The Pretreatment of Micro-Polluted Source Water through Phototrophic Biofilms under Variant Light Conditions
Abstract
1. Introduction
2. Materials and Methods
2.1. The Source of Phototrophic Biofilms
2.2. The Cultivation of Raw Phototrophic Biofilms
2.3. The Compositions of Micro-Polluted Water
2.4. The Setup of Treatment Experiments
2.5. The Development of Pilot-Scale Phototrophic Biofilm Equipment
2.6. Analysis Methods
3. Results and Discussions
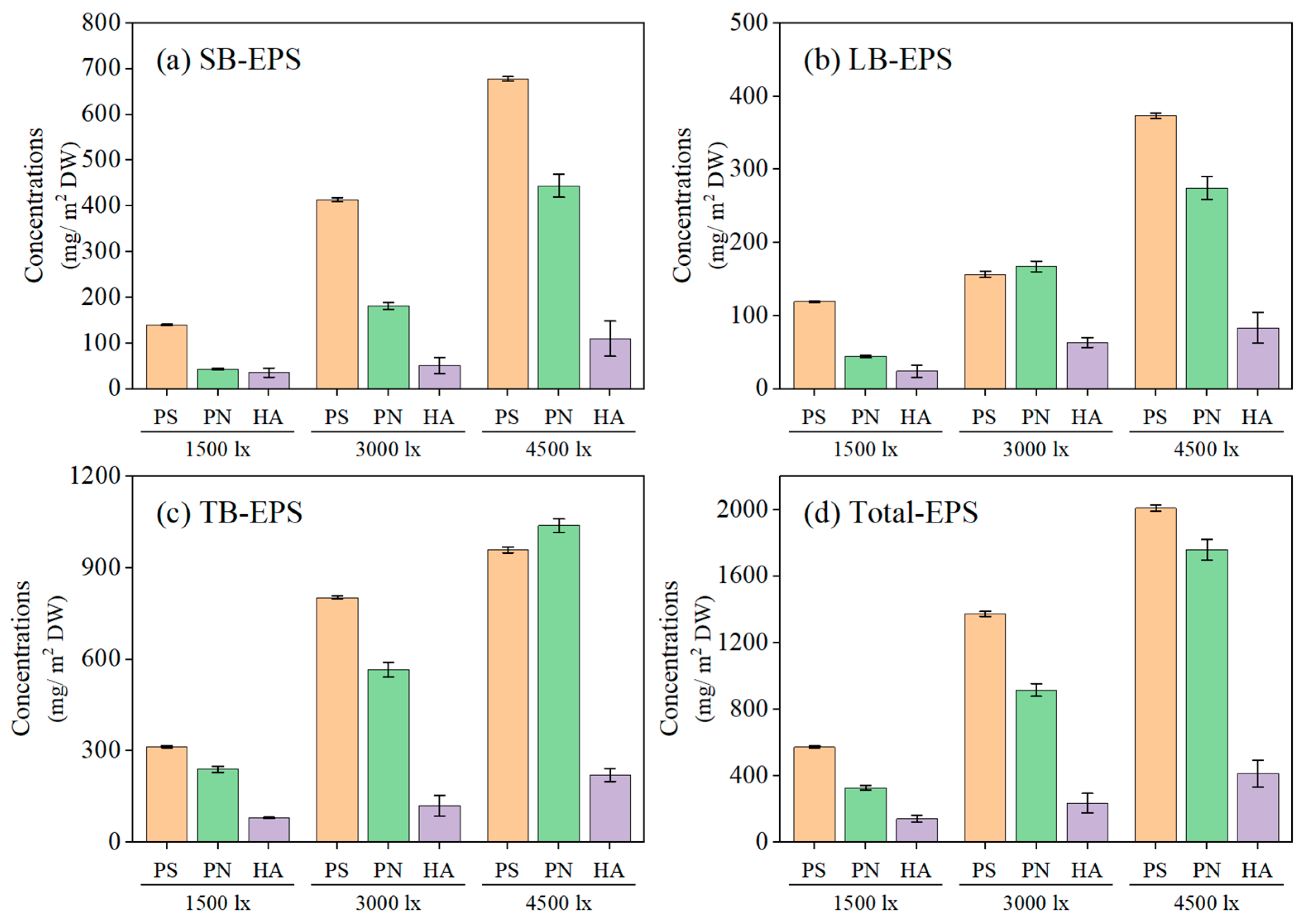
3.1. The Characterization of Cultured Phototrophic Biofilms
3.2. The Ability of Phototrophic Biofilms to Pretreat Synthetic Micro-Polluted Water
3.3. The Pretreatment of Actual Micro-Polluted Water under Varying Light Spectra
3.4. The Practical Applications of Phototrophic Biofilms
4. Conclusions
Supplementary Materials
Author Contributions
Funding
Informed Consent Statement
Data Availability Statement
Conflicts of Interest
References
- Ali, A.; Shaikh, I.A.; Abbasi, N.A.; Firdous, N.; Ashraf, M.N. Enhancing water efficiency and wastewater treatment using sustainable technologies: A laboratory and pilot study for adhesive and leather chemicals production. J. Water Process. Eng. 2020, 36, 10. [Google Scholar] [CrossRef]
- Espinoza-Tofalos, A.; Daghio, M.; Palma, E.; Aulenta, F.; Franzetti, A. Structure and Functions of Hydrocarbon-Degrading Microbial Communities in Bioelectrochemical Systems. Water 2020, 12, 343. [Google Scholar] [CrossRef]
- Wan, Y.; Huang, X.; Shi, B.; Shi, J.; Hao, H. Reduction of organic matter and disinfection byproducts formation potential by titanium, aluminum and ferric salts coagulation for micro-polluted source water treatment. Chemosphere 2019, 219, 28–35. [Google Scholar] [CrossRef] [PubMed]
- Xu, P.; Xiao, E.; He, F.; Xu, D.; Zhang, Y.; Wang, Y.; Wu, Z. High performance of integrated vertical-flow constructed wetland for polishing low C/N ratio river based on a pilot-scale study in Hangzhou, China. Environ. Sci. Pollut. Res. 2019, 26, 22431–22449. [Google Scholar] [CrossRef] [PubMed]
- Xie, K.; Wang, B.; Qiu, L.; Zhang, S.; Wang, J.; Liu, G.; Sun, S. Performance and bacterial community composition of volcanic scoria particles (VSP) in a biological aerated filter (BAF) for micro-polluted source water treatment. Water Environ. Res. 2019, 91, 954–967. [Google Scholar] [CrossRef] [PubMed]
- Gao, J.; Li, Q.; Zhang, J.; Wang, S.; Song, B.; Huang, Z. Purification of Micro-Polluted Lake Water by Biofortification of Vertical Subsurface Flow Constructed Wetlands in Low-Temperature Season. Water 2022, 14, 896. [Google Scholar] [CrossRef]
- Liu, J.; Wu, Y.; Wu, C.; Muylaert, K.; Vyverman, W.; Yu, H.Q.; Munoz, R.; Rittmann, B. Advanced nutrient removal from surface water by a consortium of attached microalgae and bacteria: A review. Bioresour. Technol. 2017, 241, 1127–1137. [Google Scholar] [CrossRef]
- Zhao, Q.H.; Wang, J.; Wang, J.J.; Wang, J.X.L. Seasonal dependency of controlling factors on the phytoplankton production in Taihu Lake, China. J. Environ. Sci. 2019, 76, 278–288. [Google Scholar] [CrossRef]
- Adey, W.H.; Kangas, P.C.; Mulbry, W. Algal Turf Scrubbing: Cleaning Surface Waters with Solar Energy while Producing a Biofuel. BioScience 2011, 61, 434–441. [Google Scholar] [CrossRef]
- Gao, F.; Yang, Z.H.; Li, C.; Zeng, G.M.; Ma, D.H.; Zhou, L. A novel algal biofilm membrane photobioreactor for attached microalgae growth and nutrients removal from secondary effluent. Bioresour. Technol. 2015, 179, 8–12. [Google Scholar] [CrossRef]
- Amini, E.; Babaei, A.; Mehrnia, M.R.; Shayegan, J.; Safdari, M.S. Municipal wastewater treatment by semi -continuous and membrane algal-bacterial photo-bioreactors. J. Water Process. Eng. 2020, 36, 8. [Google Scholar] [CrossRef]
- Shangguan, H.; Liu, J.; Zhu, Y.; Tong, Z.; Wu, Y. Start-up of a spiral periphyton bioreactor (SPR) for removal of COD and the characteristics of the associated microbial community. Bioresour. Technol. 2015, 193, 456–462. [Google Scholar] [CrossRef]
- Borderie, F.; Denis, M.; Barani, A.; Alaoui-Sosse, B.; Aleya, L. Microbial composition and ecological features of phototrophic biofilms proliferating in the Moidons Caves (France): Investigation at the single-cell level. Environ. Sci. Pollut. Res. 2016, 23, 12039–12049. [Google Scholar] [CrossRef] [PubMed]
- Li, S.S.; Wang, C.; Qin, H.J.; Li, Y.X.; Zheng, J.L.; Peng, C.R.; Li, D.H. Influence of phosphorus availability on the community structure and physiology of cultured biofilms. J. Environ. Sci. 2016, 42, 19–31. [Google Scholar] [CrossRef] [PubMed]
- Yang, J.; Shi, W.; Fang, F.; Guo, J.; Lu, L.; Xiao, Y.; Jiang, X. Exploring the feasibility of sewage treatment by algal-bacterial consortia. Crit. Rev. Biotechnol. 2020, 40, 169–179. [Google Scholar] [CrossRef] [PubMed]
- Zammit, G. Phototrophic biofilm communities and adaptation to growth on ancient archaeological surfaces. Ann. Microbiol. 2019, 69, 1047–1058. [Google Scholar] [CrossRef]
- Liu, J.; Sun, P.; Sun, R.; Wang, S.; Gao, B.; Tang, J.; Wu, Y.; Dolfing, J. Carbon-nutrient stoichiometry drives phosphorus immobilization in phototrophic biofilms at the soil-water interface in paddy fields. Water Res. 2019, 167, 115129. [Google Scholar] [CrossRef]
- Liu, X.Y.; Xu, X.Y.; Ma, Q.I.; Wu, W.H. Biological formation of 5-aminolevulinic acid by photosynthetic bacteria. J. Environ. Sci. 2005, 17, 152–155. [Google Scholar]
- Ma, X.Y.Y.; Dong, K.; Tang, L.; Wang, Y.K.; Wang, X.C.C.; Ngo, H.H.; Chen, R.; Wang, N. Investigation and assessment of micropollutants and associated biological effects in wastewater treatment processes. J. Environ. Sci. 2020, 94, 119–127. [Google Scholar] [CrossRef]
- Stal, L.J.; Bolhuis, H.; Cretoiu, M.S. Phototrophic marine benthic microbiomes: The ecophysiology of these biological entities. Environ. Microbiol. 2019, 21, 1529–1551. [Google Scholar] [CrossRef]
- ZoBell, C.E. The Effect of Solid Surfaces upon Bacterial Activity. J. Bacteriol. 1943, 46, 39–56. [Google Scholar] [CrossRef]
- Kang, D.; Zhao, Q.; Wu, Y.; Wu, C.; Xiang, W. Removal of nutrients and pharmaceuticals and personal care products from wastewater using periphyton photobioreactors. Bioresour. Technol. 2018, 248, 113–119. [Google Scholar] [CrossRef]
- Miranda, A.F.; Ramkumar, N.; Andriotis, C.; Höltkemeier, T.; Yasmin, A.; Rochfort, S.; Wlodkowic, D.; Morrison, P.; Roddick, F.; Spangenberg, G.; et al. Applications of microalgal biofilms for wastewater treatment and bioenergy production. Biotechnol. Biofuels 2017, 10, 120. [Google Scholar] [CrossRef] [PubMed]
- Wang, Y.; Tahir, N.; Cao, W.; Zhang, Q.; Lee, D.J. Grid columnar flat panel photobioreactor with immobilized photosynthetic bacteria for continuous photofermentative hydrogen production. Bioresour. Technol. 2019, 291, 121806. [Google Scholar] [CrossRef]
- Zippel, B.; Rijstenbil, J.; Neu, T.R. A flow-lane incubator for studying freshwater and marine phototrophic biofilms. J. Microbiol. Methods 2007, 70, 336–345. [Google Scholar] [CrossRef] [PubMed]
- Wu, Z.-l.; Yu, X.; Zhu, L.; Liu, B.; Shen, B.; Fu, L. Microbial biomass and activity in a full-scale O3-BAC filter. Huanjing Kexue 2010, 31, 1211–1214. [Google Scholar]
- Jiang, X.C.; Tu, Q.Y. Specification of Investigation of Lake Eutrophication; Chinese Environmental Science Publishing: Beijing, China, 1990. [Google Scholar]
- American Public Health Association. Standard Methods for the Examination of Water and Wastewater, 21st ed.; American Public Health Association: Washington, DC, USA, 2005. [Google Scholar]
- Fang, F.; Lu, W.T.; Shan, Q.; Cao, J.S. Characteristics of extracellular polymeric substances of phototrophic biofilms at different aquatic habitats. Carbohydr. Polym. 2014, 106, 1–6. [Google Scholar] [CrossRef]
- Wang, D.; Wang, M.; Luo, S. Aquatic Life Monitoring Manual; Southeast University Press: Nanjing, China, 1993. [Google Scholar]
- Wagner, K.; Bengtsson, M.M.; Findlay, R.H.; Battin, T.J.; Ulseth, A.J. High light intensity mediates a shift from allochthonous to autochthonous carbon use in phototrophic stream biofilms. J. Geophys. Res-Biogeo. 2017, 122, 1806–1820. [Google Scholar] [CrossRef]
- Carvalho, A.P.; Silva, S.O.; Baptista, J.M.; Malcata, F.X. Light requirements in microalgal photobioreactors: An overview of biophotonic aspects. Appl. Microbiol. Biotechnol. 2011, 89, 1275–1288. [Google Scholar] [CrossRef] [PubMed]
- Laspidou, C.S.; Rittmann, B.E. A unified theory for extracellular polymeric substances, soluble microbial products, and active and inert biomass. Water Res. 2002, 36, 2711–2720. [Google Scholar] [CrossRef]
- Xiao, R.; Zheng, Y. Overview of microalgal extracellular polymeric substances (EPS) and their applications. Biotechnol. Adv. 2016, 34, 1225–1244. [Google Scholar] [CrossRef] [PubMed]
- Rossi, F.; Micheletti, E.; Bruno, L.; Adhikary, S.P.; Albertano, P.; Philippis, R.D. Characteristics and role of the exocellular polysaccharides produced by five cyanobacteria isolated from phototrophic biofilms growing on stone monuments. Biofouling 2012, 28, 215–224. [Google Scholar] [CrossRef] [PubMed]
- Fang, F.; Xu, R.Z.; Wang, S.N.; Zhang, L.L.; Huang, Y.Q.; Luo, J.Y.; Feng, Q.; Cao, J.S. Characterization of interactions between a metabolic uncoupler O-chlorophenol and extracellular polymeric substances of activated sludge. Environ. Pollut. 2019, 247, 1020–1027. [Google Scholar] [CrossRef]
- Foulquier, A.; Morin, S.; Dabrin, A.; Margoum, C.; Mazzella, N.; Pesce, S. Effects of mixtures of dissolved and particulate contaminants on phototrophic biofilms: New insights from a PICT approach combining toxicity tests with passive samplers and model substances. Environ. Sci. Pollut. Res. 2015, 22, 4025–4036. [Google Scholar] [CrossRef] [PubMed]
- Ni, B.-J.; Yu, H.-Q. Microbial Products of Activated Sludge in Biological Wastewater Treatment Systems: A Critical Review. Crit. Rev. Environ. Sci. Technol. 2011, 42, 187–223. [Google Scholar] [CrossRef]
- Kesaano, M.; Sims, R.C. Algal biofilm based technology for wastewater treatment. Algal Res. 2014, 5, 231–240. [Google Scholar] [CrossRef]
- Carvalheira, M.; Oehmen, A.; Carvalho, G.; Reis, M.A.M. The effect of substrate competition on the metabolism of polyphosphate accumulating organisms (PAOs). Water Res. 2014, 64, 149–159. [Google Scholar] [CrossRef]
- Kumari, S.; Jose, S.; Jagadevan, S. Optimization of phosphate recovery as struvite from synthetic distillery wastewater using a chemical equilibrium model. Environ. Sci. Pollut. Res. 2019, 26, 30452–30462. [Google Scholar] [CrossRef]
- Li, S.-S.; Li, J.-H.; Xia, M.-S.; Meng, Y.-Y.; Zhang, H. Adsorption of nitrogen and phosphorus by intact cells and cell wall polysaccharides of Microcystis. J. Appl. Phycol. 2013, 25, 1539–1544. [Google Scholar] [CrossRef]
- Sharp, C.E.; Urschel, S.; Dong, X.; Brady, A.L.; Slater, G.F.; Strous, M. Robust, high-productivity phototrophic carbon capture at high pH and alkalinity using natural microbial communities. Biotechnol. Biofuels 2017, 10, 84. [Google Scholar] [CrossRef]
- Mantzorou, A.; Ververidis, F. Microalgal biofilms: A further step over current microalgal cultivation techniques. Sci. Total Environ. 2019, 651, 3187–3201. [Google Scholar] [CrossRef] [PubMed]
- Guzzon, A.; Bohn, A.; Diociaiuti, M.; Albertano, P. Cultured phototrophic biofilms for phosphorus removal in wastewater treatment. Water Res. 2008, 42, 4357–4367. [Google Scholar] [CrossRef] [PubMed]
- Wang, J.; Liu, W.; Liu, T. Biofilm based attached cultivation technology for microalgal biorefineries-A review. Bioresour. Technol. 2017, 244, 1245–1253. [Google Scholar] [CrossRef]
- Coutaud, M.; Méheut, M.; Viers, J.; Rols, J.-L.; Pokrovsky, O.S. Copper isotope fractionation during excretion from a phototrophic biofilm. Chem. Geol. 2019, 513, 88–100. [Google Scholar] [CrossRef]
- Abdelfattah, A.; Ali, S.S.; Ramadan, H.; El-Aswar, E.I.; Eltawab, R.; Ho, S.-H.; Elsamahy, T.; Li, S.; El-Sheekh, M.M.; Schagerl, M.; et al. Microalgae-based wastewater treatment: Mechanisms, challenges, recent advances, and future prospects. Environ. Sci. Ecotechnol. 2023, 13, 100205. [Google Scholar] [CrossRef]
- Leong, Y.K.; Chang, J.-S. Bioremediation of heavy metals using microalgae: Recent advances and mechanisms. Bioresour. Technol. 2020, 303, 122886. [Google Scholar] [CrossRef] [PubMed]






| Light Intensity | Chl-a (mg/m2) | Chl-b (mg/m2) | Chl-c (mg/m2) | Chl-a/Chl-b |
|---|---|---|---|---|
| 1500 lx | 70.4 ± 4.5 | 2.6 ± 0.2 | 7.7 ± 0.6 | 25.48 |
| 3000 lx | 72.6 ± 1.6 | 1.2 ± 0.1 | 8.0 ± 0.5 | 60.82 |
| 4500 lx | 90.1 ± 2.6 | 1.2 ± 0.1 | 8.0 ± 0.4 | 75.08 |
Disclaimer/Publisher’s Note: The statements, opinions and data contained in all publications are solely those of the individual author(s) and contributor(s) and not of MDPI and/or the editor(s). MDPI and/or the editor(s) disclaim responsibility for any injury to people or property resulting from any ideas, methods, instructions or products referred to in the content. |
© 2023 by the authors. Licensee MDPI, Basel, Switzerland. This article is an open access article distributed under the terms and conditions of the Creative Commons Attribution (CC BY) license (https://creativecommons.org/licenses/by/4.0/).
Share and Cite
Li, H.-Y.; Xu, R.; Liu, T.-F.; Hu, Z.-X. The Pretreatment of Micro-Polluted Source Water through Phototrophic Biofilms under Variant Light Conditions. Water 2023, 15, 621. https://doi.org/10.3390/w15040621
Li H-Y, Xu R, Liu T-F, Hu Z-X. The Pretreatment of Micro-Polluted Source Water through Phototrophic Biofilms under Variant Light Conditions. Water. 2023; 15(4):621. https://doi.org/10.3390/w15040621
Chicago/Turabian StyleLi, Hong-Yi, Runze Xu, Ting-Feng Liu, and Zhi-Xin Hu. 2023. "The Pretreatment of Micro-Polluted Source Water through Phototrophic Biofilms under Variant Light Conditions" Water 15, no. 4: 621. https://doi.org/10.3390/w15040621
APA StyleLi, H.-Y., Xu, R., Liu, T.-F., & Hu, Z.-X. (2023). The Pretreatment of Micro-Polluted Source Water through Phototrophic Biofilms under Variant Light Conditions. Water, 15(4), 621. https://doi.org/10.3390/w15040621

