Three-Dimensional Numerical Simulation of Flow Structure in Annular Flume Based on CFD Study of Water
Abstract
:1. Introduction
2. Model Development
2.1. Annular Sink Description and Instrumentation
2.2. Model Selection and Governing Equations
2.3. Calculation Methods and Boundary Conditions
2.4. Mesh Profiling
2.5. Grid Convergence Analysis
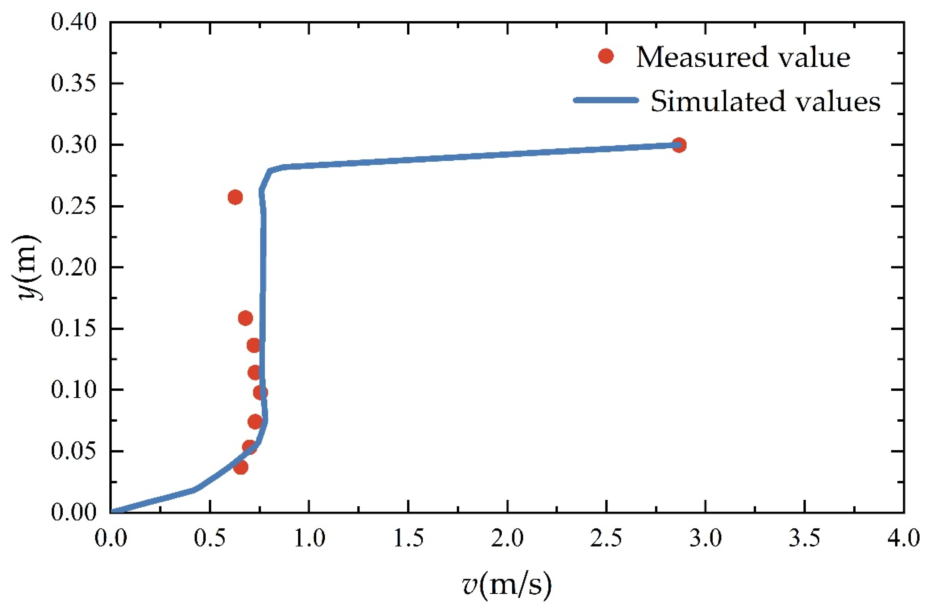
2.6. Model Validation
3. Simulation Results and Analysis
3.1. Cross-Sectional Axial Flow Velocity Contour Distribution
3.2. Cross-Sectional Velocity Vector Distribution
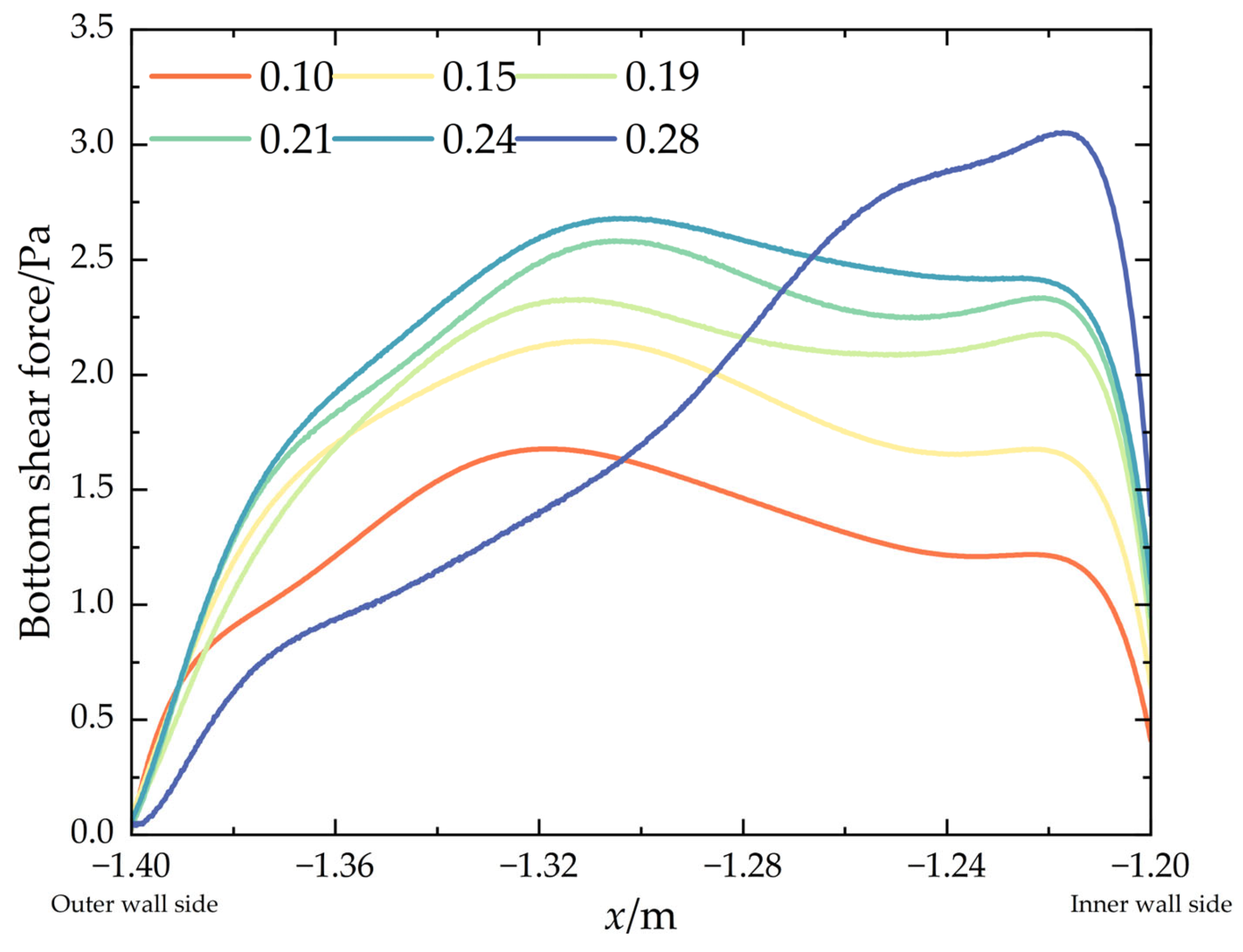
3.3. Shear Force Distribution at the Bottom of the Flume
3.4. The Variation Pattern of Secondary Flow Intensity with the Size of Speed Ratio
4. Conclusions
- (1)
- As the speed ratio increases, the negative flow velocity gradually expands from the side wall to the center of the flume, the axial flow velocity of the annular flume gradually shows a “U”-type distribution and the axial flow velocity distribution becomes more uniform. The relative value of axial flow velocity is more in line with the natural law than the absolute value of axial flow velocity for the calculation of the Reynolds number. In addition, in terms of water flow structure stability, the water flow structure is more complex as the speed ratio increases.
- (2)
- When the speed ratio R ≤ 0.24, the speed ratio and the bottom shear size show a positive correlation, and the bottom shear distribution tends to be flat. The speed ratio R = 0.24 is the critical point when the bottom shear distribution is most uniform; when R > 0.24, the bottom shear peak position is shifted to the inner wall side, the bottom shear distribution is extremely uneven, and the sediment is more likely to accumulate on the outer wall side at this time.
- (3)
- When the speed ratio R < 0.28, the secondary flow intensity shows a negative correlation with the size of the speed ratio. When the speed ratio R = 0.28, the secondary flow intensity of the annular sink reaches the lowest value, which is only 39.28% of the secondary flow intensity of the annular sink driven by the shear ring. When the velocity ratio R = 0.24, the annular flume water flow structure is the most stable and controllable.
- (4)
- Compared with the previous research results, this study investigates the axial flow velocity and the development of vortex flow in the flume with increasing speed ratios in more detail. This study can provide technical support for research in sedimentation, pollutant release, transport and dispersion and other related scientific fields.
Author Contributions
Funding
Data Availability Statement
Acknowledgments
Conflicts of Interest
References
- Bale, A.J.; Widdows, J.; Harris, C.B.; Stephens, J.A. Measurements of the critical erosion threshold of surface sediments along the Tamar Estuary using a mini-annular flume. Cont. Shelf Res. 2006, 26, 1206–1216. [Google Scholar] [CrossRef]
- Droppo, I.G.; di Cenzo, P.; Parrott, J.; Power, J. The Alberta oil sands eroded bitumen/sediment transitional journey: Influence on sediment transport dynamics, PAH signatures and toxicological effect. Sci. Total Environ. 2019, 677, 718–731. [Google Scholar] [CrossRef] [PubMed]
- Xu, C.; Chen, Y.; Pan, Y.; Yu, L. The effects of flocculation on the entrainment of fluid mud layer. Estuar. Coast. Shelf Sci. 2020, 240, 106784. [Google Scholar] [CrossRef]
- Hu, Y.; Chen, J.; Wang, C.; Wang, P.; Gao, H.; Zhang, J.; Zhang, B.; Cui, G.; Zhao, D. Insight into microbial degradation of hexabromocyclododecane (HBCD) in lake sediments under different hydrodynamic conditions. Sci. Total Environ. 2022, 827, 154358. [Google Scholar] [CrossRef] [PubMed]
- Abduo, S.S.; Elmoustafa, A.M.; Salam, M.S.A. Study of counteracting the secondary flow in open channel bends. Ain Shams Eng. J. 2021, 12, 2425–2433. [Google Scholar] [CrossRef]
- Yang, Z.; Baptista, A.; Darland, J. Numerical modeling of flow characteristics in a rotating annular flume. Dyn. Atmos. Ocean. 2000, 31, 271–294. [Google Scholar] [CrossRef]
- Zhao, Y.; Wang, Y.; Yao, J. Effect of turbulence-driven secondary flow on particle preferential concentration and clustering in turbulent square duct flows. Particuology 2021, 55, 70–83. [Google Scholar] [CrossRef]
- Yin, H.-L.; Qiu, M.-Y.; Xu, Z.-X. Study on transport of powdered activated carbon using a rotating circular flume. J. Hydrodyn. Ser. B 2013, 25, 772–777. [Google Scholar] [CrossRef]
- Guo, C.; Manning, A.J.; Bass, S.; Guo, L.; He, Q. A quantitative lab examination of floc fractal property considering influences of turbulence, salinity and sediment concentration. J. Hydrol. 2021, 601, 126574. [Google Scholar] [CrossRef]
- Huang, J.; Ge, X.; Wang, D. Distribution of heavy metals in the water column, suspended particulate matters and the sediment under hydrodynamic conditions using an annular flume. J. Environ. Sci. 2012, 24, 2051–2059. [Google Scholar] [CrossRef]
- Pope, N.D.; Widdows, J.; Brinsley, M.D. Estimation of bed shear stress using the turbulent kinetic energy approach—A comparison of annular flume and field data. Cont. Shelf Res. 2006, 26, 959–970. [Google Scholar] [CrossRef]
- Wang, H.; Zhao, Y.; Wang, X.; Liang, D. Fluctuations in Cd release from surface-deposited sediment in a river-connected lake following dredging. J. Geochem. Explor. 2017, 172, 184–194. [Google Scholar] [CrossRef]
- Ramalingam, S.; Chandra, V. Influence of live microbes on suspended sediment concentration in coastal ecosystem. Mar. Geol. 2018, 405, 108–113. [Google Scholar] [CrossRef]
- Wang, Q.; Li, M.; Xu, W.; Yao, L.; Liu, X.; Su, D.; Wang, P. Review on liquid film flow and heat transfer characteristics outside horizontal tube falling film evaporator: Cfd numerical simulation. Int. J. Heat Mass Transf. 2020, 163, 120440. [Google Scholar] [CrossRef]
- Bordbar, A.; Taassob, A.; Zarnaghsh, A.; Kamali, R. Slug flow in microchannels: Numerical simulation and applications. J. Ind. Eng. Chem. 2018, 62, 26–39. [Google Scholar] [CrossRef]
- James, P.W.; Jones, T.E.R.; Stewart, D.M. Numerical and experimental studies of annular flume flow. Appl. Math. Model. 1996, 20, 225–231. [Google Scholar] [CrossRef]
- Booij, R. Large eddy simulation of flows in some curved flumes. In Engineering Turbulence Modelling and Experiments 5; Rodi, W., Fueyo, N., Eds.; Elsevier Science Ltd: Oxford, UK, 2002; pp. 347–356. [Google Scholar]
- Maa, J.P.Y. Discussion on the article “Numerical modeling of flow characteristics in a rotating annular flume” by Yang, Z., Baptista, A., Darland, J. [Dyn. Atmos. Oceans 31 (2000) 271–294]. Dyn. Atmos. Ocean. 2001, 33, 321–323. [Google Scholar] [CrossRef]
- Yang, S.-H.; Im, I.-T.; Hwang, K.-N.; Cho, Y.-S.; Ryu, H.-R. A numerical study on optimal rotation ratio and bottom shear stress in the counter-rotation mode of an annular flume. J. Hydro-Environ. Res. 2015, 9, 473–481. [Google Scholar] [CrossRef]
- Skulovich, O.; Cofalla, C.; Ganal, C.; Schüttrumpf, H.; Ostfeld, A. Modelling of resuspension due to fish activity: Mathematical modeling and annular flume experiments. Int. J. Sediment Res. 2017, 32, 421–431. [Google Scholar] [CrossRef]
- Wang, J.; Zhou, J.; Zhang, C.J.J.o.S.R. Experimental study on velocity distribution of two-direction rotating annular flume. J. Sediment Res. 2014, 5, 32–37. [Google Scholar] [CrossRef]
- Goodarzi, D.; Abolfathi, S.; Borzooei, S. Modelling solute transport in water disinfection systems: Effects of temperature gradient on the hydraulic and disinfection efficiency of serpentine chlorine contact tanks. J. Water Process Eng. 2020, 37, 101411. [Google Scholar] [CrossRef]
- Goodarzi, D.; Mohammadian, A.; Pearson, J.; Abolfathi, S. Numerical modelling of hydraulic efficiency and pollution transport in waste stabilization ponds. Ecol. Eng. 2022, 182, 106702. [Google Scholar] [CrossRef]
- Analytis, G.T. Implementation and assessment of the renormalization group (RNG), quadratic and cubic non-linear eddy viscosity k–ε models in GOTHIC. Nucl. Eng. Des. 2001, 210, 177–191. [Google Scholar] [CrossRef]
- Dyck, N.J.; Parker, M.J.; Straatman, A.G. The impact of boundary treatment and turbulence model on CFD simulations of the Ranque-Hilsch vortex tube. Int. J. Refrig. 2022, 141, 158–172. [Google Scholar] [CrossRef]
- Xiao, H.; Huang, W.; Tao, J.; Liu, C. Numerical modeling of wave–current forces acting on horizontal cylinder of marine structures by VOF method. Ocean. Eng. 2013, 67, 58–67. [Google Scholar] [CrossRef]
- Garoosi, F.; Mahdi, T.-F. Numerical simulation of three-fluid Rayleigh-Taylor instability using an enhanced Volume-Of-Fluid (VOF) model: New benchmark solutions. Comput. Fluids 2022, 245, 105591. [Google Scholar] [CrossRef]
- Garoosi, F.; Mahdi, T.-F. New benchmark problems for validation and verification of incompressible multi-fluid flows based on the improved Volume-Of-Fluid (VOF) method. Colloids Surf. A Physicochem. Eng. Asp. 2022, 648, 129313. [Google Scholar] [CrossRef]
- Oliveira, L.E.D.; da Costa, F.R.; Gualtieri, C.; Janzen, J.G. Effects of Vegetation Density on Sediment Transport in Lateral Cavities. Environ. Sci. Proc. 2022, 21, 16. [Google Scholar] [CrossRef]
- Banihabib, M.E.; Vaziri, B.; Javadi, S. A model for the assessment of the effect of mulching on aquifer recharging by rainfalls in an arid region. J. Hydrol. 2018, 567, 102–113. [Google Scholar] [CrossRef]
- Filippucci, P.; Brocca, L.; Bonafoni, S.; Saltalippi, C.; Wagner, W.; Tarpanelli, A. Sentinel-2 high-resolution data for river discharge monitoring. Remote Sens. Environ. 2022, 281, 113255. [Google Scholar] [CrossRef]
- Pini, M.; Scalvini, A.; Liaqat, M.U.; Ranzi, R.; Serina, I.; Mehmood, T. Evaluation of Machine Learning Techniques for Inflow Prediction in Lake Como, Italy. Procedia Comput. Sci. 2020, 176, 918–927. [Google Scholar] [CrossRef]
- Lam, W.H.; Robinson, D.J.; Hamill, G.A.; Johnston, H.T. An effective method for comparing the turbulence intensity from LDA measurements and CFD predictions within a ship propeller jet. Ocean. Eng. 2012, 52, 105–124. [Google Scholar] [CrossRef]
- Chen, Y.; Wang, L.; Hua, H.X. Longitudinal vibration of marine propeller-shafting system induced by inflow turbulence. J. Fluids Struct. 2017, 68, 264–278. [Google Scholar] [CrossRef]
- Liao, F.; Wang, S.; Yang, X.; He, G. A simulation-based actuator surface parameterization for large-eddy simulation of propeller wakes. Ocean. Eng. 2020, 199, 107023. [Google Scholar] [CrossRef]









| Scheme | Grid Size/cm | Local Encryption | Error | ||
|---|---|---|---|---|---|
| A | 3 | No | 130.21 | 94.04 | 38.47% |
| B | 1 | No | 103.92 | 94.04 | 10.51% |
| C | 1 | Yes | 97.37 | 94.04 | 3.54% |
| D | 0.5 | No | 97.31 | 94.04 | 3.48% |
Disclaimer/Publisher’s Note: The statements, opinions and data contained in all publications are solely those of the individual author(s) and contributor(s) and not of MDPI and/or the editor(s). MDPI and/or the editor(s) disclaim responsibility for any injury to people or property resulting from any ideas, methods, instructions or products referred to in the content. |
© 2023 by the authors. Licensee MDPI, Basel, Switzerland. This article is an open access article distributed under the terms and conditions of the Creative Commons Attribution (CC BY) license (https://creativecommons.org/licenses/by/4.0/).
Share and Cite
Yan, J.; Zhang, L.; Xu, L.; Chen, S.; Peng, G.; Wang, M. Three-Dimensional Numerical Simulation of Flow Structure in Annular Flume Based on CFD Study of Water. Water 2023, 15, 651. https://doi.org/10.3390/w15040651
Yan J, Zhang L, Xu L, Chen S, Peng G, Wang M. Three-Dimensional Numerical Simulation of Flow Structure in Annular Flume Based on CFD Study of Water. Water. 2023; 15(4):651. https://doi.org/10.3390/w15040651
Chicago/Turabian StyleYan, Jun, Litao Zhang, Linjuan Xu, Sainan Chen, Guanghong Peng, and Meng Wang. 2023. "Three-Dimensional Numerical Simulation of Flow Structure in Annular Flume Based on CFD Study of Water" Water 15, no. 4: 651. https://doi.org/10.3390/w15040651
APA StyleYan, J., Zhang, L., Xu, L., Chen, S., Peng, G., & Wang, M. (2023). Three-Dimensional Numerical Simulation of Flow Structure in Annular Flume Based on CFD Study of Water. Water, 15(4), 651. https://doi.org/10.3390/w15040651

