Water Footprint Calculation, Effluent Characteristics and Pollution Impact Assessment of Leather Industry in Bangladesh
Abstract
1. Introduction
2. Materials and Methods
2.1. Experiments
2.1.1. Chemicals
2.1.2. Sample Collection and Analysis
2.2. Annual Pollution Load Calculation
2.3. Water Footprint Calculation Method
2.3.1. Water Footprint Calculation of Feed Crops
2.3.2. Water Footprint of Hides and Skins
2.3.3. Water Footprint of Leather Production (Tannery)
Blue Water Footprint of Leather Production (Tannery)
Grey Water Footprint of Leather Production (Tannery)
3. Results
3.1. Effluent Characteristics and Pollution Load of Leather Processing
3.1.1. Characteristics of Effluent from Different Stages
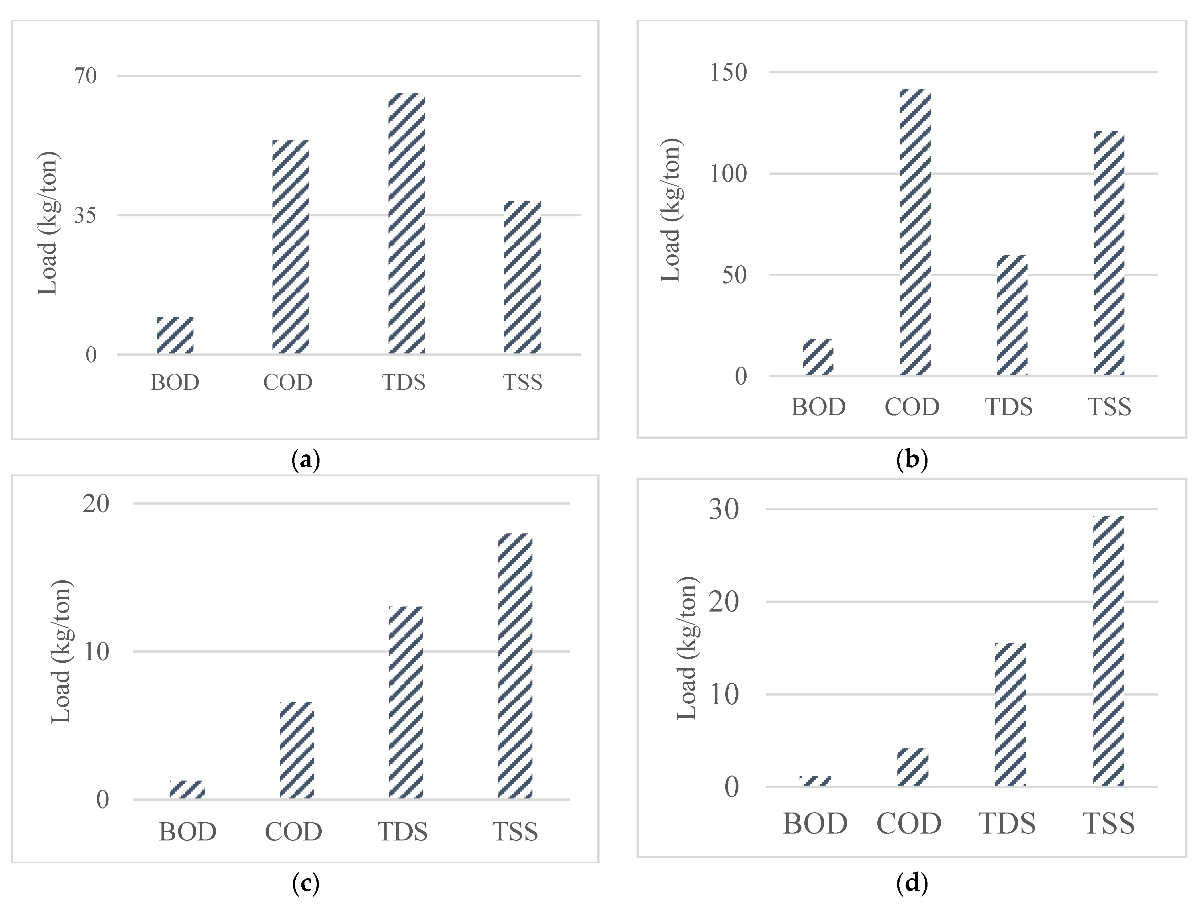
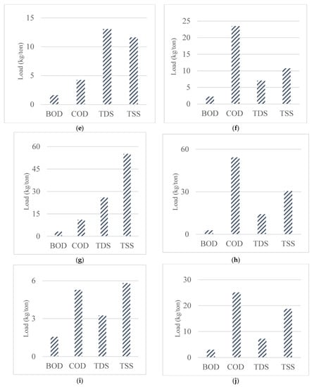
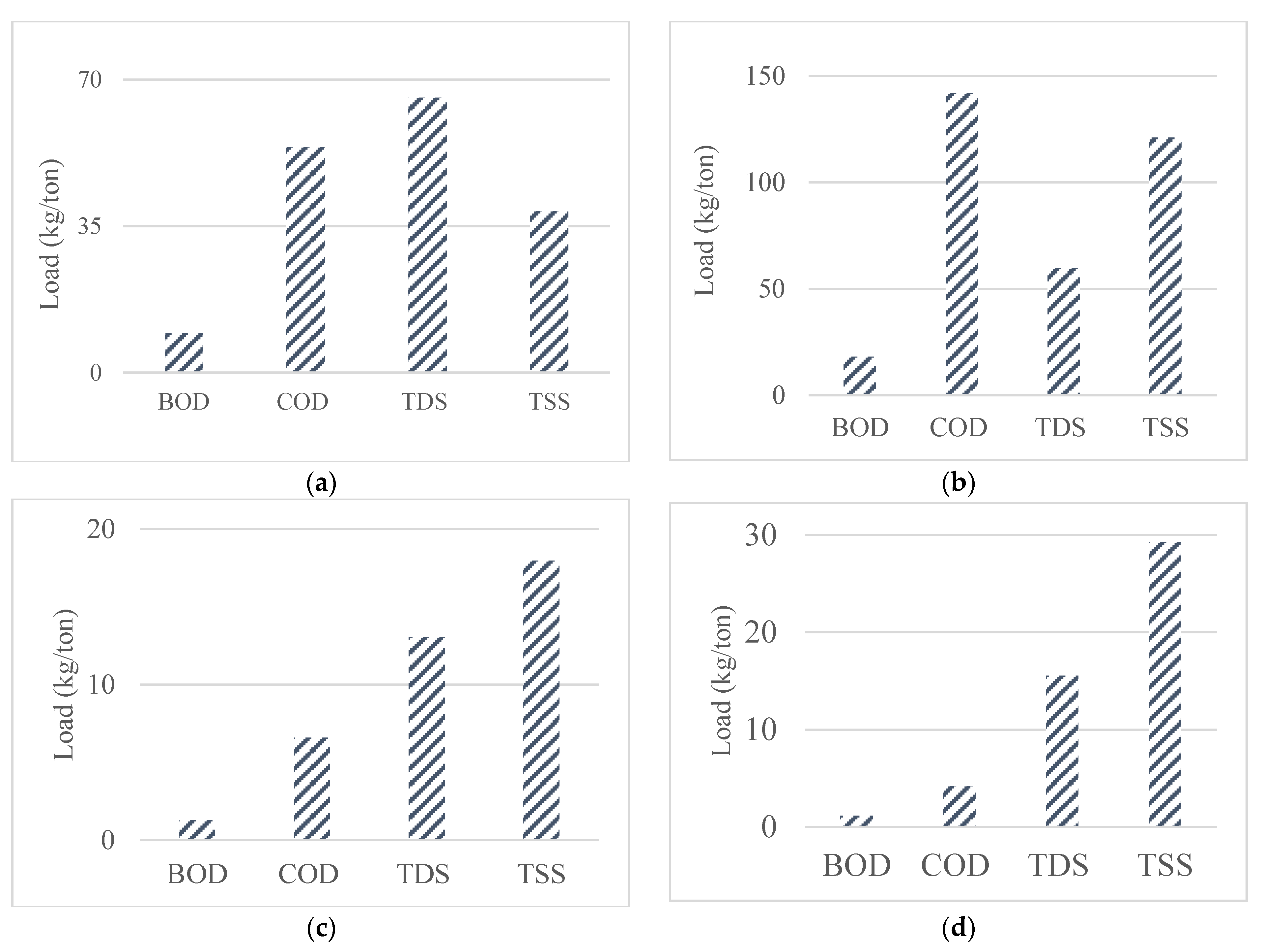
3.1.2. Pollution Load of Leather Processing
Beam House Operations
Tan Yard Operations
Post Tanning Operations
3.2. Water Footprint of Feed Crops and Raw Hides
3.2.1. Water Footprint of Feed Crops
3.2.2. Water Footprint of Bovine Hides and Skins
3.3. Water Footprint of Leather Processing Stages
3.3.1. Water Footprint of Beam House Operations
3.3.2. Water Footprint of Tan Yard Operations
3.3.3. Water Footprint of Post Tanning Operations
3.3.4. Water Footprint of Mechanical Operations
3.4. Water Footprint of Products
3.4.1. Water Footprint of Wet Blue Leather
3.4.2. Water Footprint of Crust Leather
3.4.3. Water Footprint of Finished Leather and Others
4. Discussion
4.1. Pollution Load Assessment
4.2. Pollution Impact Assessment
4.3. Water Footprint Assessment
4.3.1. Contribution of Farming Sector in Water Footprint of Leather
4.3.2. Contribution of Leather Processing in Water Footprint of Leather
5. Conclusions
Author Contributions
Funding
Institutional Review Board Statement
Informed Consent Statement
Data Availability Statement
Acknowledgments
Conflicts of Interest
Appendix A
- Blue and Green Water Footprint of Feed Crops
| Station | Crop Water Use (CWU) (mm) | |||||||||
|---|---|---|---|---|---|---|---|---|---|---|
| Green Grass | Rice | Wheat | Maize | Pulse | ||||||
| Blue | Green | Blue | Green | Blue | Green | Blue | Green | Blue | Green | |
| Barisal | 1879 | 258 | 1879 | 258 | 582 | 157 | 905 | 236 | 591 | 533 |
| Bogra | 1876 | 256 | 1876 | 256 | 618 | 122 | 927 | 228 | 638 | 492 |
| Comilla | 1799 | 333 | 1799 | 333 | 565 | 169 | 862 | 291 | 549 | 601 |
| Chittagong | 1912 | 324 | 1912 | 324 | 735 | 100 | 1023 | 256 | 613 | 517 |
| Dhaka | 1863 | 238 | 1863 | 238 | 548 | 182 | 865 | 287 | 626 | 421 |
| Dinajpur | 1952 | 230 | 1952 | 230 | 581 | 153 | 906 | 233 | 662 | 451 |
| Faridpur | 1747 | 301 | 1747 | 301 | 682 | 83 | 1002 | 191 | 520 | 528 |
| Jessore | 1812 | 284 | 1812 | 284 | 512 | 185 | 817 | 280 | 560 | 511 |
| Khulna | 1716 | 311 | 1716 | 311 | 538 | 178 | 868 | 259 | 475 | 567 |
| Mymensingh | 1842 | 150 | 1842 | 150 | 476 | 206 | 772 | 306 | 555 | 473 |
| Patuakhali | 1772 | 282 | 1772 | 282 | 571 | 99 | 904 | 155 | 442 | 602 |
| Rajshahi | 1769 | 297 | 1769 | 297 | 561 | 137 | 850 | 249 | 527 | 528 |
| Rangpur | 1867 | 148 | 1867 | 148 | 541 | 157 | 828 | 276 | 570 | 475 |
| Sylhet | 1752 | 383 | 1752 | 383 | 603 | 73 | 925 | 144 | -- | -- |
| Tangail | 1851 | 286 | 1851 | 286 | 571 | 167 | 896 | 262 | 591 | 542 |





| Crop Category | Fertilizers | Application Rate | Total Fertilizer Applied | Water Run off Amount | Volume of Grey Water |
|---|---|---|---|---|---|
| (kg/ha) | (× 106 ton/year) | Million (m3/year) | Million (m3/year) | ||
| Rice a | Cow dung | 20,000 | 3139 | 461.42 | 10,254 |
| Urea | 300 | 47.08 | 7.06 | 156.95 | |
| TSP | 97 | 15.22 | 0.30 | 6.77 | |
| MP | 120 | 18.83 | 1.56 | 34.74 | |
| Gypsum | 112 | 17.58 | 1.46 | 32.42 | |
| Zinc | 10 | 1.57 | 1.02 | 34,005 | |
| Wheat a | Urea | 220 | 23.66 | 4.13 | 82.66 |
| TSP | 150 | 16.13 | 0.28 | 5.65 | |
| MP | 100 | 10.76 | 0.19 | 3.77 | |
| Gypsum | 100 | 10.76 | 6.80 | 136.06 | |
| Borax | 6.5 | 0.70 | 0.03 | 0.58 | |
| Lime | 1000 | 23.66 | 4.13 | 82.66 | |
| Maize b | Cow dung | 5.5 | 0.86 | 0.13 | 2.54 |
| Urea | 464 | 72.82 | 10.92 | 218.47 | |
| TSP | 144 | 22.60 | 0.45 | 9.04 | |
| MP | 113 | 17.74 | 1.47 | 29.44 | |
| Mixed | 100 | 15.69 | 1.30 | 26.05 | |
| Gypsum | 89 | 13.97 | 9.19 | 183.82 | |
| Lime | 87 | 13.65 | 8.98 | 179.69 | |
| Insecticides | 352 | 55.25 | 2.10 | 41.99 | |
| Pulse a | Urea | 44 | 4.32 | 2.81 | 62.36 |
| TSP | 100 | 9.81 | 6.38 | 141.72 | |
| MP | 40 | 3.92 | 2.55 | 56.69 |
Appendix B
| Station | Volume of Water Use (million m3/year) | Production a (thousand ton/year) | Virtual Water Content (m3/ton) | ||
|---|---|---|---|---|---|
| Blue | Green | Blue | Green | ||
| Barisal | 114 | 16 | 227 | 456 | 63 |
| Bogra | 350 | 48 | 756 | 420 | 57 |
| Comilla | 289 | 53 | 616 | 426 | 79 |
| Chittagong | 121 | 21 | 214 | 515 | 87 |
| Dhaka | 88 | 11 | 201 | 397 | 51 |
| Dinajpur | 341 | 40 | 718 | 430 | 51 |
| Faridpur | 57 | 10 | 140 | 367 | 63 |
| Jessore | 288 | 45 | 654 | 399 | 63 |
| Khulna | 84 | 15 | 199 | 385 | 70 |
| Mymensingh | 482 | 39 | 1076 | 406 | 33 |
| Patuakhali | 5 | 1 | 6 | 682 | 108 |
| Rajshahi | 129 | 22 | 286 | 410 | 69 |
| Rangpur | 251 | 20 | 572 | 397 | 31 |
| Sylhet | 121 | 26 | 200 | 550 | 120 |
| Tangail | 308 | 48 | 683 | 409 | 63 |
| Station | Volume of Water Use (million m3/year) | Production a (million ton/year) | Virtual Water Content (m3/ton) | ||
|---|---|---|---|---|---|
| Blue | Green | Blue | Green | ||
| Barisal | 597 | 161 | 1.96 | 277 | 75 |
| Bogra | 1077 | 213 | 4.28 | 228 | 45 |
| Comilla | 794 | 238 | 3.23 | 223 | 67 |
| Chittagong | 2.94 | 0.40 | 0.01 | 381 | 52 |
| Chuadanga | 3089 | 1026 | 18.35 | 153 | 51 |
| Dhaka | 175 | 46 | 0.71 | 223 | 59 |
| Dinajpur | 13,080 | 1588 | 59.77 | 199 | 24 |
| Faridpur | 16,556 | 5995 | 103 | 146 | 53 |
| Jessore | 2202 | 729 | 12.34 | 162 | 54 |
| Khulna | 125 | 54 | 0.56 | 204 | 88 |
| Mymensingh | 1113 | 193 | 4.93 | 205 | 35 |
| Patuakhali | 21.33 | 5.20 | 0.04 | 496 | 121 |
| Rajshahi | 15,934 | 4638 | 92.48 | 156 | 46 |
| Rangpur | 1988 | 239 | 9.30 | 194 | 23 |
| Tangail | 3838 | 1123 | 17.15 | 203 | 59 |
| Sylhet | 54.60 | 9.68 | 0.19 | 261 | 46 |
| Station | Volume of Water Use (thousand m3/year) | Production a (thousand ton/year) | Virtual Water Content (m3/ton) | ||
|---|---|---|---|---|---|
| Blue | Green | Blue | Green | ||
| Barisal | 68 | 18 | 0.33 | 188 | 49 |
| Bogra | 8945 | 2200 | 58.05 | 140 | 34 |
| Comilla | 6102 | 2060 | 34.05 | 163 | 55 |
| Chittagong | 4.55 | 1.14 | 0.01 | 516 | 129 |
| Chuadanga | 41,284 | 13,688 | 399 | 94 | 31 |
| Dhaka | 3594 | 925 | 26.29 | 124 | 32 |
| Dinajpur | 57,832 | 11,044 | 446 | 118 | 22 |
| Faridpur | 238 | 81 | 2.14 | 101 | 35 |
| Jessore | 213 | 64 | 1.31 | 147 | 44 |
| Khulna | 22 | 9 | 0.14 | 143 | 57 |
| Mymensingh | 322 | 55 | 2.52 | 116 | 20 |
| Patuakhali | 42.32 | 12.37 | 0.18 | 210 | 61 |
| Rajshahi | 10,169 | 3386 | 70.24 | 131 | 44 |
| Rangpur | 15,527 | 2411 | 115 | 123 | 19 |
| Tangail | 620 | 181 | 3.79 | 148 | 43 |
| Station | Volume of Water Use (×105 m3/year) | Productiona (thousand ton/year) | Virtual Water Content (m3/ton) | ||
|---|---|---|---|---|---|
| Blue | Green | Blue | Green | ||
| Barisal | 137 | 124 | 16.64 | 748 | 675 |
| Bogra | 6.57 | 5.06 | 0.95 | 626 | 482 |
| Chittagong | 7.97 | 8.72 | 1.14 | 636 | 697 |
| Chuadanga | 13.72 | 11.56 | 2.24 | 557 | 469 |
| Dhaka | 9.04 | 6.08 | 1.31 | 626 | 421 |
| Dinajpur | 1.38 | 0.94 | 0.22 | 566 | 386 |
| Faridpur | 102 | 104 | 21.81 | 425 | 431 |
| Jessore | 60 | 54 | 10.84 | 499 | 456 |
| Khulna | 1.77 | 2.12 | 0.37 | 430 | 514 |
| Mymensingh | 4.06 | 3.46 | 0.77 | 481 | 410 |
| Patuakhali | 50 | 68 | 10.38 | 439 | 597 |
| Rajshahi | 109 | 110 | 28.04 | 353 | 355 |
| Rangpur | 0.82 | 0.69 | 0.16 | 458 | 382 |
| Tangail | 19.78 | 18.13 | 2.22 | 809 | 742 |
References
- Azom, M.R.; Mahmud, K.; Yahya, A.; Sontu, S.; Himon, S. Environmental Impact Assesment of Tanneries: A case Study of Hazaribag in Bangladesh. Int. J. Environ. Sci. Dev. 2012, 3, 151–156. [Google Scholar]
- Masi, C.; Getachew, G.; Mesfin, T. Isolation; screening; characterization, and identification of alkaline protease-producing bacteria from leather industry effluent. Ann. Microbiol. 2021, 71, 24. [Google Scholar] [CrossRef]
- Hansen, E.; Patrice, M.A.; Mariliz, G. Environmental assessment of water, chemicals and effluents in leather post-tanning process: A review. Environ. Impact Assess. Rev. 2021, 89, 106597. [Google Scholar] [CrossRef]
- Dixit, S.; Yadav, A.; Dwivedi, P.; Das, M. Toxic Hazards of Leather Industry and Technologies to Combat Threat: A Review. J. Clean. Prod. 2015, 87, 39–49. [Google Scholar] [CrossRef]
- Durai, G.; Rajasimmam, M. Biological treatment of tannery wastewater: A review. J. Environ. Sci. Technol. 2011, 4, 1–17. [Google Scholar] [CrossRef]
- Suman, H.; Vikas, K.S.; Manish, V. Treatment of tannery industry effluent by electrochemical methods: A review. Mater. Today Proc. 2021, 47, 1438–1444. [Google Scholar] [CrossRef]
- Sawalha, H.; Alsharabaty, R.; Sarsour, S.; Al-Jabari, M. Wastewater from leather tanning and processing in Palestine: Characterization and management aspects. J. Environ. Manag. 2019, 251, 109596. [Google Scholar] [CrossRef]
- Covington, A. Tanning Chemistry: The Science of Leather; RSC Publishing: Cambridge, UK, 2009. [Google Scholar]
- Berman, H.; Bella, J.; Brodsky, B. Hydration Structure of Collagen Peptide. Structure 1995, 3, 893–906. [Google Scholar]
- Akan, J.; Moses, E.; Ogugbuaja, V. Assessment of tannery industrial effluent from Kano metropolis. Asian Network for Scientific Information. J. Appl. Sci. 2007, 7, 2788–2793. [Google Scholar] [CrossRef]
- Hoekstra, A.Y.; Chapagain, A.K.; Aldaya, M.M.; Mekonnen, M.M. Water Footprint Mannual; Water Footprint Network: Enschede, The Netherlands, 2009. [Google Scholar]
- Laurenti, R.; Redwood, M.; Puig, R.; Frostell, B. Measuring the environmental footprint of leather processing technologies. J. Ind. Ecol. 2017, 21, 1180–1187. [Google Scholar] [CrossRef]
- Hou, S.; Liu, Y.; Zhao, X.; Tillotson, M.R.; Guo, W.; Li, Y. Blue and green water footprint assessment for China—A multi-region input–output approach. Sustainability 2018, 10, 2822. [Google Scholar] [CrossRef]
- Kumar, P.S.; Ngueagni, P.T.; Woumfo, E.D.; Vardhan, K.H. Water Footprint in Leather Tanning and Steel Production; Springer: Singapore, 2021; pp. 137–156. [Google Scholar]
- Hoekstra, A.; Chapagain, A.; Aldaya, M.; Mekonnen, M. Water Footprint Assessment Manual; Routledge: London, UK, 2011. [Google Scholar]
- EPB. Leather Export Data; Export Promotion Bureau: Dhaka, Bangladesh, 2020.
- LFMEAB. Export Performances of leather Sector in Bangladesh; Leather Goods and Footwear Manufacturers and Exporters Association of Bangladesh: Dhaka, Bangladesh, 2019. [Google Scholar]
- Fatemi, M.; Rahman, T. Regeneration of the Hazaribagh urban brownfield: An imperative for Dhaka’s sustainable urban development. Urani Izziv 2015, 2, 132–145. [Google Scholar] [CrossRef]
- Khondokar, B.H.; Rahman, M.M. Rapid Assessment of Hazaribagh and Savar Tanneries; South Asian Network on Economic Modeling (SANEM): Dhaka, Bangladesh, 2017. [Google Scholar]
- BBS. Yearbook of Agricutural Statistics—2016; Bangladesh Bureau of Statistics: Dhaka, Bangladesh, 2017.
- Buljan, J.; Reich, G.; Ludvik, J. Mass Balance in Leather Processing; UNIDO, South East Asia: Bangkok, Thailand, 2000. [Google Scholar]
- European Comission. Refecence Documents on Best Available Technique for the Tanning of Hides and Skins; Integrated Pollution Prevention and Control, IPPC: Rome, Italy, 2003.
- Franke, N.; Boyacioglu, H.; Hoekstra, A. Grey Water Footprint Accounting: Tier 1 Supporting Guidelines; Water Footprint Network: Enschede, The Netherlands, 2013. [Google Scholar]
- Hoekstra, A.; Chapagain, A. Globalization of Water: Sharing the Planet’s Freshwater Resources; Blackwell Publishing Ltd.: Oxford, UK, 2008. [Google Scholar]
- Hoekstra, A.Y.; Chapagain, A.K.; Aldaya, M.M.; Mekonnen, M.M. The Water Footprint Assessment Manual: Setting the Global Standard; Earthscan: London, UK, 2011. [Google Scholar]
- Mekonnen, M.M.; Hoekstra, A.Y. A global and high resolution assessment of the green, blue and grey water footprint of wheat. Hydrol. Earth Syst. Sci. 2010, 14, 1259–1276. [Google Scholar] [CrossRef]
- Mekonnen, M.; Hoekstra, A. The green, blue and grey water footprint of crops and derived crop products. Hydrol. Earth Syst. Sci. 2011, 15, 5. [Google Scholar] [CrossRef]
- Chapagain, A.K.; Hoekstra, A.Y. The Blue, Green and Grey Water Footprint of Rice from Production and Consumption Perspectives; Series No. 40; Delft, UNESCO-IHE: Delft, The Netherlands, 2010. [Google Scholar]
- Chapagain, A.; Hoekstra, A. Virtual Water Flows between Nations in Relation to Trade in Livestock and Livestock Products; Value of Water Research Report Series No. 13; UNESCO-IHE: Delft, The Netherlands, 2003. [Google Scholar]
- Chapagain, A.; Hoekstra, A. Water Footprints of Nations; Value of Water Research Report Series No. 16; UNESCO-IHE: Delft, The Netherlands, 2004. [Google Scholar]
- Chapagain, A.; Hoekstra, A. The water footprint of coffee and tea consumption in the Netherlands. Ecol. Econ. 2007, 64, 109–118. [Google Scholar] [CrossRef]
- Oki, T.; Kanae, S. Virtual water trade and world water resources. Water Sci. Technol. 2004, 49, 203–209. [Google Scholar] [CrossRef]
- Hoekstra, A.; Hung, P. Globalization of water resources: International virtual water flows in relation to crop trade. Glob. Environ. Change 2005, 15, 45–56. [Google Scholar] [CrossRef]
- Allen, R.; Pereira, L.; Raes, D.; Smith, M. Crop Evapotranspiration: Guidelines for Computing Crop Water Requirements; United Nations, FAO: New York, NY, USA, 1998. [Google Scholar]
- Huque, K.; Sarker, N. Feeds and feeding of livestock in Bangladesh: Performance, constraints and options forward. Bang. J. Anim. Sci. 2014, 43, 1–10. [Google Scholar] [CrossRef]
- Sarker, N.R.; Habib, A.; Bashar, M.K.; Amin, M.R.; Tabassum, F.; Yeasmin, D. Feeds and Forage Availability, Utilization and Management Practices for Livestock in Some Selected Coastal Areas of Bangladesh. J. Exp. Agric. Int. 2016, 14, 1–11. [Google Scholar] [CrossRef]
- Ali, M.; Hossain, M.; Akhter, S.; Islam, M.; Hashem, M. Effect of age on slaughterhouse by-products of indigenous cattle of Bangladesh. Bang. J. Anim. Sci. 2013, 42, 62–66. [Google Scholar] [CrossRef]
- Salehi, M.; Kadim, I.; Mahgoub, O.; Negahdari, S.; Naeeni, R.S.E. Effects of type, sex and age on goat skin and leather characteristics. Anim. Prod. Sci. 2014, 54, 638–644. [Google Scholar] [CrossRef]
- Parker, D.B.; Brown, M.S. Water Consumption for Livestock and Poultry Production. In Encyclopedia of Water Science; Marcel Dekker Inc.: New York, NY, USA, 2003. [Google Scholar]
- Khatun, M.; Amin, M.; Alam, M.; Khan, M. Effect of market age on production of goat meat and skin. Bang. J. Anim. Sci. 2013, 42, 67–70. [Google Scholar] [CrossRef]
- Sarkar, K. Theory and Practice of Leather Manufacture; Revised edition, second avenue; The Author: Madras, India, 1997. [Google Scholar]
- Hoekstra, A.; Chapagain, A.; Aldaya, M.; Mekonnen, M. Water Footprint Manual. Science Press: Enschede, The Netherlands, 2009; pp. 22–23. [Google Scholar]
- ECR. Environmental Conservation Rules; Department of Environment, Ministry of Environment and Forest: Dhaka, Bangladesh, 1997.
- BUET. Environmental Impact Assessment for Western Bangladesh Bridge Improvement Project; Department of Chemical Engineering, Bangladesh University of Engineering & Technology Bangladesh: Dhaka, Bangladesh, 2014. [Google Scholar]
- Islam, B.; Musa, A.; Ibrahim, E.; Sharafa, S.; Elfaki, B. Evaluation and characterization of tannery wastewater. J. For. Prod. Ind. 2014, 3, 141e150. [Google Scholar]
- Lofrano, G.; Aydin, E.; Russo, F.; Guida, M.; Belgiorno, V.; Meric, S. Characterization, fluxes and toxicity of leather tanning bath chemicals in a large tanning district area (IT). Water Air Soil 2008, 8, 529–542. [Google Scholar] [CrossRef]
- Tunay, O.; Kabdasli, I.; Orhon, D.; Ates, E. Characterization and pollution profile of leather tanning industry in Turkey. Water Sci. Technol. 1995, 32, 1–9. [Google Scholar] [CrossRef]
- Lofrano, G.; Meriç, S.; Zengin, G.E.; Orhon, D. Chemical and biological treatment technologies for leather tannery chemicals and wastewaters: A review. Sci. Total. Environ. 2013, 461–462, 265–281. [Google Scholar] [CrossRef] [PubMed]
- Genawi, N.M.; Ibrahim, M.H.; El-Naas, M.H.; Alshaik, A.E. Chromium removal from tannery wastewater by electrocoagulation: Optimization and sludge characterization. Water 2020, 12, 1374. [Google Scholar] [CrossRef]
- Prokkola, H.; Heponiemi, A.; Pesonen, J.; Kuokkanen, T.; Lassi, U. Reliability of Biodegradation Measurements for Inhibitive Industrial Wastewaters. ChemEngineering 2022, 6, 15. [Google Scholar] [CrossRef]
- Zakmout, A.; Sadi, F.; Portugal, C.A.M.; Crespo, J.G.; Velizarov, S. Tannery Effluent Treatment by Nanofiltration, Reverse Osmosis and Chitosan Modified Membranes. Membranes 2020, 10, 378. [Google Scholar] [CrossRef]
- Apaydin, O.; Kurt, U.; Gonullu, M. An investigation on tannery wastewater by electrocoagulation. Glob. Nest J. 2009, 11, 546–555. [Google Scholar]
- Kanagaraj, J.; Senthilvelan, T.; Panda, R.; Kavitha, S. Eco-friendly waste management strategies for greener environmenttowards sustainable development in leather industry: Acomprehensive review. J. Clean. Prod. 2015, 89, 1–17. [Google Scholar] [CrossRef]
- Karahan, O.; Dogruel, S.; Dulekgurgen, E.; Orhon, D. COD fractionation of tannery wastewaters—Particle size distribution, biodegradability and modeling. Water Res. 2008, 42, 1083–1092. [Google Scholar] [CrossRef]
- Lofrano, G.; Belgiorno, V.; Gallo, M.; Raimo, A.; Meric, S. Toxicity reduction in leather tanning wastewater by improved coagulation flocculation process. Glob. Nest J. 2006, 8, 151–158. [Google Scholar]
- Zotarelli, L.; Dukes, M.; Romero, C.; Migliaccio, K.; Morgan, K. Step by Step Calculation of the Penman–Monteith Evapotranspiration (FAO-56 Method) AE459; Agricultural and Biological Engineering Department, FAO: Rome, Italy, 2010. [Google Scholar]
- Dastane, N.G. Effective Rainfall in Irrigated Agriculture; Natural Resources Management and Environment Department, FAO: Rome, Italy, 1974. [Google Scholar]
- Shill, N.C.; Saleque, M.A.; Islam, M.R.; Jahiruddin, M. Soil Fertility Status of Some of The Intensive Crop Growing Areas Under Major Agro Ecological Zones of Bangladesh. Bangladesh J. Agril. Res. 2016, 41, 735–757. [Google Scholar] [CrossRef]
- Chowdhury, M.A.H.; Hassan, M.S. Hand Book of Agricultural Technology; Bangladesh Agricultural Research Council: Dhaka, Bangladesh, 2013; 230p.
- Forestry and Fisheries. Production Guideline for Wheat; Forestry and Fisheries, Department of Agriculture: Cape Town, Republic of South Africa, 2010.
- FAO. AQUASTAT On-Line Database. 2008. Available online: http://faostat.fao.org (accessed on 1 March 2019).
- Sacks, W.J.; Deryn, D.G.; Foley, J.A.; Ramankutty, N. Crop planting dates: An analysis of global patterns. Glob. Ecol. Biogeogr. 2010, 19, 607–620. [Google Scholar] [CrossRef]
- Portmann, F.T.; Siebert, S.; Döll; Mirca, P. Global monthly irrigated and rainfed crop areas around the year 2000: A new high-resolution data set for agricultural and hydrological modelling. Glob. Biogeochem. Cycles 2000, 24, GB1011. [Google Scholar] [CrossRef]
- Moniruzzaman, M.; Karim, M.; Alam, Q.M. Agro-Economic Analysis of Maize Production in Bangladesh: A Farm Level Study. Bangladesh J. Agril. Res. 2009, 34, 15–24. [Google Scholar] [CrossRef]

















| Main Stages | Sub Stages | Consumption Rate (%) |
|---|---|---|
| Soaking | Pre soaking | 300% of raw weight a |
| Main soaking | 300% of raw weight | |
| Washing | 100% of raw weight | |
| Liming | Bath | 300% of raw weight |
| Washing | 600% of raw weight | |
| Fleshing and unhairing | 3 kg of per 15 sq ft e | |
| Chemical Wash | Washing | 200% of pelt weight b |
| Deliming and Bating | Bath | 100% of pelt weight |
| Pickling and Tanning | Washing | 300% of pelt weight |
| Bath | 100% of pelt weight | |
| Wet back | Bath | 200% of wet blue shaved weight c |
| Rechroming | Washing | 200% of wet blue shaved weight |
| Bath | 100% of wet blue shaved weight | |
| Neutralization | Washing | 200% of wet blue shaved weight |
| Bath | 150% of wet blue shaved weight | |
| Retanning | Washing | 150% of wet blue shaved weight |
| Bath | 150% of wet blue shaved weight | |
| Fatliquoring | Bath | 150% of wet blue shaved weight |
| Dyeing | Bath | 200% of wet blue shaved weight |
| Top dyeing | 200% of wet blue shaved weight | |
| Washing | 200% of wet blue shaved weight | |
| Finishing | 0.02 kg of per 1 sq ft e crust leather d |
| Stages | Sub Stages | Effluent Volume (×105) (m3/year) | Pollutant Load | |
|---|---|---|---|---|
| BOD (mg/L) | COD (mg/L) | |||
| Soaking | Pre soaking | 4.14 | 2500 | 15,900 |
| Main soaking | 4.14 | 1810 | 9564 | |
| Washing | 2.15 | 1200 | 4667 | |
| Liming | Main Bath | 4.14 | 2500 | 59,698 |
| Washing | 12.9 | 2200 | 4462 | |
| Chemical Wash | Washing | 2.00 | 693 | 1184 |
| Deliming and Bating | Washing | 2.00 | 1980 | 10,258 |
| Pickling and Tanning | Main Bath | 0.99 | 1816 | 6523 |
| Wet back | Main Bath | 1.16 | 855 | 2254 |
| Rechroming | Washing | 0.58 | 2367 | 24,971 |
| Neutralization | Main Bath | 0.43 | 1440 | 5545 |
| Washing | 0.43 | 772 | 2322 | |
| Retanning | Main Bath | 0.43 | 1988 | 38,482 |
| Fatliquoring | Main Bath | 0.43 | 3147 | 26,034 |
| Dyeing | Main Bath | 0.29 | 2421 | 8208 |
| Ground water a | 3.00 | 10.00 | ||
| Surface water a | 5.00 | 15.00 | ||
| Water quality standard a | 12.00 | 200 | ||
| Stages | Sub Stages | pH | BOD (mg/L) | COD (mg/L) | TDS (mg/L) | TSS (mg/L) | |||||
|---|---|---|---|---|---|---|---|---|---|---|---|
| M a | SD b | M | SD | M | SD | M | SD | M | SD | ||
| Soaking | Pre soaking | 6.99 | 0.18 | 2500 | 320 | 15,900 | 7443 | 4440 | 978 | 1240 | 247 |
| Main soaking | 9.82 | 1.36 | 1810 | 278 | 9564 | 3552 | 17,078 | 7718 | 11,109 | 5547 | |
| Washing | 7.34 | 0.25 | 1200 | 266 | 4667 | 1032 | 17,078 | 3607 | 14,700 | 2699 | |
| Liming | Main Bath | 11.94 | 0.67 | 2500 | 555 | 59,698 | 25,353 | 14,720 | 6403 | 51,369 | 11,256 |
| Washing | 12.93 | 0.73 | 2200 | 238 | 4462 | 372 | 5210 | 1047 | 3670 | 782 | |
| Chemical Wash | Washing | 9.16 | 0.24 | 693 | 301 | 1184 | 210 | 2230 | 404 | 1240 | 201 |
| Deliming and Bating | Washing | 8.07 | 0.42 | 1980 | 644 | 10,258 | 6893 | 20,250 | 7393 | 27,942 | 5195 |
| Pickling and Tanning | Main Bath | 3.47 | 0.85 | 1816 | 451 | 6523 | 1906 | 24,148 | 13,548 | 45,488 | 27,457 |
| Wet back | Main Bath | 2.19 | 0.59 | 855 | 90 | 2254 | 739 | 6954 | 1292 | 6181 | 2388 |
| Rechroming | Washing | 3.85 | 0.37 | 2367 | 240 | 24,971 | 18,217 | 7493 | 2175 | 11,431 | 8752 |
| Neutralization | Main Bath | 4.69 | 1.07 | 1440 | 261 | 5545 | 1188 | 9085 | 4632 | 12,017 | 11,719 |
| Washing | 5.03 | 0.52 | 772 | 216 | 2322 | 192 | 4030 | 493 | 2895 | 95 | |
| Retanning | Main Bath | 5.50 | 1.01 | 1988 | 628 | 38,482 | 19,374 | 10,053 | 1996 | 21,651 | 6174 |
| Fatliquoring | Main Bath | 4.98 | 1.84 | 3147 | 139 | 26,034 | 15,417 | 7493 | 2857 | 19,477 | 13,493 |
| Dyeing | Main Bath | 4.47 | 0.96 | 2421 | 489 | 8208 | 1139 | 5057 | 3340 | 9039 | 6364 |
Disclaimer/Publisher’s Note: The statements, opinions and data contained in all publications are solely those of the individual author(s) and contributor(s) and not of MDPI and/or the editor(s). MDPI and/or the editor(s) disclaim responsibility for any injury to people or property resulting from any ideas, methods, instructions or products referred to in the content. |
© 2023 by the authors. Licensee MDPI, Basel, Switzerland. This article is an open access article distributed under the terms and conditions of the Creative Commons Attribution (CC BY) license (https://creativecommons.org/licenses/by/4.0/).
Share and Cite
Humayra, S.; Hossain, L.; Hasan, S.R.; Khan, M.S. Water Footprint Calculation, Effluent Characteristics and Pollution Impact Assessment of Leather Industry in Bangladesh. Water 2023, 15, 378. https://doi.org/10.3390/w15030378
Humayra S, Hossain L, Hasan SR, Khan MS. Water Footprint Calculation, Effluent Characteristics and Pollution Impact Assessment of Leather Industry in Bangladesh. Water. 2023; 15(3):378. https://doi.org/10.3390/w15030378
Chicago/Turabian StyleHumayra, Sumaya, Laila Hossain, Selim Reza Hasan, and Mohidus Samad Khan. 2023. "Water Footprint Calculation, Effluent Characteristics and Pollution Impact Assessment of Leather Industry in Bangladesh" Water 15, no. 3: 378. https://doi.org/10.3390/w15030378
APA StyleHumayra, S., Hossain, L., Hasan, S. R., & Khan, M. S. (2023). Water Footprint Calculation, Effluent Characteristics and Pollution Impact Assessment of Leather Industry in Bangladesh. Water, 15(3), 378. https://doi.org/10.3390/w15030378

