Abstract
Wastewaters and leachates from various inland resource extraction activities contain high ionic concentrations and differ in ionic composition, which complicates the understanding and effective management of their relative risks to stream ecosystems. To this end, we conducted a stream mesocosm dose–response experiment using two dosing recipes prepared from industrial salts. One recipe was designed to generally reflect the major ion composition of deep well brines (DWB) produced from gas wells (primarily Na+, Ca2+, and Cl−) and the other, the major ion composition of mountaintop mining (MTM) leachates from coal extraction operations (using salts dissociating to Ca2+, Mg2+, Na+, SO42− and HCO3−)—both sources being extensive in the Central Appalachians of the USA. The recipes were dosed at environmentally relevant nominal concentrations of total dissolved solids (TDS) spanning 100 to 2000 mg/L for 43 d under continuous flow-through conditions. The colonizing native algal periphyton and benthic invertebrates comprising the mesocosm ecology were assessed with response sensitivity distributions (RSDs) and hazard concentrations (HCs) at the taxa, community (as assemblages), and system (as primary and secondary production) levels. Single-species toxicity tests were run with the same recipes. Dosing the MTM recipe resulted in a significant loss of secondary production and invertebrate taxa assemblages that diverged from the control at all concentrations tested. Comparatively, intermediate doses of the DWB recipe had little consequence or increased secondary production (for emergence only) and had assemblages less different from the control. Only the highest dose of the DWB recipe had a negative impact on certain ecologies. The MTM recipe appeared more toxic, but overall, for both types of resource extraction wastewaters, the mesocosm responses suggested significant changes in stream ecology would not be expected for specific conductivity below 300 µS/cm, a published aquatic life benchmark suggested for the region.
1. Introduction
Resource extraction activities in inland environments, such as surface or longwall mining for coal, hard rock mining, coal bed methane extraction, and drilling for oil or gas, produce wastewater; be they fluids emanating with the extraction itself or leachates from the weathering of spoiled materials. These wastewaters are elevated in major ions; i.e., Na+, Ca2+, Mg2+, Cl−, SO42−, and HCO3− [1]. When the composition and total amounts of the ions change from natural background, the ecological structure and function of receiving waters are affected [2,3,4,5]. This is because the ionic concentration and composition dictate relative ionic gradients across cell membranes that affect the homeostasis of pH, water balance, and anions and cations essential for all cellular functions of aquatic life [6,7,8,9]. The high ionic wastewater may pose physiological stress to intolerant organisms in streams while more tolerant species persist and may even thrive with higher ionic concentrations. If discharges are chronic, tolerant taxa may become dominant. The taxa assemblage changes and loss of intolerant taxa adversely affect regional species biodiversity [10,11] and potentially ecosystem function [12,13,14]. Small streams are particularly threatened ecosystems because they often are the first recipients of excess major ion discharges from resource extraction activity [4].
Aquatic organisms spanning osmotrophs and primary producers at the base of the stream food web to grazing consumers and predators have evolved different ionic strength (IS) optima [15,16,17]. The optima are often expressed in terms of specific conductivity (SpCond), which is routinely used as an indicator of relative ionic strength in water quality monitoring because ion composition and concentration affect a solution’s ability to conduct electricity [18,19]. Although measuring SpCond is common, total dissolved solids (TDS) is frequently a compliance requirement for wastewater and industrial treatment discharge permits [1]. This is because TDS can more readily be used in mixing calculations and for quantifying reduction requirements or treatment efficiencies. Therefore, research supporting the assessment and management of solutions with excess major ions needs to consider different requirements and standards of practice for monitoring and mitigation. As part of this, the background ionic content of streams also needs to be considered when assessing if excesses of major ions are causing biotic impairment [18,20,21].
In the Central Appalachian highlands of the USA where natural waters have a relatively dilute background ionic strength, shale gas is extracted via deep-well drilling using hydraulic fracturing techniques. This produces wastewaters resembling brines, as the shale deposits were formed from sedimentary and evaporative processes in ancient sea beds, dominated by Na+ and Cl− ions with TDS content >100,000 mg/L, [22]. Henceforth, we refer to these wastewaters as deep well brines (DWB), and a 500 mg/L TDS target has been used for risk management of these wastewaters [23,24]. In this region, coal mining activities producing leachates high in concentrations of Ca2+, Mg2+, SO42−, and HCO3− are also common. These mountain-top mining (MTM) discharges lead to significant loss of insect species and to communities dominated by more salt-tolerant species when SpCond is >250 µS/cm and TDS is >100 mg/L [25,26,27]. These effect levels are lower than the corresponding SpCond and TDS values associated with salinization studies focusing on Cl− dominated excesses [28,29], suggesting that in the absence of other toxicants, stream communities would be less sensitive to the ionic content of the DWBs compared to the MTM leachates. With the more recent increase in deep-well drilling for natural gas and the associated increase in produced waters needing proper treatment and disposal [30], establishing the relative sensitivities from these different types of resource extraction activities has become critical to water quality management in the region [31].
Species sensitivity distributions (SSDs) [32] and water quality criteria [33] are conventionally compiled from responses of laboratory-cultured species in single-species exposure tests. Significant attention has been paid to determining the acute and chronic effective concentrations (ECs) for nearly all major ions separately and as binary mixtures from controlled exposures of culturable test species. The relative toxicity of the mixture depends on the composition of ions [20,34,35]. However, hazard concentrations (HCs) calculated from SSDs based on culturable species do not often account for the appropriateness of species types and their relative sensitivities that depends on the environmental setting under evaluation whereas field observational approaches do.
Field-based methods have been used to develop benchmarks for specific conductivity: for which, there are two approved U.S. Environmental Protection Agency (USEPA) methods for estimating a stream invertebrate effect endpoint as the SpCond level above which a genus rarely occurs, termed the extirpation concentration at the 95th centile (XC95) and the HC assemblage level effect as the 5th centile of distribution of XC95 values (i.e., XCD05) [21,27]. One method estimates the individual and assemblage effect levels using large paired sets of biological and SpCond data [27]. The second predicts the assemblage effect level where data is scarce using paired data from 24 different ecoregions and a regional background SpCond equal to the 25th centile of each ecoregion’s SpCond distribution [21]. Although these field observational methods provide greater realism, causal effects from changes in the ionic composition may be difficult to disentangle from the contribution of other anthropogenic stressors or natural disturbances [36]. Additionally, these field observational effect levels tend to be lower than those obtained from single species toxicity tests for exposures dominated by sulfate and bicarbonate ions raising questions about appropriate assessment endpoints.
Exposure approaches using native taxa from the field include rapid tests with single species or the use of mesocosms. These approaches provide more realism than culturable species toxicity tests while controlling for more potential confounders than studies using field observations, e.g., Kefford [37], and Brent, et al. [38]. However, the transfer from field to lab or mesocosm introduces its own uncertainty due to transfer stress, unknown antecedent exposures, and other factors. Mesocosm studies, in particular, provide a potential way to increase realism by the potential for accounting of biotic and abiotic interactions while decreasing potential confounding that could help resolve disputes about the relevance of conventional toxicity testing and results from field survey data. Indeed, controlled stream mesocosm tests centered on the dosing of salt solutions have helped validate the results from the bench-scale and field-based studies while elucidating potentially important ecological control mechanisms, e.g., [5,29,39,40].
To help address questions and concerns about validating the relative degree of impairments caused by excesses in, and different mixtures of, major ions in discharges of resource extraction wastewaters, we conducted a stream mesocosm study. We developed two dosing recipes designed to generally represent the dominant ionic composition of DWB and MTM discharges and dosed replicated mesocosm communities for 42 days. The central goals for the mesocosm study were to (1) determine if benthic communities react differently to the different recipes using a gradient of dosing concentrations for both and making measurements at multiple levels of ecological organization and (2) determine how the response sensitivities compare to proposed protective levels of TDS and SpCond for Central Appalachian streams where coal mining and gas extraction activities have been taking place for decades (500 mg/L and 300 µS/cm, respectively). The study was conducted with recipes for the doses and the targeted concentrations relevant to a real-world water quality assessment and management problem and could be generally applicable to areas where potential impacts from deep well resource extraction, as well as surface or near-surface coal mining are occurring simultaneously.
We report responses in terms of taxa-level, community-level, and system-level measures of mesocosm ecology. We included single-species toxicity assays in the study to directly address the question of how culturable test species’ responses compare to native biotic responses to the same dosing solutions and conditions. The fact that responses representing multiple levels of ecological organization are addressed and can be compared to the responses of culturable species across two different dosing recipes represents a novelty among stream mesocosm studies. Additionally, unique to this study is the statistical treatment for characterizing results: Significant responses were defined as effective concentrations (ECs) from dose–response modeling (DRM), which were ranked using response sensitivity distributions (RSDs akin to SSDs) for each of the levels of ecological organization and from which HCs were estimated. We derived ECs and HCs in terms of both SpCond and ionic strength (IS) separately and to help determine the potential relevance of the measure of ionic content to gauging potential risk under field conditions. Finally, we express the HCs in terms of the composition of their dominant ions and as TDS to support comparisons with other efforts that assess the effect of excess major ions on stream communities.
2. Materials and Methods
2.1. Experimental Design
We paired whole community mesocosm exposures of native biota with both in situ and bench-scale single-species tests so that their responses could be more directly compared. We hypothesized that a 500 mg/L instream target TDS concentration would be protective of aquatic life for both the DWB and MTM recipes. Based on our analysis of the permitted WWTP oil and gas discharges in WV and PA (see Supplementary Materials text and Table S3), the receiving waters for discharges were characterized by somewhat higher background conductivities than pristine headwater conditions within the same region. Therefore, we set our background TDS target that would be used as our control treatment in the mesocosm study at approximately 100 mg/L.
The mesocosm experiment was conducted at the USEPA’s Experimental Stream Facility (ESF) in Milford, OH, United States. Sixteen mesocosms were used for the experiment, with two replicate mesocosms per treatment. We favored the DWB recipe for maximizing the number of individual treatments (i.e., doses) because of the accelerated activities producing excess TDS discharges of treated oil and gas (O&G) wastewater in the central Appalachian region. For this recipe, nominal TDS treatments were targeted for 500, 750, 1000, and 2000 mg/L, while the MTM recipe’s nominal TDS treatments were 500, 1000, and 2000 mg/L. A control treatment served as the lowest TDS treatment for both recipes and was designed for a nominal TDS of ca. 100 mg/L. The experiment included a 19 d colonization, a 43 d dosing period, and a 14 d post-dosing period. Single-species toxicity assays were run in parallel (described below).
2.2. Stream Mesocosm Set-Up
Each mesocosm was setup with unglazed clay tiles and washed natural river gravel as streambed substrates (Figure 1). There was an upper section lined with the tiles that was 0.152 m W × 4.268 m L × 0.105 m D. This widened into a lower gravel section 0.305 m W × 4.268 m L × 0.19 m D comprised of two rows, each occupied by 10 gravel-filled perforated baskets. See Supplemental Materials (SM) for more specifics on the setup. Under operation, continuous water inflows produce on average a 2 cm deep column of running water over the substrates. The subsequent presentation and discussion of results are based on samples collected exclusively from the mesocosm gravel section.
Figure 1.
ESF mesocosms set-up for excess TDS dosing study. Each mesocosm represents one half of the channel unit depicted here. Two mesocosms shared a head and tail tank. Recipes are delivered from dosing tank. Unglazed terra cotta tiles depicted in orange. Gravel baskets depicted in textured grey. Abbreviations defined in text.
A 118 l head tank received a continuous flow of a mixture of natural river water (RW), which is pumped to the ESF from the East Fork of the Little Miami River (EFLMR), and reverse osmosis (RO) treated tap water. Each head tank supplied two mesocosms of the same treatment (dose) with equivalent rates of inflow (0.95 L/min). The RO inflow mixing fraction differed pending the TDS treatment to help minimize the amount of salt addition required to achieve the instream TDS dosing targets (see Supplementary Materials (SM) for more details). River water, RO water, and stock salt solutions used for the dosing recipes were introduced into a common influent pipe just upstream of an inline mixer prior to entering the head tanks. Flow rates and mixing fractions were maintained constant over the entire experiment by using actuated segmented ball valves under the control of a programmable supervisory control and data acquisition system (SCADA) that received flow readings from inline meters.
At the downstream end of the side-by-side mesocosms, the flow through the tile and gravel sections spilled into a common 200 L tail tank. The tail tank held water quality sensors and provided a buffering volume for recirculating water back to the head tank. The recirculation line had a 1.5 mm screen to minimize the entrainment of particles and combined with the inflowing waters just ahead of the mixer leading to the head tank. Recirculation flows were maintained at 95 L/min, and, therefore, made up most of the flow-through volume in the mesocosm’s biotic sections and resulted in near-bed velocities in the gravel section around 26 cm/s. There was a constant overflow from the tail tanks that matched the inflow rate of river and RO water. Mesocosm water residence time was ca. 30 min, with most of that time spent in the head and tail tanks. Travel time from head to tail was less than a minute. As the ESF mesocosms are situated indoors, the light/dark cycles and PAR intensity of outside light conditions were simulated using metal halide full spectrum arc lamps, that were triggered to turn on and off at sunrise and sunset for the geographical locale of the ESF. The lamps were positioned to reflect the daily integrated incident irradiance received by a natural stream flowing through a dense forest where the leaf canopy shaded the streambed at 85 to 90% of an open canopy condition. Under this intensity primary producers are expected to be light-limited.
2.3. Colonizing the Mesocosm Biotic Communities
Colonization of the mesocosms took place over a 19-d period and was initiated by starting the delivery of the mixed inflow of natural river and RO waters to each unit. Propagules for colonizing the stream periphyton and invertebrate community were entrained in the river water supply, which was pumped from a sump lying adjacent in the bank of the EFLMR (see Supplementary Materials for details). Under this configuration, periphyton colonized naturally with no need for amendment. For invertebrates, while many can colonize from the RW supply with no extra steps, the set-up appears to allow for avoidance by larval insects. Therefore, two additional procedures were used to colonize a more realistic mimic of the benthic invertebrate assemblage. First, half of the gravel-filled baskets used for the gravel section were colonized in natural stream riffles at a stream site near the ESF and deployed one week prior to the start of water delivery to the indoor mesocosms. Second, the equivalent surface area of the gravel placed in the mesocosms from the start was sampled at the field deployment sites with Surber samplers. Biota obtained during the Surber sampling were added to the mesocosms at the same time as field-colonized baskets were transferred. The result was a mesocosm gravel section colonized 1:1 in terms of surface area with field-collected benthic biota and any other biota that recruited as the continuous river inflow passed over half of the gravel baskets in place from the start. The field to mesocosm collection and transfer process took less than 3 h.
2.4. Background and Dosing Water Chemistries
Under the RW/RO mixing rates background SpCond differences during the colonization period ranged between on average 118 ± 19.3, standard deviation (sd) and 198 ± 21.5 sd µS/cm for the mesocosms scheduled for controls (most diluted with RO) to those that would receive the highest TDS doses, respectively (Table 1). This magnitude of SpCond difference between colonizing replicates was expected to have little consequence to colonization differences among mesocosms prior to dosing (see Supplementary Materials for more details).
Table 1.
Mesocosm surface water chemistries averaged among replicates and within experimental periods. BD = below detection or method.
We noted the elements Cl−, Na+, and Ca2+ were responsible for >96% of the TDS concentration for DWBs, with Sr2+, K+, Mg2+, and Br− also present in significant quantities from data shared by USEPA’s Region 3 office and corroborated by Haluszczak, et al. [41] and [42,43,44,45,46,47,48]. The MTM recipe’s ion composition was also based on data shared from Region 3, including several published sources [49,50,51,52,53] and corroborated in Griffith, et al. [54] and Kunz, et al. [55]. Industrial salts were used to prepare the dosing recipes. The specific chemicals used along with the quantities purchased to satisfy the 43 day dosing requirement are provided in Table S1. The relative combination of salts used for each recipe was based on the desire to reflect the average major ion composition of DWB and MTM leachates observed in Central Appalachia using the extant data sources (see Supplementary Materials for more details and, specifically Table S2). Note, however, that while the exposures were designed to generally represent these resource extraction activities, there is natural variability in ionic composition of these sources that was not necessarily captured.
Rather than focus on a specific mixture of each type observed in the field data, we targeted averages, pooling several observations for configuring the recipes. Furthermore, the chemical formula and the relative solubilities of the industrial salt used to prepare the stocks constrained the extent to which the realized concentrations were able to directly reflect our targeted average concentrations (Table S2). Namely, because of the low solubility of calcium carbonate and difficulties of dosing solutions of desired high ionic concentrations at the meso-scale, we increased the levels of calcium chloride and sodium bicarbonate combined with the other MTM salts (Table S1). We did not allow these adjustments to skew the ionic composition or relative proportions of major ions so as not to be reflective of MTM sources generally. Comparing the realized average concentrations in Table 1 to those in Table S2, suggests our recipes generally reflected the major ion concentration and ion composition of DWB and MTM sources across the region.
Water quality sensors in the tail tanks receiving flow-through from the mesocosm pairs were used to measure SpCond, pH, water temperature, dissolved oxygen, and turbidity (Hach Company, Loveland, CO, USA) at 5 min intervals throughout the study. Additionally, each week, beginning two weeks prior to the dosing period, grab water samples were collected for analysis of TDS, alkalinity, hardness, major ions, metals, total organic carbon (TOC) and nutrient species. For most analytes USEPA standard methods were followed [56]: TDS followed USEPA Method 160.1. USEPA Method 310.1 and 130.2 were used for alkalinity and hardness, respectively. Metals and major cations were measured with inductively coupled plasma optical emission spectroscopy (Perkin Elmer 2100 DV-ICP OES) using USEPA Methods 6010, 3015, and 3051. Major anions were measured by ion chromatography (Dionex DX500) with USEPA Method 300.1. TOC was run on a Tekmar-Dohrmann Phoenix 8000 wet oxidation ultraviolet/persulfate carbon analyzer using USEPA Methods 415.1 and 9060. Nutrient species: total phosphorus, total reactive phosphorus, total nitrogen, ammonium, and nitrite-nitrate were analyzed using a flow injection autoanalyzer (QuickChem 8500, Lachat Instruments, Milwaukee, WI, USA) and methods published by the manufacturer. We calculated IS (mM) from the individual major ion concentrations. We include the osmolarities and the concentrations of the major ions analyzed expressed as activities (mM) in Supplementary Materials Table S4.
2.5. Assessing Biotic Communities
The mesocosm periphyton community was assessed in bulk, at a system level, by measuring the total dry mass, the ash-free dry mass (AFDM), and the chlorophyll a (Chl-a) content of the periphyton (consisting of live microbial fractions, decaying organic materials, inhabiting invertebrates, and entrained inorganic constituents) adhering to the surface of five pieces of gravel (ca. 5 cm-sized) collected from each gravel basket sampled. These measurements were made on aliquots of periphyton slurry. An additional slurry aliquot was preserved for algae taxonomic identification and enumeration (algae I&E) using light microscopy and a Palmer-Maloney counting cell for assessing the community-level primary producer taxa assemblage in terms of both cell counts and biovolume densities (CD and BD, respectively). See Supplementary Materials for periphyton slurry collection, aliquot sampling, and processing of aliquots sampled. All measurements associated with the periphyton community were normalized to a cm2 of gravel surface sampled.
The mesocosm invertebrate community was sampled using three different collection procedures. First, adult insect emergence was collected at the scale of the whole gravel section by using a UV lamp (Philips TL-D 15W) suspended above a plastic dish filled with 1 L of 70% ethanol (See Supplementary Materials for more details). Emergence sampling was conducted weekly to biweekly, beginning in the evening of one day and lasting through the night for a ca. 12 hr period, with the retrieval of the adult insects captured in the morning of the following day. Emergence was sorted into the following five taxa groups: Chironomidae, other Diptera, Ephemeroptera, Trichoptera, or other Insects. Emergence was sampled nine times during the experiment; twice during the colonization period, six times during the dosing period, and once after the dosing ended.
Net deployments for capturing drifting invertebrates occurred at the same time and over the same collection interval as sampling for insect emergence (i.e., through the night). Drift nets (250 µm mesh) were placed at both the upstream and downstream end of each mesocosm. The upstream net prevented individuals flowing into the mesocosms from the river water supply during the sampling period from contributing to the drift collected in the downstream net. All the flow passing through the gravel section drained through the nets. Preceding the retrieval of the emergence traps the drift nets were pulled and the contents of each were collected and preserved until sorting, identification, and enumeration could proceed.
Finally, the gravel baskets with inhabiting invertebrates were selected randomly for sampling the morning before dosing began (i.e., day 0), then on days 2, 15, 29, and 43 during the dosing period, and a final time 56 d after dosing began (i.e., 2 weeks after dosing had ceased). Two gravel baskets were collected at each event: one that had been colonized in the field while the other had been in place since water delivery to the mesocosms had started. The entire contents of each basket, save the five pieces of gravel from each that were collected for periphyton analyses were combined and rinsed through a 2 mm stacked on a 250 µm sieve set. Contents retained on the 250 µm sieve were elutriated into a storage vial with 70% ethanol until sorting and I&E could proceed. Invertebrate I&E from both the drift and gravel samples were identified to the lowest possible taxonomic resolution under a dissecting scope (see Supplementary Materials).
2.6. Single-Species Tests
A series of exposures to each of the major ion recipes were conducted using standard Whole Effluent Toxicity testing procedures [57]. We refer to these as bench tests. C. dubia, H. azteca, P. promelas, and N. triangulifer were species tested. One series of tests occurred before mesocosm dosing began (i.e., “Pre Dosing-Bench”), with solutions prepared following the recipes and source water mixing volumes planned for the mesocosm dosing period. The bench tests were repeated while the mesocosms were being dosed (i.e., “During Dosing-Bench”). For this series of tests, collections of the water flowing through the mesocosms that were exposed to the dosing recipes were composited across replicated mesocosms and used for the exposures, thus the actual in-stream ionic contents that the mesocosm communities were exposed to were used for these tests. All bench tests followed a daily static renewal format. Three sets of composite samples were collected over 7 d and used for renewals. Survival and growth (rather, reproduction for C. dubia, specifically) measures were used to assess single-species responses to the different dosing recipes. More specifics on testing protocols are given in Supplementary Materials.
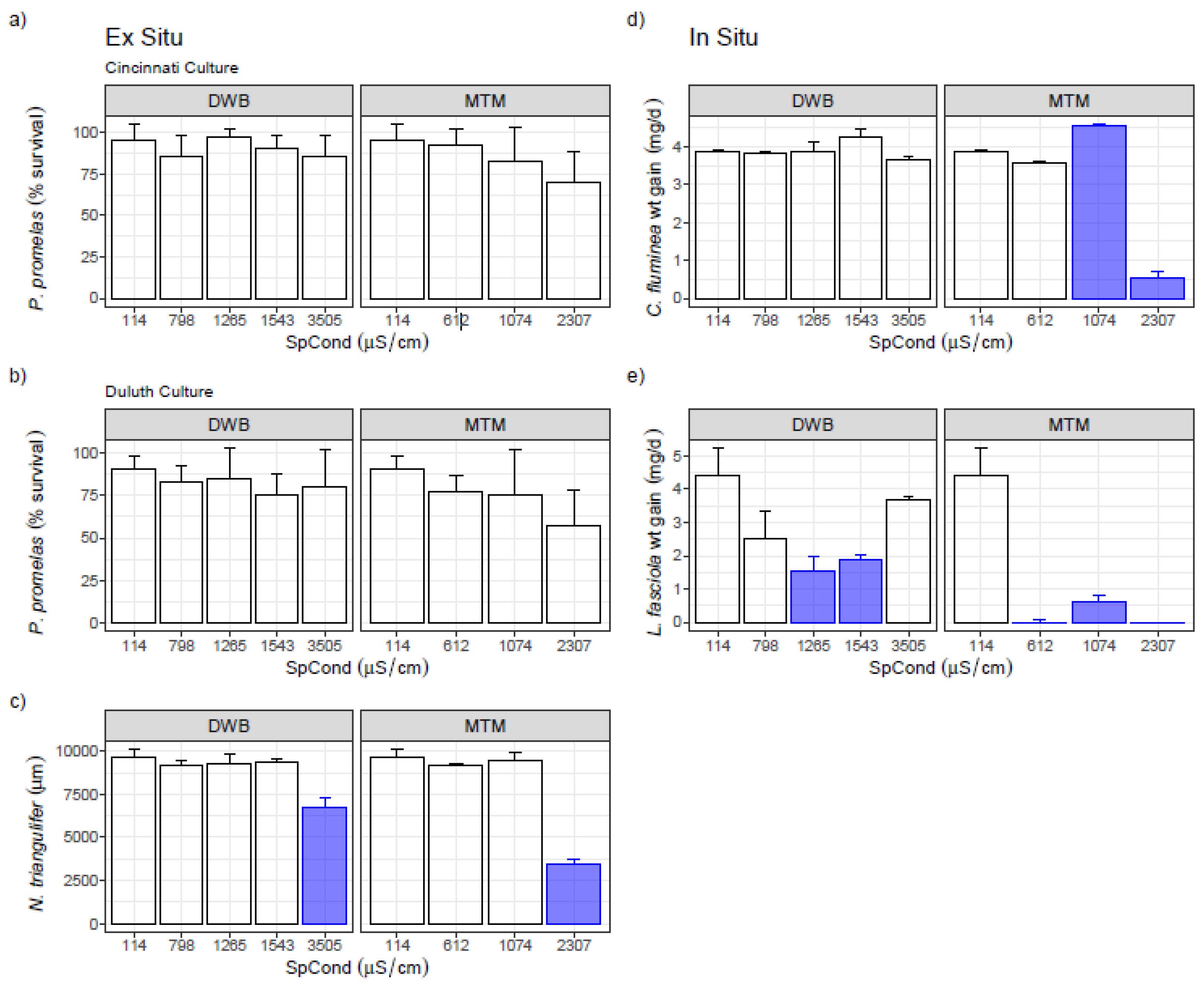
During the mesocosm dosing period two cultured-species exposures were conducted using an ex situ format. This format allows for the confinement of test species while still exposing them to the same ecological conditions (i.e., the same dissolved solutes, suspended particles, and natural diel water chemistry fluctuations) as the native biota inhabiting the mesocosms. Ex situ exposures could be thought of as mimics of the pool habitat of natural streams that experience quiescent flows compared to the more riffle/run-like mesocosm sections. The first ex situ test was conducted with N. triangulifer. Measurements of length and head capsule width were recorded for each of the individuals that survived for the duration of the 21 d test. A second ex situ test was performed using P. promelas. It included exposing larval fish from two different cultures: one from the USEPA Aquatic Research Facility in Cincinnati, OH (Cincinnati Culture) and the other from the USEPA Great Lakes Toxicology and Ecology Division’s aquaculture facility in Duluth, MN (Duluth Culture). The background water chemistries for these P. promelas cultures differ. We were interested in determining if any difference in sensitivity to the dosing recipes would be observed as a result. Survivorship and weight per individual were used as measures to test sensitivity, See Supplementary Materials for more details of the ex situ setup. Lastly, an in situ exposure format was used to test the responses of two bivalve species, C. fluminea and L. fasciola (common names: Asian clam and wavy rayed lamp mussel, respectively), which were placed in cages situated in the dominant stream flow at the end of the mesocosm gravel sections (See Supplementary Materials for details}. The cages were deployed when the gravel baskets from the field colonization were added to the mesocosms. Survivorship was tracked over the experiment and the initial and final weights of individuals were determined. Survival and average weight gain per day were the measures tested.
2.7. Data Analysis
The gradient of instream SpCond established by dosing the prepared stocks of the recipes allowed for both testing of differences among doses using an ANOVA/NOEC-LOEC workflow, and dose–response modeling (DRM) to estimate ECs. With multiple sampling events through time, we can account for the natural changes that occur in stream taxa assemblages as each member manifests a specific life history and development trajectory that may or may not be affected by dose. Furthermore, the mesocosm communities behave like field conditions, going through a seasonal succession. However, in the mesocosms, transitory high flows do not occur, and this does affect the community-level development trajectory.
The experimental design and sampling schedule yielded numerous individual taxa or taxonomic groups (Tables S5 and S6) and community- and system-level measures (Table S8 and described below) that could be used to test for significant differences between doses or dose–response relationships for each recipe. For the taxa-level responses, DRMs were fit to algal CDs and BDs separately (Table S5), as well as the base level invertebrate I&E data (see Table S6). The results from the single-species tests were included among the taxa-level responses considered. Taxa-level responses were modeled as count (or transformed count data, in the case of biovolumes). Modeling measures of relative abundance was not considered appropriate at the taxa level, because a proportional response of one taxon could be indicative of changes in the proportions of other taxa, rather than a direct effect of the doses on individuals.
To analyze community-level responses, we organized the base taxa I&E data into two different levels of taxonomic resolution to represent both the algae periphyton and the invertebrate communities. For the algae community, the genus was used to define the first level (i.e., “_Taxa1”) and division for the second level (i.e., “_Div”). We considered taxa I&E based on CDs and BDs separately (i.e., four individual algal community-level datasets with CD and BD for genus and division-level taxonomy). For the invertebrate community, the first level consisted of class, order or family level, depending on the Phylum (e.g., all base insect taxa were aggregated to family level; See Table S6) for one representative assemblage dataset (“_Taxa1”). We created another dataset that consisted of seven major groups: bivalves, chironomids, crustacea, EPT (ephemeroptera, plecoptera, trichoptera insects), gastropoda, other insects, and worms (“_Mgroup”). For each of the community datasets we also created a version based on relative abundances (RA), which, at this level of ecological organization, we considered appropriate for an accounting of assemblage changes.
Communities were analyzed by (1) running a principal response curve (PRC) analysis to estimate community effects with time and dose [58], (2) performing a redundancy analysis (RDA) unique to each sampling event during the dosing period [59], and (3) by estimating a DRM for each sampling event’s RDA primary and secondary axis scores. The vegan R package (version 2.5-7) was used for the PRC and RDA analyses [60]. The species loadings estimated from the RDA were used for DRM under the assumption that the primary and secondary axes would be similar regardless of whether the dose was specified continuously or categorically. Some communities were well explained by the first axis score while others necessitated two dimensions to characterize variation in the assemblage. The percent of the variation explained by the primary and secondary axes varied from 35/30 to 85/10 across the communities analyzed. Axis scores from constrained ordinations are commonly used in further analyses. A log transformation was applied to the sum of one and each cell density or biovolume density, and the arcsine of the square root was applied to each relative abundance [61]. Bray–Curtis and Euclidean distance measures calculated from transformed community matrices were used for the single-event RDAs and the PRCs, respectively. Like the NOEC/LOEC workflow for the single taxon analysis, the RDA was used initially to explore the effect of dose on the community. Following this, a DRM was fit to the estimated axis scores to further characterize the relationship between the community and dose. Identifying significant community-level ED50s with this approach offered a means of quantifying the sensitivity of community-level responses in the same terms as the taxa-level sensitivities (i.e., as EC50).
We also analyzed the distance measures for each dataset, rating each dosing level within each recipe to the control communities, and subsequently fitting a DRM to each. DRMs were fit to each community measure on each of the sampled dosing days. Finally, for the invertebrate taxa I&E data only, we summed the _Taxa1 and _Mgroup count data separately across all sampling events, treating these cumulative taxa datasets in the same manner as the others, but considering the resulting RDA axes scores and dissimilarities as system-level responses (i.e., the total number of individuals sampled in a given taxon). Table S8 lists the community-level and system-level responses modeled in this manner.
We developed an R Shiny application to expedite the statistical workflow for identifying significant responses. First, we automated the fitting of the four-parameter log-logistic model to all responses using the drc R package version 3.2-0 [62]. Filtering criteria were used to screen the results for inclusion in separate RSDs for taxa, community, and system-level measures among the thousands of responses by dosing day combinations that were modeled. Generally, we only included an EC50 in an RSD if all four parameters in the fitted DRM were significant, if the ANOVA test for all doses equal was rejected, and if confidence bounds for the estimated EC50 were within the range of the dosing gradient for each recipe (assuming a significance level of alpha = 0.1). A set of decision rules were then applied to select responses for inclusion in the RSDs (See Supplementary Materials for these rules). DRMs were fit to responses using doses measured in both SpCond and IS; constructing separate RSDs based on each (i.e., 12 separate RSDs = 3 levels × 2 major ion measures × 2 dosing recipes).
An RSD was derived for each recipe by fitting gamma, log-normal, and log-logistic distributions to the ED50 values and selecting the distribution with the lowest AIC. To compare relative sensitivities between recipes, a randomization test was used to test for a significant difference between the recipe HCs for the 5th, 10th, and 20th percentiles. One thousand randomization realizations were generated under the null hypothesis of no difference between the recipes, and the observed difference in HC values between the two recipes was compared to the randomization results to obtain a p-value and assess evidence for a true difference between the recipe’s HC values. We focus on the HC5s for interpreting results.
3. Results
3.1. Single-Species Bench Tests
Responses differed among species and between recipes (Figure 2). General trends with increasing dose and between recipes were the same for both the pre-dosing and during-dosing period tests. C. dubia exposed to the pre-dosing preparation of the DWB recipe showed an hormetic response with higher reproduction in the mid-dose (1552 µS/cm). In the MTM recipe exposures, the hormetic response was not apparent but, in both pre-dosing, and during-dosing tests reproduction increased significantly relative to the control (Figure 2a,b). Comparing these results to the response to the moderately hard reconstituted water (MHRW) positive control suggested that the background conditions of the control was limiting to reproduction. Therefore, C. dubia appeared stressed by the low ion concentrations of the control condition.
Figure 2.
Single-Species toxicity tests using cultured individuals exposed to both DWB and MTM recipes and a moderately hard water (MHRW) control. Each test was run twice: pre (left panel) and during dosing (right panel): (a,b) are for C. dubia; (c,d) are H. azteca; (e,f) are P. promelas; and (g,h) are for N. triangulifer. Data are means per dose ± 1 sd, with n = 3 per dose. Colored bars represent significant difference from control (p < 0.05) per Dunnett’s test.
The bench tests with H. azteca suggested an increased growth response to both recipes, but more so in the test conducted during the dosing period (Figure 2b,f). Neither of the recipes nor the doses within each recipe appeared toxic to H. azteca in the pre-dosing tests (Figure 2c). Similarly, P. promelas had an increasing response to the DWB recipe in the pre-dose test but appeared unaffected by any of the doses of the MTM recipe (Figure 2c,d). The DRM for the P. promelas pre-dose test with the DWB recipe was significant with an ED50 of 1297.6 µS/cm.
In contrast, the growth of N. triangulifer was negatively affected by the increasing ionic content of both recipes and in both the pre-dosing and during-dosing bench tests (Figure 2g,h). Relative to the MHRW positive control, the lower ion concentrations stimulated the growth of N. triangulifer regardless of the ionic composition (EC50s = 1098 and 1158 µS/cm and 683 and 825 µS/cm for the DWB and MTM recipes pre-dosing and during dosing tests, respectively).
3.2. Single-Species Ex Situ/In Situ Tests
For the P. promelas ex situ tank exposures, the responses of fish from both cultures were similar. The survivorships of larval fish were not affected by the increasing ionic content of the DWB recipe’s doses, while fish exposed to the MTM recipe showed a clear decline in % survival with increasing dose (Figure 3a,b). The weight of surviving fish in the highest MTM recipe doses was lower than control (Figure S1a,b). However, none of the DRMs for these responses were significant.
Figure 3.
Single-Species ex situ / in situ test results for the DWB and MTM dosing recipes. Ex situ tests (left panel) and in situ tests (right panel): (a,b) for P. promelas; from Cincinnati and Duluth cultures, respectively (see text); (c) N. triangulifer; (d) C. fluminea; and (e) L. fasciola. Data are means per dose tested ± 1 sd, with n = 4 and 2 per dose for ex situ and in situ, respectively. Colored bars represent significant difference from control (p < 0.05) per Dunnett’s test.
Compared to the dose–response trends with N. triangulifer in the bench tests, the ex situ tank exposures with the mayfly larvae did not appear as stressful. While the overall trend was a decrease in growth (Figure 3c) and survival (Figure S1c) with increasing dose in both recipes, only the high doses of each were significantly different from the control dose, but the trend with dose in the MTM recipe generally decreased across doses. For DWB and MTM recipes, EC50s of 2214 and 1216 µS/cm for survival were estimated, respectively.
For the bivalve in situ exposures, C. fluminea was less sensitive to the higher ion concentrations of both recipes compared to L. fasciola, which experienced significant mortality and little growth in all MTM recipe doses above the control (Figure 3d,e, respectively). L. fasciola had a significant negative response to intermediate DWB recipe doses but in the highest one it did not differ from the control. In contrast, the C. fluminea exposed to intermediate doses of both recipes had gained weight relative to the control. However, the highest dose of the MTM recipe did appear to stress the growth of this bivalve species.
3.3. Mesocosm Taxa, Community, and System-Level Dose–Responses
Thirty-eight responses were identified for inclusion in the taxa-level RSD derived from the LL2.4 DRM model fits the data for the DWB recipe. Thirteen of these were for algal periphyton taxa. For invertebrate taxa, nine significant EC50s were estimated from gravel samples, nine came from drift sample events, and three from emergence sampling. Adding in four significant EC50s determined from the DWB recipe single-species tests, results in a taxa-level RSD with an HC5 (lower, upper 95% confidence level (CL)) SpCond of 561 (440, 710) µS/cm (Figure 4a). For the MTM recipe, there were 47 significant responses included in the RSD (Figure 4b), with 14 contributed from periphyton taxa and 12, 12, and three invertebrate taxa from gravel, drift, and emergence sampling, respectively. Including the six significant EC50s estimated from the single-species tests, resulted in an MTM recipe taxa-level RSD with an HC5 (CLs) SpCond of 308 (230, 412) µS/cm. Tables S5 and S7 include EC50 with CLs, LOEC-NOEC, and the direction of the trend with dose (positive or negative) for periphyton and invertebrate taxa, respectively. Supplementary Materials Table S11 includes estimates and CLs for HC10s and HC20s.
Figure 4.
Taxa-level response sensitivity distributions for DWB (a) and MTM (b) recipes. Data are EC50 SpCond. ETD is elapsed day during dosing period. Individual responses are color-coded by ETD. Horizontal lines are 95% CLs for EC50 from LL2.4 DRM fit. ETD = 856 denotes a cumulative measure, summed over all events between days 8 and 56. ETD = 1529 and 4356 denote measures averaged among 15 and 29 or 43 and 56 sampling dates, respectively (periphyton measures only).
There were 24 significant responses included for community-level measures in the RSD for the DWB recipe. For the MTM recipe, 23 responses were included. In both cases, DRMs fit to the distances from control or RDA axis scores returned significant EC50s for both datasets of the different taxonomic groupings of the base taxa identified in the periphyton (i.e., _Taxa1 and _Div) and invertebrates from the gravel and drift (i.e., _Taxa1 and _Mgroup). These community-level RSDs returned HC5s for the DWB recipe of 777 (646, 934) µS/cm, while that for MTM was 603 (507, 734). For the system-level RSD of the DWB recipe, the estimated HC5 was 763 (577, 997) µS/cm, like the community-level RSD.
In contrast, the MTM recipe’s system-level RSD had HC5 equal to 372 (271, 527) µS/cm, which is much lower than that estimated for the community level and more like the MTM’s taxa-level HC5. A rank listing of responses with ED50s found to be significantly different from zero are provided in Tables S5, S7, S9 and S10. These responses comprise the taxa, community, and system-level RSDs based on SpCond for both recipes.
We conducted another iteration of the statistical workflow producing RSDs for each recipe using the IS of the doses in place of SpCond for the DRM fitting. The relative differences in each recipe’s RSDs for both measures of ionic concentration are shown in Figure 5. Comparing the distributions based on SpCond suggested that the mesocosm stream ecology is more sensitive to the MTM recipe, as this is the case for all three levels of ecological organization studied (Figure 5a,c,e). In contrast, the RSDs based on IS are overlapping in the lower concentrations (Figure 5b,d,f). None of the 5th, 10th, and 20th percentile HCs for IS based RSDs were significantly different for any of the ecological groupings, and the disproportionally higher IS of the higher doses in the MTM recipe compared to when the major ion concentrations are measured as SpCond shifted the upper end of the MTM IS RSDs to the right of the DWB recipe IS RSDs (Figure 5b,d,f). The HCs for each ecological response level by each recipe’s RSD are provided in Table S11. Here, we provide a bar chart of the HC5s just reported for both recipes using both measures of ionic concentration for easier visualization of relative similarities and differences (Figure 6).
Figure 5.
Dosing recipe EC50 RSD comparisons grouped by levels of ecological organization. The shaded area about each curve represents the 95th prediction probability for the best RSD fitting function. Left panel of graphs (a–c) are based on EC50 SpCond. Right Panel graphs (d–f) are based on ionic strength.
Figure 6.
HC5s by dosing recipe and level of ecological organization from RSDs based on specific conductivity (a) and ionic strength (b). Error bars are 95% confidence interval for the estimate from the RSD fitting function.
3.4. Dosing Effects on Mesocosm Communities and Systems through Time
The results of the PRC analyses for each recipe’s periphytic algae and gravel invertebrates I&E data are shown in Figure 7. For examples of taxa dominance distributions across doses see Supplementary Materials Figure S2. The periphytic algal taxa most responsible for the assemblage changes among doses were, notably, identical between recipes, with Cladophora and Compsopogon, a green and red algal genus, respectively, becoming dominants in the highest doses of both recipes in the latter half of the dosing period (Figure 7a,b). These taxa have large biovolumes that overcame the relative abundance of the diatom genera, including Melosira, Rhoicosphenia, Cocconeis and Synedra which were more prevalent in the control and intermediate doses. Cyanobacteria cell densities were generally lower in the DWB recipe than in the MTM recipe. Although the green and red algae dominated the periphytic algal biovolume by the end of the dosing period in both recipes, combined their cell densities accounted for less than 10% of the total algal cells counted.
Figure 7.
PRCs for community-level measures: periphyton biovolume densities and gravel invertebrate counts relative abundances for DWB (a,c) and MTM (b,d) recipes, respectively. PRCs are based on Euclidean distance. Stars designate that the results of the permutation test indicated at least one significant difference in community assemblage across doses for the corresponding dosing day. Taxa and their relative loadings (in parentheses) on secondary y-axis (see Supplementary Materials for interpretation). Inconsequential taxa removed from listing for (c,d) for legibility. Table S12 includes complete PRC taxa loading lists. PRC results for each dose are normalized to the control, horizontal line at zero.
Matching the increase in biovolume densities with dose was an increase in the average AFDM and chlorophyll content of the periphyton in both dosing recipes, but especially for the MTM recipe which had triple the amount of chlorophyll content in the highest dose compared to the control (Figure 8e,f, respectively). The gravel substrates of the mesocosms receiving the MTM recipe, especially the highest dose, accumulated more periphytic dry mass than the DWB recipe (Figure 8d).
Figure 8.
System-level measures: Total invertebrates counted from sampled gravel baskets (a), drift net deployments (b), and captured emergence (c) by recipe and dose. Percentages at top of graphs are Bray–Curtis similarities between specific dose and control based on Taxa1 assemblages. Dosing period average bulk periphyton responses, including total dry weight (d), ash free dry mass (e), and chlorophyll (f). Bars with blue are significantly different from control dose (p < 0.05) per Dunnett’s test. Data are means of two replicate mesocosms ± 1 sd.
The community of gravel invertebrates in the high doses of both recipes showed divergence from the control by the sampling event 8d after dosing began (Figure 7c,d). The taxa driving the assemblage change across doses in DWB recipe and through time were the tribes of midge larvae: Tanytarsini, Tanypodinae, and Chironomini, increasing and Orthocladiinae, decreasing and Physa (left-handed snail) increasing with dose through time. Increasing relative abundances in Corbicula (Asian clam) and Stenelmis (riffle beetle) in the higher doses were also important, whereas Ostracod (Crustacean), Ferrissia (limpet), and Naididae (annelid worms) decreased with increasing DWB recipe dose through time.
For the MTM recipe, all three doses produced significant assemblage differences compared with the control, and these differences were significant and largely consistent from the sample events on day 8 of dosing and thereafter. The notable differences between the DWB and MTM recipe’s taxa assemblage changes were that instead of a reordering in the dominance of chironomid tribes, changes in other insect taxa (Cheumatopsyche (net-spinning caddisfly) and Tricorythodes (little stout crawler mayfly)) were more relevant. Yet, increases in Physa and Stenelmis were also responsible for the differences with increasing dose for the MTM recipe, as they were for the DWB recipe. These changes in both periphyton and invertebrate taxa RAs are reflected in the bar graphs adjacent the periphytic algae and gravel PRCs, respectively (Figure 7).
Overall, invertebrate communities diverged from the control with increasing dose, as the similarity measures reported in Figure 8a–c suggest, but did more so in the MTM recipe. However, a remarkable difference between the recipes was in the total number of invertebrates counted. The highest MTM dose had less than half the number of gravel-associated invertebrates compared to the highest DWB dose, which did not differ from the control (Figure 8a). The data for drifting and emerging invertebrates were similar (Figure 8b,c, respectively). However, emergence from the intermediate doses of the DWB recipe increased relative to the control. This effect was driven by the increase in chironomid densities noted earlier.
Finally, there were some notable dosing effects to report not captured in the RSD or the PRC analyses. The first was observed in the drift sampling event that occurred just after dosing began. There was an apparent increase in the number of drifting macroinvertebrates with increasing dose for both recipes, indicative of an avoidance response (Figure S4). PRC-based dosing trends for drift are shown in Figure S3. Second, Ephemeroptera (mayfly) emergence captured from the DWB recipe’s mesocosms, while only 5% on average of total emergence, increased from the control, but only for the first two doses. The highest and second highest DWB recipe doses had 67% and 33% less mayfly emergence relative to the control. Trichopteran (caddisfly) emergence, also only a small percentage of the total at 7%, appeared to be unaffected by DWB recipe dose concentration. In contrast, total emergence in the MTM recipe decreased by 52%, 55% and 83% for the low, medium, and high doses (Figure S5). Mayfly and caddisfly emergences were significantly lower at all MTM recipe doses above the control. Dosing trends for total emergence through time are provided in Figures S3e,g and S5.
4. Discussion
The design and analysis of this mesocosm experiment can help inform the considerations of protective endpoints for the assessment and management of stream structure and function in an era when resource extraction discharges producing an excess of major ions in receiving waters is a prevailing concern [63]. The mesocosms were sampled to capture both primary producer and invertebrate consumer responses at multiple levels of ecological organization. Among the advantages of the set-up is the ability to track behavioral and developmental effects, e.g., avoidance by drift can remove taxa from a system as effectively as death and changes in the timing and quantities of insect emergence can affect trophic transfers (Figures S3 and S4, respectively). The capability to assess more biotic components and at different ecological scales is important because it helps in providing evidence of the mechanisms that may be leading to the extirpations observed in the field. Furthermore, potentially more responses can be included, providing for a more robust SSD (e.g., Figure 4, Tables S5 and S7).
Additionally, the study used unique mixtures of ions that comprised the experimental doses, and the 56 day evaluation period is much longer than other major ion-focused studies using stream mesocosms. The exposure period was long enough to account for multiple aquatic life stages and taxa turnover. The ESF mesocosm set-up also allowed for determining the relative sensitivity of the same starting biotic communities in the absence of spatial and temporal confounding factors that are characteristic of field assessments [64,65] akin to single-species laboratory toxicity tests.
However, this mesocosm study can legitimately be criticized for colonizing substrates with biota that may be acclimated or have adapted to a different background ionic composition from those in the region for which the dosing recipes were most relevant (i.e., the Central Appalachian highlands). Indeed, using the background-to-criterion regression model of Cormier, Zheng and Flaherty [21] and an analysis of SpCond data obtained from stream monitoring effort in the watershed from which this study’s colonized invertebrates came [66], the estimated protective chronic SpCond would be ca. 600 µS/cm. This reflects a higher natural background of 390 µS/cm compared to the Central Appalachian highlands, whose protective SpCond benchmark was 300 µS/cm [27]. We attempted to mitigate this incongruity by acclimating the mesocosm taxa to a lower background, but it remains an important caveat for the interpretation of study results. Given the geographic proximity of taxa pools (Southwest Ohio and Central Appalachians), we would not expect there to be endemic taxa that would bias the interpretation of results. Furthermore, we can only elucidate dose–responses within the range of ionic concentrations realized given the decisions about recipe compositions and environmentally relevant concentrations of TDS. It is easier to run a broader range of concentrations and mixtures with culturable species using standard formats, e.g., [35,67].
Both the mesocosm responses and the single-species test results confirmed that the MTM recipe’s doses produced more changes to stream ecology and were more toxic, respectively, than the DWB recipe’s doses. We attribute this in part to the more similar ionic composition of the DWB recipe to that of benthic invertebrate hemolymph (i.e., Na+ and Cl− dominated) compared to the MTM recipe mixture dominated by Mg2+, Na+, Ca2+, HCO3−, SO42− [6]. However, the excess ions of the highest DWB dose still proved a significant stress for the stream insects to overcome, as evidenced by the lower overall emergence, and of chironomids, in particular. The differences between recipes in terms of relative toxicity were observed at different scales of stream ecology and for types of response including avoidance (as drift), emergence, and changes in assemblage composition.
The bench-top toxicity tests were consistent with reports that mayflies are among the more salt-sensitive taxa [25,26], with the mayfly, N. triangulifer’s growth and survival decreasing with increasing SpCond, and they confirmed that conventional test organisms, C. dubia, H. azteca, and P. promelas, are not particularly sensitive to ionic stress (Figure 2). Nonetheless, these species have been useful models for exploring the differing effects of relative ion composition [20,35,67,68] suggesting that NaCl is less toxic than CaHCO3 and CaSO4 salts and hence major ions of the DWB recipe would be relatively less toxic than those making up the MTM recipe.
Of the 13 separate single-species tests for each recipe, there were four and nine significant EC50s and LOECs in both the DWB recipe and MTM recipe exposures, respectively. The lowest EC50 established from these tests for the DWB recipe was an SpCond of 1127 µS/cm (IS = 11.02 mM), while for MTM recipe, the lowest was 824 µS/cm (14.91 mM) both for N. triangulifer. The lowest LOECs were 883 SpCond µS/cm (IS: 9.0 mM) and 479 SpCond µS/cm (8.0 mM) for the DWB and MTM recipes, respectively. Interestingly, the bench-top test conditions appeared to affect N. triangulifer’s response to DWB and MTM recipe challenges, as in comparison they were less sensitive to the doses when exposed in the ex situ test conditions where food quantity and quality and hydraulic properties of the set-up may have been generally more favorable to their development (Figure 3). The in situ bivalve exposures further highlighted the elevated toxicity of the MTM recipe and the relative sensitivities of the native L. fasciola compared to the invasive C. fluminea, which is largely consistent with the findings of others (e.g., [69,70]).
The mesocosm measures were more sensitive than the growth, reproduction, or lethality endpoints of the single-species tests. Of the 75 significant mesocosm responses, 14 taxa-level, 5 community-level, and 5 system-level measures suggested greater sensitivity compared to the single-species tests for the DWB recipe. For the MTM recipe, there were 87 significant responses and 21 taxa-, 7 community-, and 9 system-level responses were more sensitive than the lowest significant single-species EC50. Although the number of significant single-species tests or the compliment of species tested would not meet the criteria for a valid SSD [71], based on how their significant EC50s ranked intermediate to the myriad of taxa-level mesocosm responses they alone would be unlikely to produce appropriate HCs for protecting stream biota. This was an anticipated result.
The mesocosm taxa-level RSDs had HC5s representing lower concentrations than have been proposed as protective of sensitive species (See Supplementary Materials, Tables S5 and S7). This is because many of the responses in the lower ends of the taxa-level RSDs were positive with increasing dose. Since the taxa in both the single-species tests and in the colonized mesocosms likely represent a ‘local’ taxa pool of relatively tolerant individuals to begin with, it might make more sense to focus the interpretation of the relevance of these results on the higher levels of ecological organization tested.
Community-level differences between recipes were not as extreme as had been reported for the relative sensitivities of organisms to specific ions from the Central Appalachian field data [36]. We expected the MTM recipe to drive a major restructuring of taxa assemblages due to the excesses of sulfate and bicarbonate and as noted earlier, these ions appear to disproportionately impair physiological mechanisms compared to exposures dominated by chloride [72,73]. The relative assemblage differences that were observed were likely tempered for two reasons: (1) the higher background conductivity (i.e., 390 µS/cm) under which the colonizing native taxa emanated, and (2) the local taxa pool from which turnover along the dosing gradient could have occurred was limited by the mesocosm set-up. These facts, combined with the natural succession in the community assemblage in the mesocosm condition, do not afford the same opportunity for replacements of taxa with species with different IS optimums as chronic excess in the field might. It does appear that community structure in the dosed mesocosms diverged from the controls sooner in the MTM recipe and showed no indication of convergence as community succession continued (Figure 7).
Collectively, significant responses in community-level measures (drift, emergence, gravel, and periphytic algae) produced equivalent sensitivities in terms of the IS of both recipes. The HC5s from the community-level RSDs suggested protective levels for community change after longer duration exposures for SpCond of 777 and 603 µS/cm for DWB and MTM recipes, respectively. For the DWB recipe, the SpCond HC5 converts to roughly a 511 mg/L TDS (See Supplementary Materials Table S13). Therefore, the 500 mg/L TDS target used by PA for facilities discharging O&G treated wastewaters with ion composition similar to the DWB recipe, as well as the 300 µS/cm benchmark proposed to protect streams impacted by leachates similar to the major ion composition of the MTM recipe, may both be appropriate for avoiding significant shifts in stream biotic communities. However, the SpCond HC5 for the MTM recipe converts to 433 mg/L TDS. Therefore, the 500 mg/L criterion may not be low enough to avoid an assemblage change when ionic composition is like that of the MTM recipe.
A dramatic consequence of the difference in the composition of major ions between recipes was the significant decline in the number of invertebrates counted in the samples collected over the course of the study from the mesocosms dosed with the MTM recipe. This was not necessarily reflected in a significantly lower IS HC5 for the system-level RSD (note the overlapping prediction bands, Figure 5). However, all doses of the MTM recipe resulted in lower numbers of individuals collected or captured. This was not the case for the DWB recipe (Figure 8).
These system-level total counts are representative of the magnitude of secondary production arising from the stream benthos. Secondary production fuels higher trophic levels in both proximal and downstream environments as well as in the terrestrial environments adjacent to streams, in the case of emergence. Secondary production relates to stream function. Based on these results, the magnitude of the major ion excess as well the ion composition has significant consequences for the functional role of streams. For the DWB recipe, the system-level HC5 was 763 µS/cm SpCond, 7.56 mM IS, and 501 mg/L TDS, and translates to 171 mg/L Cl− (Table S13), which is statistically the same as the 500 mg/L TDS criterion for O&G wastewaters and the current secondary drinking water standard for the US and equivalent to that used to protect public drinking water sources for the Ohio River [24]. The 600 µS/cm SpCond chronic estimate for the EFLMR watershed from which the taxa came (see above) would be protective. The US chloride standard of 230 mg/L [74] would not, but the Ohio statewide HC5 for chloride reported by Miltner [11] is lower (i.e., 52 mg/L). The system-level HC5 estimated from the MTM recipe dosed mesocosms (372 µS/cm SpCond; 7.01 mM IS; 247 mg/L TDS) is lower than any of the aforementioned TDS targets, but statistically similar to the Central Appalachian benchmark of 300 µS/cm [27].
Relative differences in the effects of ionic composition on the mesocosm periphyton were likely an important factor contributing to the measures of secondary production observed. The increases in algal biomass and AFDM with dose in both recipes could act to support increases in secondary production, at least to the point that the accrual of biomass does not create unfavorable or unavoidable low redox conditions. This aligns with dosage trends observed for the DWB recipe. However, in the mesocosms receiving the MTM recipe’s doses, the increases in biomass accrual were accompanied by increases in the deposition of inorganic material contributing to elevated periphyton dry weights. This was particularly noted in the highest dose of the MTM recipe where the precipitation of calcium and magnesium scales were visibly whitening the more typical yellow-brown and greenish hues of the stream periphyton by the end of the dosing period. Overall, the results reported here suggest that stream ecology is more threatened by MTM recipe-like discharges compared to DWB recipe-like discharges.
For many natural waters TDS in mg/L is estimated as 0.55–0.75 of the SpCond (µS/cm) [75]. However, the relative distribution of major ions influences the value of this multiplier [76]. Additionally, the response of conductivity to increases in ionic content may not be linear over the observed range dependent on the relative distribution of ions that can form ionic complexes [77]. Complexation changes a molecule’s mobility to migrate to the electrodes used to make the SpCond measurement. For instance, the SO42− enriched water of the MTM recipe was not as strong of a conductor compared to the DWB recipe waters dominated by Cl− ion, so, in this case, the multiplier for the TDS estimate would have to increase, and neither measure can be used as a direct surrogate of relative ionic strength unless waters of similar ion composition are being compared. Aquatic organisms are responding to the ionic composition of the water rather than to its conductive nature. Therefore, while it is appealing and worthwhile to consider surrogates for ionic strength, for setting water quality criteria, it is best to present experimental results in terms of both TDS and SpCond, plus the measured concentrations of the dominant ions if they can be made available. This was reflected here in the narrowing of HCx relative differences when responses were modeled using IS. In fact, presenting the relative sensitivities in terms of IS HCxs between recipes, while lower for the MTM recipe, suggested that they were statistically similar, although the results for secondary production demonstrate the consequences of the MTM recipe ion composition compared to DWB recipe ions at the system scale.
5. Conclusions
The results of this study validate the findings of other excess major ion studies from both single-species and community-level exposures to single salt solutions and major ion mixtures, as well as field-based studies conducted where DWB and MTM leachates result from resource extraction activities. This study’s results can inform decisions related to the management of resource extraction wastewaters, including those from unconventional oil and gas extraction (e.g., USEPA [63]), potentially helping to strengthen Clean Water Act permit reviews and the evaluation of proposed SpCond and TDS targets for protecting stream ecosystems. Clearly, the variety of responses and range of sensitivities that were observed in this mesocosm study suggest that while protecting the most sensitive species and overall biodiversity of pristine environments is one goal, another might be trying to establish effect levels that can protect stream function in terms of subsidy to downstream and terrestrial environments, which was evident from the significant primary production and emergence system-level responses. In this context, the MTM recipe, dominated by elevated concentrations of sulfate and bicarbonate, was significantly more harmful to the function of a realistic reproduction of the benthic communities of natural streams. However, for both types of resource extraction wastewaters, the mesocosm responses suggested significant ecological change would not be expected for specific conductivity below 300 µS/cm benchmark suggested for the Central Appalachian region.
Supplementary Materials
The following supporting information can be downloaded at: https://www.mdpi.com/article/10.3390/w15020249/s1, Further explanation is given for experimental design, stream mesocosm set up, dosing recipe preparation, sampling and assessment methods, and data analysis. Table S1: Table of chemical purchases; Table S2: Targeted in-stream ion chemistries for dosing period relative to descriptive statistics of source data summaries; Table S3: Summary of O&G WWTPs mixing zone analysis; Table S4: Table 1′s constituent concentrations expressed as activity; Table S5: Algae periphyton taxa and DRM/ANOVA results; Table S6: Taxa identified and enumerated in gravel and drift samples; Table S7: Rank ordering of EC50 invertebrate taxa-level responses comprising the SpCond RSDs; Table S8: Community and system level measures modeled; Table S9: Rank ordering of community-level responses comprising the SpCond RSDs; Table S10: Rank ordering of system-level responses comprising the SpCond RSDs; Table S11: HCs estimated at the 5th, 10th, and 20th percentiles of respective RSDs with 95% confidence intervals by recipe and level of ecological organization; Table S12: Taxa loading lists for PRC analyses. Table S13: HCx equivalences estimated based on the observed ionic composition of each of the dosed recipes; Figure S1: Single-species ex situ tests additional results; Figure S2: PRC and taxa relative abundance bar graphs for community-level measures of periphytic algae and gravel invertebrates. Figure S3: PRC and taxa relative abundance bar graphs for community-level measures on drift and emergence; Figure S4: Drifting invertebrate total counts collected at different time points; Figure S5: Total emergence captured at different time points.
Author Contributions
Conceptualization, C.T.N., J.L. and B.J.; methodology, C.T.N., J.L., B.J., S.D., S.G. and P.W.; formal analysis, C.T.N., N.J.S., L.G.-G. and C.P.P.; writing—original draft preparation, C.T.N.; writing—review and editing, all authors; visualization, C.T.N., N.J.S., L.G.-G. and C.P.P. All authors have read and agreed to the published version of the manuscript.
Funding
This research received no external funding.
Data Availability Statement
The data supporting the results can be obtained through the USEPA’s Science Inventory web interface https://catalog.data.gov/harvest/epa-sciencehub accessed on 25 September 2022 upon publication.
Acknowledgments
The manuscript benefited greatly from the helpful reviews of Susan Cormier, Mark Bagley, Michael Elovitz, and Mace Barron of the U.S. EPA. The authors thank Elisha Bryan, Dana Macke, Kit Daniels, and Holly Rogers for the efforts in mesocosm set-up, take-down, sampling, and processing of samples. Greg Pond, Amy Bergdale, Maggie Passmore, and Louis Reynolds of U.S. EPA Region 3′s office in Wheeling, WV, USA and Ben Kefford, University of Canberra, AUS, provided data and helpful input on the content of and levels for the dosing recipes. Agency Disclaimer: The views expressed in this article are those of the authors and do not necessarily represent the views or policies of the U.S. Environmental Protection Agency.
Conflicts of Interest
The authors declare no conflict of interest.
References
- Goodfellow, W.L.; Ausley, L.W.; Burton, D.T.; Denton, D.L.; Dorn, P.B.; Grothe, D.R.; Heber, M.A.; Norberg-King, T.J.; Rodgers, J.H. Major ion toxicity in effluents: A review with permitting recommendations. Environ. Toxicol. Chem. 2000, 19, 175–182. [Google Scholar] [CrossRef]
- Govenor, H.; Krometis, L.A.H.; Willis, L.; Angermeier, P.L.; Hession, W.C. Macroinvertebrate sensitivity thresholds for sediment in Virginia streams. Integr. Environ. Assess. Manag. 2019, 15, 77–92. [Google Scholar] [CrossRef]
- Cook, N.A.; Sarver, E.A.; Krometis, L.H.; Huang, J. Habitat and water quality as drivers of ecological system health in Central Appalachia. Ecol. Eng. 2015, 84, 180–189. [Google Scholar] [CrossRef]
- Timpano, A.J.; Schoenholtz, S.H.; Soucek, D.J.; Zipper, C.E. Benthic macroinvertebrate community response to salinization in headwater streams in Appalachia USA over multiple years. Ecol. Indic. 2018, 91, 645–656. [Google Scholar] [CrossRef]
- Clements, W.H.; Kotalik, C. Effects of major ions on natural benthic communities: An experimental assessment of the US Environmental Protection Agency aquatic life benchmark for conductivity. Freshw. Sci. 2016, 35, 126–138. [Google Scholar] [CrossRef]
- Bradley, T.J. Animal Osmoregulation; Oxford University Press: Oxford, UK, 2009. [Google Scholar]
- Kefford, B.J. Why are mayflies (Ephemeroptera) lost following small increases in salinity? Three conceptual osmophysiological hypotheses. Philos. Trans. R. Soc. B 2019, 374, 20180021. [Google Scholar] [CrossRef]
- Kefford, B.J.; Hickey, G.L.; Gasith, A.; Ben-David, E.; Dunlop, J.E.; Palmer, C.G.; Allan, K.; Choy, S.C.; Piscart, C. Global Scale Variation in the Salinity Sensitivity of Riverine Macroinvertebrates: Eastern Australia, France, Israel and South Africa. PLoS ONE 2012, 7, e35224. [Google Scholar] [CrossRef]
- Nowghani, F.; Chen, C.C.; Jonusaite, S.; Watson-Leung, T.; Kelly, S.P.; Donini, A. Impact of salt-contaminated freshwater on osmoregulation and tracheal gill function in nymphs of the mayfly Hexagenia rigida. Aquat. Toxicol. 2019, 211, 92–104. [Google Scholar] [CrossRef]
- Kefford, B.J.; Buchwalter, D.; Cañedo-Argüelles, M.; Davis, J.; Duncan, R.P.; Hoffmann, A.; Thompson, R. Salinized rivers: Degraded systems or new habitats for salt-tolerant faunas? Biol. Lett. 2016, 12, 20151072. [Google Scholar] [CrossRef]
- Miltner, R. Assessing the Impacts of Chloride and Sulfate Ions on Macroinvertebrate Communities in Ohio Streams. Water 2021, 13, 1815. [Google Scholar] [CrossRef]
- Burton, G.A.J.; Basu, N.; Ellis, B.R.; Kapo, K.E.; Entrekin, S.; Nadelhoffer, K. Hydraulic “Fracking”: Are Surface Water Impacts An Ecological Concern? Environ. Toxicol. Chem. 2014, 33, 1679–1689. [Google Scholar] [CrossRef]
- Wallace, J.B.; Webster, J.R. The Role of Macroinvertebrates in Stream Ecosystem Function. Annu. Rev. Entomol. 1996, 41, 115–139. [Google Scholar] [CrossRef]
- Fahrenfeld, N.L.; Delos Reyes, H.; Eramo, A.; Akob, D.M.; Mumford, A.C.; Cozzarelli, I.M. Shifts in microbial community structure and function in surface waters impacted by unconventional oil and gas wastewater revealed by metagenomics. Sci. Total Environ. 2017, 580, 1205–1213. [Google Scholar] [CrossRef]
- Olson, J.R.; Hawkins, C.P. Effects of total dissolved solids on growth and mortality predict distributions of stream macroinvertebrates. Freshw. Biol. 2017, 62, 779–791. [Google Scholar] [CrossRef]
- Potapova, M. Patterns of Diatom Distribution in Relation to Salinity. In The Diatom World; Seckbach, J., Kociolek, P., Eds.; Springer: Dordrecht, The Netherlands, 2011; pp. 313–332. [Google Scholar]
- Griffith, M.B.; Zheng, L.; Cormier, S.M. Using extirpation to evaluate ionic tolerance of freshwater fish. Environ. Toxicol. Chem. 2018, 37, 871–883. [Google Scholar] [CrossRef]
- Griffith, M.B. Natural variation and current reference for specific conductivity and major ions in wadeable streams of the conterminous USA. Freshw. Sci. 2014, 33, 1–17. [Google Scholar] [CrossRef]
- Cormier, S.M.; Zheng, L.; Flaherty, C. Field-based method for evaluating the annual maximum specific conductivity tolerated by freshwater invertebrates. Sci. Total Environ. 2018, 633, 1637–1646. [Google Scholar] [CrossRef]
- Mount, D.R.; Erickson, R.J.; Highland, T.L.; Hockett, J.R.; Hoff, D.J.; Jenson, C.T.; Norberg-King, T.J.; Peterson, K.N.; Polaske, Z.M.; Wisniewski, S. The acute toxicity of major ion salts to Ceriodaphnia dubia: I. influence of background water chemistry. Environ. Toxicol. Chem. 2016, 35, 3039–3057. [Google Scholar] [CrossRef]
- Cormier, S.M.; Zheng, L.; Flaherty, C.M. A field-based model of the relationship between extirpation of salt-intolerant benthic invertebrates and background conductivity. Sci. Total Environ. 2018, 633, 1629–1636. [Google Scholar] [CrossRef]
- Olmstead, S.M.; Muehlenbachs, L.A.; Shih, J.-S.; Chu, Z.; Krupnick, A.J. Shale gas development impacts on surface water quality in Pennsylvania. Proc. Natl. Acad. Sci. USA 2013, 110, 4962–4967. [Google Scholar] [CrossRef]
- PACode. Chapter 95. Wastewater Treatment Requirements. Available online: https://www.pacodeandbulletin.gov/Display/pacode?file=/secure/pacode/data/025/chapter95/chap95toc.html&d=reduce (accessed on 25 September 2022).
- ORSANCO. Pollution Control Standards for Discharges to the Ohio River; Ohio River Valley Water Sanitation Commission: Cincinnati, OH, USA, 2011. [Google Scholar]
- Pond, G.J. Patterns of Ephemeroptera taxa loss in Appalachian headwater streams (Kentucky, USA). Hydrobiologia 2010, 641, 185–201. [Google Scholar] [CrossRef]
- Pond, G.J.; Passmore, M.E.; Pointon, N.D.; Felbinger, J.K.; Walker, C.A.; Krock, K.J.; Fulton, J.B.; Nash, W.L. Long-term impacts on macroinvertebrates downstream of reclaimed mountaintop mining valley fills in Central Appalachia. Environ. Manag. 2014, 54, 919–933. [Google Scholar] [CrossRef]
- U.S. EPA. A Field-Based Aquatic Life Benchmark for Conductivity in Central Appalachian Streams; U.S. Environmental Protection Agency: Washington, DC, USA, 2011.
- Cañedo-Argüelles, M.; Grantham, T.E.; Perrée, I.; Rieradevall, M.; Céspedes-Sánchez, R.; Prat, N. Response of stream invertebrates to short-term salinization: A mesocosm approach. Environ. Pollut. 2012, 166, 144–151. [Google Scholar] [CrossRef]
- Cañedo-Argüelles, M.; Bundschuh, M.; Gutiérrez-Cánovas, C.; Kefford, B.J.; Prat, N.; Trobajo, R.; Schäfer, R.B. Effects of repeated salt pulses on ecosystem structure and functions in a stream mesocosm. Sci. Total Environ. 2014, 476–477, 634–642. [Google Scholar] [CrossRef]
- Entrekin, S.A.; Maloney, K.O.; Kapo, K.E.; Walters, A.W.; Evans-White, M.A.; Klemow, K.M. Stream Vulnerability to Widespread and Emergent Stressors: A Focus on Unconventional Oil and Gas. PLoS ONE 2015, 10, e0137416. [Google Scholar] [CrossRef]
- Krupnick, A.J. Managing the Risks of Shale Gas: Identifiying a Pathway toward Reponsibile Development: A Review of Shale Gas Regulations by State; Center for Energy Economics and Policy: Washington, DC, USA, 2012. [Google Scholar]
- Posthuma, L.; Suter, G.W., II; Traas, T.P. Species Sensitivity Distributions in Ecotoxicology; CRC Press: Boca Raton, FL, USA, 2001. [Google Scholar]
- Stephan, C.E.; Mount, D.I.; Hansen, D.J.; Gentile, J.; Chapman, G.A.; Brungs, W.A. Guidelines for Deriving Numerical National Water Quality Criteria for the Protection of Aquatic Organisms and Their Uses; U.S. Environmental Protection Agency: Duluth, MN, USA, 1985.
- Soucek, D.J.; Linton, T.K.; Tarr, C.D.; Dickinson, A.; Wickramanayake, N.; Delos, C.G.; Cruz, L.A. Influence of water hardness and sulfate on the acute toxicity of chloride to sensitive freshwater invertebrates. Environ. Toxicol. Chem. 2011, 30, 930–938. [Google Scholar] [CrossRef]
- Erickson, R.J.; Mount, D.R.; Highland, T.L.; Hockett, J.R.; Hoff, D.J.; Jenson, C.T.; Norberg-King, T.J.; Forsman, B. Acute Toxicity of Major Geochemical Ions to Fathead Minnows (Pimephales promelas): Part A—Observed Relationships for Individual Salts and Salt Mixtures. Environ. Toxicol. Chem. 2022, 41, 2078–2094. [Google Scholar] [CrossRef]
- Cormier, S.M.; Suter, G.W.; Zheng, L.; Pond, G.J. Assessing causation of the extirpation of stream macroinvertebrates by a mixture of ions. Environ. Toxicol. Chem. 2013, 32, 277–287. [Google Scholar] [CrossRef]
- Kefford, B.J. Rapid Tests for Community-Level Risk Assessments in Ecotoxicology. In Encyclopedia of Aquatic Ecotoxicology; Férard, J.-F., Blaise, C., Eds.; Springer: Dordrecht, The Netherlands, 2013; pp. 957–966. [Google Scholar]
- Brent, R.N.; Kunkel, J.; Tomek, Z.; Buchardt, D.; DeLisle, P.F.; Sivers, S. A Novel Approach to Developing Thresholds for Total Dissolved Solids Using Standardized and Experimental Toxicity Test Methods. Environ. Toxicol. Chem. 2022, 41, 2782–2796. [Google Scholar] [CrossRef]
- Hintz, W.D.; Mattes, B.M.; Schuler, M.S.; Jones, D.K.; Stoler, A.B.; Lind, L.; Relyea, R.A. Salinization triggers a trophic cascade in experimental freshwater communities with varying food-chain length. Ecol. Appl. 2017, 27, 833–844. [Google Scholar] [CrossRef]
- Mooney, T.J.; McCullough, C.D.; Jansen, A.; Chandler, L.; Douglas, M.; Harford, A.J.; van Dam, R.; Humphrey, C. Elevated Magnesium Concentrations Altered Freshwater Assemblage Structures in a Mesocosm Experiment. Environ. Toxicol. Chem. 2020, 39, 1973–1987. [Google Scholar] [CrossRef]
- Haluszczak, L.O.; Rose, A.W.; Kump, L.R. Geochemical evaluation of flowback brine from Marcellus gas wells in Pennsylvania, USA. Appl. Geochem. 2013, 28, 55–61. [Google Scholar] [CrossRef]
- Sauer, T.C.; Costa, H.J.; Brown, J.S.; Ward, T.J. Toxicity identification evaluations of produced-water effluents. Environ. Toxicol. Chem. 1997, 16, 2020–2028. [Google Scholar] [CrossRef]
- Dresel, P.E.; Rose, A.W. Chemistry and Origin of Oil and Gas Well Brines in Western Pennsylvania; 4th Ser., Open-File Report OFOG 10-01.0; Pennsylvania Geological Survey: Harrisburg, PA, USA, 2010; 48p. [Google Scholar]
- Osborn, S.G.; McIntosh, J.C. Chemical and isotopic tracers of the contribution of microbial gas in Devonian organic-rich shales and reservoir sandstones, northern Appalachian Basin. Appl. Geochem. 2010, 25, 456–471. [Google Scholar] [CrossRef]
- Hayes, T. Sampling and Analysis of Water Streams Associated with the Development of Marcellus Shale Gas; Gas Technology Institute Report 2009; Marcellus Shale Coalition: Pittsburgh, PA, USA, 2009; 49p. [Google Scholar]
- Stout, W.; Lamborn, R.E.; Schaaf, D. Brines of Ohio (a Preliminary Report); 4th Series, Bulletin 37; Geological Survey of Ohio: Columbus, OH, USA, 1932; 35p. [Google Scholar]
- Breen, K.J.; Angelo, C.G.; Masters, R.W.; Sedam, A.C. Chemical and Isotopic Characteristics of Brines from Three Oil- and Gas-Producing Sandstones in Eastern Ohio, with Applications to the Geochemical Tracing of Brine Sources; 84-4314; US Department of the Interior, Geological Survey: Reston, VA, USA, 1985.
- USEPA. Proceedings of the Technical Workshops for the Hydrualic Fracturing Study: Water Resources Management; EPA/600/R-11/048; U.S. Environmental Protection Agency, Office of Research and Development: Washington, DC, USA, 2011; 125p.
- USEPA. The Effects of Moutaintop Mines and Valley Fills on Aquatic Ecosystems of the Central Appalachian Coalfields; EPA/600/R-09/138F; U.S. Environmental Protection Agency: Washington, DC, USA, 2011; 153p.
- Pond, G.J.; Passmore, M.E.; Borsuk, F.A.; Reynolds, L.; Rose, C.J. Downstream effects of mountaintop coal mining: Comparing biological conditions using family- and genus-level macroinvertebrate bioassessment tools. J. North Am. Benthol. Soc. 2008, 27, 717–737. [Google Scholar] [CrossRef]
- Fritz, K.M.; Fulton, S.; Johnson, B.R.; Barton, C.D.; Jack, J.D.; Word, D.A.; Burke, R.A. Structural and functional characteristics of natural and constructed channels draining a reclaimed mountaintop removal and valley fill coal mine. J. North Am. Benthol. Soc. 2010, 29, 673–689. [Google Scholar] [CrossRef]
- Hartman, K.J.; Kaller, M.D.; Howell, J.W.; Sweka, J.A. How much do valley fills influence headwater streams? Hydrobiologia 2005, 532, 91. [Google Scholar] [CrossRef]
- Bryant, L.D.; McPhilliamy, S.; Childers, H. Draft Programmatic Environmental Impact Statement on Mountaintop-mining/Valley Fills in Appalachia—2003: A Survey of the Water Quality of Streams in the Primary Region of Mountaintop/Valley Fill Coal Mining, October 1999 to January 2001; U.S. Environmental Protection Agency, Region 3: Philadelphia, PA, USA, 2002.
- Griffith, M.B.; Norton, S.B.; Alexander, L.C.; Pollard, A.I.; LeDuc, S.D. The effects of mountaintop mines and valley fills on the physicochemical quality of stream ecosystems in the central Appalachians: A review. Sci. Total Environ. 2012, 417, 1–12. [Google Scholar] [CrossRef]
- Kunz, J.L.; Conley, J.M.; Buchwalter, D.B.; Norberg-King, T.J.; Kemble, N.E.; Wang, N.; Ingersoll, C.G. Use of reconstituted waters to evaluate effects of elevated major ions associated with mountaintop coal mining on freshwater invertebrates. Environ. Toxicol. Chem. 2013, 32, 2826–2835. [Google Scholar] [CrossRef]
- U.S. EPA. Environmental Measurements and Modeling: Collection of Methods. Available online: https://www.epa.gov/cwa-methods (accessed on 10 January 2014).
- U.S. EPA. Short-Term Methods for Estimating the Chronic Toxicity of Effluents and Receiving Waters to Freshwater Organisms, 4th ed.; EPA-821-R-02-013; U.S. EPA Office of Water: Washington, DC, USA, 2002.
- Van den Brink, P.J.; Braak, C.J.F.T. Principal response curves: Analysis of time-dependent multivariate responses of biological community to stress. Environ. Toxicol. Chem. 1999, 18, 138–148. [Google Scholar] [CrossRef]
- Rao, C.R. The Use and Interpretation of Principal Component Analysis in Applied Research. Sankhyā: The Indian J. Stat. 1964, 26, 329–358. [Google Scholar]
- Oksanen, J.; Blanchet, F.G.; Friendly, M.; Kindt, R.; Legendre, P.; McGlinn, D.; Minchin, P.; O’Hara, R.B.; Simpson, G.; Solymos, P.; et al. R Package ‘Vegan’: Community Ecology Package, version 2.5—7, 28 November 2020. 2020. Available online: https://cran.r-project.org; https://github.com/vegandevs/vegan (accessed on 22 October 2022).
- Legendre, P.; Gallagher, E.D. Ecologically meaningful transformations for ordination of species. Oecologia 2001, 129, 271–280. [Google Scholar] [CrossRef] [PubMed]
- Ritz, C.; Baty, F.; Streibig, J.C.; Gerhard, D. Dose-Response Analysis Using R. PLoS ONE 2016, 10, e0146021. [Google Scholar] [CrossRef]
- U.S. EPA. Study of Oil and Gas Extraction Wastewater Management Under the Clean Water Act; EPA-821-R19-001; U.S. EPA Office of Water: Washington, DC, USA, 2019.
- Suter, G.W.; Cormier, S.M. A method for assessing the potential for confounding applied to ionic strength in central Appalachian streams. Environ. Toxicol. Chem. 2013, 32, 288–295. [Google Scholar] [CrossRef]
- Farrar, D.; Alexander, L.C.; Yuan, L.L.; Gerritsen, J. Regional Observational Studies: Addressing Confounding. In Ecological Causal Assessment; Norton, S.B., Cormier, S.M., Suter, G.W., Eds.; Taylor and Francis: Boca Raton, FL, USA, 2014; p. 15. [Google Scholar]
- Ohio EPA. Biological and Water Quality Study of the East Fork Little Miami River and Select Tributaries 2012; Ohio Environmental Protection Agency: Columbus, OH, USA, 2014; p. 126.
- Erickson, R.J.; Mount, D.R.; Highland, T.L.; Hockett, J.R.; Hoff, D.J.; Jenson, C.T.; Norberg-King, T.J.; Peterson, K.N. The acute toxicity of major ion salts to Ceriodaphnia dubia. II. Empirical relationships in binary salt mixtures. Environ. Toxicol. Chem. 2017, 36, 1525–1537. [Google Scholar] [CrossRef]
- Mount, D.R.; Erickson, R.J.; Highland, T.L.; Hockett, J.R.; Hoff, D.J.; Jenson, C.T.; Norberg-King, T.J.; Forsman, B. Acute toxicity of major ions to Amphipod Hyalella azteca. Environ. Toxicol. Chem. in revision.
- Wang, N.; Ingersoll, C.G.; Kunz, J.L.; Brumbaugh, W.G.; Kane, C.M.; Evans, R.B.; Alexander, S.; Walker, C.; Bakaletz, S. Toxicity of sediments potentially contaminated by coal mining and natural gas extraction to unionid mussels and commonly tested benthic invertebrates. Environ. Toxicol. Chem. 2013, 32, 207–221. [Google Scholar] [CrossRef]
- Wang, N.; Dorman, R.A.; Ingersoll, C.G.; Hardesty, D.K.; Brumbaugh, W.G.; Hammer, E.J.; Bauer, C.R.; Mount, D.R. Acute and chronic toxicity of sodium sulfate to four freshwater organisms in water-only exposures. Environ. Toxicol. Chem. 2016, 35, 115–127. [Google Scholar] [CrossRef]
- Suter, I.; Traas, T.; Posthuma, L. Issues and practices in the derivation and use of species sensitivity distributions. In Species Sensitivity Distributions in Ecotoxicology; Posthuma, L., Suter, G.W.I., Traas, T., Eds.; CRC Press: Boca Raton, FL, USA, 2002; pp. 437–474. [Google Scholar]
- Buchwalter, D.; Scheibener, S.; Chou, H.; Soucek, D.; Elphick, J. Are sulfate effects in the mayfly Neocloeon triangulifer driven by the cost of ion regulation? Phil. Trans. R. Soc. 2019, 374, 20180013. [Google Scholar] [CrossRef]
- Griffith, M.B. Toxicological perspective on the osmoregulation and ionoregulation physiology of major ions by freshwater animals: Teleost fish, crustacea, aquatic insects, and Mollusca. Environ. Toxicol. Chem. 2017, 36, 576–600. [Google Scholar] [CrossRef] [PubMed]
- U.S. EPA. National Recommended Water Quality Criteria—Aquatic Life Criteria Table. Available online: https://www.epa.gov/wqc/national-recommended-water-quality-criteria-aquatic-life-criteria-table (accessed on 7 July 2022).
- Hem, D. Study and Interpretation the Chemical of Natural of Characteristics Natural Water, 3rd ed.; USGS Water Supply Paper 2254 66-69; U.S. Government Publishing Office: Washington, DC, USA, 1985.
- Rusydi, A.F. Correlation between conductivity and total dissolved solid in various type of water: A review. IOP Conf. Ser. Earth Environ. Sci. 2018, 118, 012019. [Google Scholar] [CrossRef]
- Miller, R.L.; Bradford, W.L.; Peters, N.E. Specific Conductance: Theoretical Considerations and Application to Analytical Quality Control; Water-Supply Paper 2311; U.S. Geological Survey: Washington, DC, USA, 1986.
Disclaimer/Publisher’s Note: The statements, opinions and data contained in all publications are solely those of the individual author(s) and contributor(s) and not of MDPI and/or the editor(s). MDPI and/or the editor(s) disclaim responsibility for any injury to people or property resulting from any ideas, methods, instructions or products referred to in the content. |
© 2023 by the authors. Licensee MDPI, Basel, Switzerland. This article is an open access article distributed under the terms and conditions of the Creative Commons Attribution (CC BY) license (https://creativecommons.org/licenses/by/4.0/).







