Used Filter Cartridges as Potential Adsorbents of Organic Pollutants
Abstract
1. Introduction
2. Materials and Methods
2.1. Materials
2.2. Analytical Procedures
2.3. Adsorption of the Synthetic Organic Dyes
3. Results and Discussion
3.1. Textural Parameters of the Carbonaceous Materials Recovered from Utilized Water Filters
3.2. Acidic–Basic Properties of the Carbonaceous Materials Derived from the Used Carbon Filters
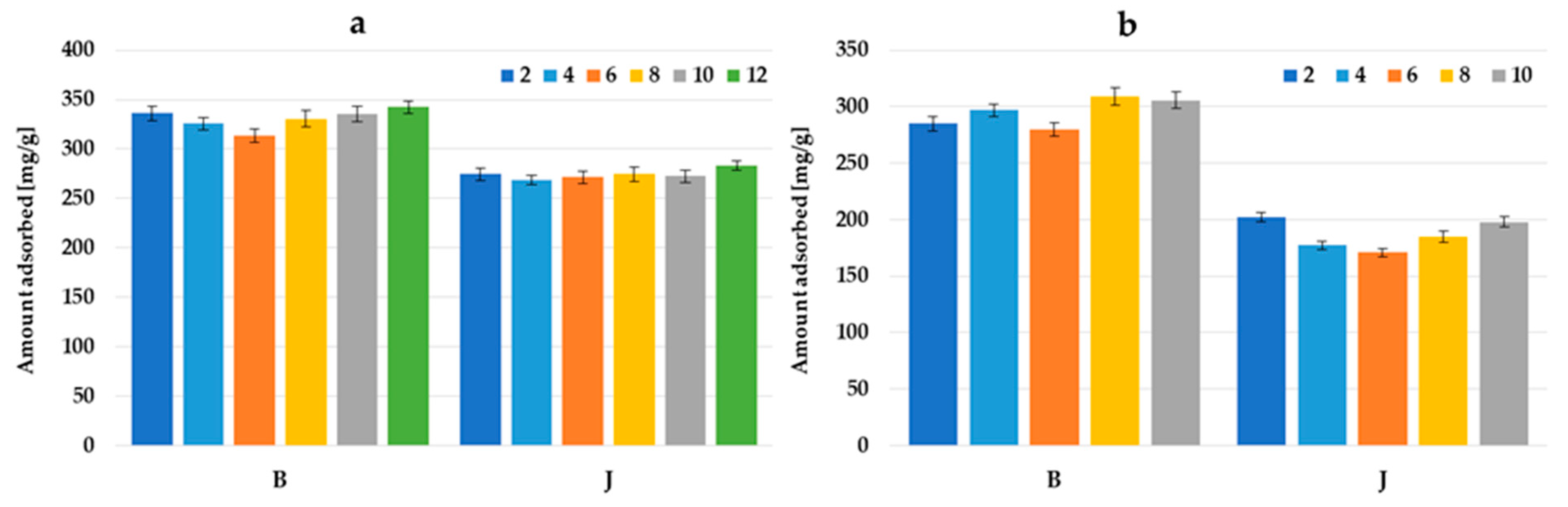
3.3. Sorption Performance of the Carbonaceous Materials Recovered from the Used Carbon Filters
4. Conclusions
Author Contributions
Funding
Data Availability Statement
Conflicts of Interest
References
- Mocek-Płóciniak, A.; Skowrońska, M. Water—An important element not only of the soil environment. Soil Sci. Ann. 2021, 72, 134620. [Google Scholar] [CrossRef]
- Pavlidis, G.; Tsihrintzis, V.A. Environmental benefits and control of pollution to surface water and groundwater by agroforestry systems: A Review. Water Resour. Manag. 2018, 32, 1–29. [Google Scholar] [CrossRef]
- Water Defense. Available online: https://waterdefense.org/water/contaminants/most-common-contaminants/ (accessed on 15 December 2022).
- BRITA. Available online: https://www.brita.co.uk/ (accessed on 15 December 2022).
- Çeçen, F.; Aktas, Ö. Activated Carbon for Water and Wastewater Treatment: Integration of Adsorption and Biological Treatment, 1st ed.; Wiley-VCH Verlag GmbH & Co. KGaA: Weinheim, Germany, 2011; pp. 13–41. [Google Scholar] [CrossRef]
- Halicki, W.; Halicki, M. Effective removal of biogenic substances using natural treatment systems for wastewater for safer water reuse. Water 2022, 14, 3977. [Google Scholar] [CrossRef]
- Wang, J.; Wang, R.; Ma, J.; Sun, Y. Study on the application of shell-activated carbon for the adsorption of dyes and antibiotics. Water 2022, 14, 3752. [Google Scholar] [CrossRef]
- Wang, J.; Ma, J.; Sun, Y. Adsorption of methylene blue by coal-based activated carbon in high-salt wastewater. Water 2022, 14, 3576. [Google Scholar] [CrossRef]
- Wiśniewska, M.; Pawlak, N.; Sternik, D.; Pietrzak, R.; Nowicki, P. Production of Activated Carbons from Food/Storage Waste. Materials 2023, 16, 1349. [Google Scholar] [CrossRef]
- Jamal-Uddin, A.-T.; Matsuura, T.; Al-Daoud, F.; Zytner, R.G. Treatment and recycle of greenhouse nutrient feed water applying hydrochar and activated carbon followed by reverse osmosis. Water 2022, 14, 3573. [Google Scholar] [CrossRef]
- Kayiwa, R.; Kasedde, H.; Lubwama, M.; Kirabira, J.B. active pharmaceutical ingredients sequestrated from water using novel mesoporous activated carbon optimally prepared from cassava peels. Water 2022, 14, 3371. [Google Scholar] [CrossRef]
- Bazan-Wozniak, A.; Paluch, D.; Wolski, R.; Cielecka-Piontek, J.; Nosal-Wiercińska, A.; Pietrzak, R. Biocarbons obtained from fennel and caraway fruits as adsorbents of methyl red sodium salt from water system. Materials 2022, 15, 8177. [Google Scholar] [CrossRef]
- Khan, S.; Ullah, R.; Adil, M.; Waheed, A.; Khan, K.A.; Ghramh, H.A.; Alharby, H.F.; Alzahrani, Y.M.; Alghamdi, S.A.; Alabdallah, N.M.; et al. Adsorption of pesticides using wood-derived biochar and granular activated carbon in a fixed-bed column system. Water 2022, 14, 2937. [Google Scholar] [CrossRef]
- Kokkinos, E.; Lampou, A.; Kellartzis, I.; Karfaridis, D.; Zouboulis, A. Thiol-functionalization carbonaceous adsorbents for the removal of methyl-mercury from water in the ppb levels. Water 2022, 14, 49. [Google Scholar] [CrossRef]
- Li, L.; Li, Y.; Liu, Y.; Ding, L.; Jin, X.; Lian, H.; Zheng, J. Preparation of a novel activated carbon from cassava sludge for the high-efficiency adsorption of hexavalent chromium in potable water: Adsorption performance and mechanism insight. Water 2021, 13, 3602. [Google Scholar] [CrossRef]
- Gęca, M.; Wiśniewska, M.; Nowicki, P. Simultaneous removal of polymers with different ionic character from their mixed solutions using herb-based biochars and activated carbons. Molecules 2022, 27, 7557. [Google Scholar] [CrossRef]
- Bazan-Wozniak, A.; Cielecka-Piontek, J.; Nosal-Wiercińska, A.; Pietrzak, R. Adsorption of organic compounds on adsorbents obtained with the use of microwave heating. Materials 2022, 15, 5664. [Google Scholar] [CrossRef]
- Kazmierczak-Razna, J.; Zioła-Frankowska, A.; Nowicki, P.; Frankowski, M.; Wolski, R.; Pietrzak, R. Removal of heavy metal ions from one- and two-component solutions via adsorption on n-doped activated carbon. Materials 2021, 14, 7045. [Google Scholar] [CrossRef] [PubMed]
- Regeneration/Active Carbon. Available online: https://www.lenntech.com/library/adsorption/regeneration/activecarbon-regeneration.htm (accessed on 3 February 2023).
- Bazan-Wozniak, A.; Nowicki, P.; Pietrzak, R. The effect of demineralization on the physicochemical and sorption properties of activated bio-carbons. Adsorption 2019, 25, 337–343. [Google Scholar] [CrossRef]
- Bazan-Wozniak, A.; Nowicki, P.; Wolski, R.; Pietrzak, R. Activated bio-carbons prepared from the residue of supercritical extraction of raw plants and their application for removal of nitrogen dioxide and hydrogen sulfide from the gas phase. Materials 2021, 14, 3192. [Google Scholar] [CrossRef]
- Foo, K.Y.; Hameed, B.H. Insights into the modelling of adsorption isotherm systems. Chem. Eng. J. 2010, 156, 2–10. [Google Scholar] [CrossRef]
- Marković, D.D.; Lekić, B.M.; Rajaković-Ognjanović, V.N.; Onjia, A.E.; Rajaković, L.V. A new approach in regression analysis for modelling adsorption isotherms. Sci. World J. 2014, 2014, 930879. [Google Scholar] [CrossRef]
- Simonin, J.P. On the comparison of pseudo-first order and pseudo-second order rate laws in the modeling of adsorption kinetics. Chem. Eng. J. 2016, 300, 254–263. [Google Scholar] [CrossRef]
- Hu, X.; Kong, L.; Zhu, F.; Peng, X. The recycling of acid wastewater with high concentrations of organic matter: Recovery of H2SO4 and preparation of activated carbon. Water 2022, 14, 183. [Google Scholar] [CrossRef]
- Evwierhoma, E.T.; Madubiko, O.D.; Jaiyeola, A. Preparation and characterization of activated carbon from bean husk. Niger. J. Technol. 2018, 37, 674–678. [Google Scholar] [CrossRef]
- Doczekalska, B.; Bartkowiak, M.; Waliszewska, B.; Orszulak, G.; Cerazy-Waliszewska, J.; Pniewski, T. Characterization of chemically activated carbons prepared from miscanthus and switchgrass biomass. Materials 2020, 13, 1654. [Google Scholar] [CrossRef]
- Hanami, Z.A.; Lestari, P. Characterization and application of mangosteen peel activated carbon for ammonia gas removal. Environ. Nat. Resour. J. 2021, 19, 320–329. [Google Scholar] [CrossRef]
- Wiśniewska, M.; Rejer, K.; Pietrzak, R.; Nowicki, P. Biochars and activated biocarbons prepared via conventional pyrolysis and chemical or physical activation of mugwort herb as potential adsorbents and renewable fuels. Molecules 2022, 27, 8597. [Google Scholar] [CrossRef]
- Tran, T.H.; Le, A.H.; Pham, T.H.; Nguyen, D.T.; Chang, S.W.; Chung, W.J.; Nguyen, D.D. Adsorption isotherms and kinetic modeling of methylene blue dye onto a carbonaceous hydrochar adsorbent derived from coffee husk waste. Sci. Total Environ. 2020, 725, 138325. [Google Scholar] [CrossRef]
- Jawad, A.H.; Abdulhameed, A.S. Statistical modeling of methylene blue dye adsorption by high surface area mesoporous activated carbon from bamboo chip using KOH-assisted thermal activation. Energy Ecol. Environ. 2020, 5, 456–469. [Google Scholar] [CrossRef]
- Chen, J.; Tang, C.; Li, X.; Sun, J.; Liu, Y.; Huang, W.; Wang, A.; Lu, Y. Preparation and modification of rape straw biochar and its adsorption characteristics for methylene blue in water. Water 2022, 14, 3761. [Google Scholar] [CrossRef]
- Alam, S.; Khan, M.S.; Bibi, W.; Zekker, I.; Burlakovs, J.; Ghangrekar, M.M.; Bhowmick, G.D.; Kallistova, A.; Pimenov, N.; Zahoor, M. Preparation of activated carbon from the wood of Paulownia tomentosa as an efficient adsorbent for the removal of Acid Red 4 and methylene blue present in wastewater. Water 2021, 13, 1453. [Google Scholar] [CrossRef]
- Bazan-Wozniak, A.; Wolski, R.; Paluch, D.; Nowicki, P.; Pietrzak, R. Removal of organic dyes from aqueous solutions by activated carbons prepared from residue of supercritical extraction of marigold. Materials 2022, 15, 3655. [Google Scholar] [CrossRef] [PubMed]
- Zhang, J.; Liu, M.; Liu, Z.; Yang, T.; He, Q.; Yang, K.; Wang, H. Studies of malachite green adsorption on covalently functionalized Fe3O4@SiO2–graphene oxides core–shell magnetic microspheres. J. Sol.-Gel. Sci. Technol. 2017, 82, 424–431. [Google Scholar] [CrossRef]
- Delpiano, G.R.; Tocco, D.; Medda, L.; Magner, E.; Salis, A. Adsorption of malachite green and alizarin red s dyes using Fe-BTC metal organic framework as adsorbent. Int. J. Mol. Sci. 2021, 22, 788. [Google Scholar] [CrossRef] [PubMed]
- Krishnappa, B.; Bhat, V.S.; Ancy, V.; Joshi, J.C.; S, J.M.; Naik, M.; Hegde, G. Biowaste-derived, highly efficient, reusable carbon nanospheres for speedy removal of organic dyes from aqueous solutions. Molecules 2022, 27, 7017. [Google Scholar] [CrossRef] [PubMed]
- Jiang, F.; Dinh, D.M.; Hsieh, Y.-L. Adsorption and desorption of cationic malachite green dye on cellulose nanofibril aerogels. Carbohydr. Polym. 2017, 173, 286–294. [Google Scholar] [CrossRef] [PubMed]
- Dilekoğlu, M.F. Malachite green adsorption from aqueous solutions onto biochar derived from sheep manure: Adsorption kinetics, isotherm, thermodynamic, and mechanism. Int. J. Phytoremediat. 2022, 24, 436–446. [Google Scholar] [CrossRef]










| Sample | Surface Area 1 [m2/g] | Micropore Area [m2/g] | Total Pore Volume [cm3/g] | Micropore Volume [cm3/g] | Micropore Contribution [%] | Mean Pore Diameter [nm] |
|---|---|---|---|---|---|---|
| B | 1042.58 | 998.26 | 0.619 | 0.540 | 87.2 | 2.376 |
| J | 957.67 | 921.12 | 0.586 | 0.498 | 84.9 | 2.451 |
| Sample | Ash Content [wt. %] | pH | Acidic Groups Content [mmol/g] | Basic Groups Content [mmol/g] |
|---|---|---|---|---|
| B | 1.06 | 6.94 | 0.45 | 0.70 |
| J | 0.57 | 6.64 | 0.55 | 0.45 |
| Sample | Langmuir Model | Freundlich Model | ||||
|---|---|---|---|---|---|---|
| qmax | R2 | KL | 1/n | R2 | KF | |
| Methylene blue | ||||||
| B | 336.7 | 0.9994 | 0.11 | 0.057 | 0.9635 | 295.26 |
| J | 276.2 | 0.9999 | 0.43 | 0.053 | 0.9890 | 246.83 |
| Malachite green | ||||||
| B | 308.64 | 0.9998 | 0.15 | 0.013 | 0.5633 | 304.43 |
| J | 215.98 | 0.9997 | 0.35 | 0.025 | 0.8725 | 200.91 |
| Sample | qexp | PFO | PSO | ||||
|---|---|---|---|---|---|---|---|
| qcal | R2 | k1 | qcal | R2 | k2 | ||
| Methylene blue | |||||||
| B | 254.74 | 82.71 | 0.9526 | 0.01497 | 263.15 | 0.9983 | 0.000395 |
| J | 235.03 | 44.68 | 0.9441 | 0.00875 | 238.09 | 0.9979 | 0.000573 |
| Malachite green | |||||||
| B | 130.61 | 71.03 | 0.8963 | 0.010364 | 135.13 | 0.9879 | 0.000294 |
| J | 91.24 | 49.10 | 0.9871 | 0.012897 | 96.15 | 0.9977 | 0.000504 |
| Carbonaceous Adsorbent | Maximum Adsorbed Amount [mg/g] | Reference |
|---|---|---|
| Iodine | ||
| Activated carbon from wastewater with high concentrations of organic matter | 1800 | [25] |
| Activated carbon from bean husks | 1256 | [26] |
| Activated carbon from miscanthus | 1240 | [27] |
| Activated carbon from mangosteen peel | 1153 | [28] |
| Activated biocarbon form mugwort | 948 | [29] |
| Activated carbon from used filters | 1260 and 1326 | This study |
| Methylene blue | ||
| Activated carbon from wastewater with high concentrations of organic matter | 240 | [25] |
| Hydrochar from coffee husks | 418 | [30] |
| Activated carbon from bamboo chips | 305 | [31] |
| Activated carbon from rapeseed straw | 250 | [32] |
| Activated carbon from wood of Paulownia tomentosa | 255 | [33] |
| Activated carbon from used filters | 276 and 333 | This study |
| Malachite green | ||
| Activated carbon from residue of supercritical extraction of marigold | 622 | [34] |
| Fe3O4@SiO2–graphene oxides core–shell magnetic microspheres | 265 | [35] |
| Fe-BTC metal organic framework | 177 | [36] |
| Biowaste-derived carbon nanospheres | 104 | [37] |
| Cellulose nanofibril aerogels | 213 | [38] |
| Biochar derived from sheep manure | 208 | [39] |
| Activated carbon from used filters | 212 and 308 | This study |
Disclaimer/Publisher’s Note: The statements, opinions and data contained in all publications are solely those of the individual author(s) and contributor(s) and not of MDPI and/or the editor(s). MDPI and/or the editor(s) disclaim responsibility for any injury to people or property resulting from any ideas, methods, instructions or products referred to in the content. |
© 2023 by the authors. Licensee MDPI, Basel, Switzerland. This article is an open access article distributed under the terms and conditions of the Creative Commons Attribution (CC BY) license (https://creativecommons.org/licenses/by/4.0/).
Share and Cite
Szymańska, M.; Nowicki, P. Used Filter Cartridges as Potential Adsorbents of Organic Pollutants. Water 2023, 15, 714. https://doi.org/10.3390/w15040714
Szymańska M, Nowicki P. Used Filter Cartridges as Potential Adsorbents of Organic Pollutants. Water. 2023; 15(4):714. https://doi.org/10.3390/w15040714
Chicago/Turabian StyleSzymańska, Martyna, and Piotr Nowicki. 2023. "Used Filter Cartridges as Potential Adsorbents of Organic Pollutants" Water 15, no. 4: 714. https://doi.org/10.3390/w15040714
APA StyleSzymańska, M., & Nowicki, P. (2023). Used Filter Cartridges as Potential Adsorbents of Organic Pollutants. Water, 15(4), 714. https://doi.org/10.3390/w15040714

