Assessment of Wave Energy Converters Based on Historical Data from a Given Point in the Sea
Abstract
1. Introduction
2. Materials and Methods
3. Case Study
3.1. Data Source
3.2. Converters Studied
3.3. Assessment of the Daily Converted Power
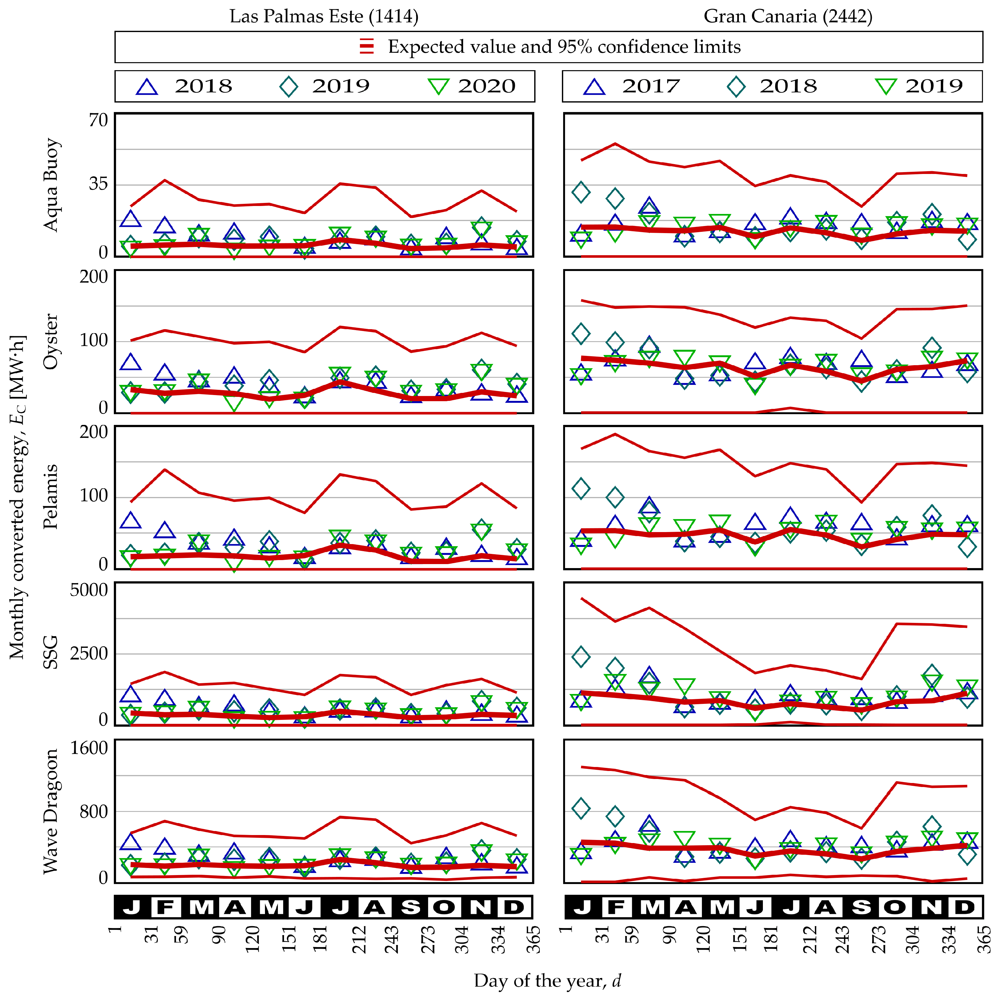
3.4. Assessment of the Monthly Converted Energy
4. Concluding Remarks
Author Contributions
Funding
Data Availability Statement
Acknowledgments
Conflicts of Interest
References
- Seminario-Córdova, R.; Rojas-Ortega, R. Renewable energy sources and energy production: A bibliometric analysis of the last five years. Sustainability 2023, 15, 10499. [Google Scholar] [CrossRef]
- Rehman, S.; Alhems, L.M.; Alam, M.M.; Wang, L.; Toor, Z. A review of energy extraction from wind and ocean: Technologies, merits, efficiencies, and cost. Ocean Eng. 2023, 267, 113192. [Google Scholar] [CrossRef]
- Bergsma, E.W.J.; Almar, R.; Anthony, E.J.; Garlan, T.; Kestenare, E. Wave variability along the world’s continental shelves and coasts: Monitoring opportunities from satellite Earth observation. Adv. Space Res. 2022, 69, 3236–3244. [Google Scholar] [CrossRef]
- Zheng, C. An overview and countermeasure of global wave energy classification. Sustainability 2023, 15, 9586. [Google Scholar] [CrossRef]
- Christie, D.; Neill, S.P.; Arnold, P. Characterising the wave energy resource of Lanzarote, Canary Islands. Renew. Energy 2023, 206, 1198–1211. [Google Scholar] [CrossRef]
- Ocean Energy Europe. Ocean Energy Key Trends and Statistics. 2022. Available online: https://www.oceanenergy-europe.eu/wp-content/uploads/2023/03/Ocean-Energy-Key-Trends-and-Statistics-2022.pdf (accessed on 26 August 2023).
- Canary Government. Energetic Yearbook of the Canary Islands. 2019. Available online: http://www.gobiernodecanarias.org/istac/jaxi-istac/menu.do?uripub=urn:uuid:131cf873-66a9-408d-8cfa537d6be0506 (accessed on 3 September 2022).
- Avila, D.; Quiza, R.; Marichal, G.N. An approach for evaluating the stochastic behaviour of wave energy converters. Appl. Ocean Res. 2022, 129, 103372. [Google Scholar] [CrossRef]
- Veigas, M.; Iglesias, G. Wave and offshore wind potential for the island of Tenerife. Energy Convers. Manag. 2013, 76, 738–745. [Google Scholar] [CrossRef]
- Avila, D.; Marichal, G.N.; Quiza, R.; San Luis, F. Prediction of wave energy transformation capability in isolated islands by using the Monte Carlo method. J. Mar. Sci. Eng. 2021, 9, 980. [Google Scholar] [CrossRef]
- Padrón, I.; García, M.; Marichal, G.; Avila, D. Wave energy potential of the Coast of El Hierro Island for the exploitation of a Wave Energy Converter (WEC). Sustainability 2022, 14, 12139. [Google Scholar] [CrossRef]
- Goncalves, M.; Martinho, P.; Soares, C.G. Assessment of wave energy in the Canary Islands Renewable Energy. Renew. Energy 2014, 68, 774–784. [Google Scholar] [CrossRef]
- Reikard, G. Integrating wave energy into the power grid: Simulation and forecasting. Ocean Eng. 2013, 73, 168–178. [Google Scholar] [CrossRef]
- Cavaleri, L.; Alves, J.H.; Ardhuin, F.; Babanin, A.; Banner, M.; Belibassakis, K.; Benoit, M.; Donelan, M.; Groeneweg, J.; Herbers, T.; et al. Wave modelling: The state of the art. Prog. Oceanogr. 2007, 75, 603–674. [Google Scholar] [CrossRef]
- Akpinar, A.; Komurcu, M.I. Assessment of wave energy resource of the Black Sea based on 15-year numerical hindcast data. Appl. Energy 2013, 101, 502–512. [Google Scholar] [CrossRef]
- Roy, S. Analytical estimates of short duration mean power output and variability for deepwater wave power generation. Energy 2021, 230, 120820. [Google Scholar] [CrossRef]
- Pinardi, N.; Cavaleri, L.; Coppini, G.; DeMey, P.; Fratianni, C.; Huthnance, J.; Lermusiaux, P.F.J.; Navarra, A.; Preller, R.; Tibaldi, S. From weather to ocean predictions: An historical viewpoint. J. Mar. Res. 2017, 75, 103–159. [Google Scholar] [CrossRef][Green Version]
- Ali, M.; Prasad, R.; Xiang, Y.; Deo, R.C. Near real-time significant wave height forecasting with hybridized multiple linear regression algorithms. Renew. Sustain. Energy Rev. 2020, 132, 110003. [Google Scholar] [CrossRef]
- Aderinto, T.; Li, H. Ocean wave energy converters: Status and challenges. Energies 2018, 11, 1250. [Google Scholar] [CrossRef]
- Ringwood, J.V.; Bacelli, G.; Fusco, F. Energy-maximizing control of wave-energy converters: The development of control system technology to optimize their operation. IEEE Control Syst. Mag. 2014, 34, 30–55. [Google Scholar] [CrossRef]
- Bento, P.M.R.; Pombo, J.A.N.; Mendes, R.P.G.; Calado, M.R.A.; Mariano, S.J.P.S. Ocean wave energy forecasting using optimised deep learning neural networks. Ocean Eng. 2021, 219, 108372. [Google Scholar] [CrossRef]
- Oliver, J.; Esteban, M.; López-Gutiérrez, J.S.; Negro, V.; Neves, M. Optimizing wave overtopping energy converters by ANN modelling: Evaluating the overtopping rate forecasting as the first step. Sustainability 2021, 13, 1483. [Google Scholar] [CrossRef]
- Anh, N.; Suresh, S.; Pratama, M.; Srikanth, N. Interval prediction of wave energy characteristics using meta-cognitive interval type-2 fuzzy inference system. Knowl.-Based Syst. 2019, 169, 28–38. [Google Scholar] [CrossRef]
- Avila, D.; Marichal, G.N.; Padrón, I.; Quiza, R.; Hernández, A. Forecasting of wave energy in Canary Islands based on artificial intelligence. Appl. Ocean Res. 2020, 101, 102189. [Google Scholar] [CrossRef]
- Londhe, S.N.; Shah, S.; Dixit, P.R.; Nair, T.M.B.; Sirisha, P.; Jain, R. A coupled numerical and artificial neural network model for improving location specific wave forecast. Appl. Ocean Res. 2016, 59, 483–491. [Google Scholar] [CrossRef]
- Lu, H.; Xi, D.; Ma, X.; Zheng, S.; Huang, C.; Wei, N. Hybrid machine learning models for predicting short-term wave energy flux. Ocean Eng. 2022, 264, 112258. [Google Scholar] [CrossRef]
- Hong, T.; Pinson, P.; Wang, Y.; Weron, R.; Yang, D.; Zareipour, H. Energy forecasting: A review and outlook. IEEE Open Access J. Power Energy 2020, 7, 376–388. [Google Scholar] [CrossRef]
- Huang, W.; Dong, S. Improved short-term prediction of significant wave height by decomposing deterministic and stochastic components. Renew. Energy 2021, 177, 743–758. [Google Scholar] [CrossRef]
- Pourali, M.; Kavianpour, M.R.; Kamranzad, B.; Alizadeh, M.J. Future variability of wave energy in the Gulf of Oman using a high resolution CMIP6 climate model. Energy 2023, 262, 125552. [Google Scholar] [CrossRef]
- Wu, F.; Zhou, N.P.; Ju, P.; Zhang, X.P. Wind-wave coupling model for wave energy forecast. IEEE Trans. Sustain. Energy 2019, 10, 586–595. [Google Scholar] [CrossRef]
- Shi, S.; Patton, R.J.; Liu, Y. Short-term wave forecasting using Gaussian process for optimal control of wave energy converters. IFAC-PapersOnLine 2018, 51, 44–49. [Google Scholar] [CrossRef]
- Ahn, S. Modeling mean relation between peak period and energy period of ocean surface wave systems. Ocean Eng. 2021, 228, 108937. [Google Scholar] [CrossRef]
- De Souza, G.F.M.; Caminada Netto, A.; de Andrade Melani, A.H.; de Carvalho Michalski, M.A.; da Silva, R.F. Chapter 5—Engineering systems fault detection methods. In Reliability Analysis and Asset Management of Engineering Systems; de Souza, G.F.M., Caminada Netto, A., de Andrade Melani, A.H., de Carvalho Michalski, M.A., da Silva, R.F., Eds.; Elsevier: Amsterdam, The Netherlands, 2022; pp. 119–164. [Google Scholar] [CrossRef]
- Xie, Y.; Peng, L.; Chen, Z.; Yang, B.; Zhang, H.; Zhang, H. Generative learning for imbalanced data using the Gaussian mixed model. Appl. Soft Comput. 2019, 79, 439–451. [Google Scholar] [CrossRef]
- Xing, Y.; Lv, C.; Cao, D. Chapter 7—Longitudinal Driver Intention Inference. In Advanced Driver Intention Inference; Xing, Y., Lv, C., Cao, D., Eds.; Elsevier: Amsterdam, The Netherlands, 2020; pp. 157–191. [Google Scholar] [CrossRef]
- Chanan, S.; Panida, J.; Joydeep, M. Monte Carlo Simulation. In Electric Power Grid Reliability Evaluation; John Wiley and Sons, Ltd.: Hoboken, NJ, USA, 2018; Chapter 6; pp. 165–183. [Google Scholar] [CrossRef]
- Stevens, A. Monte-Carlo Simulation: An Introduction for Engineers and Scientists, 1st ed.; CRC Press: Boca Raton, FL, USA, 2022. [Google Scholar] [CrossRef]
- Atsuyuki Okabe, T.S.; Sugihara, K. A kernel density estimation method for networks, its computational method and a GIS-based tool. Int. J. Geogr. Inf. Sci. 2009, 23, 7–32. [Google Scholar] [CrossRef]
- Harbors of State (Puertos del Estado). Red de Boyas de Aguas Profundas: Informe de Datos de la Boya de Gran Canaria. 2019. Available online: https://bancodatos.puertos.es/BD/informes/anuales/2/2442I19.pdf (accessed on 15 April 2023).
- Harbors of State (Puertos del Estado). Red Costera de Boyas: Informe de Datos de la Boya de Las Palmas II (Este). 2019. Available online: https://bancodatos.puertos.es/BD/informes/anuales/1/1414O19.pdf (accessed on 15 April 2023).
- Harbors of State (Puertos del Estado). Data SeT: REDEXT (Conjunto de Datos: REDEXT). 2015. Available online: https://bancodatos.puertos.es/BD/informes/INT_2.pdf (accessed on 11 April 2021).
- Silva, D.; Rusu, E.; Soares, C.G. Evaluation of various technologies for wave energy conversion in the Portuguese nearshore. Energies 2013, 6, 1344–1364. [Google Scholar] [CrossRef]
- Ahamed, R.; McKee, K.; Howard, I. Advancements of wave energy converters based on power take off (PTO) systems: A review. Ocean Eng. 2020, 204, 107248. [Google Scholar] [CrossRef]
- Bertram, D.; Tarighaleslami, A.; Walmsley, M.; Atkins, M.; Glasgow, G. A systematic approach for selecting suitable wave energy converters for potential wave energy farm sites. Renew. Sustain. Energy Rev. 2020, 132, 110011. [Google Scholar] [CrossRef]







Disclaimer/Publisher’s Note: The statements, opinions and data contained in all publications are solely those of the individual author(s) and contributor(s) and not of MDPI and/or the editor(s). MDPI and/or the editor(s) disclaim responsibility for any injury to people or property resulting from any ideas, methods, instructions or products referred to in the content. |
© 2023 by the authors. Licensee MDPI, Basel, Switzerland. This article is an open access article distributed under the terms and conditions of the Creative Commons Attribution (CC BY) license (https://creativecommons.org/licenses/by/4.0/).
Share and Cite
Avila, D.; Cuba Arana, Y.; Quiza, R.; Marichal, G.N. Assessment of Wave Energy Converters Based on Historical Data from a Given Point in the Sea. Water 2023, 15, 4075. https://doi.org/10.3390/w15234075
Avila D, Cuba Arana Y, Quiza R, Marichal GN. Assessment of Wave Energy Converters Based on Historical Data from a Given Point in the Sea. Water. 2023; 15(23):4075. https://doi.org/10.3390/w15234075
Chicago/Turabian StyleAvila, Deivis, Yanelys Cuba Arana, Ramón Quiza, and G. Nicolás Marichal. 2023. "Assessment of Wave Energy Converters Based on Historical Data from a Given Point in the Sea" Water 15, no. 23: 4075. https://doi.org/10.3390/w15234075
APA StyleAvila, D., Cuba Arana, Y., Quiza, R., & Marichal, G. N. (2023). Assessment of Wave Energy Converters Based on Historical Data from a Given Point in the Sea. Water, 15(23), 4075. https://doi.org/10.3390/w15234075

