A Study on Infiltration Characteristics and One-Dimensional Algebraic Model Simulation in Reclaimed Soil with Biochar
Abstract
:1. Introduction
2. Materials and Methods
2.1. Test Soil and Biochar Preparation
2.2. Experimental Design
2.3. Infiltration Experiment
2.4. Model Simulation
2.5. Data Analysis
3. Results
3.1. Effects of Biochar Addition on Soil Water Infiltration
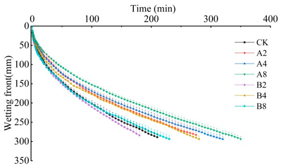
3.2. The Relationship between Cumulative Infiltration and Wetting Front Migration
3.3. The Simulation of the Infiltration Process
3.4. The Simulation of Moisture in the Soil Profile
4. Discussion
5. Conclusions
Author Contributions
Funding
Data Availability Statement
Acknowledgments
Conflicts of Interest
References
- Ministry of Natural Resources, People’s Republic of China. Major Data Bulletin of the Third National Land Resource Survey. Available online: https://www.mnr.gov.cn/dt/ywbb/202108/t20210826_2678340.html (accessed on 15 December 2021).
- Glaser, B.; Haumaier, L.; Guggenberger, G.; Zech, W. Black carbon in soils: The use of benzenecarboxylic acids as specific markers. Org. Geochem. 1998, 29, 811–819. [Google Scholar] [CrossRef]
- Lehmann, J.; Joseph, S. Biochar for Environmental Management: Science and Technology; Earthscan Ltd.: London, UK, 1998. [Google Scholar]
- Zhao, X.; Liu, S.; Gao, X.; Ding, Y.; Li, Z.; Yang, Y.; Yang, M. Effect evaluation of soil amendments on soil quantity of mountain apple orchards in the hilly region of Loess Plateau, China. Acta Ecol. Sin. 2022, 42, 7080–7091. [Google Scholar] [CrossRef]
- Yang, S.; Wang, J.; Liu, S.; Miao, Y.; Zhang, Y. Effects of soil amendments on soil physical and chemical properties of dryland apple orchards and economic efficiency in the Loess Plateau. Water Sav. Irrig. 2023, 1, 40–46. [Google Scholar] [CrossRef]
- Cao, D.; Shi, B.; Wei, G.; Chen, S.; Zhu, H. An improved distributed sensing method for monitoring soil moisture profile using heated carbon fibers. Measurement 2018, 123, 175–184. [Google Scholar] [CrossRef]
- Liang, J.; Xing, X.; Gao, Y. A modified physical-based water-retention model for continuous soil moisture estimation during infiltration: Experiments on saline and non-saline soils. Arch. Agron. Soil Sci. 2020, 66, 1344–1357. [Google Scholar] [CrossRef]
- Li, S.; Wang, X.; Wang, S.; Zhang, Y.; Wang, S.; Shangguan, Z. Effects of application patterns and amount of biochar on water infiltration and evaporation. Trans. Chin. Soc. Agric. Eng. 2016, 32, 135–144. [Google Scholar] [CrossRef]
- Zhan, S.; Song, M.; Li, Z.; Ma, H. Effects of different straw biochars on soil water infiltration and evaporation. J. Soil Water Conserv. 2021, 35, 294–300. [Google Scholar] [CrossRef]
- Wang, Y.; Bao, W.; Bai, Y.; Lu, X.; Xia, Z.; Yang, F.; Zhong, Y. Effects of biochar on soil water transport characteristics of Heilu soil. J. Drain. Irrig. Mach. Eng. 2020, 38, 292–297. [Google Scholar] [CrossRef]
- Wang, Q.; Shao, M.; Zheng, J. Water Movement and Solute Transport in Soil; China Water & Power Press: Beijing, China, 2007; pp. 20–21. [Google Scholar]
- Zhao, L.; Gao, P.; Wang, N.; Liu, X.; Yang, D.; Liu, Q. Applicability of one dimensional algebraic model in brackish water irrigation of severe saline—Alkali soil. J. Drain. Irrig. Mach. Eng. 2017, 35, 248–255. [Google Scholar]
- Wang, Y.; Ruan, X.; Bai, Y.; Gao, X. Process of soil moisture infiltration and model analysis of gravel-mulched land with different planting years. J. Drain. Irrig. Mach. Eng. 2022, 40, 1048–1055. [Google Scholar]
- Wang, J.; Ling, Q.; Zhang, Y.; Wang, X.; Lin, J.; Zhang, W.; Liu, Z.; Wang, X. Preparation of biochar and its application in environmental pollution management. J. Nantong Univ. (Nat. Sci. Ed.) 2022, 21, 1–14. [Google Scholar]
- Obia, A.; Børresen, T.; Martinsen, V.; Cornelissen, G.; Mulder, J. Vertical and lateral transport of biochar in light-textured tropical soils. Soil Tillage Res. 2017, 165, 34–40. [Google Scholar] [CrossRef]
- Song, R.; Chu, X.; Ye, J.; Bai, L.; Zhang, R.; Yang, J. Effects of surface soil mixed with sand on water infiltration and evaporation in laboratory. Trans. Chin. Soc. Agric. Eng. 2010, 26, 109–114. [Google Scholar]
- Philip, J.R. The Theory of infiltration about sorptivity and algebraic infiltration equations. Soil Sci. 1957, 83, 345–357. [Google Scholar] [CrossRef]
- Kostiakov, A.N. On the dynamics of the coefficient of water percolation in soils and on the necessity of studying dynamic point of view for purposes of amelioration. In Transactions of the Sixth Commission of the International Society of Soil Science Part A; Society of Soil Science: Moscow, Russia, 1932; pp. 17–21. [Google Scholar]
- Jackson, T.J.; Hawley, M.E.; O’Neill, P.E. Preplanting soil moisture using passive microwave sensors. Water Resour. Bull. 1987, 23, 11–19. [Google Scholar] [CrossRef]
- Brooks, R.H.; Corey, A.T. Hydraulic Properties of Porous Media and Their Relation to Drainage Design. Trans. ASAE 1964, 7, 26–28. [Google Scholar] [CrossRef]
- Wang, Q.; Robert, H.; Shao, M. Algebraic model for one-dimensional infiltration and soil water distribution. Soil Sci. 2003, 168, 671–676. [Google Scholar] [CrossRef]
- Willmott, C.J. Some comments on the evaluation of model performance. Bull. Am. Meteorol. Soc. 1982, 63, 1309–1313. [Google Scholar] [CrossRef]
- Huang, C. Effects of Common Biochar and Acid-Modified Biochar on Soil Water and Salt Distribution and Spinach Growth in Tidal Flat Area; Yangzhou University: Yangzhou, China, 2021. [Google Scholar] [CrossRef]
- Yan, M.; Li, X.; Liu, Y.; He, L.; Zhang, J. Biochar enhanced soil aggregation and C-related enzyme activity in post-mining land on the Loess Plateau, China. Land Degrad. Dev. 2022, 33, 1054–1061. [Google Scholar] [CrossRef]
- Bao, W.; Bai, Y.; Zhao, Y.; Zhang, X.; Wang, Y.; Zhong, Y. Effect of biochar on soil water infiltration and water holding capacity in the arid regions of middle Ningxia. Chin. J. Soil Sci. 2018, 49, 1326–1332. [Google Scholar] [CrossRef]
- Gao, Y.; Shen, H.; Yang, T.; He, N.; Ma, X. The effects of different biochar additions on soil water movement. China Rural. Water Hydropower 2021, 9, 134–140. [Google Scholar]
- Wen, M. Effect of Biochar on Soil Hydrodynmic Parmeter in the Loess Plateau; Northwest Agricultural and Forestry University: Yangling, China, 2021. [Google Scholar]
- Qi, R.; Zhang, L.; Yan, Y.; Wen, M.; Zheng, J. Effects of biochar addition into soils in semiarid land on water infiltration under the condition of the same bulk density. Chin. J. Appl. Ecol. 2014, 25, 2281–2288. [Google Scholar] [CrossRef]
- Cen, R.; Qu, Z.; Sun, G.; Yang, F. Effects of biochar on the physical properties and infilration of clay loam. Res. Soil Water Conserv. 2016, 23, 284–289. [Google Scholar] [CrossRef]
- Wei, Q. Study on Soil Percolation Characteristics and Water Retention Evaporation of Biochar; Guangxi University: Nanning, China, 2019. [Google Scholar] [CrossRef]
- Zou, Y.; Zhang, S.; Shi, Z.; Zhou, H.; Zheng, H.; Hu, J.; Mei, J.; Bai, L.; Jia, J. Effects of mixed-based biochar on water infiltration and evaporation in aeolian sand soil. J. Arid Land 2022, 14, 374–389. [Google Scholar] [CrossRef]
- Li, S.; Li, Y.; Zhang, M.; Jiang, B.; Wei, C.; Su, Y.; Zeng, X. Effects of different amendments on infiltration characteristics and soil water and salt distribution of saline-alkali soil in Hetao irrigation district. J. Soil Water Conserv. 2023, 37, 296–303. [Google Scholar] [CrossRef]
- Zeng, F.; Zhou, Y.; Zhang, W.; Yun, J.; Zhang, W.; Shao, Q. Effects of rate and particle size of biochar on water infiltration and redistribution characteristics of purple soil. J. Southwest Univ. (Nat. Sci. Ed.) 2022, 44, 136–144. [Google Scholar] [CrossRef]
- Wei, C.; Ren, Y.; Liu, F.; Deng, Y.; Yuan, X. Research progress of application of biochar and biochar-based fertilizer in agriculture. J. Henan Agric. Sci. 2016, 45, 14–19. [Google Scholar] [CrossRef]
- Liu, Y.; Li, M.; Xu, Z.; Ma, X.; Song, Y.; Zhang, J.; Wang, S.; Gao, P. Effects of different improvers on water and salt migration in saline-alkali soil. Agric. Res. Arid Areas 2020, 38, 183–191. [Google Scholar]



| Variety | The Origin Material | Appearance | Size (mm) | pH | Water Content (%) | Ash Content (%) | Organic Carbon (%) |
|---|---|---|---|---|---|---|---|
| Corn straw biochar | Corn straw | Black powder | 0.15 | 9 | 3 | 10 | 40 |
| Rice husk biochar | Rice husk | Black filamentous powder | 1 | 8 | 8 | 10 | 50 |
| Treatment | a | b | a × b | R2 |
|---|---|---|---|---|
| CK | 22.994 | 0.471 | 10.830 | 0.999 |
| A2 | 20.278 | 0.462 | 9.368 | 0.993 |
| A4 | 18.279 | 0.482 | 8.810 | 0.999 |
| A8 | 15.971 | 0.489 | 7.810 | 0.999 |
| B2 | 27.289 | 0.442 | 12.062 | 0.997 |
| B4 | 24.191 | 0.431 | 10.426 | 0.994 |
| B8 | 25.373 | 0.450 | 11.418 | 0.997 |
| Item | CK | A2 | A4 | A8 | B2 | B4 | B8 |
|---|---|---|---|---|---|---|---|
| Coefficient n″ | 0.3364 | 0.3284 | 0.3233 | 0.3629 | 0.3317 | 0.3229 | 0.3288 |
| Determination coefficient R2 | 0.9930 | 0.9981 | 0.9954 | 0.9998 | 0.9993 | 0.9982 | 0.9991 |
| Treatment | Sorptivity S/(mm·min−0.5) | Stable Infiltration Rate A/(mm·min−1) | Determination Coefficient R2 |
|---|---|---|---|
| CK | 6.282 a | 0.066 ab | 0.995 |
| A2 | 4.690 c | 0.010 e | 0.998 |
| A4 | 4.856 c | 0.018 d | 0.998 |
| A8 | 3.980 d | 0.031 c | 0.999 |
| B2 | 5.548 b | 0.009 e | 0.996 |
| B4 | 4.756 c | 0.016 d | 0.999 |
| B8 | 6.197 a | 0.076 a | 0.999 |
| Treatment | K | n′ | Determination Coefficient R2 |
|---|---|---|---|
| CK | 7.393 a | 0.439 c | 0.997 |
| A2 | 4.958 c | 0.483 b | 0.998 |
| A4 | 5.303 b | 0.473 b | 0.999 |
| A8 | 3.612 d | 0.539 a | 0.999 |
| B2 | 5.927 b | 0.482 b | 0.999 |
| B4 | 5.055 c | 0.479 b | 0.999 |
| B8 | 7.153 a | 0.438 c | 0.999 |
| Coefficient | CK | A2 | A4 | A8 | B2 | B4 | B8 |
|---|---|---|---|---|---|---|---|
| RMSE/% | 0.1737 | 0.4519 | 0.5213 | 0.3907 | 0.4132 | 0.3516 | 0.7668 |
| D | 0.6688 | 0.6589 | 0.6156 | 0.7258 | 0.5430 | 0.7125 | 0.5765 |
Disclaimer/Publisher’s Note: The statements, opinions and data contained in all publications are solely those of the individual author(s) and contributor(s) and not of MDPI and/or the editor(s). MDPI and/or the editor(s) disclaim responsibility for any injury to people or property resulting from any ideas, methods, instructions or products referred to in the content. |
© 2023 by the authors. Licensee MDPI, Basel, Switzerland. This article is an open access article distributed under the terms and conditions of the Creative Commons Attribution (CC BY) license (https://creativecommons.org/licenses/by/4.0/).
Share and Cite
Wang, J.; Shi, D.; Li, Y.; Chen, A.; Feng, S.; Liu, C. A Study on Infiltration Characteristics and One-Dimensional Algebraic Model Simulation in Reclaimed Soil with Biochar. Water 2023, 15, 2985. https://doi.org/10.3390/w15162985
Wang J, Shi D, Li Y, Chen A, Feng S, Liu C. A Study on Infiltration Characteristics and One-Dimensional Algebraic Model Simulation in Reclaimed Soil with Biochar. Water. 2023; 15(16):2985. https://doi.org/10.3390/w15162985
Chicago/Turabian StyleWang, Juan, Danyi Shi, Yan Li, Anquan Chen, Shaoyuan Feng, and Chuncheng Liu. 2023. "A Study on Infiltration Characteristics and One-Dimensional Algebraic Model Simulation in Reclaimed Soil with Biochar" Water 15, no. 16: 2985. https://doi.org/10.3390/w15162985
APA StyleWang, J., Shi, D., Li, Y., Chen, A., Feng, S., & Liu, C. (2023). A Study on Infiltration Characteristics and One-Dimensional Algebraic Model Simulation in Reclaimed Soil with Biochar. Water, 15(16), 2985. https://doi.org/10.3390/w15162985

