Biodiesel Production Directly from Rapeseeds
Abstract
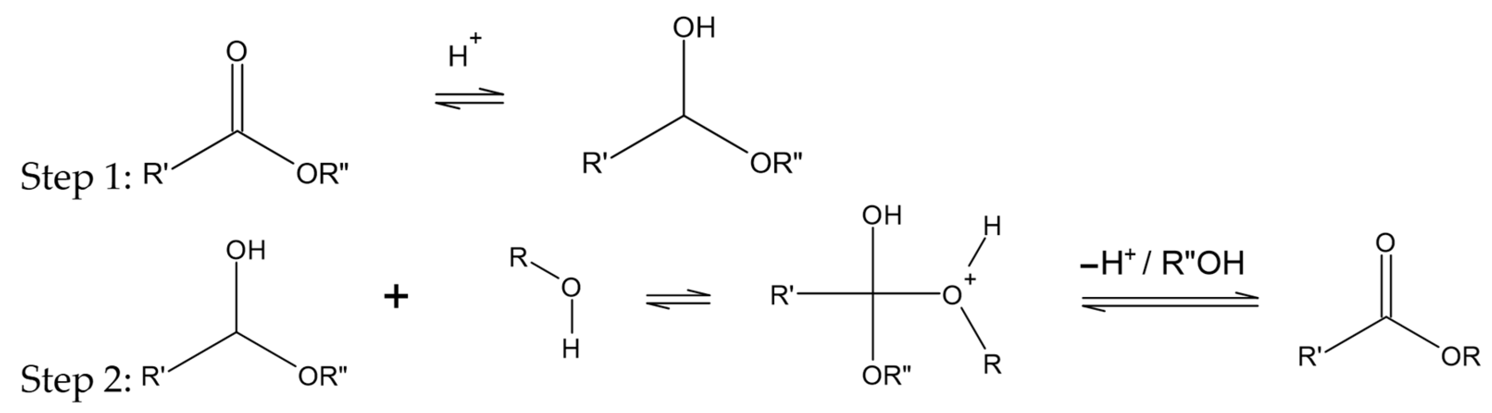
1. Introduction
2. Materials and Methods
2.1. Materials
2.2. Ball Milling Procedure
2.3. Rapeseed Shell Activation
2.4. Reflux
2.5. GC Analysis
2.6. Viscosity Testing
2.7. Testing of Biomass as a Heavy Metal Adsorbent
3. Results and Discussion
3.1. Ball Milling with a Catalyst
3.2. Ball Milling without a Catalyst
3.3. Reflux with Store-Bought Oil and with Seeds
3.4. Viscosity
3.5. Heavy Metal Adsorption
3.6. Energy Consumption
4. Conclusions
Author Contributions
Funding
Data Availability Statement
Conflicts of Interest
References
- Karmakar, B.; Halder, G. Progress and future of biodiesel synthesis: Advancements in oil extraction and conversion technologies. Energy Convers. Manag. 2019, 182, 307–339. [Google Scholar] [CrossRef]
- Kim, D.S.; Hanifzadeh, M.; Kumar, A. Trend of biodiesel feedstock and its impact on biodiesel emission characteristics. Environ. Prog. Sustain. 2018, 37, 7–19. [Google Scholar] [CrossRef]
- Rapier, R. Renewable Diesel. In Biofuels, Solar and Wind as Renewable Energy Systems, 1st ed.; Pimentel, D., Ed.; Springer: Dordrecht, The Netherlands, 2008; pp. 153–157. [Google Scholar] [CrossRef]
- Demirbas, A. Biodiesel production from vegetable oils via catalytic and non-catalytic supercritical methanol transesterification methods. PECS 2005, 31, 466–487. [Google Scholar] [CrossRef]
- Balat, M.; Balat, H. Progress in biodiesel processing. Appl. Energy 2010, 87, 1815–1835. [Google Scholar] [CrossRef]
- Knutsen, H.K.; Alexander, J.; Barregård, L.; Bignami, M.; Brüschweiler, B.; Ceccatelli, S.; Dinovi, M.; Edler, L.; Grasl-Kraupp, B.; Hogstrand, C.; et al. Erucic Acid in feed and food. EFSA 2016, 14, e04593. [Google Scholar] [CrossRef]
- Yang, F.; Hanna, M.A.; Sun, R. Value added uses for crude glycerol—A byproduct of biodiesel production. Biotechnol. Biofuels 2012, 5, 13. [Google Scholar] [CrossRef]
- Otera, J. Transesterification. Chem. Rev. 1993, 93, 1449–1470. [Google Scholar] [CrossRef]
- Abas, N.; Kalair, A.; Khan, N. Review of fossil fuels and future energy technologies. Futures 2015, 69, 31–49. [Google Scholar] [CrossRef]
- Freedman, B.; Butterfield, R.O.; Pryde, E.H. Transesterification kinetics of soybean oil 1. JAOCS 1986, 63, 1375–1380. [Google Scholar] [CrossRef]
- Noureddini, H.; Zhu, D. Kinetics of transesterification of soybean oil. JAOCS 1997, 74, 1457–1463. [Google Scholar] [CrossRef]
- Mittelbach, M.; Trathnigg, B. Kinetics of alkaline catalyzed methanolysis of sunflower oil. Eur. J. Lipid Sci. Technol. 1990, 92, 145–148. [Google Scholar] [CrossRef]
- Vicente, G.; Martinez, M.; Aracil, J. Integrated biodiesel production: A comparison of different homogenous catalysts systems. Bioresour. Technol. 2004, 92, 297–305. [Google Scholar] [CrossRef] [PubMed]
- Veljkovic, V.B.; Stamenkovic, O.S.; Tasic, M.B. The wastewater treatment in the biodiesel production with alkali-catalyzed transesterification. Renew. Sust. Energ. Rev. 2014, 32, 40–60. [Google Scholar] [CrossRef]
- Srirangsan, A.; Ongwandee, M.; Chavalparit, O. Treatment of biodiesel wastewater by electrocoagulation process. Environ. Asia 2009, 2, 15–19. [Google Scholar]
- Kolesarova, N.; Hutnan, M.; Bodik, I.; Spalkova, V. Utilization of Biodiesel By-Products for Biogas Production. J. Biotechnol. Biomed. 2011, 2011, 126798. [Google Scholar] [CrossRef] [PubMed]
- Kusdiana, D.; Saka, S. Kinetics of transesterification in rapeseed oil to biodiesel fuel as treated in supercritical methanol. Fuel 2001, 80, 693–698. [Google Scholar] [CrossRef]
- Yamazaki, R.; Iwamoto, S.; Nabetani, H.; Osakada, K.; Miyawaki, O.; Sagara, Y. Noncatalytic alcoholysis of oils for biodiesel fuel production by a semi-batch process. JJFE 2007, 8, 11–18. [Google Scholar] [CrossRef]
- Joelianingsih; Maeda, H.; Hagiwara, S.; Nabetani, H.; Sagara, Y.; Soerawidjaya, T.H.; Tambunan, A.H.; Abdullah, K. Biodiesel fuels from palm oil via the non-catalytic transesterification in a bubble column reactor at atmospheric pressure: A kinetic study. Renew. Energy 2008, 33, 1629–1636. [Google Scholar] [CrossRef]
- Todd, J. Mechanochemical synthesis of fuels from sustainable sources utilizing solid catalysts. STARS 2017, 2004–2019, 5566. [Google Scholar]
- Yang, N.; Sheng, X.; Ti, L.; Jia, H.; Ping, Q.; Li, N. Ball-milling as effective and economical process for biodiesel production under Kraft lignin activated carbon stabilized potassium carbonate. Bioresour. Technol. 2023, 369, 128379. [Google Scholar] [CrossRef]
- Berkowski, K.; Potisek, S.; Hickenboth, C.; Moore, J. Ultrashound-induced site-specific cleavage of azo-functionalized poly(ethylene glycol). Macromolecules 2005, 38, 8975–8978. [Google Scholar] [CrossRef]
- Gostl, R.; Sijbesma, R. π-extended anthracenes as sensitive probes for mechanical stress. Chem. Sci. 2016, 7, 370–375. [Google Scholar] [CrossRef] [PubMed]
- Hu, X.; Zeng, T.; Husic, C.; Robb, M. Mechanically triggered small molecules release from a masked furfuryl carbonate. J. Am. Chem. Soc. 2019, 141, 15018–15023. [Google Scholar] [CrossRef] [PubMed]
- Piermattei, A.; Karthikeyan, S.; Sijbesma, R.P. Activating catalysts with mechanical force. Nat. Chem. 2009, 1, 133–137. [Google Scholar] [CrossRef] [PubMed]
- Leung, D.Y.C.; Wu, X.; Leung, M.K.H. A review on biodiesel production using catalyzed transesterification. Appl. Energy 2010, 87, 1083–1095. [Google Scholar] [CrossRef]
- Rajaeifar, M.A.; Ghobadian, B.; Heidari, M.D.; Fayyazi, E. Energy consumption and greenhouse gas emissions of biodiesel production from rapeseed in Iran. JRSE 2013, 5, 63134. [Google Scholar] [CrossRef]
- Chen, Y.; Mellot, G.; van Luijk, D.; Creton, C.; Sijbesma, R.P. Mechanochemical tools for polymer materials. Chem. Soc. Rev. 2021, 50, 4100–4140. [Google Scholar] [CrossRef]
- Jakobs, R.T.M.; Ma, S.; Sijbesma, R.P. Mechanocatalytic polymerization and cross-linking in a polymeric matrix. ACS Macro Lett. 2013, 2, 613–616. [Google Scholar] [CrossRef]
- Michael, P.; Binder, W.H. A mechanochemically triggered “click” catalyst. Angew Chem. Int. 2015, 54, 13918–13922. [Google Scholar] [CrossRef]
- Wei, K.; Gao, Z.; Liu, H.; Wu, X.; Wang, F.; Xu, H. Mechanical activation of platinum–acetylide complex for olefin hydrosilylation. ACS Macro Lett. 2017, 6, 1146–1150. [Google Scholar] [CrossRef]
- Hara, M.; Komoda, M.; Hasei, H.; Yashima, M.; Ikeda, S.; Takata, T.; Kondo, J.; Domen, K. A study of mechano-catalysts for overall water splitting. J. Phys. Chem. B 2000, 104, 780–785. [Google Scholar] [CrossRef]
- Przybylski, R. Canola/rapeseed oil. In Vegetable Oils in Food Technology: Composition, Properties, and Uses, 2nd ed.; Gunstone, F., Ed.; Wiley-Blackwell: Hoboken, NJ, USA, 2011; pp. 107–133. [Google Scholar] [CrossRef]
- Meher, C.; Sagar, D.; Naik, S. Technical aspects of biodiesel production by transesterification—A review. Renew. Sustain. Energ. Rev. 2006, 10, 248–268. [Google Scholar] [CrossRef]
- Paduraru, C.; Tofan, L.; Teodosiu, C.; Bunia, I.; Tudorachi, N.; Toma, O. Biosorption of zinc(II) on rapeseed waste: Equilibrium studies and thermogravimetric investigations. Process Saf. Environ. Prot. 2015, 94, 18–28. [Google Scholar] [CrossRef]
- Arsenie, T.; Cara, I.G.; Popescu, M.C.; Motrescu, I.; Bulgariu, L. Evaluation of the adsorptive performances of rapeseed waste in the removal of toxic metal ions in aqueous media. Water 2022, 14, 4108. [Google Scholar] [CrossRef]






| Trial | Rapeseeds (g) | Methanol (mL) | Catalyst (g) | 3/8 Inch Stainless Steel Balls |
|---|---|---|---|---|
| Control—Shells | 1.5 g shells | 3.0 | - | 12 |
| Control—No shells | 1.5 g shells without seeds | 3.0 | - | 12 |
| Catalyst—Calcium Oxide | 1.5 g shells | 3.0 | 0.03 | 12 |
| 1.5 g shells without seeds | ||||
| Catalyst—Magnesium Oxide | 1.5 g shells | 3.0 | 0.03 | 12 |
| 1.5 g shells without seeds | ||||
| No Catalyst | 1.5 g shells | 3.0 | - | 12 |
| 1.5 g shells without seeds | ||||
| GC Parameter | Specification |
|---|---|
| Column type | Perkin Elmer Elite 1 Column (30 m long, 0.25 mm id) |
| Flow rate | 1.0 mL/min |
| Injection volume | 1.0 µL |
| Injection temperature | 250 °C |
| Initial column temperature | 100 °C |
| Ramp | 4 °C/min to 240 °C, held at final temperature 30 min |
| Milling Time (min) | Methyl Palmitoleate | Methyl Palmitate | Methyl Linoleate | Methyl Oleate | Methyl Stearate | Methyl Eicosenate | Methyl Erucate | Methyl Behenate |
|---|---|---|---|---|---|---|---|---|
| 60 | ✓ | ✓ | ✓ | |||||
| 90 | ✓ | ✓ | ✓ | ✓ | ||||
| 105 | ✓ | ✓ | ✓ | |||||
| 120 | ✓ | ✓ | ✓ | ✓ | ✓ | |||
| 135 | ✓ | ✓ |
| Milling Times of Shells (min) | Methyl Esters Formed during Reflux |
|---|---|
| 30 | Methyl stearate (C:18:0) |
| 60 | Methyl eicosenate (C:20:0) |
| 90 | Methyl stearate (C:18:0) |
| 135 | Methyl oleate (C:18:1), Methyl linolenate (C:18:2), Methyl eicosenate (C:18:0), Methyl erucate (C:22:1) |
| Lead | ||||
| Biomass (g) | Absorbance | Lead Concentration (M) | Standard Deviation | % Adsorbed by Biomass |
| 0.2037 | 0.509 | 1.08 × 10−3 | 5.7 × 10−5 | 89.2 |
| 0.2059 | 0.432 | 9.46 × 10−4 | 90.5 | |
| 0.2011 | 0.489 | 1.05 × 10−3 | 89.5 | |
| 0.4993 | 0.293 | 7.01 × 10−4 | 6.9 × 10−5 | 93.0 |
| 0.5047 | 0.385 | 8.63 × 10−4 | 91.4 | |
| 0.5043 | 0.315 | 7.40 × 10−4 | 92.6 | |
| 1.0009 | 0.263 | 6.48 × 10−4 | 5.1 × 10−5 | 93.5 |
| 1.0106 | 0.284 | 6.85 × 10−4 | 93.2 | |
| 1.0035 | 0.214 | 5.62 × 10−4 | 94.4 | |
| Mercury | ||||
| Biomass (g) | Absorbance | Mercury Concentration (M) | Standard Deviation | % Adsorbed by Biomass |
| 0.2004 | 1.453 | 1.60 × 10−3 | 2.5 × 10−4 | 84.0 |
| 0.2051 | 0.945 | 1.00 × 10−3 | 90.0 | |
| 0.1998 | 1.076 | 1.16 × 10−3 | 88.4 | |
| 0.5025 | 0.499 | 4.70 × 10−4 | 1.7 × 10−4 | 95.3 |
| 0.5007 | 0.789 | 8.15 × 10−4 | 91.9 | |
| 0.5017 | 0.798 | 8.26 × 10−4 | 91.7 | |
| 1.0148 | 0.377 | 3.25 × 10−4 | 1.7 × 10−4 | 96.8 |
| 1.0092 | 0.459 | 4.22 × 10−4 | 95.8 | |
| 1.0062 | 0.722 | 7.35 × 10−4 | 92.7 | |
Disclaimer/Publisher’s Note: The statements, opinions and data contained in all publications are solely those of the individual author(s) and contributor(s) and not of MDPI and/or the editor(s). MDPI and/or the editor(s) disclaim responsibility for any injury to people or property resulting from any ideas, methods, instructions or products referred to in the content. |
© 2023 by the authors. Licensee MDPI, Basel, Switzerland. This article is an open access article distributed under the terms and conditions of the Creative Commons Attribution (CC BY) license (https://creativecommons.org/licenses/by/4.0/).
Share and Cite
Tanner, A.; Baranek, M.; Eastlack, T.; Butts, B.; Beazley, M.; Hampton, M. Biodiesel Production Directly from Rapeseeds. Water 2023, 15, 2595. https://doi.org/10.3390/w15142595
Tanner A, Baranek M, Eastlack T, Butts B, Beazley M, Hampton M. Biodiesel Production Directly from Rapeseeds. Water. 2023; 15(14):2595. https://doi.org/10.3390/w15142595
Chicago/Turabian StyleTanner, Amanda, Morgan Baranek, Taylor Eastlack, Brian Butts, Melanie Beazley, and Michael Hampton. 2023. "Biodiesel Production Directly from Rapeseeds" Water 15, no. 14: 2595. https://doi.org/10.3390/w15142595
APA StyleTanner, A., Baranek, M., Eastlack, T., Butts, B., Beazley, M., & Hampton, M. (2023). Biodiesel Production Directly from Rapeseeds. Water, 15(14), 2595. https://doi.org/10.3390/w15142595

