Effects of Soil–Rock Geomorphic Units on the Yield of Surface Runoff: A Case Study on Uncultivated Land of a Karst Area
Abstract
:1. Introduction
2. Materials and Methods
2.1. Study Site
2.2. Surface Runoff Collection
2.3. Measurement of Soil–Rock Catchment Area
2.4. Measurement of Soil Properties and Root Biomass
2.5. Statistical Analysis
3. Results
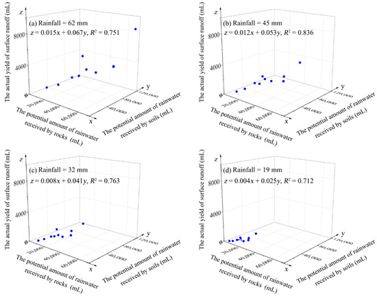
3.1. Surface Runoff Yield
3.2. Measurement Results of Environmental Factors
3.3. Correlation of R with Soil Properties and Root Biomass
4. Discussion
4.1. Characteristics of Surface Runoff in the Karst Area
4.2. The Influence Factors of Surface Runoff
4.3. Application
5. Conclusions
Author Contributions
Funding
Data Availability Statement
Acknowledgments
Conflicts of Interest
References
- Green, S.M.; Dungait, J.A.J.; Tu, C.L.; Buss, H.L.; Sanderson, N.; Hawkes, S.J.; Xing, K.X.; Yue, F.J.; Hussey, V.L.; Peng, J.; et al. Soil functions and ecosystem services research in the Chinese karst critical zone. Chem. Geol. 2019, 527, 119107. [Google Scholar] [CrossRef]
- Xiao, W.J.; Yang, Y.; Jiang, X.Y.; He, Z.L.; Zou, X.G.; You, X.H.; Yang, Y.Y.; Zeng, Z.Z.; Shi, W.Y. Differentresponses of ecohydrologicalprocesses in the re-vegetationarea between the dip and anti-dip slope in a karst rockydesertification area in southwestern China. Plant Soil 2021, 475, 25–43. [Google Scholar] [CrossRef]
- Xiong, K.N.; Zhang, R.K.; Liu, Z.Q.; Lyu, X.; Hu, C.P. A review of nitrogen export and its eco-environmental significance in the superficial karst desertification zone. Water 2023, 15, 1864. [Google Scholar] [CrossRef]
- Zhao, Z.M.; Wang, Q.H. Effect of rock film mulching on preferential flow at rock–soil interfaces in rocky karst areas. Water 2023, 15, 1775. [Google Scholar] [CrossRef]
- Husic, A.; Fox, J.; Adams, E.; Ford, W.; Agouridis, C.; Currens, J.; Backus, J. Nitrate pathways, processes, and timing in an agricultural karst system: Development and application of a numerical model. Water Resour. Res. 2019, 55, 2079–2103. [Google Scholar] [CrossRef]
- Qin, L.Y.; Bai, X.Y.; Wang, S.J.; Zhou, D.Q.; Li, Y.; Peng, T.; Tian, Y.C.; Luo, G.J. Major problems and solutions on surface water resource utilisation in karst mountainous areas. Agric. Water Manag. 2015, 159, 55–65. [Google Scholar] [CrossRef]
- Smith, D.N.I.; Ortega-Camacho, D.; Acosta-Gonzalez, G.; Leal-Bautista, R.M.; Fox, W.E.; Cejudo, E. A multi-approach assessment of land use effects on groundwater quality in a karstic aquifer. Heliyon 2020, 6, e03970. [Google Scholar] [CrossRef] [PubMed]
- Liu, J.C.; Shen, L.C.; Wang, Z.X.; Duan, S.H.; Wu, W.; Peng, X.Y.; Wu, C.; Jiang, Y.J. Response of plants water uptake patterns to tunnels excavation based on stable isotopes in a karst trough valley. J. Hydrol. 2019, 571, 485–493. [Google Scholar] [CrossRef]
- Koit, O.; Barbera, J.A.; Marandi, A.; Terasmaa, J.; Kiivit, I.K.; Martma, T. Spatiotemporal assessment of humic substance-rich stream and shallow karst aquifer interactions in a boreal catchment of northern Estonia. J. Hydrol. 2020, 580, 124238. [Google Scholar] [CrossRef]
- Peng, X.D.; Dai, Q.H.; Ding, G.J.; Li, C.L. Role of underground leakage in soil, water and nutrient loss from a rock-mantled slope in the karst rocky desertification area. J. Hydrol. 2019, 578, 124086. [Google Scholar] [CrossRef]
- Zhou, Q.W.; Luo, Y.; Zhou, X.; Cai, M.Y.; Zhao, C.W. Response of vegetation to water balance conditions at different time scales across the karst area of southwestern China—A remote sensing approach. Sci. Total Environ. 2018, 645, 460–470. [Google Scholar] [CrossRef]
- Zhu, X.R.; Liu, H.Y.; He, W.Q.; Wu, L.; Liu, F. Regolith water storage patterns determine vegetation productivity in global karst regions. Geoderma 2023, 430, 116292. [Google Scholar] [CrossRef]
- Huang, K.; Wang, R.; Wu, W.X.; Wu, P.L.; Li, H.X.; Zeng, L.L.; Shao, J.H.; Liu, H.C.; Xu, T. Trend of vegetation and environmental factors and their feedback in the karst regions of southwestern China. Sustainability 2022, 14, 15941. [Google Scholar] [CrossRef]
- Ning, J.; Liu, X.; Wu, X.; Yang, H.; Ma, J.; Cao, J.H. The effect of bedrock differences on plant water use strategies in typical karst areas of southwest China. Land 2023, 12, 12. [Google Scholar] [CrossRef]
- Li, Y.Q.; Jiang, Z.C.; Chen, Z.H.; Yu, Y.; Lan, F.; Shan, Z.J.; Sun, Y.J.; Liu, P.; Tang, X.B.; Rodrigo-Comino, J. Anthropogenic disturbances and precipitation affect karst sediment discharge in the Nandong underground river system in Yunnan, southwest China. Sustainability 2020, 12, 3006. [Google Scholar] [CrossRef]
- Zhu, D.Y.; Xiong, K.N.; Xiao, H. Multi-time scale variability of rainfall erosivity and erosivity density in the karst region of southern China, 1960–2017. Catena 2021, 197, 104977. [Google Scholar] [CrossRef]
- Adji, T.N.; Haryono, E.; Mujib, A.; Fatchurohman, H.; Bahtiar, I.Y. Assessment of aquifer karstification degree in some karst sites on Java Island, Indonesia. Carbonates Evaporites 2019, 34, 53–66. [Google Scholar] [CrossRef]
- Calaforra, J.M.; Pulido-Bosch, A. Evolution of the gypsum karst of Sorbas (SE Spain). Geomorphology 2003, 50, 173–180. [Google Scholar] [CrossRef]
- Zhao, Z.M.; Shen, Y.X. Rain-induced weathering dissolution of limestone and implications for the soil sinking-rock outcrops emergence mechanism at the karst surface: A case study in southwestern China. Carbonates Evaporites 2022, 37, 69. [Google Scholar] [CrossRef]
- Tao, S.; Zhang, L.K.; Liu, P.Y.; Zou, S.Z.; Yi, Z.; Xiang, L.; Li, D.Y. Transformation process of five water in epikarst zone: A case study in subtropical karst area. Environ. Earth Sci. 2022, 81, 293. [Google Scholar] [CrossRef]
- Zhao, Y.M.; Liao, W.H.; Lei, X.H. Hydrological simulation for karst mountain areas: A case study of central Guizhou province. Water 2019, 11, 991. [Google Scholar] [CrossRef]
- Dai, Q.H.; Peng, X.D.; Yang, Z.; Zhao, L.S. Runoff and erosion processes on bare slopes in the karst rocky desertification area. Catena 2017, 152, 218–226. [Google Scholar] [CrossRef]
- He, J.H.; Cao, Y.; Zhang, K.L.; Xiao, S.Z.; Cao, Z.H. Soil loss through fissures and its responses to rainfall based on drip water monitoring in karst caves. J. Hydrol. 2023, 617, 129000. [Google Scholar] [CrossRef]
- Li, G.J.; Rubinato, M.; Wan, L.; Wu, B.; Luo, J.F.; Fang, J.M.; Zhou, J.X. Preliminary characterization of underground hydrological processes under multiple rainfall conditions and rocky desertification degrees in karst regions of southwest China. Water 2020, 12, 594. [Google Scholar] [CrossRef]
- Peng, X.D.; Dai, Q.H.; Li, C.L.; Zhao, L.S. Role of underground fissure flow in near-surface rainfall-runoff process on a rock mantled slope in the karst rocky desertification area. Eng. Geol. 2018, 243, 1017. [Google Scholar] [CrossRef]
- Sohrt, J.; Ries, F.; Sauter, M.; Lange, J. Significance of preferential flow at the rock soil interface in a semi-arid karst environment. Catena 2014, 123, 1–10. [Google Scholar] [CrossRef]
- Zhao, Z.M.; Shen, Y.X.; Shan, Z.J.; Yu, Y.; Zhao, G.J. Infiltration patterns and ecological function of outcrop runoff in epikarst areas of southern China. Vadose Zone J. 2018, 17, 1–10. [Google Scholar] [CrossRef]
- Zhao, Z.M.; Shen, Y.X.; Jiang, R.H.; Wang, Q.H. Rock outcrops change infiltrability and water flow behavior in a karst soil. Vadose Zone J. 2020, 19, e20002. [Google Scholar] [CrossRef]
- Mitra, S.; Singh, S.; Srivastava, P. Sensitivity of groundwater components to irrigation withdrawals during droughts on agricultural-intensive karst aquifer in the Apalachicola-Chattahoochee-Flint River Basin. J. Hydrol. Eng. 2019, 24, 05018032. [Google Scholar] [CrossRef]
- Mitra, S.; Srivastava, P.; Singh, S. Effect of irrigation pumpage during drought on karst aquifer systems in highly agricultural watersheds: Example of the Apalachicola-Chattahoochee-Flint river basin, southeastern USA. Hydrogeol. J. 2016, 24, 1565–1582. [Google Scholar] [CrossRef]
- Singh, S.; Mitra, S.; Srivastava, P.; Abebe, A.; Torak, L. Evaluation of water-use policies for baseflow recovery during droughts in an agricultural intensive karst watershed: Case study of the lower Apalachicola-Chattahoochee-Flint River Basin, southeastern United States. Hydrol. Process. 2017, 31, 3628–3644. [Google Scholar] [CrossRef]
- Chen, S.L.; Xiong, L.H.; Zeng, L.; Kim, J.S.; Zhang, Q.; Jiang, C. Distributed rainfall-runoff simulation for a large-scale karst catchment by incorporating landform and topography into the DDRM model parameters. J. Hydrol. 2022, 610, 127853. [Google Scholar] [CrossRef]
- Gregory, L.; Wilcox, B.P.; Shade, B.; Munster, C.; Owens, K.; Veni, G. Large-scale rainfall simulation over shallow caves on karst shrublands. Ecohydrology 2009, 2, 72–80. [Google Scholar] [CrossRef]
- Vilhar, U.; Kermavnar, J.; Kozamernik, E.; Petric, M.; Ravbar, N. The effects of large-scale forest disturbances on hydrology—An overview with special emphasis on karst aquifer systems. Earth-Sci. Rev. 2022, 235, 104243. [Google Scholar] [CrossRef]
- Fonseca, M.R.S.; Uagoda, R.E.S.; Chaves, H.M.L. Runoff, soil loss, and water balance in a restored Karst area of the Brazilian Savanna. Catena 2023, 222, 106878. [Google Scholar] [CrossRef]
- Kang, X.B.; Luo, S.; Xu, M. Research on the mechanism of water resource loss in east karst mountain area of Sichuan. Desalin Water Treat. 2015, 53, 557–566. [Google Scholar] [CrossRef]
- Wang, Z.H.; Luo, D.; Xiong, K.N.; Gu, X.; Zhu, Z.Z. Studies on hydrological processes on karst slopes for control of soil and water loss. Sustainability 2022, 14, 5789. [Google Scholar] [CrossRef]
- Shen, Y.X.; Wang, D.J.; Chen, Q.Q.; Tang, Y.Y.; Chen, F.J. Large heterogeneity of water and nutrient supply derived from runoff of nearby rock outcrops in karst ecosystems in SW China. Catena 2019, 172, 125–131. [Google Scholar] [CrossRef]
- Shen, Y.X.; Wang, Q.H.; Zhao, Z.M.; Yuan, C. Fine-scale effect of karst rock outcrops on adjacent soil and plant communities in Southwest China. Catena 2022, 219, 106592. [Google Scholar] [CrossRef]
- Zhao, Z.M.; Shen, Y.X.; Wang, Q.H.; Jiang, R.H. The temporal stability of soil moisture spatial pattern and its influencing factors in rocky environments. Catena 2020, 187, 104418. [Google Scholar] [CrossRef]
- Wang, D.J.; Shen, Y.X.; Huang, J.; Li, Y.H. Rock outcrops redistribute water to nearby soil patches in karst landscapes. Environ. Sci. Pollut. R. 2016, 23, 8610–8616. [Google Scholar] [CrossRef]
- Yang, W.; Peng, X.D.; Dai, Q.H.; Li, C.L.; Xu, S.B.; Liu, T.T. Storage infiltration of rock-soil interface soil on rock surface flow in the rocky desertification area. Geoderma 2023, 435, 116512. [Google Scholar] [CrossRef]
- Wang, F.; Chen, H.S.; Lian, J.J.; Fu, Z.Y.; Nie, Y.P. Preferential flow in different soil architectures of a small karst catchment. Vadose Zone J. 2018, 17, 180107. [Google Scholar] [CrossRef]
- Li, X.Y.; Contreras, S.; Sole-Benet, A.; Canton, Y.; Domingo, F.; Lazaro, R.; Lin, H.; Van Wesemael, B.; Puigdefabregas, J. Controls of infiltration-runoff processes in Mediterranean karst rangelands in SE Spain. Catena 2011, 86, 98–109. [Google Scholar] [CrossRef]
- Fu, T.G.; Chen, H.S.; Zhang, W.; Nie, Y.P.; Gao, P.; Wang, K.L. Spatial variability of surface soil saturated hydraulic conductivity in a small karst catchment of southwest China. Environ. Earth Sci. 2015, 74, 2381–2391. [Google Scholar] [CrossRef]
- Yang, J.; Xu, X.L.; Liu, M.X.; Xu, C.H.; Luo, W.; Song, T.Q.; Du, H.; Kiely, G. Effects of Napier grass management on soil hydrologic functions in a karst landscape, southwestern China. Soil Till. Res. 2016, 157, 83–92. [Google Scholar] [CrossRef]
- Han, Z.; Yang, X.C.; Yin, X.A.; Fang, Q.; Zhao, L.S. Effect of exposed roots on the erosion characteristics of sloped land based on close-range photogrammetry in a karst rocky desertification region. Catena 2023, 225, 107035. [Google Scholar] [CrossRef]
- Wang, S.J.; Liu, Q.M.; Zhang, D.F. Karst rocky desertification in southwestern China: Geomorphology, landuse, impact and rehabilitation. Land Degrad. Dev. 2004, 15, 115–121. [Google Scholar] [CrossRef]
- Pan, L.D.; Li, R.; Li, Q.G. Huang Kai Zhang Linqing Effects of Straw Mulching on Runoff and Sediment Characteristics of Sloping Farmland in the Karst Area of Western Guizhou. J. Soil Water Conserv. 2021, 35, 9–16. (In Chinese) [Google Scholar]
- Fan, C.H.; Zhao, L.S.; Hou, R.; Fang, Q.; Zhang, J.X. Quantitative analysis of rainwater redistribution and soil loss at the surface and belowground on karst slopes at the microplot scale. Catena 2023, 227, 107113. [Google Scholar] [CrossRef]
- Fang, Q.; Zhao, L.S.; Hou, R.; Fan, C.H.; Zhang, J.X. Rainwater transformation to runoff and soil loss at the surface and belowground on soil-mantled karst slopes under rainfall simulation experiments. Catena 2022, 215, 106316. [Google Scholar] [CrossRef]
- Liu, W.; Li, Z.W.; Zhu, J.X.; Xu, C.H.; Xu, X.L. Dominant factors controlling runoff coefficients in karst watersheds. J. Hydrol. 2020, 590, 125486. [Google Scholar] [CrossRef]
- Wang, S.; Yan, Y.; Fu, Z.Y.; Chen, H.S. Rainfall-runoff characteristics and their threshold behaviors on a karst hillslope in a peak-cluster depression region. J. Hydrol. 2022, 605, 127370. [Google Scholar] [CrossRef]
- Zhao, L.S.; Fang, Q.; Hou, R.; Wu, F.Q. Effect of rainfall intensity and duration on soil erosion on slopes with different microrelief patterns. Geoderma 2021, 396, 115085. [Google Scholar] [CrossRef]
- Juan, J.; Liu, D.D.; Fei, Y.H.; Pu, L. Combined effects of moss colonization and rock fragment coverage on sediment losses, flow hydraulics and surface microtopography of carbonate-derived laterite from karst mountainous lands. Catena 2023, 229, 107202. [Google Scholar] [CrossRef]
- Hou, F.; Cheng, J.H.; Guan, N. Investigating the effect of soil cracks on preferential flow using a dye tracing infiltration experiment in karst in Southwest China. Land Degrad. Dev. 2023, 34, 1612–1628. [Google Scholar] [CrossRef]
- Luo, L.; Wu, Y.Y.; Li, H.T.; Xing, D.K.; Zhou, Y.; Xia, A.T. Drought Induced Dynamic Traits of Soil Water and Inorganic Carbon in Different Karst Habitats. Water 2022, 14, 3837. [Google Scholar] [CrossRef]
- Luo, Y.; Shi, C.M.; Yang, S.T.; Liu, Y.; Zhao, S.; Zhang, C.C. Characteristics of soil calcium content distribution in karst dry-hot valley and its influencing factors. Water 2023, 15, 1119. [Google Scholar] [CrossRef]






| Soil Depth (cm) | Soil Particle Composition (%) | Soil Texture (USDA System) | Bulk Density (g·cm−3) | Capillary Porosity (%) | ||
|---|---|---|---|---|---|---|
| 2~0.05 mm | 0.05~0.002 mm | <0.002 mm | ||||
| 0~10 | 17.15 | 47.70 | 35.15 | Silty clay loam | 1.16 ± 0.13 b | 46.92 ± 3.57 a | 
| 10~30 | 5.36 | 44.39 | 50.25 | Silty clay | 1.29 ± 0.36 a | 41.36 ± 4.78 b | 
| Number | Rock Projected Area (cm2) | Soil Projected Area (cm2) | Total Projected Area (cm2) | 
|---|---|---|---|
| 1 | 2575.35 | 1933.32 | 4508.67 | 
| 2 | 4157.06 | 3283.01 | 7440.07 | 
| 3 | 5615.44 | 5597.96 | 11,213.40 | 
| 4 | 5833.86 | 9103.95 | 14,937.80 | 
| 5 | 6849.43 | 5741.17 | 12,590.59 | 
| 6 | 7401.53 | 7439.87 | 14,841.40 | 
| 7 | 9244.61 | 7168.18 | 16,412.79 | 
| 8 | 10,718.32 | 10,715.86 | 21,434.18 | 
| 9 | 11,497.05 | 17,695.52 | 29,192.57 | 
| 10 | 11,578.79 | 8722.13 | 20,300.92 | 
| Soil Bulk Density | Soil Porosity | Soil Hydraulic Conductivity | Root Biomass | |
|---|---|---|---|---|
| R62 mm | 0.739 * | −0.780 ** | −0.812 ** | −0.854 ** | 
| R45 mm | 0.637 * | −0.875 ** | −0.830 ** | −0.719 * | 
| R32 mm | 0.641 * | −0.786 ** | −0.885 ** | −0.638 * | 
| R19 mm | 0.396 | −0.321 | −0.250 | −0.235 | 
| Disclaimer/Publisher’s Note: The statements, opinions and data contained in all publications are solely those of the individual author(s) and contributor(s) and not of MDPI and/or the editor(s). MDPI and/or the editor(s) disclaim responsibility for any injury to people or property resulting from any ideas, methods, instructions or products referred to in the content. | 
© 2023 by the authors. Licensee MDPI, Basel, Switzerland. This article is an open access article distributed under the terms and conditions of the Creative Commons Attribution (CC BY) license (https://creativecommons.org/licenses/by/4.0/).
Share and Cite
Zhao, Z.; Wang, Q.; Zhang, J. Effects of Soil–Rock Geomorphic Units on the Yield of Surface Runoff: A Case Study on Uncultivated Land of a Karst Area. Water 2023, 15, 3224. https://doi.org/10.3390/w15183224
Zhao Z, Wang Q, Zhang J. Effects of Soil–Rock Geomorphic Units on the Yield of Surface Runoff: A Case Study on Uncultivated Land of a Karst Area. Water. 2023; 15(18):3224. https://doi.org/10.3390/w15183224
Chicago/Turabian StyleZhao, Zhimeng, Qinghe Wang, and Jin Zhang. 2023. "Effects of Soil–Rock Geomorphic Units on the Yield of Surface Runoff: A Case Study on Uncultivated Land of a Karst Area" Water 15, no. 18: 3224. https://doi.org/10.3390/w15183224
APA StyleZhao, Z., Wang, Q., & Zhang, J. (2023). Effects of Soil–Rock Geomorphic Units on the Yield of Surface Runoff: A Case Study on Uncultivated Land of a Karst Area. Water, 15(18), 3224. https://doi.org/10.3390/w15183224
 
        


 
       