Abstract
Meadows are valuable areas that play an important role in the carbon cycle. Depending on several factors, these areas can be carbon sinks or net emitters of carbon dioxide (CO2) into the atmosphere. In the present study, the use of an antitranspirant (AT) with silicon and the groundwater level in a subirrigation system in a three-cut meadow were evaluated on the carbon dioxide exchange balance and the yield of aboveground biomass. The study was carried out in four experimental plots: with high groundwater level (HWL), with a high water level with AT application (HWL_Si), with a lower groundwater level (LWL), and with a lower groundwater level and AT application (LWL_Si). Flux measurements were made using the closed dynamic chamber method. In the drier and colder 2021, the meadow was a net CO2 emitter (mean annual net ecosystem exchange (NEE) of all plots: +247.4 gCO2-C·m−2y−1), whereas in the more wet and warmer 2022, assimilation outweighed emissions (mean annual NEE of all plots: −187.4 gCO2-C·m−2y−1). A positive effect of the silicon antitranspirant application was observed on the reduction of carbon dioxide emissions and the increase of gross primary production (GPP) from the plots with higher groundwater levels. For the area with lower water levels, the positive impact of AT occurred only in the second year of the experiment. The yield of aboveground biomass was higher by 5.4% (in 2021) up to 11.7% (in 2022) at the plot with the higher groundwater level. However, the application of AT with silicon contributed to yield reduction in each cut, regardless of the groundwater level. On an annual basis, AT application with silicon reduced the yield by 11.1–17.8%.
1. Introduction
In the face of ongoing climate change, with an increasing greenhouse gas concentration in the atmosphere, it is crucial to take rational measures to limit emissions of these gases from terrestrial ecosystems. Farming is recognized as a sector that significantly contributes to greenhouse gas (GHG) emissions and temperature rise in the atmosphere, both through agricultural production and soil processes [,]. Essential components of agriculture production are grasslands, which can act either as a carbon dioxide sink or source []. The amount of carbon assimilated or emitted by a meadow ecosystem is determined by its intended use, soil type and its moisture, and type of plant communities and their biomass, as well as meteorological and climate conditions []. Grasslands, especially the ones on organic soils, are very sensitive to changes in groundwater levels []. It is worth noting that many meadows have been formed due to the drainage of former peatbogs [,]. A decrease in the water table depth (WTD) and moisture content of these areas has initiated the decay and mineralization processes of peat, resulting in increased carbon dioxide emissions to the atmosphere []. Therefore, it is essential to introduce appropriate water management practices to grasslands to limit soil degradation processes and reduce GHG emissions from organic soils.
Many researchers emphasize that the proper use of drainage infrastructure in grassland areas is extremely important and can improve water management efficiency and reduce the outflow of nitrates from agricultural areas [,]. Furthermore, solutions based on managed drainage and irrigation could help mitigate climate change and its effects on agriculture by reducing drought and flood risks [,]. Also, it has been shown that a traditional meadow irrigation technique with an open ditch system, previously used in various parts of Europe, is an appropriate management practice that meets ecological and economic objectives []. Regulated water management in grassland areas significantly affects the GHG emissions from these ecosystems [,]. Properly used and irrigated grasslands can contribute even to CO2 sequestration [,,,]. Therefore, it is rational to raise groundwater levels by subsoil irrigation to a level where the balance of carbon dioxide exchange between the soil and the atmosphere would be sustainable []. However, it should also be noted that re-moistening of soils causes direct changes in the composition of vegetation, reflecting new, more humid conditions, increasing biodiversity, restoring carbon cycle processes, and resuming carbon accumulation [,,,].
The proper irrigation of grasslands thus appears to be a valid measure with the biggest potential to reduce CO2 emissions from soils. Unfortunately, this is an increasingly difficult task to achieve due to limited water resources in many regions of the world, the current climate change, and the increasing frequency of drought periods []. Therefore, looking for other alternative methods independent of longitude and latitude, and thus climatic conditions, is crucial. A potential solution for reducing water losses from meadows, which may potentially regulate processes controlling carbon turnover and emissions, could be the application of antitranspirants, i.e., products that reduce transpiration. Among the most popular antitranspirants applied in agronomic practices are Vapor Gard, kaolin, chitosan, and abscisic acid. Previous research showed the great potential of antitranspirants in adapting plants to drought periods [,,,]. It was also proved that the application of Vapor Gard on commercial grass (Festuca arundinacea and Poa pratense) significantly reduces transpiration but has a negative impact on CO2 uptake []. However, the question of whether these measures can affect carbon dioxide emissions and balance has received no attention and has not been thoroughly investigated and explained.
Therefore, the aim of this study is to evaluate the effects of the application of an antitranspirant (AT) containing silicon and the groundwater level in a subirrigation system in a three-cut meadow on the carbon dioxide fluxes and seasonal balance. The effects of these treatments on the meadow productivity expressed in terms of carbon dioxide assimilated and aboveground plant biomass produced were also analyzed. In addition, the research hypothesis that the foliar application of antitranspirant with silicon, as well as higher groundwater levels, significantly affect daily CO2 fluxes was verified.
2. Materials and Methods
2.1. Site Description
The study was conducted in 2021–2022 on a meadow (52°03′47′′ N, 16°41′46′′ E) located in Racot, 50 km south of Poznań, the Wielkopolska region, Poland (Figure 1). This meadow is occupied by species such as Capsella bursa, Carex sp., Chenopodium album, Cirsium rivulare, Elymus repens, Galium mollugo, Glechoma hederacea, Lamium album, Lamium purpureum, Phalaris arundinacea, Poa pratensis. Polygonum bistorta, Ranunculus auricomus, Rumex obtusifolius, Stellaria media, Taraxacum officinale, Veronica chamaedrys, Veronica persica. The meadow is cut three times a year for animal feed. In 2021, the cutting took place on 31 May, 14 July, and 30 September, and in 2022 on 6 June, 15 August, and 17 November. The soil consists mainly of fine-grained loose sands, which form Mollic Gleysols. The field water capacity (FWC) for the 0–20 cm soil layer equals 49%. A more detailed soil characterization for the study area is described by Kocięcka et al. [].

Figure 1.
Location of the Racot meadow and scheme of the experiment.
2.2. Experimental Design
A subirrigation system in this area is used to dam the water and regulate the groundwater level. The experiment was carried out on a part of a meadow located directly next to a ditch where a valve damming the water is located (Figure 1). The valve was closed throughout the experiment, which allowed a difference in groundwater levels to be maintained in the area upstream and downstream of the damming. Thus, two distinct sites differing in groundwater level were obtained: high groundwater level (HWL) and lower groundwater level (LWL).
As part of the experiment, an antitranspirant (AT) called Krzemian from Chemirol (Poland) was applied to parts of the meadow at both the HWL and LWL sites. The control plots, without chemical treatment, are called HWL and LWL, while the ones with Krzemian application are called HWL_Si and LWL_Si for sites with higher and lower WTD, respectively. The applied Krzemian consists of orthosilicic acid and micronutrients such as boron, copper, molybdenum, and zinc []. It was sprayed foliarly at the beginning of the growing season and after each meadow cutting at a rate of 0.8 L·ha−1 with a hand sprayer.
At each of the four experimental plots (HWL, HWL_Si and LWL, LWL_Si), three soil frames (75 × 75 × 20 cm made of PVC) were installed to facilitate chamber measurements. Due to the permanent installation of the soil frames, the agrotechnical measures taken on the meadow could not be carried out. Therefore, the meadow sward was manually cut three times a year and sampled for laboratory analyses. All biomass samples were weighed and dried at 105 °C to obtain the dry matter volume. Then, the results were converted into kg·ha−1 to assess yield [].
2.3. Auxiliary Data
Meteorological and hydrological conditions were monitored in the meadow. Air temperature and relative humidity at 2 m height were measured by a HygroVUE5 thermohygrometer (Campbell Sci., Logan, UT, USA). An SKP215 sensor (Skye Instruments Ltd, Llandrindod Wells, UK) was used to measure incoming photosynthetically active radiation (PAR). Soil temperature and soil moisture at 5 cm depth at the HWL and LWL sites were monitored by T-107 thermistors (Campbell Sci., Logan, UT, USA) and CS-616 probes (Campbell Sci., Logan, UT, USA), respectively. All data were recorded with 30 min time steps on a CR1000 datalogger (Campbell Sci., Logan, UT, USA). In addition, HOBO U20L-01 dataloggers (Onset, Bourne, MA, USA) were installed at the HWL and LWL sites to monitor groundwater levels. Precipitation was measured on site by a heated rain gauge (Lambrecht meteo GmbH, Göttingen, Germany). To fill the gaps in the meteorological data series, the data from the nearest weather station in Kościan (distance 5 km NW) owned by the Polish Institute of Meteorology and Water Management—National Research Institute was used.
Furthermore, the duration of the growing season in both investigated years was determined by the Huculak and Makowiec method [] based on the cumulative series of deviations of the mean daily temperature from the threshold value of 5 °C. The beginning of the growing season is defined as the day after which the cumulative values of successive deviations from 5 °C are exclusively positive, and the end of the season when the values are exclusively negative [].
2.4. Chamber Measurements of CO2 Fluxes
Carbon dioxide fluxes were measured with the closed dynamic (non-steady-state flow-through) portable chamber system as described in Juszczak et al. [,,] and Acosta et al. []. Two types of chambers were applied—a transparent chamber made from 3 mm thick Plexiglas (Evonik Industries, Darmstadt, Germany) and a non-transparent chamber made from white 3 mm thick PVC, in order to facilitate measurements of net ecosystem exchange (NEE) and ecosystem respiration (Reco), respectively. The chamber dimensions were 0.78 × 0.78 × 0.50 m, and their volume was 0.296 m3. The gas concentration changes in the chamber headspace were measured by an LI-840 gas analyzer (LI-COR Biosciences, Lincoln, Nebraska, USA) installed in the portable box (equipped with a pump, air-flow controller, filter, batteries, and CR-1000 datalogger (Campbell Sci., Logan, UT, USA). The air was circulated in the closed system between chambers and the gas analyzer through 3 m long Teflon tubes with the constant rate of 0.7 L·m−1. Each chamber was equipped with a shielded HygroVUE™5 temperature and relative humidity sensor (Campbell Sci., Logan, UT, USA), 2 computer fans (1.4 W each) to mix the air in the chamber headspace, and a vent to equilibrate air pressure during measurements [,]. The transparent chamber was also equipped with an SKP215 sensor to monitor PAR radiation during measurements. Chambers were placed on preinstalled 20 cm high PVC soil frames (0.75 × 0.75 m) and inserted 15 cm deep into the soil to ensure an adequate seal between the soil and the atmosphere and reduce horizontal gas flow. The tightness of the chamber system and sealing were assured through the rubber installed at the bottom edge of each chamber’s walls. Three soil frames were installed per each plot as replicates, resulting in 12 frames installed for the purpose of the experiment.
Chamber measurements were taken every 3 to 5 weeks, only during sunny and cloudless conditions, resulting in 15 and 13 campaigns in 2021 and 2022, respectively. Measurements started early in the morning and were taken until the late afternoon. At each of the plots, NEE measurements preceded the Reco measurements. The chamber closure time was 90 and 150 s for NEE and Reco measurements, respectively.
2.5. CO2 Flux Calculation and Gap Filling
CO2 fluxes were calculated in μmol·m−2·s−1 based on the gas concentration changes in the chamber headspace over the closure time using linear regression, as described in Juszczak et al. [,]. Before the flux calculation, the measured CO2 concentrations were corrected for water dilution by applying water vapor correction in accordance with Webb et al. []. Fluxes were calculated based on a minimum of 40 s of data after the exclusion of the first 10–15 s of data to eliminate data noise originating from disturbances occurring after deployment of the chamber. In order to avoid underestimation of the fluxes caused by possible gas saturation or changes in the chamber headspace microclimate (as described in Kutzbach et al. []), the steepest part of the regression was used to calculate fluxes after excluding the end part of the data series, wherein possible disturbances occur and disturb the linear slope of the regression.
Gap filling of the CO2 data series in the periods between campaigns was carried out by applying the empirical model described by Drösler [] and further elaborated by Hoffmann et al. []. Due to a limited amount of flux data, the gap-filling procedure was applied for each of the four plots (HWL, HWL_Si, LWL, and LWL_Si), where all data from replicates were integrated into one data pool. At the first step, for each of the campaigns, the temperature-dependent respiration model of Lloyd and Taylor [] was fitted to the measured Reco fluxes and air temperatures to estimate the Reco modeling parameters (Rref and Eo):
where Reco is the measured ecosystem respiration (μmol·m−2·s−1), Rref is the respiration at the reference temperature of 283.15 K (Tref), Eo is activation energy (K), T0 is the constant starting temperature (227.13 K), and T is the mean air temperature for the time of chamber closure. The Reco modeling parameters were then used to calculate Reco fluxes for the time and temperatures of the NEE measurements in order to calculate gross primary production (GPP) by subtracting the modeled Reco from the measured NEE fluxes.
In the second step, the PAR-dependent campaign-specific GPP model was applied by fitting the rectangular, hyperbolic light response function of Michaelis–Menten (1913) to the calculated GPP (μmol·m−2·s−1) and measured PAR (μmol·m−2·s−1) to estimate the GPP modeling parameters (GPmax and α):
where GPmax is the maximum rate of CO2 fixation at infinite PAR (μmol−1·m2·s−1), while α is the light use efficiency (mol CO2 mol−1 photons).
In the next step, the calculated Reco and GPP model parameters were interpolated linearly in the periods between campaigns (as described in Juszczak et al. []) in order to calculate Reco and GPP based on the measured air temperatures and PAR, respectively. Finally, NEE was calculated from the formula NEE = GPP + Reco. All fluxes were calculated with 30 min time steps and were recalculated into mass units in order to calculate daily and seasonal sums of Reco, GPP, and NEE.
2.6. Statistical Analyses
Statistical analyses were carried out for daily values of Reco, GPP, and NEE fluxes in individual plots. The normal distribution of the values was checked using Shapiro–Wilk’s tests. In most cases, the distribution differed from normal, and hence, non-parametric tests were performed. Therefore, the Wilcoxon Matched Pairs Test in Statistica software (version 13) was used to check whether the daily flux rates in individual plots differed significantly in each cut. The level of significance α = 0.05 was accepted in all cases. Furthermore, the Spearman correlation matrix (R-Studio) was performed to analyze the relationship between daily rates of GPP, Reco, NEE, soil moisture (SM), air temperature (TA), and water table depth (WTD) for the individual measurement plots. As a final analysis, a Spearman correlation was carried out between the cumulative GPP, Reco, and NEE values in the cuts and the above-ground biomass yield obtained for each plot.
3. Results
3.1. Environmental Conditions
The two-year data series of air temperature, rainfall, soil moisture, and groundwater level are presented in Figure 2. The growing season is marked in grey. The growing season in 2021 lasted 244 days and began on 24 March and ended on 22 November. In 2022, the growing season was three days longer (247 days) and lasted from 14 March until 15 November. The average daily temperature in 2021 was 9.1 °C, whereas 2022 was 1.0 °C warmer. The minimum mean daily temperatures were −10.8 °C and −7.4 °C in 2021 and 2022, respectively. By contrast, the maximum mean daily temperature in 2021 was 26.6 °C, whereas in 2022, it was 1° C higher. The years under study also differed in the amount of precipitation. The yearly sums of precipitation were equal to 539.5 mm and 604.7 mm in 2021 and 2022, respectively. The highest monthly rainfall was recorded in August in both years. In 2021 it reached 84 mm, and in 2022, 135 mm. The driest month in both years was March, with 20 mm of rain in 2021 and no rainfall in 2022. During the entire study period, the WTD levels directly correlated with precipitation episodes. This is most evident in August 2022, when just after an extreme rain event of 83 mm recorded on 20 August, a sharp rise in WTD levels was noted at both HWL and LWL sites (Figure 2b). Within the analyzed years, WTD varied between 0.29 and 1.09 m below ground level (mbgl) as well as between 0.09 and 0.92 mbgl, at LWL and HWL sites, respectively. The highest WTD levels at both sites occurred during winter, whereas the lowest levels were recorded during the summer months (June–August). The same pattern is reflected in soil moisture. The maximum soil moisture value at the HWL site was 66% and occurred on 18 July 2021, immediately after the rainfall. At the LWL site, the highest value of up to 57% was also recorded on the same day. The lowest values of 13% for HWL and 12% for LWL were observed in July 2022. When comparing both years, it can be observed that during the spring-summer period of 2022, soil moisture values were lower than in 2021. The values of the measured parameters during the individual cut periods and collectively during the 2021–2022 growing season are summarized in Table 1.

Figure 2.
Environmental conditions at the study area in 2021–2022; (a) air temperature; (b) precipitation and soil moisture; (c) groundwater table depth at the HWL (blue lines) and LWL (orange lines) sites.

Table 1.
Characteristics of individual cuts, including their duration, average daily air temperature, rainfall, average soil moisture, and water table depth (WTD) at the HWL and LWL sites.
3.2. GPP, Reco, and NEE Fluxes
The fluxes of GPP, Reco, and NEE modeled for the individual plots (HWL, HWL_Si, LWL, LWL_Si) for the years 2021–2022 are shown in Figure 3. When analyzing the GPP values, a clear seasonal variation is noticeable. In the winter months, values close to zero occurred, whereas the GPP of the summer months reached up to −33 gCO2-C·m−2·day−1. When interpreting these data, it should be noted that negative GPP values indicate the loss of CO2 from the atmosphere and its simultaneous assimilation by plants. The highest assimilation rates were recorded in July 2021 when the GPP was −25.53 gCO2-C·m−2·day−1 at the HWL, −33.53 gCO2-C·m−2·day−1 at the HWL_Si, −28.67 gCO2-C·m−2·day−1 at the LWL, and −22.48 gCO2-C·m−2·day−1 at the LWL_Si plot. In addition, during the winter season, the lower activity of microorganisms and plants caused by low temperatures resulted in Reco values close to zero. The increase in air temperature in the spring periods resulted in a gradual increase in Reco (Figure 3b). Regardless of the analyzed plots, the highest CO2 emission rates occurred in June and July 2021. Reco fluxes reached up to 22.00 gCO2-C·m−2·day−1 at the HWL, 20.63 gCO2-C·m−2·day−1 at the HWL_Si, 17.90 gCO2-C·m−2·day−1 at the LWL, and 26.46 gCO2-C·m−2·day−1 at the LWL_Si. Furthermore, daily rates of Reco fluxes were higher in 2021 than in 2022. The modeled daily NEE fluxes expressed very high seasonal variability, especially during the growing period. It has to be noted here that whenever NEE fluxes are positive, emissions prevail over assimilation, whereas when they are negative, the situation is reversed. In the winter season, NEE fluxes were positive, equal to Reco, and close to zero. The highest daily NEE rates occurred in summer months after cutting, and they were close to 11 gCO2-C·m−2·day−1 (11.92 gCO2-C·m−2·day−1 at the HWL, 11.63 gCO2-C·m−2·day−1 at the HWL_Si, 11.75 gCO2-C·m−2·day−1 at the LWL), except for the LWL_Si plot, where the highest NEE fluxes reached up to 18.96 gCO2-C·m−2·day−1. What is, however, more important, is that the daily rates of NEE fluxes by most of the years were negative, which signifies the predominance of CO2 assimilation processes over emissions and indicates periods when the meadow was a net sink for CO2 from the atmosphere. The most negative NEE flux rates were observed in spring 2022 (Figure 3c), particularly for HWL_Si, where they reached −24.28 gCO2-C·m−2·day−1.

Figure 3.
The seasonal dynamics of modeled daily rates of (a) GPP; (b) Reco; and (c) NEE fluxes for control (HWL, LWL) and treated plots (HWL_Si, LWL_Si); grey background marks the growing season.
The results of the Spearman correlation matrix carried out for the daily rates of CO2 fluxes (GPP, Reco, NEE) and environmental variables (SM, TA, WTD) for all experimental plots and for both years (2021, 2022) are presented in the supplementary materials (Figures S1 and S2). Reco correlated most strongly with TA for all treatments in both years. The correlation coefficient for these regressions is between 0.89 and 0.91 for 2021 and between 0.77 and 0.84 for 2022. Correlation between Reco and WTD is negative, with correlation coefficients ranging from −0.50 to −0.59 and from −0.56 to −0.67 in 2021 and 2022, respectively. Correlations between Reco and SM were negative and rather weak, with R from −0.34 to −0.37 in 2021 and from −0.51 to −0.66 in 2022. GPP was negatively correlated with TA and positively with WTD and SM. Although correlation coefficients for GPP vs. TA regressions ranged from −0.59 to −0.63 in 2021, in 2022 they were negligible. In contrast, for GPP vs. WTD, the correlation coefficient ranged from 0.28 to 0.38 in 2021 and from 0.29 to 0.46 in 2022. For GPP vs. SM regressions, R values were at a similar rate. The differences in correlations between 2021 and 2022 are most likely due to different meteorological conditions in both years.
3.2.1. Gross Primary Production (GPP)
Analyzing the daily flux rates in the individual meadow cut, a direct influence of meteorological conditions on their magnitude can be observed (Figure 4). Concerning GPP, it is noticeable that in 2021 the highest fluxes were reached during the second cut (1.06–14.07.21), with the average daily fluxes up to −14.75 gCO2-C·m−2·day−1 for HWL, −20.37 gCO2-C·m−2·day−1 for HWL_Si, −17.36 gCO2-C·m−2·day−1 for LWL and −14.07 gCO2-C·m−2·day−1 for LWL_Si. Values in the I and III cuts were similar to each other, and their average daily values ranged from −6.24 to −9.24 gCO2-C·m−2·day−1, depending on the plot. The average daily GPP fluxes for the entire growing season in 2021 were −7.99 gCO2-C·m−2·day−1 for HWL, −9.20 gCO2-C·m−2·day−1 for HWL_Si, −7.97 gCO2-C·m−2·day−1 for LWL and −7.15 gCO2-C·m−2·day−1 for LWL_Si. In the 2022 growing season, daily GPP rates were higher for plots with higher WTD and ranged from −9.40 gCO2-C·m−2·day−1 at the HWL to −10.16 gCO2-C·m−2·day−1 at the HWL_Si, whereas at plots with lower WTD, GPP fluxes were at the rates similar to those in 2021 and ranged from −7.41 gCO2-C·m−2·day−1 at the LWL to −8.00 gCO2-C·m−2·day−1 at the LWL_Si plots. Looking at the distribution of daily GPP rates in the individual cuts in the second year of the study, it can be seen that the highest fluxes were reached in the first cut and not in the second cut like in the previous year. Therefore, the seasonal distribution of fluxes is different from the first year of the study, which was influenced by different meteorological conditions.

Figure 4.
Daily GPP fluxes for each plot per cut and growing season (a) in 2021; (b) in 2022.
Statistical analyses were carried out to check whether the differences in daily GPP rates between treatments in each cut were significant. Due to the lack of a normal distribution of daily GPP values, a non-parametric Wilcoxon matched-pairs test was performed. Figure 5 shows the results obtained from the analysis. For all p < 0.05, the null hypothesis of no significant difference between the values was rejected. Therefore, it can be concluded that in the I, II, and III cuts in 2022, and also in the I cut in 2021, the daily GPP rates for individual plots differ significantly. In the case of the II cut in 2021, no significant differences were observed between the LWL_Si and HWL plots, and in the III cut in 2021, between LWL and LWL_Si. The results show that WTD significantly impacted the daily GPP fluxes. Furthermore, the application of silicon antitranspirant also significantly affected the daily GPP rates. This was evident for plots with higher and lower WTD in all cuts except for the third cut in 2021, wherein no significant differences were observed between the LWL and LWL_Si plots.

Figure 5.
Comparison of daily GPP fluxes for individual plots (HWL, HWL_Si, LWL, LWL_Si) using Wilcoxon matched-pairs test in each cut in 2021 and 2022. p < 0.05 means that the pairs are significantly different from each other.
Figure 6 shows the cumulative GPP values in each cut. During the two-year study period, the highest uptake for each plot was recorded in the first cut of 2022. This is particularly evident for the HWL_Si plot, wherein GPP fluxes reached −1292.32 gCO2-C·m−2·cut−1 and were two times higher than for the same plot in 2021. When comparing plots with different WTD levels, it can be seen that in the third cut in 2021 and in all cuts in 2022, the HWL plots assimilated more CO2 than the LWL plots. Therefore, it can be concluded that higher WTD positively affected GPP. In the case of the silicon application, it is apparent that in the area with a higher WTD, the application of the antitranspirant contributed to higher assimilation rates and ecosystem productivity in all cuts except for the third cuts in 2021 and 2022. In the site with a lower WTD, no clear pattern was observed. In 2021, GPP at the plot with lower WTD and silicon application (LWL_Si) was lower by 10% in the first cut and by 19% in the second cut in comparison to the plot without silicon (LWL). In the third cut of 2021, the GPP rates of both LWL plots were similar (−486.47 gCO2-C·m−2·cut−1 for LWL and −488.48 gCO2-C·m−2·cut−1 for LWL_Si). However, in 2022, a pattern opposite to that of 2021 was observed, wherein the plot with the antitranspirant application (LWL_Si) expressed higher assimilation rates than the LWL one.

Figure 6.
Cumulative GPP values for individual plots in each cut in 2021–2022.
3.2.2. Ecosystem Respiration (Reco)
As ecosystem respiration is one of the most important sources of carbon flux between terrestrial ecosystems and the atmosphere, it is crucial to determine its seasonal variation and the effect of applying a silicon-based antitranspirant. Figure 7 shows the daily Reco fluxes for individual plots in each cut. During the 2021 growing season, the lowest average daily Reco flux was observed in the first cut and equaled to 6.88 gCO2-C·m−2·day−1 for the HWL plot, 6.26 gCO2-C·m−2·day−1 for HWL_Si, 6.41 gCO2-C·m−2·day−1 for LWL, and 5.94 gCO2-C·m−2·day−1 for LWL_Si. The highest daily Reco fluxes were recorded in the second cut for the plots with higher WTD and reached up to 22 gCO2-C·m−2·day−1 for HWL and 20.63 gCO2-C·m−2·day−1 for HWL_Si. For the plots with lower WTD, the maximum daily Reco fluxes occurred in the first cut for LWL (17.90 gCO2-C·m−2·day−1) and in the third cut for LWL_Si (26.46 gCO2-C·m−2·day−1). The increase in Reco and higher average fluxes in the second cut were caused mainly by the higher mean daily air temperatures of this period. The TA of the first cut was 9.0 °C, whereas in the second cut it was much higher, reaching 19.4°C (Table 1).

Figure 7.
Daily Reco fluxes for individual plots in each cut and growing season (a) in 2021; (b) in 2022.
The largest range of respiration rates can be observed in the first cut of 2022. Both the lowest (1.81 gCO2-C·m−2·day−1 for HWL, 1.64 gCO2-C·m−2·day−1 on HWL_Si, 1.51 gCO2-C·m−2·day−1 on LWL, and 1.17 gCO2-C·m−2·day−1 on LWL_Si) and the highest daily CO2 fluxes (16.56 gCO2-C·m−2·day−1 for HWL, 17.34 gCO2-C·m−2·day−1 for HWL_Si, 15.15 gCO2-C·m−2·day−1 for LWL, and 14.79 gCO2-C·m−2·day−1 for LWL_Si) were recorded in this cut for the entire growing season in 2022. The average daily Reco fluxes for the 2022 growing season were 8.47 gCO2-C·m−2·day−1 for HWL, 8.08 gCO2-C·m−2·day−1 for HWL_Si, 6.98 gCO2-C·m−2·day−1 for LWL and 7.33 gCO2-C·m−2·day−1 for LWL_Si, respectively. In the previous year, the daily mean values of Reco fluxes were higher for all plots and reached 9.47 gCO2-C·m−2·day−1 at HWL, 9.54 gCO2-C·m−2·day−1 at HWL_Si, 8.92 gCO2-C·m−2·day−1 at LWL, and 9.12 gCO2-C·m−2·day−1 at LWL_Si.
A Wilcoxon matched-pairs test for daily Reco fluxes in individual plots in each cut showed that in most cases, daily plot emissions differed significantly; p < 0.05 (all pairs of plots in the first and second cut in 2021). For the third cut in 2021, the only pair that did not differ significantly was LWL_Si and HWL_Si (Figure 8). The same pair also showed no significant differences in the third cut in 2022. Furthermore, in the 2022 growing season in the first cut, the silicon antitranspirant application had no significant effect on daily Reco fluxes in the site with lower WTD. Moreover, there were significant differences in the daily CO2 fluxes in each cut between the plots with higher (HWL) and lower (LWL) groundwater levels. A significant effect of the silicon antitranspirant application on ecosystem respiration was seen in both sites, with higher and lower groundwater levels. The exception is the first cut in 2022, when the AT did not significantly differentiate the daily Reco fluxes in the site with a lower WTD. Therefore, it can be concluded that AT application has a stronger effect in the sites with a higher WTD than for those with a lower WTD.

Figure 8.
Comparison of daily Reco fluxes for individual plots (HWL, HWL_Si, LWL, LWL_Si) using Wilcoxon matched-pairs test in each cut in 2021 and 2022. p < 0.05 means that the pairs are significantly different from each other.
The highest cumulative Reco fluxes were recorded in the third cut of 2021 (Figure 9). This is most likely because the WTD was low during this period. The average WTD at the HWL site was 0.79 mbgl and as deep as 0.98 mbgl at the LWL site. Previous studies show that lowering WTD increases soil respiration []. Therefore, meadow treatments that contribute to this process should be avoided []. Analyzing the individual plots, it can be seen that in the third cut of 2021, the maximum emission was recorded in the LWL_Si plot and amounted to 1096.78 gCO2-C·m−2·cut−1, while in the plot without silicon application, it was the lowest (996.11 gCO2-C·m−2·cut−1). Also, for the site with a higher WTD in the third cut of 2021, a similar pattern was observed. The silicon application resulted in increased emissions (1056.87 gCO2-C·m−2·cut−1) compared to the plot without silicon treatment (942.24 gCO2-C·m−2·cut−1). However, it should be noted that this was the only period when this pattern was observed. In the remaining periods, the application of antitranspirant at the site with a higher WTD reduced Reco fluxes, apart from the second cut in 2022, when the fluxes were similar to each other (HWL 734.49 gCO2-C·m−2·cut−1, HWL_Si: 738.22 gCO2-C·m−2·cut−1). AT application in site with higher WTD contributed to the reduction of Reco fluxes by 9% and 2.7% in the first cut of 2021 and 2022, respectively. In the second cut, the reduction of Reco fluxes was even higher, and reached 6% and as much as 11.4% in 2021 and 2022, respectively. At the site with a lower WTD, the antitranspirant application reduced Reco fluxes in the first and second cuts of 2021 by 7.4% and 4.1%, respectively, as well as in the first cut of 2022 by only 0.8%. In other periods, the Reco flux rates from plots with antitranspirant application were higher than those without silicon application (in the third cut in 2021 by 10.1%, in the second cut in 2022 by 6%, and in the third cut in 2022 by 9.6%). Therefore, it can be concluded that silicon is more effective in reducing CO2 emissions in areas with a higher WTD.

Figure 9.
Cumulative Reco fluxes for individual plots in each cut in 2021–2022.
When comparing plots with different WTD, it can be seen that in all cuts of 2022 and in the first and second cuts of 2021, the HWL plot emitted more CO2 than the LWL plot. The exception is the third cut in 2021, when the Reco flux from the HWL (942.24 gCO2-C·m−2·cut−1) plot was 53.87 gCO2-C·m−2·cut−1 smaller than that from the LWL plot. Looking at the individual cuts, it can be observed that the lowest cumulative Reco values occurred in the first cut of 2021. This was also the period when the soil moisture at both HWL and LWL sites was the highest, and reached up to 56% and 50%, respectively. Analyzing the annual patterns of ecosystem respiration, a clear peak in CO2 flux is observed during periods with high precipitation (Figure 3b).
3.2.3. Net Ecosystem Exchange (NEE)
The daily NEE fluxes for individual plots in each year are shown in Figure 10a,b. There were both positive (indicating ecosystem respiration outweighs assimilation rates) and negative daily NEE fluxes in each of the cuts. The exception is the third cut of 2021, when the daily NEE of the HWL_Si, LWL, and LWL_Si plots had only positive values. The highest (most negative) daily NEE fluxes were recorded in the first cut of 2022 and were equal to −12.01 gCO2-C·m−2·day−1 for HWL, −24.28 gCO2-C·m−2·day−1 for HWL_Si, −10.56 gCO2-C·m−2·day−1 for LWL, and −13.64 gCO2-C·m−2·day−1 for LWL_Si. The average daily NEE fluxes for the 2022 growing season amounted to −0.93 gCO2-C·m−2·day−1 (HWL), −2.07 gCO2-C·m−2·day−1 (HWL_Si), −0.43 gCO2-C·m−2·day−1 (LWL), and −0.67 gCO2-C·m−2·day−1 (LWL_Si). The 2021 growing season was characterized by higher (positive) average values of NEE, indicating that CO2 emissions prevailed. The daily average NEE fluxes reached 1.48 gCO2-C·m−2·day−1 (HWL), 0.34 gCO2-C·m−2·day−1 (HWL_Si), 0.95 gCO2-C·m−2·day−1 (LWL), and 1.97 gCO2-C·m−2·day−1 (LWL_Si).

Figure 10.
Daily NEE fluxes for individual plots in each cut and growing season (a) in 2021; (b) in 2022.
Similarly to the analyses above, the Wilcoxon matched-pairs test showed that WTD was a factor differentiating the daily NEE fluxes between plots (Figure 11). In most cuts, daily NEE values differed significantly (p < 0.05) between the plots with higher (HWL) and lower (LWL) water table depth. Only in the second cut of 2022, no significant differences were found between these plots. This is most likely due to the WTD of this period being very low, and hence differences in soil moisture between the two sites were minor and did not exceed 2% (18% at HWL vs. 16% at LWL). Application of the antitranspirant at the site with the higher WTD significantly affected the daily NEE fluxes in each of the analyzed cuts. For the area with the lower WTD, statistically significant differences were observed between LWL and LWL_Si only in the second and third cut in 2021 and the first cut in 2022. In the other periods, the daily NEE values of these plots were not significantly different. To conclude, WTD significantly differentiates the daily NEE fluxes, while the application of antitranspirant significantly affects the NEE values only in the site with a higher WTD.

Figure 11.
Comparison of daily NEE fluxes for individual plots (HWL, HWL_Si, LWL, LWL_Si) using Wilcoxon matched-pairs test in each cut in 2021 and 2022. p < 0.05 means that the pairs are significantly different from each other.
The cumulative NEE fluxes in the period of the first cut in both years are negative for all the treatments, indicating that the meadow assimilated more CO2 than it emitted to the atmosphere, and was a net sink of CO2 (Figure 12). In both periods, the largest net assimilation was observed at the HWL_Si, where the cumulative NEE reached up to −205.16 gCO2-C·m−2·cut−1 in 2021 and −672.37 gCO2-C·m−2·cut−1 in 2022. For the second cut of 2021, the HWL_Si plot still acted as the largest sink, with a cumulative NEE reaching −278.85 gCO2-C·m−2·cut−1. However, in this case, positive NEE values were obtained in the plot with a higher WTD without AT application (8.20 gCO2-C·m−2·cut−1) indicating that emissions outweighed CO2 assimilation. Interestingly, the LWL and LWL_Si plots also acted as net sinks of CO2 during the second cut of 2021, with cumulative NEE values of −201.99 gCO2-C·m−2·cut−1 and −79.88 gCO2-C·m−2·cut−1 for LWL and LWL_Si, respectively. The positive effect of AT in the site with a higher WTD was also observed in the second cut of 2022, when the HWL_Si plot was the only one to have a negative cumulative NEE. Therefore, it can be concluded that in the first and second cuts in both 2021 and 2022, a positive effect of silicon antitranspirant application was observed in the site with a higher WTD. However, the pattern varies much more when the period of the third cut is considered. In both years, the HWL_Si and LWL_Si plots treated with silicon antitranspirant had higher (more positive) cumulative NEE than the plots without AT application. For the LWL site, silicon application had a positive effect only in the first cut of 2022, increasing net assimilation rates compared to the plot without application. In other periods, it resulted either in higher net emissions (second cut 2022 as well as third cut 2021 and 2022) or lower net assimilation rates (first and second cut 2021) when compared to the LWL plot without AT application. The application of silicon antitranspirant had a varying effect on NEE fluxes depending on the groundwater level and the cutting period, but for the first two cutting periods, it was more beneficial for the sites with higher WTD where the cumulative NEE was most negative.

Figure 12.
Cumulative NEE fluxes for individual plots in each cut in 2021–2022.
3.3. Growing Season and Annual Carbon Dioxide Balances
The cumulative NEE fluxes for the respective growing seasons of 2021 and 2022 are shown in Figure 13. These two periods differ from each other. In 2021, cumulative seasonal NEE was positive in all treatments, indicating that the meadow was a net CO2 emitter. However, in 2022, the opposite pattern was observed—the negative NEE indicates that the meadow was a net sink of CO2 for all treatments. These differences might be related to warmer and wetter conditions in 2022, when the annual and growing season average air temperatures were higher than in 2021 by 1.0 °C and 0.6 °C, respectively, while the annual sum of precipitation was higher by 65.2 mm (Table 1). On the other hand, 2021 had higher average soil moisture than 2022 in both sites with higher (HWL) and lower (LWL) WTD (by 12% and 10%, respectively).

Figure 13.
Cumulative NEE values for the 2021 and 2022 growing seasons.
The highest (most positive) cumulative seasonal NEE in 2021 was reached for LWL_Si (481.77 gCO2-C·m−2·growing season−1, Table 2). In the case of this plot, the CO2 emission was higher than for LWL by250.19 gCO2-C·m−2·growing season−1 (Reco of LWL plot: 231.57 gCO2-C·m−2·growing season−1). An inverse relationship was noted for the site with the higher WTD, where the plot with applied AT (HWL_Si) showed a significantly lower cumulative NEE (82.24 gCO2-C·m−2·growing season−1) than that for the HWL plot without this treatment (360.31 gCO2-C·m−2·growing season−1). Therefore, in the first year of the experiment, the positive effect of the silicon antitranspirant application on the CO2 balance was confirmed for the site with the higher WTD. Although the HWL_Si plot was also a net source of CO2 emitted to the atmosphere, the net emission was smaller than for HWL. The same effect was found in the more wet and warmer growing season of 2022, with the difference that cumulative NEE fluxes were negative for all the plots, as indicated above. Nonetheless, the application of an antitranspirant positively affected the CO2 balance of the meadow, especially at HWL_Si (−512.18 gCO2-C·m−2·growing season−1), where the cumulative seasonal NEE was more than twice as much as for HWL (−229.55 gCO2-C·m−2·growing season−1). The application of antitranspirant also had a positive effect on the CO2 balance of the site with the lower WTD. Although the differences were much smaller than for the HWL site, the cumulative seasonal NEE was higher (more negative) for LWL_Si (−166.46 gCO2-C·m−2·growing season−1) than for LWL (−105.69 gCO2-C·m−2·growing season−1). To conclude, in the growing season of 2022, the application of the silicon antitranspirant increased net CO2 assimilation by 123% for the site with a higher WTD and by 58% for the site with a lower WTD.

Table 2.
Annual and growing season cumulative Reco, GPP, and NEE fluxes for individual plots for 2021–2022.
The annual cumulative Reco fluxes were higher in 2021 and ranged from 2291.03 to 2446.85 gCO2-C·m−2·year−1, whereas in 2022 they ranged from 1847.76 to 2234.95 gCO2-C·m−2·year−1 (Table 2). The cumulative annual GPP fluxes ranged from −1912.36 to 2397.30 gCO2-C·m−2·year−1 in 2021 and from −1888.21 to −2565.75 gCO2-C·m−2·year−1 in 2022. Excluding the LWL_Si plot in 2021, in all other treatments in both years, the positive effect of silicon antitranspirant application on CO2 net balance was confirmed, similarly to the seasonal balances, as indicated above (Table 2).
3.4. Meadow Yield
Table 3 summarizes the meadow sward dry matter values obtained in the individual cuts and the annual total. Regardless of the cut and the area (with high/low groundwater levels), it can be observed that the application of the silicon antitranspirant contributed to a reduction in yield of aboveground biomass. Looking at individual cuts, the biggest reduction occurred in the third cut of 2022. This amounted to −42% in the site with high groundwater levels and −25% in the site with low groundwater levels. The smallest negative impact of the antitranspirant was observed in 2022 during the second cut. The yield reduction was 7% and 4% for LWL and HWL, respectively. Analyzing the yields obtained from the whole year, it can be observed that silicon had a stronger negative effect on yield in the area with a higher groundwater level—it caused a reduction of yield biomass by 17–18%, depending on the year. In the case of lower groundwater levels, the yield reduction was smaller, and reached 14% in 2021 and 11% in 2022. The two-year results clearly suggest that applying the silicon antitranspirant negatively affected yield by reducing the dry matter of the aboveground biomass.

Table 3.
Meadow yield of aboveground biomass in individual plots during the study period (kg·ha−1) [] and percentage reduction in dry matter after application of the silicon antitranspirant (%).
Concerning the impact of the groundwater level, it can be observed that a higher water level positively affected the biomass yield. In 2021, the yield from the HWL plot equaled 12,693.04 kg·ha−1 and was 5.4% higher than that from LWL plot (12,047.61 kg·ha−1). The same situation occurred in 2022, when higher groundwater levels contributed to the annual biomass yield being higher by 11.7%, with 10,030.97 kg·ha−1 and 8978.55 kg·ha−1 from the HWL and LWL plots, respectively. Analyzing the individual cuts in both years, a continuing trend can be seen—the dry matter yield from the HWL plot was higher than that from LWL for almost all the cuts. The exception is the first cut in 2021, when a higher yield was obtained from the LWL plot. This is most likely due to too-high soil moisture at HWL, which was a limiting factor for plant development. High soil moisture (close to the maximum field water capacity) results in water saturation of the soil pores, causing a concomitant oxygen deficiency in the soil, which can inhibit plant growth and development [].
Furthermore, when analyzing both years, it is noticeable that considerably higher yields were obtained in 2021 than in 2022. For the HWL plot, these amounted to 12,693.04 kg·ha−1, whereas in the following year, it was 10,030.97 kg·ha−1, i.e., a decrease of 21.0%. A similar trend was observed in the other plots. On HWL_Si, yields in 2022 decreased from 10,429.13 kg·ha−1 (2021) to 8293.92 kg·ha−1 (20.5% reduction). The largest difference between the years occurred in the LWL plot, where yields in 2022 were 25.5% lower than in 2021 (reduction from 12,047.61 to 8978.55 kg·ha−1). In the case of LWL_Si, the yield reduction was at the level of 23.0%; from 10,364.24 kg·ha−1 to 7978.25 kg·ha−1. The obtained differences in yields directly reflect the values of GPP, which depended, among other things, on the different meteorological conditions in both years. Although the year 2022 was warmer and had higher precipitation, the average values of soil moisture in the growing season were lower, which could be indirectly reflected in the obtained yields, which were lower than in the previous year. When the individual cuts are examined, it can be observed that similar amounts of dry matter were harvested from the first cut in 2021 and 2022. Furthermore, all plots apart from LWL had even higher yields in 2022 than in 2021, so the trend in this cut was the opposite of that for the rest of the year. A definite yield reduction between years was already visible during the second cut. This ranged from 21.6% (863.94 kg·ha−1) for the HWL_Si plot to as much as 32.1% (1282.67 kg·ha−1) for the LWL plot. This yield reduction corresponds to one of the driest periods with the lowest soil moisture, which decreased by up to 18% and 16% at the HWL_Si and LWL_Si plots, respectively (Table 1). In comparison, the soil moisture of the same plots in the second cut of 2021 reached 47% and 42% for the HWL_Si and LWL_Si plots, respectively. Therefore, the topsoil in the second cut of 2022 was over-dried, resulting in suboptimal plant development conditions. Furthermore, the second cut in 2022 lasted longer (70 days) than in 2021 (44 days), and thus covered the period with the lowest groundwater levels. Moreover, the unfavorable rainfall distribution during the growing season also affected the results. For example, in August 2022, the total rainfall was 135 mm, of which as much as 83 mm fell on a single day—20 August. The third cut of 2021 was shorter by 16 days and, above all, covered an earlier period—the final cut took place more than a month earlier (30.09.2021) than in 2022 (17.11.2022). This directly resulted in a higher average daily temperature of 16.8 °C in 2021 in the third cut, and one of only 12.9 °C in 2022. Concerning the entire growing season, the average soil moisture was 12% lower in 2022 for the plots with high groundwater levels (47% in 2021 vs. 35% in 2022) and 10% lower for the plots with lower groundwater levels (41% in 2021 vs. only 31% in 2022). This condition could have a direct impact on yield reduction, as was already proved in other studies [,].
4. Discussion
4.1. Subirrigation and WTD Impacts on Yield and GPP
The results obtained in this study show significant differences between the daily GPP fluxes on the HWL and LWL plots (Figure 5). Furthermore, in all cuts in the second year of the study and in the third cut in the first year, the cumulative GPP fluxes were higher at the HWL plot than at the LWL plot, which is equivalent to a higher CO2 assimilation. Therefore, it can be concluded that higher WTD levels positively affect meadow productivity (GPP). A similar trend is observed when aboveground biomass yields are considered. In all cuts except the first cut in 2021, the yield was higher from the HWL plot than from the LWL plot. On an annual basis, maintaining a higher groundwater level contributed to a 5.4–11.7% higher biomass yield.
As the GPP indicates the amount of CO2 assimilated by plants in photosynthesis, the clear relationship between the GPP and plant biomass exists. These relationships, for the LWL and HWL plots, are shown in Figure 14. When all data are considered (HWL and LWL combined), it is evident that the more carbon dioxide the meadow assimilates (higher GPP), the higher is the harvested aboveground biomass yield, although this correlation is not significant (at the α = 0.05). However, when analyzing this correlation, one should consider that only the aboveground yield of plants is taken into account in our study. This study did not estimate the root biomass; hence, it is hard to assess how much carbon sequestered by plants was accumulated in belowground biomass. However, it is well known that the root system of plants might be stronger and its biomass might be higher at sites with a lower WTD and lower soil moisture []. Furthermore, other agronomic practices like meadow management, fertilization, and cutting frequency may also impact root biomass. For example, Wang et al. [] and De Vries et al. [] indicated a higher belowground carbon allocation and higher root biomass in extensively managed grasslands, when compared to intensively managed meadows. Also, Poyda et al. [] pointed out that highly fertilized grasslands may lose carbon sequestration capacity due to low underground C allocation. Their study shows that only a low fraction (17%) of net primary production is allocated to the roots. Considering the above, it can be speculated that the correlation between GPP and biomass yield would be stronger when both the above- and below- ground biomass of plants is considered.

Figure 14.
Relationship between cumulative GPP fluxes in each cut and yield of aboveground biomass from HWL and LWL plots.
4.2. Subirrigation and WTD Impacts on CO2 Emissions
One of the most complex issues in relation to grasslands is the area’s water management and its direct impact on CO2 emissions. Clear differences in daily, seasonal, and annual Reco rates between LWL and HWL plots have been demonstrated in this study. As indicated in Table 2, the annual cumulative Reco rates were higher at the HWL plot (depending on the year, they amounted to from 2092.23 to 2310.57 gCO2-C·m−2·year−1) than at the LWL plot (from 1723.40 to 2175.86 gCO2-C·m−2·year−1). These rates of Reco fluxes are similar to those estimated by Poyda et al. [] for intensive grasslands in Germany (2490–2960 gCO2-C·m−2·year−1), but they are half of those estimated by Eickenscheidt et al. [] for a three-cut intensive meadow fertilized with biogas digestate on Mollic Gleysoil (4265 ± 379 gC·m−2·year−1). The broad range of Reco fluxes from grasslands reported in the literature indicates differences in these ecosystems and makes any results comparison complicated, as complex factors, such as soil type and its moisture, plant species composition, fertilization, the intensity of meadow use, grazing, and meteorological conditions may impact the CO2 emissions from grasslands [,,,,].
Anyway, in the case of this study, the higher Reco rates at HWL than at LWL plots may lead to the conclusion that higher WTD and higher soil moisture are increasing CO2 emissions from grasslands on organic soils. This finding might be in contradiction to other studies in which it is generally indicated that raising the WTD can have a beneficial effect on reducing CO2 emissions from degraded peatlands and grasslands [,,]. Abdalla et al. [] also indicated that too-high groundwater levels can reduce soil respiration (Rs) in grassland due to anaerobic conditions, which are unfavorable for the oxidation of soil organic matter, plant residue, and aerobic respiration. This condition may lead to a reduction of heterotrophic respiration (Rh) of soil microorganisms. On the other hand, Rs accounts for about 45–59% of ecosystem respiration in grasslands, and its contribution to Reco flux may vary from 46% in summer to 59% in winter [,]. In the present study, Rs was not measured; hence, it is hard to estimate the amount of CO2 emitted from soils and its contribution to Reco. But, due to the fact that a higher WTD leads to a higher yield of aboveground biomass and causes higher Reco, it can be speculated that higher CO2 emissions from HWL plots are a result of higher autotrophic respiration (Ra) of aboveground biomass and may indicate that the Ra/Rh ratio might also be higher at plots with higher WTD. As indicated in Figure 3, cutting the grass reduces Reco fluxes due to the reduction of Ra [], although this reduction seems to be smaller at LWL plots, where Rs might be higher due to less moisture and smaller plant biomass.
Similarly to this study, Weideveld et al. [] did not show a positive effect of increasing WTD on the reduction of CO2 emissions from peat meadow with a subsoil irrigation system (perforated pipes −70 cm from surface level with a spacing of 5–6 m) in the Netherlands, due to the fact that changes in the WTD occurred in the deeper soil layers (60–120 cm depth), which have little impact on organic matter oxidation in the upper layers contributing most to the overall CO2 emissions. Boonman et al. [] found that temporal variation in meteorological conditions, spatial variation in landscape seepage, and variation in ditchwater level management decisions can explain the wide range in subsoil irrigation and drainage (SSI) effectivity that other researchers had previously reported. They proved that SSI reduces yearly peat respiration rates in a dry year. On the other hand, in a wet year or when upward groundwater seepage is present, SSI increases peat respiration rates. According to Weideveld et al. [], future studies on GHG emissions should pay more attention to the manipulation of groundwater levels in the uppermost soil layers (0–30 cm) in grasslands, as it has an essential role in this regard. However, it should be borne in mind that, in the case of grasslands, a rise in the WTD in the higher soil layers also affects the occurrence of plant species that are more tolerant of higher soil moisture levels. The entry of new and different species at higher WTD may be a factor that may also affect CO2 emissions. Considering the above, the impact of irrigation and the maintenance of the WTD on an appropriate level of CO2 emissions from grasslands requires a lot of new research to cover a broad range of grasslands and different management strategies.
4.3. Silicon Antitranspirant Impact on Yield and GPP
The results of this study demonstrated that daily, seasonal, and annual GPP fluxes differed between plots with and without antitranspirant application in the site with higher WTD in each cut. For the site with a lower WTD, significant differences in daily GPP fluxes between LWL and LWL_Si were recorded in all cuts except the second cut in 2021 (Figure 5). The cumulative GPP fluxes in each cut show that AT application positively affected I and II cuts in both years by increasing CO2 uptake at the HWL site (Figure 6). However, for the LWL site, the results varied between years and cuts (Table 2). In the case of yield, unambiguous results were obtained for both sites, demonstrating that the antitranspirant contributed to the reduction of aboveground plant biomass in the meadow (Table 3). These findings are consistent with Radkowski et al. [], who obtained lower biomass after silicon application in a meadow in Poland.
The relationship between GPP fluxes in individual cuts and aboveground biomass yields for the LWL_Si and HWL_Si plots (Figure 15) clearly demonstrated that with increasing CO2 assimilation rates, the plant biomass also increases, although this correlation is significant (α = 0.05) only for the HWL_Si plot. Still, for the same rates of GPP, the yield was generally higher for the HWL_Si plot than for LWL_Si, indicating the effect of WTD on this relationship, as mentioned above, which may also override the effect of AT application on GPP. Therefore, it is necessary to continue research in grasslands in this scope to understand better silicon’s role in CO2 assimilation and its dependence on groundwater level.

Figure 15.
Relationship between cumulative GPP fluxes in each cut and yield obtained from HWL_Si and LWL_Si plots.
4.4. Silicon Antitranspirant Impact on CO2 Emissions
The results of this experiment show that AT application may have some positive impact on the reduction of Reco fluxes at the site with the higher WTD. Four of the six analyzed cuts proved a positive effect of AT on Reco flux reduction. When considering the site with the lower WTD, this treatment reduced Reco fluxes in three cuts, and this reduction was less than for the site with the higher WTD. Similarly, annual Reco fluxes were smaller at AT-treated plots with higher WTD, but a reversed effect was found at the site with a lower WTD, although all these differences are negligibly small. It can only be speculated that these small differences might be caused by higher yield reduction at site with higher WTD (Table 3).
To the best of our knowledge, there have been no studies to date on the application of silicon antitranspirant in grasslands and its effect on Reco fluxes. Therefore, this is the first time such a field experiment has been conducted; and hence, future studies will need to investigate this effect more in depth.
4.5. Silicon Antitranspirant and Subirrigation’s Impact on Net Carbon Balances
Researchers are still looking for unambiguous relationships to understand the influences of individual factors on NEE fluxes from grasslands. Previous studies have shown that the intensity of grassland use and cutting events are important aspects impacting NEE variability. Measurements indicated that NEE increases (is less negative, or positive) with the number of cuts. This is mainly because GPP is reduced to almost zero for a few days after harvesting the meadow sward [,]. Depending on the year and the prevailing meteorological conditions, meadows can either act as a net sink or a source of carbon dioxide. In a study by Aires et al. [] on Mediterranean grassland, precipitation was the main determinant of interannual variation in NEE. During a dry year, the grassland was a net source of CO2 to the atmosphere, whereas during a normal year, CO2 uptake prevailed. Furthermore, it has been shown that climate change, warmer conditions, and intensive grassland management can negatively affect grassland carbon balances and result in a less-negative annual NEE []. However, Zhang et al. [] found that water availability is more important than temperature for shaping carbon fluxes from alpine meadows. Their results demonstrated that soil water content directly influenced NEE, GPP, and Reco fluxes.
This study shows that the HWL plot in the first year of the study had higher (positive) NEE cumulative fluxes when compared to the LWL plot, representing a greater excess of CO2 emission over uptake at HWL. In contrast, in the following year, the HWL plot had more negative NEE values than LWL, representing greater uptake (Table 3). A study of Poyda et al. [] conducted in a three-cut meadow showed a significant correlation between net annual CO2 balance and mean annual groundwater level. It showed that a meadow system combined with a higher WTD (about 20 cm below the surface) achieved the lowest yield-related greenhouse gas emissions.
In this study, a positive effect on cumulative annual NEE fluxes was only observed in combination with high groundwater levels for the silicon application. The AT treatment in the HWL_Si plot resulted in lower positive NEE fluxes in 2021 than at the HWL plot and more negative NEE fluxes than at the HWL plot in 2022. These results clearly show the positive effect of this treatment on the net carbon dioxide balance. However, a different result was obtained for the lower WTD, where the Si application either increased CO2 emissions or reduced CO2 uptake, depending on the year. Therefore, it can be concluded that this AT effect is beneficial when combined with a higher WTD.
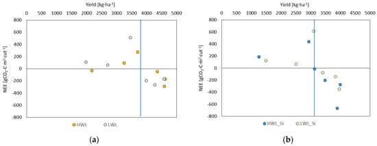
There is an interesting aspect, which has been found while comparing relationships between NEE fluxes and the biomass yield cumulated in each cut for the plots with and without AT treatments (Figure 16). Although the yield of biomass on AT-treated plots was smaller, the yield at which the meadow turns from being a net source to a net sink of CO2 in single cuts shifts from around 3800 kg·ha−1 at plots without Si application to 3200 kg·ha−1 at the AT-treated plots. Also, in more cases, the cumulated NEE was more negative at the same biomass yield for the plot with silicon application.

Figure 16.
Relationship between cumulative NEE fluxes in each cut and aboveground biomass yield for (a) HWL and LWL and (b) HWL_Si and LWL_Si plots. Vertical lines indicate the turning points when the meadow switched from being a net source to a net sink of CO2 for different yield levels.
4.6. Importance of Results and Future Research Directions
To the best of our knowledge, this study is the first wherein the effect of silicon antitranspirant application on CO2 fluxes exchanged between the meadow and the atmosphere was evaluated. It proved that AT treatment has a positive effect on the growing season and annual cumulative NEE fluxes at the site with a higher WTD (Figure 13, Table 2), resulting in reduced net emissions (like in 2021) or increased net CO2 sequestration (like in 2022). Therefore, it can be concluded that the application of AT under suitable groundwater level conditions has the potential to be a tool to improve the carbon balance of grasslands and reduce the negative climatic impact of grasslands located on degraded peatlands, which are net emitters of CO2 []. On the other hand, the response of plants to the same treatment at the site with a lower WTD is not unequivocal, and this may lead to contradictory conclusions. Hence, it is necessary to continue this research on other grasslands under different climatic conditions and management strategies to have a clearer picture of the impact of antitranspirants on CO2 budgets.
However, from the farmer’s point of view, using AT with silicon in the meadow is disadvantageous, since this treatment contributed to a significant yield reduction. Therefore, it will not be easy to convince farmers that the application of silicon AT is beneficial for the climate, and that this outweighs the profits obtained from animal feed production. The results of this study show the potential for using antitranspirants; however, they are not fully beneficial. Therefore, it is desirable to also carry out further measurements in this respect on other ATs to determine their impacts on both CO2 emissions and grassland yields. If positive results are obtained in both aspects, detailed economic analyses should be carried out in future studies to determine the costs incurred for applying AT to meadows and the profitability of this treatment.
5. Conclusions
The impacts of subirrigation and silicon antitranspirant application, as well as meteorological conditions, on the net carbon balance of the three-cut meadow was different for individual seasons and years, although some significant and conclusive statements can be formulated.
- In the drier and colder year (2021), net CO2 emissions predominated, whereas net CO2 assimilation predominated in the warmer and wetter year (2022) for all the plots, which highlights the impact of meteorological conditions on the annual NEE of grasslands.
- Higher WTD and higher soil moisture promote CO2 emissions from the meadow (Reco is higher), most probably due to an increase in the autotrophic respiration of plants due to higher aboveground biomass.
- Higher WTD and higher soil moisture promote higher yields of aboveground biomass. The yields were higher by 5.4% (in 2021) up to 11.7% (in 2022) at plot with a higher WTD, which highlights the role of the WTD in maintaining high production in meadows.
- Silicon antitranspirant application has a positive impact on meadow productivity (GPP), but only on plots with higher WTD.
- Silicon antitranspirant application has a negative impact on the yield of aboveground biomass (reduction of annual yield from 11.1% to 17.8%). The reduction of yield is higher at the plot with a higher WTD.
- The yield at which the meadow turns from being a net source to a net sink of CO2 in single cuts shifts from around 3800 kg·ha−1 at plots without silicon antitranspirant application to 3200 kg·ha−1 at treated plots, while cumulated NEE is more negative at the same biomass yield for plots with silicon application. It indicates that silicon antitranspirant application may have a positive effect on improving the carbon balance of meadows (either by reducing net emissions or increasing net assimilations).
Although some findings presented in this study are not unequivocal, the obtained results increase our understanding and the current state-of-the-art knowledge about the use of antitranspirants and subirrigation management systems in meadows, and we believe it will stimulate new studies in the future.
Supplementary Materials
The following supporting information can be downloaded at: https://www.mdpi.com/article/10.3390/w15173057/s1, Figure S1: Spearman correlation matrix for daily values of GPP, RECO, NEE, soil moisture (SM), air temperature (TA), and water table depth (WTD) in 2021 for individual measurement plots: (a) HWL; (b) HWL_Si; (c) LWL; (d) LWL_Si.; Figure S2: Spearman correlation matrix for daily values for daily values of GPP, Reco, NEE, soil moisture (SM), air temperature (TA), and water table depth (WTD) in 2022 for individual measurement plots: (a) HWL; (b) HWL_Si; (c) LWL; (d) LWL_Si.
Author Contributions
Conceptualization, J.K., M.S., R.J. and D.L.; methodology, R.J.; M.S. and J.K.; validation, M.S., R.J. and J.K.; formal analysis, J.K., M.S. and R.J.; investigation, J.K., D.L. and M.S.; resources, R.J. and M.S.; data curation, M.S., R.J. and J.K. writing—original draft preparation, J.K.; writing—review and editing, M.S., R.J., D.L. and J.K.; visualization, J.K. and M.S.; supervision, M.S., R.J. and D.L.; project administration, J.K. and D.L.; funding acquisition, J.K. All authors have read and agreed to the published version of the manuscript.
Funding
This work was supported by the Discipline of Science Environmental Engineering, Mining and Energy in Poznań University of Life Sciences (Poland) as the research program “Innovator”, no. 01/2022/INN.
Data Availability Statement
Not applicable.
Conflicts of Interest
The authors declare no conflict of interest.
References
- Gilbert, N. One-third of our greenhouse gas emissions come from agriculture. Nature 2012, 31, 10–12. [Google Scholar] [CrossRef]
- Smith, P.; Clark, H.; Dong, H.; Elsiddig, E.A.; Haberl, H.; Harper, R.; House, J.; Jafari, M.; Masera, O.; Mbow, C.; et al. Agriculture, Forestry and Other Land Use (AFOLU). In Climate Change 2014: Mitigation of Climate Change. Contribution of Working Group III to the Fifth Assessment Report of the Intergovernmental Panel on Climate Change; Edenhofer, O.R., Pichs-Madruga, Y., Sokona, E., Farahani, S., Kadner, K., Seyboth, A., Adler, I., Baum, S., Brunner, P., Eickemeier, B., et al., Eds.; Cambridge University Press: Cambridge, UK; New York, NY, USA, 2014; Available online: https://www.ipcc.ch/pdf/assessment-report/ar5/wg3/ipcc_wg3_ar5_chapter11.pdf (accessed on 26 July 2023).
- Zhou, W.; Li, J.; Yue, T. Remote Sensing Monitoring and Evaluation of Degraded Grassland in China. Accounting of Grassland Carbon Source and Carbon Sink; Springer Geography; Springer: Singapore, 2020. [Google Scholar] [CrossRef]
- Budzyńska, M.; Dąbrowska-Zielińska, K.; Tomaszewska, M.; Bartold, M.; Gatkowska, M. Badania nad obiegiem węgla na obszarach łąkowych [Studies on carbon exchange in grassland areas]. Łąkarstwo w Polsce 2015, 18, 47–58. [Google Scholar]
- Tiemeyer, B.; Freibauer, A.; Borraz, E.A.; Augustin, J.; Bechtold, M.; Beetz, S.; Beyer, C.; Ebli, M.; Eickenscheidt, T.; Fiedler, S.; et al. A new methodology for organic soils in national greenhouse gas inventories: Data synthesis, derivation and application. Ecol. Indic. 2020, 109, 105838. [Google Scholar] [CrossRef]
- Tiemeyer, B.; Frings, J.; Kahle, P.; Köhne, S.; Lennartz, B. A comprehensive study of nutrient losses, soil properties and groundwater concentrations in a degraded peatland used as an intensive meadow–implications for re-wetting. J. Hydrol. 2007, 345, 80–101. [Google Scholar] [CrossRef]
- Oleszczuk, R.; Regina, K.; Szajdak, L.; Maryganova, V. Impacts of Agricultural Utilization of Peat—Soil on the Greenhouse Gas Balance. In Peatlands and Climate Change; Strack, M., Ed.; International Peat Society, Saarijärven Offset Oy: Saarijärvi, Finland, 2008; pp. 70–97. [Google Scholar]
- Erkens, G.; van der Meulen, M.J.; Middelkoop, H. Double trouble: Subsidence and CO2 respiration due to 1,000 years of Dutch coastal peatlands cultivation. Hydrogeol. J. 2016, 24, 551–568. [Google Scholar] [CrossRef]
- Tanner, C.C.; Nguyen, M.L.; Sukias, J.P.S. Nutrient removal by a constructed wetland treating subsurface drainage from grazed dairy pasture. Agric. Ecosyst. Environ. 2005, 105, 145–162. [Google Scholar] [CrossRef]
- Łabędzki, L.; Kaca, E.; Brandyk, A. Irrigation and Drainage in Polish Agriculture: State, Problems and Needs. In Quality of Water Resources in Poland; Springer Water; Springer: Cham, Switzerland, 2021; pp. 91–118. [Google Scholar] [CrossRef]
- Sojka, M.; Kozłowski, M.; Stasik, R.; Napierała, M.; Kęsicka, B.; Jaskuła, J.; Liberacki, D.; Bykowski, J.; Wróżyński, R. Sustainable Water Management in Agriculture-The Impact of Drainage Water Management on Groundwater Table Dynamics and Subsurface Outflow. Sustainability 2019, 11, 4201. [Google Scholar] [CrossRef]
- Li, J.; Fei, L.; Li, S.; Shi, Z.; Liu, L. The influence of optimized allocation of agricultural water and soil resources on irrigation and drainage in the Jingdian Irrigation District, China. Irrig. Sci. 2020, 38, 1–11. [Google Scholar] [CrossRef]
- Meier, M.; Gerlach, R.; Schirmel, J.; Buhk, C. Plant diversity in a water-meadow landscape: The role of irrigation ditches. Plant Ecology 2017, 218, 971–981. [Google Scholar] [CrossRef]
- Beetz, S.; Liebersbach, H.; Glatzel, S.; Jurasinski, G.; Buczko, U.; Höper, H. Effects of land use intensity on the full greenhouse gas balance in an Atlantic peat bog. Biogeosciences 2013, 10, 1067–1082. [Google Scholar] [CrossRef]
- Leiber-Sauheitl, K.; Fuß, R.; Voigt, C.; Freibauer, A. High greenhouse gas fluxesfrom grassland on histic gleysol along soil C and drainage gradients. Biogeosci. Discuss. 2013, 10, 11283–11317. [Google Scholar] [CrossRef]
- Conant, R.T.; Paustian, K.; Elliott, E.T. Grassland management and conversion into grassland: Effects on soil carbon. Ecol. Appl. 2001, 11, 343–355. [Google Scholar] [CrossRef]
- Olsson, A.; Campana, P.E.; Lind, M.; Yan, J. Potential for carbon sequestration and mitigation of climate change by irrigation of grasslands. Appl. Energy 2014, 136, 1145–1154. [Google Scholar] [CrossRef]
- Schrier-Uijl, A.P.; Kroon, P.S.; Hendriks, D.M.D.; Hensen, A.; Van Huissteden, J.; Berendse, F.; Veenendaal, E.M. Agricultural peatlands: Towards a greenhouse gas sink—A synthesis of a Dutch landscape study. Biogeosciences 2014, 11, 4559–4576. [Google Scholar] [CrossRef]
- Jurczuk, S. Emisja dwutlenku węgla ze zmeliorowanych gleb organicznych w Polsce [Carbon dioxide emission from reclaimed organic soils in Poland]. Woda-Sr.-Obsz. Wiej. 2012, 12, 63–76. [Google Scholar]
- Buhk, C.; Schirmel, J.; Rebekka, G.; Frör, O. Traditional water meadows—A sustainable management type for the future? In Irrigation in Agroecosystems; Ondrasek, G., Ed.; InTechOpen: London, UK, 2018; ISBN 978-953-51-6428-9. [Google Scholar] [CrossRef]
- Chimner, R.A.; Cooper, D.J.; Bidwell, M.D.; Culpepper, A.; Zillich, K.; Nydick, K. A new method for restoring ditches in peatlands: Ditch filling with fiber bales. Restor. Ecol. 2019, 27, 63–69. [Google Scholar] [CrossRef]
- Schimelpfenig, D.W.; Cooper, D.J.; Chimner, R.A. Effectiveness of ditch blockage for restoring hydrologic and soil processes in mountain peatlands. Restor. Ecol. 2014, 22, 257–265. [Google Scholar] [CrossRef]
- Vasander, H.; Tuittila, E.-S.; Lode, E.; Lundin, L.; Ilomets, M.; Sallantaus, T.; Heikkilä, R.; Pitkänen, A.; Laine, J. Status and restoration of peatlands in northern Europe. Wetl. Ecol. Manag. 2003, 11, 51–63. [Google Scholar] [CrossRef]
- IPCC. Climate Change 2022: Impacts, Adaptation and Vulnerability; Working Group II contribution to the Sixth Assessment Report of the Intergovernamental Panel on Climate Change; IPCC: Cambridge, UK; New York, NY, USA, 2022; ISBN 9781009325844. [CrossRef]
- Kocięcka, J.; Liberacki, D. The Potential of Using Chitosan on Cereal Crops in the Face of Climate Change. Plants 2021, 10, 1160. [Google Scholar] [CrossRef]
- Kocięcka, J.; Liberacki, D.; Stróżecki, M. The Role of Antitranspirants in Mitigating Drought Stress in Plants of the Grass Family (Poaceae)—A Review. Sustainability 2023, 15, 9165. [Google Scholar] [CrossRef]
- Mphande, W.; Kettlewell, P.S.; Grove, I.G.; Farrell, A.D. The potential of antitranspirants in drought management of arable crops: A review. Agric. Water Manag. 2020, 236, 106143. [Google Scholar] [CrossRef]
- Kettlewell, P.S.; Heath, W.L.; Haigh, I.M. Yield enhancement of droughted wheat by film antitranspirant application: Rationale and evidence. Agric. Sci. 2010, 1, 143–147. [Google Scholar] [CrossRef][Green Version]
- Gerhards, M.; Schlerf, M.; Rascher, U.; Udelhoven, T.; Juszczak, R.; Alberti, G.; Miglietta, F.; Inoue, Y. Analysis of airborne optical and thermal hyperspectral imagery for detection of water stress symptoms. Remote Sens. 2018, 10, 1139. [Google Scholar] [CrossRef]
- Kocięcka, J.; Liberacki, D.; Kupiec, J.M.; Stróżecki, M.; Dłużewski, P. Effects of Silicon Application and Groundwater Level in a Subirrigation System on Yield of a Three-Cut Meadow. Water 2023, 15, 2103. [Google Scholar] [CrossRef]
- Chemirol. Available online: https://chemirol.com.pl/pl_PL/product/krzemian (accessed on 28 July 2023).
- Huculak, W.; Makowiec, M. Wyznaczenie meteorologicznego okresu wegetacyjnego na podstawie jednorocznych materiałów obserwacyjnych. Zesz. Nauk. SGGW 1977, 25, 65–72. [Google Scholar]
- Kozuchowski, K.; Degirmendzic, J. Contemporary changes of climate in Poland: Trends and variation in thermal and solarconditions related to plant vegetation. Pol. J. Ecol. 2005, 53, 283–297. [Google Scholar]
- Juszczak, R.; Acosta, M.; Olejnik, J. Comparison of daytime and nighttime ecosystem respiration measured by the closed chamber technique on a temperate mire in Poland. Polish J. Environ. Stud. 2012, 21, 643–658. [Google Scholar]
- Juszczak, R.; Humphreys, E.; Acosta, M.; Michalak-Galczewska, M.; Kayzer, D.; Olejnik, J. Ecosystem respiration in a heterogeneous temperate peatland and its sensitivity to peat temperature and water table depth. Plant Soil 2013, 366, 505–520. [Google Scholar] [CrossRef]
- Juszczak, R.; Uździcka, B.; Stróżecki, M.; Sakowska, K. Improving remote estimation of winter crops gross ecosystem production by inclusion of leaf area index in a spectral model. PeerJ 2018, 6, e5613. [Google Scholar] [CrossRef]
- Acosta, M.; Juszczak, R.; Chojnicki, B.; Pavelka, M.; Havránková, K.; Leśny, J.; Foltýnová, L.; Urbaniak, M.; Machacova, K.; Olejnik, J. CO2 Fluxes from Different Vegetation Communities on a Peatland Ecosystem. Wetlands 2017, 37, 423–435. [Google Scholar] [CrossRef]
- Webb, E.K.; Pearman, G.I.; Leuning, R. Correction of flux measurements fordensity effects due to heat and water vapor transfer. Q. J. R. Meteorol. Soc. 1980, 106, 85–100. [Google Scholar] [CrossRef]
- Kutzbach, L.; Schneider, J.; Sachs, T.; Giebels, M.; Nykänen, H.; Shurpali, N.J.; Martikainen, P.J.; Alm, J.; Wilmking, M. CO2 flux determination by closed-chamber methods can be seriously biased by inappropriate application of linearregression. Biogeosciences 2007, 4, 1005–1025. [Google Scholar] [CrossRef]
- Drösler, M. Trace Gas Exchange and Climatic Relevance of Bog Ecosystem, Southern Germany. Ph.D. Dissertation, Lehrstuhl für Vegetationsokologie, Department für Ökologie, Technischen Universität München, München, Germany, 2005. [Google Scholar]
- Hoffmann, M.; Jurisch, N.; Albiac Borraz, E.; Hagemann, U.; Drösler, M.; Sommer, M.; Augustin, J. Automated modeling of ecosystem CO2 fluxes based on periodic closed chamber measurements: A standardized conceptual and practical approach. Agric. For. Meteorol. 2015, 200, 30–45. [Google Scholar] [CrossRef]
- Lloyd, J.; Taylor, J.A. On the Temperature Dependence of Soil Respiration. Funct. Ecol. 1994, 8, 315–323. [Google Scholar] [CrossRef]
- Ma, L.; Zhu, G.; Chen, B.; Zhang, K.; Niu, S.; Wang, J.; Ciais, P.; Zuo, H. A globally robust relationship between water table decline, subsidence rate, and carbon release from peatlands. Commun. Earth Environ. 2022, 3, 254. [Google Scholar] [CrossRef]
- Abdalla, M.; Feigenwinter, I.; Richards, M.; Vetter, S.H.; Wohlfahrt, G.; Skiba, U.; Pintér, K.; Nagy, Z.; Hejduk, S.; Buchmann, N.; et al. Evaluation of the ECOSSE Model for Estimating Soil Respiration from Eight European Permanent Grassland Sites. Agronomy 2023, 13, 1734. [Google Scholar] [CrossRef]
- Wang, C.; Fu, B.; Zhang, L.; Xu, Z. Soil moisture–plant interactions: An ecohydrological review. J. Soils Sediments 2019, 19, 1–9. [Google Scholar] [CrossRef]
- Rodríguez-Iturbe, I.; Porporato, A. Ecohydrology of Water-Controlled Ecosystems: Soil Moisture and Plant Dynamics; Cambridge University Press: Cambridge, UK, 2007. [Google Scholar]
- Kou, X.; Han, W.; Kang, J. Responses of Root System Architecture to Water Stress at Multiple Levels: A Meta-Analysis of Trials under Controlled Conditions. Front. Plant Sci. 2022, 13, 5157. [Google Scholar] [CrossRef]
- Wang, N.; Xia, L.; Goodale, C.L.; Butterbach-Bahl, K.; Kiese, R. Climate change can accelerate depletion of montane grassland C stocks. Glob. Biogeochem. Cycles 2021, 35, e2020GB006792. [Google Scholar] [CrossRef]
- de Vries, F.T.; Bloem, J.; Quirk, H.; Stevens, C.J.; Bol, R.; Bardgett, R.D. Extensive management promotes plant and microbial nitrogen retention in temperate grassland. PLoS ONE 2012, 7, e51201. [Google Scholar] [CrossRef]
- Poyda, A.; Reinsch, T.; Struck, I.J.; Skinner, R.H.; Kluß, C.; Taube, F. Low assimilate partitioning to root biomass is associated with carbon losses at an intensively managed temperate grassland. Plant Soil 2021, 460, 31–50. [Google Scholar] [CrossRef]
- Poyda, A.; Reinsch, T.; Kluß, C.; Loges, R.; Taube, F. Greenhouse gas emissions from fen soils used for forage production in northern Germany. Biogeosciences 2016, 13, 5221–5244. [Google Scholar] [CrossRef]
- Eickenscheidt, T.; Heinichen, J.; Drösler, M. The greenhouse gas balance of a drained fen peatland is mainly controlled by land-use rather than soil organic carbon content. Biogeosciences 2015, 12, 5161–5184. [Google Scholar] [CrossRef]
- Renou-Wilson, F.; Müller, C.; Moser, G.; Wilson, D. To graze or not to graze? Four years greenhouse gas balances and vegetation composition from a drained and a rewetted organic soil under grassland. Agr. Ecosyst. Environ. 2016, 222, 156–170. [Google Scholar] [CrossRef]
- Schmitt, M.; Bahn, M.; Wohlfahrt, G.; Tappeiner, U.; Cernusca, A. Land use affects the net ecosystem CO2 exchange and its components in mountain grasslands. Biogeosciences 2010, 7, 2297–2309. [Google Scholar] [CrossRef]
- Wohlfahrt, G.; Hammerle, A.; Haslwanter, A.; Bahn, M.; Tappeiner, U.; Cernusca, A. Seasonal and inter-annual variability of the net ecosystem CO2 exchange of a temperate mountain grassland: Effects of weather and management. J. Geophys. Res. 2008, 113, D08110. [Google Scholar] [CrossRef]
- Turbiak, J.; Ćwiklińska, P.; Duda, F. Carbon dioxide emission from raised bog surface after peat extraction. J. Water Land Dev. 2017, 35, 237. [Google Scholar] [CrossRef]
- Abdalla, M.A.; Hastings, M.; Bell, J.; Smith, J.U.; Richards, M.; Nilsson, M.B.; Peichl, M.; Löfvenius, M.O.; Lund, M.; Helfter, C.; et al. Simulation of CO2 and attribution analysis at six European peatland sites using the ECOSSE model. Water Air Soil Pollut. 2014, 225, 2182. [Google Scholar] [CrossRef]
- Hardie, S.M.L.; Garnett, M.H.; Fallick, A.E.; Ostle, N.J.; Rowland, A.P. Bomb 14C analysis of ecosystem respiration reveals that peatland vegetation facilitates release of old carbon. Geoderma 2009, 153, 393–401. [Google Scholar] [CrossRef]
- Weideveld, S.T.J.; Liu, W.; van den Berg, M.; Lamers, L.P.M.; Fritz, C. Conventional subsoil irrigation techniques do not lower carbon emissions from drained peat meadows. Biogeosciences 2021, 18, 3881–3902. [Google Scholar] [CrossRef]
- Boonman, J.; Hefting, M.M.; van Huissteden, C.J.A.; van den Berg, M.; van Huissteden, J.; Erkens, G.; Melman, R.; van der Velde, Y. Cutting peatland CO2 emissions with water management practices. Biogeosciences 2022, 19, 5707–5727. [Google Scholar] [CrossRef]
- Radkowski, A.; Radkowska, I. Effects of Silicate Fertilizer on Seed Yield in Timothy-Grass (Phleum pratense L.). Ecol. Chem. Eng. 2018, 25, 169–180. [Google Scholar] [CrossRef]
- Aires, L.M.I.; Pio, C.A.; Pereira, J.S. Carbon dioxide exchange above a Mediterranean C3/C4 grassland during two climatologically contrasting years. Glob. Chang. Biol. 2008, 14, 539–555. [Google Scholar] [CrossRef]
- Zhang, T.; Zhang, Y.; Xu, M.; Zhu, J.; Chen, N.; Jiang, Y.; Huang, K.; Zu, J.; Liu, Y.; Yu, G. Water availability is more important than temperature in driving the carbon fluxes of an alpine meadow on the Tibetan Plateau. Agric. For. Meteorol. 2018, 256, 22–31. [Google Scholar] [CrossRef]
Disclaimer/Publisher’s Note: The statements, opinions and data contained in all publications are solely those of the individual author(s) and contributor(s) and not of MDPI and/or the editor(s). MDPI and/or the editor(s) disclaim responsibility for any injury to people or property resulting from any ideas, methods, instructions or products referred to in the content. |
© 2023 by the authors. Licensee MDPI, Basel, Switzerland. This article is an open access article distributed under the terms and conditions of the Creative Commons Attribution (CC BY) license (https://creativecommons.org/licenses/by/4.0/).