal and Residential Water Prices in Jilin Province

DistrictResidential Water Price (yuan/m3)Municipal Water Price (yuan/m3)
Changchun 4.554.85
Jilin 2.64.75
Yanbian Korean Autonomous Prefecture3.26.4
Songyuan 4.855.05
Siping 3.75.8
Tonghua 4.757.1
Baicheng 3.656.4
Baishan3.455.4
Liaoyuan 3.54.11
Note: Source: http://www.jl.gov.cn/ (accessed on 5 February 2023).

References

  1. Chan, F.K.S.; Griffiths, J.A.; Higgitt, D.; Xu, S.; Zhu, F.; Tang, Y.T.; Xu, Y.; Thorne, C.R. “Sponge city” in China—A breakthrough of planning and flood risk management in the urban context. Land Use Policy 2018, 76, 772–778. [Google Scholar] [CrossRef]
  2. Valenca, R.; Le, H.; Zu, Y.; Dittrich, T.M.; Tsang, D.C.W.; Datta, R.; Sarkar, D.; Mohanty, S.K. Nitrate removal uncertainty in stormwater control measures: Is the design or climate a culprit? Water Res. 2021, 190, 116781. Available online: https://www.sciencedirect.com/science/article/pii/S0043135420313142 (accessed on 8 September 2022). [CrossRef] [PubMed]
  3. Wang, Y.; Meng, F.; Liu, H.; Zhang, C.; Fu, G. Assessing catchment scale flood resilience of urban areas using a grid cell based metric. Water Res. 2019, 163, 114852. Available online: https://www.sciencedirect.com/science/article/pii/S0043135419306189 (accessed on 8 September 2022). [CrossRef] [PubMed]
  4. Liu, H.; Jia, Y.; Niu, C. “Sponge city” concept helps solve China’s urban water problems. Environ. Earth Sci. 2017, 76, 1–5. [Google Scholar] [CrossRef]
  5. Ding, L.; Ren, X.; Gu, R.; Che, Y. Implementation of the “sponge city” development plan in China: An evaluation of public willingness to pay for the life-cycle maintenance of its facilities. Cities 2019, 93, 13–30. [Google Scholar] [CrossRef]
  6. Gao, J.; Li, J.; Li, Y.; Xia, J.; Lv, P. A distribution optimization method of typical lid facilities for sponge city construction. Ecohydrol. Hydrobiol. 2021, 21, 13–22. [Google Scholar] [CrossRef]
  7. Yang, M.; Chen, D.; Shi, L.; He, J.; Liu, L.; Shang, X. How do construct a sponge city that can improve residents’ satisfaction? Evidence from a suburb of Huizhou city, China. Ecol. Indic. 2022, 142, 109238. [Google Scholar] [CrossRef]
  8. Zhou, H.; Li, H.; Zhao, X.; Ding, Y. Emergy ecological model for sponge cities: A case study of China. J. Clean. Prod. 2021, 296, 126530. Available online: https://www.sciencedirect.com/science/article/pii/S0959652621007502 (accessed on 18 September 2022). [CrossRef]
  9. Li, H.; Ding, L.; Ren, M.; Li, C.; Wang, H. Sponge city construction in China: A survey of the challenges and opportunities. Water 2017, 9, 594. [Google Scholar] [CrossRef]
  10. Jia, H.; Wang, Z.; Zhen, X.; Clar, M.; Yu, S.L. China’s sponge city construction: A discussion on technical approaches. Front. Environ. Sci. Eng. 2017, 11, 1–11. [Google Scholar] [CrossRef]
  11. Wang, H.; Mei, C.; Liu, J.; Shao, W. A new strategy for integrated urban water management in China: Sponge city. Sci. China Technol. Sci. 2018, 61, 317–329. [Google Scholar] [CrossRef]
  12. Zhao, H.; Zhai, X.; Guo, L.; Yang, Y.; Li, J.; Ren, C.; Wang, K.; Liu, X.; Zhan, R.; Wang, K. Comparing protected cucumber and field cucumber production systems in China based on emergy analysis. J. Clean. Prod. 2019, 236, 117648. [Google Scholar] [CrossRef]
  13. Liu, Y.; Li, G.; Zeng, P.; Zhang, X.; Tian, T.; Feng, H.; Che, Y. Challenge of rainwater harvesting in shanghai, China: A public psychological perspective. J. Environ. Manag. 2022, 318, 115584. Available online: https://www.ncbi.nlm.nih.gov/pubmed/35753131 (accessed on 1 September 2022). [CrossRef] [PubMed]
  14. Gross, A.; Shmueli, O.; Ronen, Z.; Raveh, E. Recycled vertical flow constructed wetland (rvfcw)—A novel method of recycling greywater for irrigation in small communities and households. Chemosphere 2007, 66, 916–923. Available online: https://www.ncbi.nlm.nih.gov/pubmed/16844197 (accessed on 2 September 2022). [CrossRef]
  15. Ding, A.; Wang, J.; Lin, D.; Zeng, R.; Yu, S.; Gan, Z.; Ren, N.; Li, G.; Liang, H. Effects of gac layer on the performance of gravity-driven membrane filtration (gdm) system for rainwater recycling. Chemosphere 2018, 191, 253–261. Available online: https://www.ncbi.nlm.nih.gov/pubmed/29035797 (accessed on 2 October 2022). [CrossRef]
  16. Su, D.; Zhang, Q.H.; Ngo, H.H.; Dzakpasu, M.; Guo, W.S.; Wang, X.C. Development of a water cycle management approach to sponge city construction in Xi’an, China. Sci. Total Environ. 2019, 685, 490–496. Available online: https://www.ncbi.nlm.nih.gov/pubmed/31176234 (accessed on 19 October 2022). [CrossRef]
  17. Schuetze, T. Rainwater harvesting and management—Policy and regulations in Germany. Water Supply 2013, 13, 376–385. [Google Scholar] [CrossRef]
  18. Brown, R.R.; Keath, N.; Wong, T.H. Urban water management in cities: Historical, current and future regimes. Water Sci. Technol. 2009, 59, 847–855. Available online: https://www.ncbi.nlm.nih.gov/pubmed/19273883 (accessed on 4 October 2022). [CrossRef] [PubMed]
  19. Ashley, R.; Lundy, L.; Ward, S.; Shaffer, P.; Walker, L.; Morgan, C.; Saul, A.; Wong, T.; Moore, S. Water-sensitive urban design: Opportunities for the UK. Proc. Inst. Civ. Eng. Munic. Eng. 2013, 166, 65–76. [Google Scholar] [CrossRef]
  20. Amos, C.C.; Rahman, A.; Gathenya, J.M. Economic analysis of rainwater harvesting systems comparing developing and developed countries: A case study of Australia and Kenya. J. Clean. Prod. 2018, 172, 196–207. [Google Scholar] [CrossRef]
  21. Ahiablame, L.M.; Engel, B.A.; Chaubey, I. Effectiveness of low impact development practices: Literature review and suggestions for future research. Water Air Soil Pollut. 2012, 223, 4253–4273. [Google Scholar] [CrossRef]
  22. Qiao, X.-J.; Liao, K.-H.; Randrup, T.B. Sustainable stormwater management: A qualitative case study of the sponge cities initiative in China. Sustain. Cities Soc. 2020, 53, 101963. [Google Scholar] [CrossRef]
  23. Ji, S.-F.; Zhao, D.; Luo, R.-J. Evolutionary game analysis on local governments and manufacturers’ behavioral strategies: Impact of phasing out subsidies for new energy vehicles. Energy 2019, 189, 116064. [Google Scholar] [CrossRef]
  24. Dou, Y.; Sun, X.; Ji, A.; Wang, Y.; Xue, X. Development strategy for prefabricated construction projects: A tripartite evolutionary game based on prospect theory. Eng. Constr. Archit. Manag. 2021, 28, 51–71. [Google Scholar] [CrossRef]
  25. Coninx, K.; Deconinck, G.; Holvoet, T. Who gets my flex? An evolutionary game theory analysis of flexibility market dynamics. Appl. Energy 2018, 218, 104–113. [Google Scholar] [CrossRef]
  26. Eissa, R.; Eid, M.S.; Elbeltagi, E. Current applications of game theory in construction engineering and management research: A social network analysis approach. J. Constr. Eng. Manag. 2021, 147, 04021066. [Google Scholar] [CrossRef]
  27. Chen, Z.; Wang, T. Photovoltaic subsidy withdrawal: An evolutionary game analysis of the impact on Chinese stakeholders’ strategic choices. Sol. Energy 2022, 241, 302–314. [Google Scholar] [CrossRef]
  28. Tuyls, K.; Parsons, S. What evolutionary game theory tells us about multiagent learning. Artif. Intell. 2007, 171, 406–416. [Google Scholar] [CrossRef]
  29. Zhang, L.; Chen, L.; Wu, Z.; Zhang, S.; Song, H. Investigating young consumers’ purchasing intention of green housing in China. Sustainability 2018, 10, 1044. [Google Scholar] [CrossRef]
  30. Zhao, H.; Liu, X.; Wang, Y. Evolutionary game analysis of opportunistic behavior of sponge city ppp projects: A perceived value perspective. Sci. Rep. 2022, 12, 8798. Available online: https://www.ncbi.nlm.nih.gov/pubmed/35614166 (accessed on 7 October 2022). [CrossRef]
  31. Chen, Y.; Chen, H. The collective strategies of key stakeholders in sponge city construction: A tripartite game analysis of governments, developers, and consumers. Water 2020, 12, 1087. [Google Scholar] [CrossRef]
  32. Lv, J.; Lin, M.; Zhou, W.; Xu, M. How ppp renegotiation behaviors evolve with traffic changes: Evolutionary game approach. J. Constr. Eng. Manag. 2021, 147, 04021032. [Google Scholar] [CrossRef]
  33. Jiang, S.; Wei, X.; Jia, J.; Ma, G. Toward sustaining the development of green residential buildings in China: A tripartite evolutionary game analysis. Build. Environ. 2022, 223, 109466. [Google Scholar] [CrossRef]
  34. Fawcett, T.W.; Hamblin, S.; Giraldeau, L.A. Exposing the behavioral gambit: The evolution of learning and decision rules. Behav. Ecol. 2012, 24, 2–11. [Google Scholar] [CrossRef]
  35. Wang, J.; Qin, Y.; Zhou, J. Incentive policies for prefabrication implementation of real estate enterprises: An evolutionary game theory-based analysis. Energy Policy 2021, 156, 112434. [Google Scholar] [CrossRef]
  36. Antoci, A.; Borghesi, S.; Sodini, M. Water resource use and competition in an evolutionary model. Water Resour. Manag. 2016, 31, 2523–2543. [Google Scholar] [CrossRef]
  37. Li, F.; Pan, B.; Wu, Y.; Shan, L. Application of game model for stakeholder management in construction of ecological corridors: A case study on Yangtze river basin in China. Habitat Int. 2017, 63, 113–121. [Google Scholar] [CrossRef]
  38. Luo, L.-Z.; Mao, C.; Shen, L.-Y.; Li, Z.-D. Risk factors affecting practitioners’ attitudes toward the implementation of an industrialized building system. Eng. Constr. Archit. Manag. 2015, 22, 622–643. [Google Scholar] [CrossRef]
  39. Sun, X.; Wang, W.; Pang, J.; Liu, X.; Zhang, M. Study on the evolutionary game of central government and local governments under central environmental supervision system. J. Clean. Prod. 2021, 296, 126574. [Google Scholar] [CrossRef]
  40. Fisher-Vanden, K.; Olmstead, S. Moving pollution trading from air to water: Potential, problems, and prognosis. J. Econ. Perspect. 2013, 27, 147–172. [Google Scholar] [CrossRef]
  41. Fan, K.; Hui, E.C.M. Evolutionary game theory analysis for understanding the decision-making mechanisms of governments and developers on green building incentives. Build. Environ. 2020, 179, 106972. [Google Scholar] [CrossRef]
  42. Bai, Y.; Song, S.; Jiao, J.; Yang, R. The impacts of government r&d subsidies on green innovation: Evidence from Chinese energy-intensive firms. J. Clean. Prod. 2019, 233, 819–829. [Google Scholar] [CrossRef]
  43. Chen, Y.; Zhu, D.; Zhou, L. A game theory analysis of promoting the spongy city construction at the building and community scale. Habitat Int. 2019, 86, 91–100. [Google Scholar] [CrossRef]
  44. Quentin Grafton, R.; Horne, J.; Wheeler, S.A. On the marketisation of water: Evidence from the Murray-darling basin, Australia. Water Resour. Manag. 2015, 30, 913–926. [Google Scholar] [CrossRef]
  45. Deng, J.; Li, C.; Wang, L.; Yu, S.; Zhang, X.; Wang, Z. The impact of water scarcity on Chinese inter-provincial virtual water trade. Sustain. Prod. Consum. 2021, 28, 1699–1707. [Google Scholar] [CrossRef]
  46. Du, M.; Huang, C.; Chen, Z. Evaluating the water-saving and wastewater-reducing effects of water rights trading pilots: Evidence from a quasi-natural experiment. J. Environ. Manag. 2022, 319, 115706. Available online: https://www.ncbi.nlm.nih.gov/pubmed/35834845 (accessed on 6 October 2022). [CrossRef]
Figure 1. Sketch of sponge city.
Figure 1. Sketch of sponge city.
Water 15 00771 g001
Figure 2. Interactions between EPEs and MEs.
Figure 2. Interactions between EPEs and MEs.
Water 15 00771 g002
Figure 3. Phase diagram of evolutionary game.
Figure 3. Phase diagram of evolutionary game.
Water 15 00771 g003
Figure 4. Dynamic evolution process of scenarios 1–16.
Figure 4. Dynamic evolution process of scenarios 1–16.
Water 15 00771 g004
Figure 5. Impact of subsidies on evolutionary game.
Figure 5. Impact of subsidies on evolutionary game.
Water 15 00771 g005
Figure 6. Impact of tax on evolutionary game.
Figure 6. Impact of tax on evolutionary game.
Water 15 00771 g006
Figure 7. Impact of additional sales revenue on evolutionary game.
Figure 7. Impact of additional sales revenue on evolutionary game.
Water 15 00771 g007
Figure 8. Impact of incremental benefits on evolutionary game.
Figure 8. Impact of incremental benefits on evolutionary game.
Water 15 00771 g008
Table 1. Payoff matrix.
Table 1. Payoff matrix.
Municipal EnterprisesEnvironmental Protection Enterprises
Cooperate with ME (x)Cooperate with Non-ME (1 − x)
Positive (y) ( 1 + γ R E 1 + δ C E + S ,   1 + ω R M 1 + θ C M + N ) ( 1 + γ R E 1 + δ C E ,   1 + ω R M C M )
Negative (1 − y) ( R E C E T ,   R M 1 + θ C M + μ T ) ( R E C E + E ,   R M C M )
Table 2. Eigenvalues and evolutionary stability of four equilibrium points.
Table 2. Eigenvalues and evolutionary stability of four equilibrium points.
EquilibriumEigenvalue T r J D e t J
E 1 0 , 0 λ 11 = a , λ 12 = b λ 11 + λ 12 λ 11 λ 12
E 2 0 , 1 λ 21 = a , λ 22 = d λ 21 + λ 22 λ 21 λ 22
E 3 1 , 0 λ 31 = c , λ 32 = b λ 31 + λ 32 λ 31 λ 32
E 4 1 , 1 λ 41 = c , λ 42 = d λ 41 + λ 42 λ 41 λ 42
Note: a = λ 11 = μ T θ C M , b = λ 12 = γ R E δ C E E , c = λ 31 = N θ C M , d = λ 22 = S + T + γ R E δ C E .
Table 3. Scenarios with various symbol combinations.
Table 3. Scenarios with various symbol combinations.
Scenarioabcd
Scenario1
Scenario2+
Scenario3+
Scenario4++
Scenario5+
Scenario6++
Scenario7++
Scenario8++
Scenario9+
Scenario10+++
Scenario11++
Scenario12+++
Scenario13++
Scenario14+++
Scenario15+++
Scenario16++++
Table 4. State of equilibrium points in 16 scenarios.
Table 4. State of equilibrium points in 16 scenarios.
EquilibriumScenario1Scenario2Scenario3Scenario4
T r J D e t J state T r J D e t J state T r J D e t J state T r J D e t J state
E1(0, 0)+ESS+ESS+ESS+ESS
E2(0, 1)?saddle++unstable?saddle++unstable
E3(1, 0)?saddle?saddle++unstable++unstable
E4(1, 1)++unstable?saddle?saddle+ESS
EquilibriumScenario5Scenario6Scenario7Scenario8
T r J D e t J state T r J D e t J state T r J D e t J state T r J D e t J state
E1(0, 0)?saddle?saddle?saddle?saddle
E2(0, 1)?saddle++unstable?saddle?saddle
E3(1, 0)+ESS+ESS?saddle?saddle
E4(1, 1)++unstable?saddle?saddle?saddle
EquilibriumScenario9Scenario10Scenario11Scenario12
T r J D e t J state T r J D e t J state T r J D e t J state T r J D e t J state
E1(0, 0)?saddle?saddle?saddle?saddle
E2(0, 1)+ESS++unstable+ESS?saddle
E3(1, 0)?saddle?saddle++unstable++unstable
E4(1, 1)++unstable+ESS?saddle+ESS
EquilibriumScenario13Scenario14Scenario15Scenario16
T r J D e t J state T r J D e t J state T r J D e t J state T r J D e t J state
E1(0, 0)++unstable++unstable++unstable++unstable
E2(0, 1)+ESS?saddle+ESS saddle
E3(1, 0)+ESS+ESS?saddle saddle
E4(1, 1)++unstable?saddle?saddle+ESS
Note: “?”, “+” and “−” indicate that the corresponding value is uncertain, positive, and negative, respectively.
Table 5. Initial values of parameters.
Table 5. Initial values of parameters.
ParameterInitial ValueParameterInitial Value
x0.5 C E 3000
y0.5 C M 17,600
E3000 γ 0.2
S1200 δ 0.2
T800 θ 0.2
N7000 ω 0.2
RE10,000 μ 0.2
Disclaimer/Publisher’s Note: The statements, opinions and data contained in all publications are solely those of the individual author(s) and contributor(s) and not of MDPI and/or the editor(s). MDPI and/or the editor(s) disclaim responsibility for any injury to people or property resulting from any ideas, methods, instructions or products referred to in the content.

Share and Cite

MDPI and ACS Style

Shi, C.; Miao, X.; Xu, T.; Gao, W.; Liu, G.; Li, S.; Lin, Y.; Wei, X.; Liu, H. Promoting Sponge City Construction through Rainwater Trading: An Evolutionary Game Theory-Based Analysis. Water 2023, 15, 771. https://doi.org/10.3390/w15040771

AMA Style

Shi C, Miao X, Xu T, Gao W, Liu G, Li S, Lin Y, Wei X, Liu H. Promoting Sponge City Construction through Rainwater Trading: An Evolutionary Game Theory-Based Analysis. Water. 2023; 15(4):771. https://doi.org/10.3390/w15040771

Chicago/Turabian Style

Shi, Chunyan, Xinyue Miao, Tongyu Xu, Weijun Gao, Gen Liu, Siwen Li, Yingzi Lin, Xindong Wei, and Hui Liu. 2023. "Promoting Sponge City Construction through Rainwater Trading: An Evolutionary Game Theory-Based Analysis" Water 15, no. 4: 771. https://doi.org/10.3390/w15040771

APA Style

Shi, C., Miao, X., Xu, T., Gao, W., Liu, G., Li, S., Lin, Y., Wei, X., & Liu, H. (2023). Promoting Sponge City Construction through Rainwater Trading: An Evolutionary Game Theory-Based Analysis. Water, 15(4), 771. https://doi.org/10.3390/w15040771

Note that from the first issue of 2016, this journal uses article numbers instead of page numbers. See further details here.

Article Metrics

Back to TopTop