Abstract
Mullet is the most heavily fished species in Tunisia, accounting for one-third of the freshwater fish harvest. To ensure the continuity and development of fisheries in the country, Tunisian reservoirs have been stocked with Mugilidae fry collected from coastal and estuarine areas. The quantities of fry introduced and mullet landings were correlated. To determine the spatial distribution and abundance of mullets in these fisheries, a multi-mesh gillnet was used in 10 reservoirs. The results showed a weak global correlation between the fry introduced and mullet landings, while the correlation of these variables in each reservoir separately revealed a high correlation in all the reservoirs, except for Ghezala reservoir. The fishing survey revealed that the numerical yield varied significantly from one reservoir to another. Sidi Saad reservoir recorded the highest yield of mullet (196.52 fish/1000 m2 of nets), while a lower yield was recorded in Lahjar, Seliana, Mellegue, Laabid, Ghezala, Bezirekh, Bouheurtma, Sidi Salem, and Sidi Barrak reservoirs. The harvested mullets’ sizes ranged from 14 to 65 cm, indicating good growth conditions in the Tunisian reservoirs. Our findings demonstrate a high potential for mullet production in the country; therefore, we recommend the sustainable development of this sector.
1. Introduction
Fish farming began in Tunisia in the 1960s and witnessed a major upturn in the 1990s thanks to the efforts of the Tunisian–German cooperation project initiated by the German Association of Technical Cooperation (the Deutsche Gesellschaft für Technische Zusammenarbeit) [1]. Many proposals have been made over the years to develop freshwater fisheries in Tunisia, including mullets [2,3,4,5]. However, before the abovementioned project was implemented, freshwater fisheries were not properly exploited.
The diversity of freshwater fish fauna in North Africa is generally limited, particularly in Tunisian reservoirs [6,7,8,9,10]. This is due to environmental conditions including the lack of freshwater input and permanent natural streams, in addition to extreme temperatures, which make ichthyofauna’s survival difficult [7]. As part of the aforementioned project, fish species were introduced from Europe in the 1990s to increase and diversify fish production in Tunisian reservoirs [6,11,12]. Both commercial and noncommercial species are now harvested in these water bodies, as per Mili et al. and Mtimet [13,14]. The first category includes Cyprinus carpio [15], Sander lucioperca [15], Silurus glanis [15], Anguilla anguilla [15], Mugil cephalus [15], Chelon ramada [16], and Oreochromis niloticus [15]. The second category is mainly composed of Scardinius erythrophthalmus [15] and Rutilus rutilus [15]. The Mugilidae family is reported to be one of the most important fish groups in the Tunisian fisheries [17]. The experimental stocking of reservoirs with mullet fry marked the beginning of freshwater fish farming of Mugilidae in Tunisia. The first experiment was realized in Mellegue reservoir in 1964 using 100,000 fry of M. cephalus. The exploitation of freshwater reservoirs by the National Office of Fisheries (ONP) started in 1979 and continued until 1988. In Tunisia, mullet harvesting is mainly carried out in hill lakes and dam reservoirs. However, the exploitation of fisheries varies among reservoirs due to differences in the watersheds, which lead to fluctuating patterns in the physicochemical parameters of the water [6,13]. In the 1990s, the introduction of mullet fry allowed a total fish harvest of around 20.3 tons, where mullets represented 44% of the catches, preceded by barbell (54%) [1]. Along with these measures which seek to improve fishing in the reservoirs, the ONP has issued fishing licenses to professional fishermen since 1987.
Regarding fishing gear and methods; Losse et al. [1] and Mili et al. [13] stated the different mullet fishing practices used in freshwater reservoirs, such as passive techniques. Passive fishing entails setting gill nets for one night and leaving them to catch fish, especially in bad weather. Another fishing technique is to encircle the mullet shoals in the surface water layers. Fishermen can easily use gill nets regardless of the spatial and temporal distribution of the fish, particularly mullet [8,13].
The mullet fisheries have faced many challenges, including a lack of reliable catch statistics and overall development planning [13]. Eco-biological studies of these species in Tunisian reservoirs are scarce in the literature. The lack of information on the population status and distribution of Mugilidae species in these water bodies makes their study and management more difficult. To potentially assist in resource management, the Higher Institute of Fishery and Aquaculture of Bizerte, in collaboration with the Technical Center of Aquaculture, implemented a fish sampling technique based on the European standard CEN using multi-mesh gill nets [18]. This sampling technique provided good information on fish density in terms of catch per unit effort (CPUE). Fry stocking procedures in Tunisian reservoirs are based on the European norm set by Loss et al. for the right size and quantity seeded per volume of water (20 mm–100 fry/ha) [1].
The primary goals of our investigation are twofold: to assess the state of mullet fisheries, and to examine existing knowledge about mullet populations. These steps can provide fishery managers with conservation measures to boost mullet productivity in Tunisian reservoirs.
2. Materials and Methods
The study was carried out in 10 reservoirs located in the north of Tunisia (southeast Mediterranean Sea) (Figure 1). To collect information on mullet fishery in Tunisian reservoirs, several databases (from 2001 to 2020) were used including technical reports, as well as published and unpublished data. These databases were obtained through a collaborative work agreement between the Higher Institute of Fishery and Aquaculture of Bizerte (ISPAB), the General Directorate of Fishery and Aquaculture (DGPA), and Tunisia’s National Institute of Marine Sciences and Technologies (INSTM).
Figure 1.
Locations of the most important Tunisian reservoirs (yellow boxes: studied reservoirs).
Generalized additive models (GAMs) were applied to assess the correlation between the quantity of mullet fry stocked and the mullet harvest in the Tunisian reservoirs [19]. GAMs can be considered a nonparametric generalization of linear regressions that are increasingly being used to study nonlinear relationships between the covariates and the response variable [20].
Multi-mesh gill nets were used in ten reservoirs located in different areas of Tunisia to determine the spatial distribution and abundance of mullets. Sampling was carried out using 20 m long, 1.5 m deep multi-meshed gill nets with eight different mesh sizes ranging from 18 to 80 mm, manufactured by ISPAB [18]. This European standard method was used in Tunisian reservoirs for the first time [21,22]. Samples were collected between April 2013 and May 2020. A generalized additive model (GAM) was used to determine the most common size class in each reservoir [19].
Similarity among reservoirs was tested according to the biotic (biomass and catch of mullet, weight per unit of effort (WPUE), and number per unit of effort (NPUE)) and the abiotic parameters (depth, area, and fishing effort) using Principal Component Analysis (PCA). The statistical analysis and the graphical representations were carried out using R 2.15.0 with the following R packages: “Vegan” [23], “Pgirmess” [24], and “mgcv” [19].
3. Results
3.1. Mullet Production
Mullet is the most abundant freshwater fish species in Tunisia, with 362 t/year, which represents 32.5% of the total harvest per year. From 2001 to 2020, the mean total yield of freshwater fish was 973 tons per year in the 10 studied reservoirs. It increased from 862 tons in 2001 to over 1251 tons in 2017 with a decrease to 919 tons in 2011 because of the political situation in the country, and then dropped again in the years (2018–2020) due to the reduction in the mullet fry stocked in these reservoirs.
C. ramada and M. cephalus represent the most important freshwater fish harvest in Tunisia (Figure 2). In 2013, 149 tons of these species were harvested in the studied sites. This low value was due to a lack of mullet fry stocked in 2011 and 2012.
Figure 2.
Evolution of the mullet harvest in Tunisia from 2001 to 2020. The solid line represents the predicted value of the dependent variable as a function of the x-axis. The gray band represents ±2 standard errors.
3.2. Correlation between the Introduced Fry and the Harvested Mullet
The quantity of the collected mullet fry has fluctuated over the years. The Technical Center of Aquaculture’s objective was to collect and transfer 10,000,000 mullet fry, but this was never achieved. The variation of fry captures is widely related to the conditions of exploitation and natural recruitment. After capture, the fry can be stabilized by acclimatization in storage units near the reservoirs. All the stock (C. ramada and M. cephalus) is captured by a special gill net, i.e., the “Italian seine”, that has a mesh size of 1.5 mm and H × L dimensions of 1.5 m × 4 m. This net replaced several other fry fishing gear (beach seine, etc.). The fry, measuring between 15 and 37 mm in total length, are captured and transported in oxygenated tanks, and then released after adaptation (adjustment of salinity and temperature).
The variability in the quantities of mullet fry stocked over the past 19 years is summarized in Figure 3. The decrease in the collected quantity of mullet fry was due to low rainfall, the disconnection between fresh water and seawater associated with pollution, and probably the overexploitation of these resources.
Figure 3.
Correlation between the quantity of mullet fry stocked and mullet harvest in Tunisian reservoirs. The dotted line represents the predicted value of the dependent variable as a function of the x-axis. The gray band represents ±2 standard errors.
The analyses of mullet harvest and the quantity of mullet fry stocked in the totality of Tunisian reservoirs between 2001 and 2020 indicate a low correlation among these factors (R2 = 0.320). The total quantity of mullet fry stocked in these reservoirs ranged from 295,000 (in 2017) to 9,759,000 (in 2009) and differed significantly across the years (F = 3.45; p < 0.05). As for mullet harvest, it dropped from 370 tons (2014) to 239 tons (2001) and fluctuated significantly over the years (F = 5.32; p < 0.05).
The plot (Figure 3) shows a poor relationship between fry stocking and mullet landing. This observation can be explained by the unreliable harvest statistics given by fishermen. Additionally, the lack of data on mullet fry mortality can lead to an overestimate of the stocked quantity.
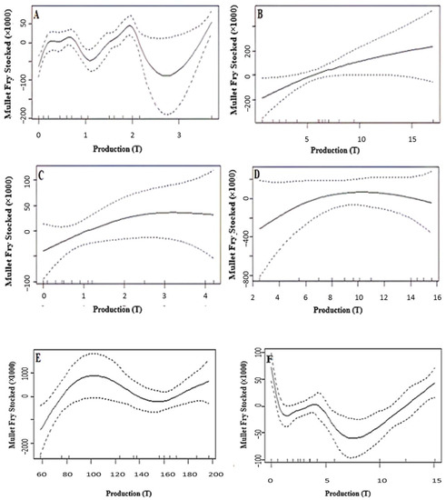
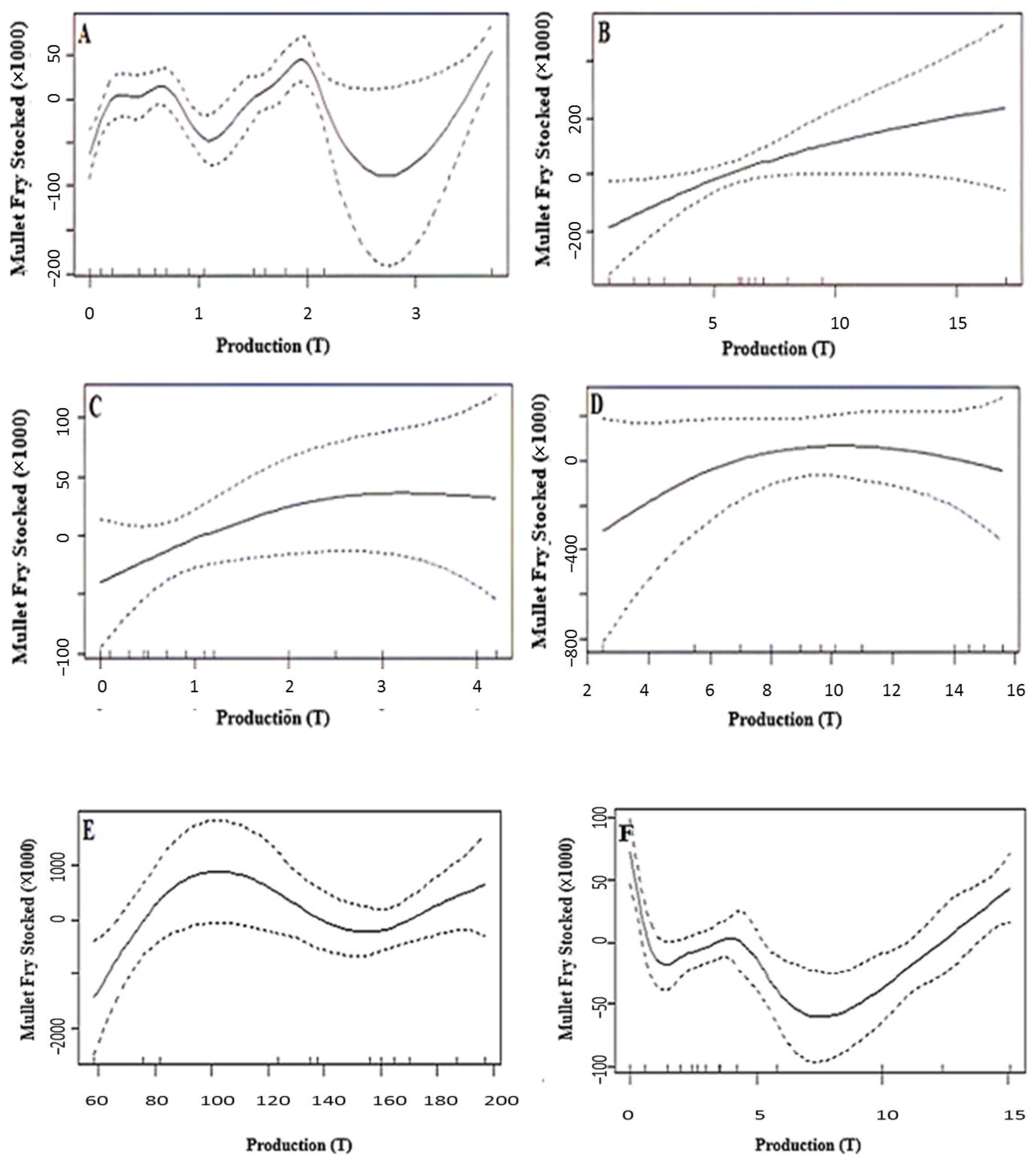
The generalized additive models (GAMs) applied to 10 Tunisian reservoirs showed a high correlation between introduction and landing (F = 23.2; p = 0.04). This parameter accounted for 46.69% of the deviance in variability in mullet harvest except for Ghezala reservoir (GAM, F = 5.58; p = 0.54), where the GAM showed a weak correlation between mullet harvest and stocked mullet fry. A strong correlation between these two variables was observed in the rest of the reservoirs. The covariate accounted for between 91.7% and 91.2% of the deviance in variability in Lahjar, Sidi Saad, Seliana, Mellegue, Sidi Salem, Laabid, Sidi Barrak, Bezirekh, and Bouheurtma reservoirs (Figure 4). However, the GAMs demonstrated a poor significant correlation between the stocked mullet fry and mullet harvest for the remaining reservoirs.

Figure 4.
Generalized additive model depicting the correlation between mullet production and mullet fry stocked. The solid line represents the predicted value of the dependent variable as a function of the x-axis. The dotted lines represent ±2 standard errors. (A) Seliana; (B) Bouheurtma; (C) Lahjar; (D) Mellegue; (E) Sidi Salem; (F) Laabid; (G) Sidi Barrak; (H) Bezirekh; (I) Sidi Saad.
3.3. Numerical and Weight Yield
Fish sampling with multi-mesh gillnets (based upon the European CEN Standard) gives a good indication of trends in fish density (CPUE). This enables us to compare the CPUE density of the population, which allows us to make recommendations on how to achieve sustainable mullet management in Tunisian reservoirs. These reservoirs show significant variations in numerical yield (F = 2.51, p < 0.05) ranging from 0.76 fish/1000 m2 net in Sidi Salem to 196.52 fish/1000 m2 net in Sidi Saad reservoir. Mullet catch rates by weight differed in the prospected reservoirs (F = 3.42, p < 0.05), and oscillated between 0.36 kg/1000 m2 net and 196.52 kg/1000 m2 net in Laabid and Sidi Saad reservoirs, respectively.
Variation in catch and biomass of mullet in Tunisian reservoirs expressed in terms of number per unit effort (NPUE—fish/1000 m2) and weight per unit effort (WPUE—kg/1000 m2) was detected according to depth, area, and fishing effort using principal component analysis (PCA). The two principal components contributed 89.69% of the total variance. The first component axis, which accounts for 49.66% of the catchability and biomass of mullet variance, is characterized by low positive contributions from the reservoirs of Lahjar, Seliana, Mellegue, Sidi Salem, Sidi Barrak, Laabid, Ghezala, Bezirekh, and Bouheurtma and, otherwise, by high negative contributions from Sidi Saad reservoir. The second component axis, accounting for 40.03% of the total variance, is distinguished especially by the high positive contributions of Sidi Salem, followed by Sidi Barrak reservoir (Figure 5). ACP shows that covariates accounted for 59.4% to 0.14% of the deviance in variability in these reservoirs.
Figure 5.
Principal component analysis (PCA) applied to the biotic parameters (biomass and catch of mullet (WPUE and NPUE)) and abiotic parameters (depth, area, and fishing effort) (PC1 = 49.66, PC2 = 40.03) in the Tunisian reservoirs (Red arrows). Three mullet groups: I (Red circle), II (Yellow circle), and III (Blue circle).
The harvested mullets were divided into three groups (I, II, and III) according to the NPUE and WPUE. Group I is composed of reservoirs with relatively low yields, which is the case for Lahjar, Seliana, Mellegue, Laabid, Ghezala, Bezirekh, and Bouheurtma reservoirs. The NPUE and WPUE obtained in these reservoirs were significantly different from the number and weight per unit effort of mullet components in the second and third groups. Group II, composed of the NPUE and WPUE of caught mullets in Sidi Salem and Sidi Barrak, showed a positive correlation with the second factor. The low yields of these reservoirs are significantly correlated to their areas (F = 2.33, p < 0.05) and fishing effort (F = 3.21, p < 0.05). Group III is composed of relatively high yields (NPUE = 196.52 fish/1000 m2 and WPUE = 29.41 kg/1000 m2), as observed in Sidi Saad reservoir. This study shows that the yields of mullets were not correlated to the depth of the reservoir (p = 11.21, F = 0.07), which confirms the pelagic character of mullets.
3.4. Population Status
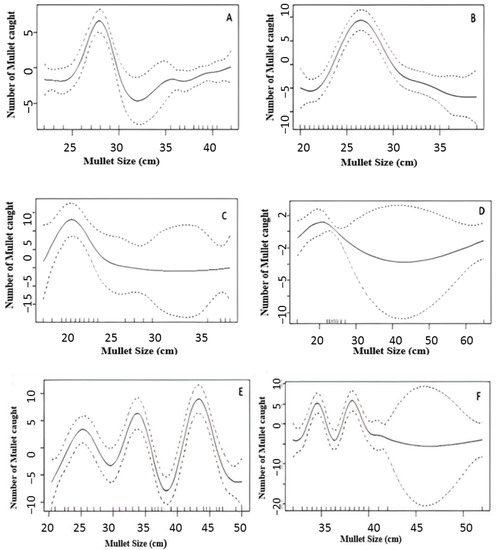
The size of mullets caught in Tunisian reservoirs ranged from 14 to 65 cm TL (total length) (Figure 6). In our study, the sampled population consisted of four age groups (based on the scalimetry method) in the reservoirs of Lahjar, Sidi Saad, Seliana, Ghezala, Bezirekh, and Bouheurtma and five age groups in the reservoirs of Sidi Salem and Sidi Barrak. Mullets from Mellegue and Laabid reservoirs were composed of eight age groups. A significant nonlinear relationship between the abundance of mullets and the size of the different specimens was observed (Figure 6). The covariate (size) accounted for more than 50% of the deviance in variability in all inspected reservoirs. The most abundant class size of the mullet, 20–40 cm, is highlighted in the plot (Figure 6). Juvenile fish were observed in the shallow shoreline zones which were not investigated with the net.

Figure 6.
Generalized additive model depicting the relationship between mullet abundance and size (total length: TL). The solid line represents the predicted value of the dependent variable as a function of the x-axis. The dotted lines represent ±2 standard errors. (A) Lahjar; (B) Sidi Saad; (C) Seliana; (D) Mellegue; (E) Sidi Salem; (F) Sidi Barrak; (G) Laabid; (H) Ghezala; (I) Bezirekh; (J) Bouheurtma.
4. Discussion
Mullet is the most abundant freshwater fish species in Tunisia, representing more than 30% of the total harvest per year [25]. Coastal waters are of particular interest as they contribute to the seasonal abundance of juveniles and fry of Mugilidae. These are used to stock freshwater reservoirs [1,13]. Until 2009, several species of Mugilidae were introduced as fry into many Tunisian reservoirs [7,26,27,28]. The fry of M. cephalus and C. ramada, collected from coastal and estuary areas, were acclimated and introduced into the reservoirs. These species revealed normal survival conditions, but they were unable to reproduce in freshwater [1,26,29,30]. Previous research on mullet fry exploitation in Tunisian waters revealed that lowland courses had a very high density of fry migrating from the open sea to estuarine waters depending on their intensity and physicochemical water parameters. The shoals of mullet migrate from mesohaline water (17% to 23%) to oligohaline waters (7% to 8%) when temperatures are between 15 and 17 °C [31,32,33]. The recommended quantity of fry for stocking reservoirs is 100 fry/ha [1]. To guarantee optimal growth of mullet, fry must be stored annually at low densities (50 fry/ha) where aquatic vegetation is important and at high densities (100 fry/ha) in reservoirs without aquatic vegetation. The storage must be made in the spring after the migrating fish-eating birds leave the area [26]. The estimation of the stocking’s contribution to landing (the stocking vs. landing ratio) must be made after the estimation of the mortality rate [29]. The relationships between stocked Mugilidae and catches indicated an increase in landings over 3 years [26].
The Technical Center of Aquaculture (CTA) catches mullet fry in different areas where the rivers and the sea converge. Mili et al. [34] studied the presence of red mullet fry along the Tunisian coast. They found that optimum stocking densities were a function of carrying capacity, food availability, environmental conditions, and fish size, as well as potential loss due to predators and mortalities [34]. Depending on the density in the capture zones, the number of stocked fry varies seasonally [34]. An analysis of the collection of mullet fry at the different stations showed that the abundance of these organisms did not occur throughout the whole season, but only during shorter periods. These authors pointed out that the spatiotemporal analysis of the mullet fry caught at the different stations showed that each station was characterized by a high abundance of one species in each season.
To take the example of Asian countries, it was reported that the availability of fingerlings of sufficient size and species represents one of the greatest impediments to all sorts of stock enhancement operations.
One of the most important components of stocking, according to De Silva and Funge-Smith [35], is to ensure that the stocked fry are of suitable size. Years of experience in China, where predatory threat is negligible in small and medium-sized waterbodies, have revealed that the most ideal size for stocking is over 13 cm in length (about 25 g).
The effect of the physicochemical parameters of the water on the mortality of the juveniles, which has not yet been estimated, can explain the poor relationship between the stocking of mullet fry and the harvest of this species in Tunisian reservoirs. Furthermore, the inaccuracy of fishery statistics and the low rate of stocking have contributed to poor outcomes. These findings are in line with previous studies. For instance, De Silva and Funge-Smith [35] depicted that the final quantity produced from a reservoir will be contingent not only on the kind of stocked specimen and its dimensions, but also on the biological productivity of the waterbody, and this determines how accessible food is to the filled seed, thus mediating how well they grow and thrive.
According to Bok [36] and Besbes et al. [37], large-scale mullet stockings, in some countries, have increased the fishing potential of their inland waters. For instance, Egypt’s Lakes Mariut and Quarun, as well as Lake Kinneret, have been stocked with millions of mullet fry, including flathead gray mullet Mugil cephalus (Galilee Sea) [38].
The relationships between stocked Mugilidae fry and harvests in Lake Kinneret indicated an increase in landings in 3 years [29]. These authors demonstrated that, when the stockings were correlated with the landings 1 year later, the trend was negative, i.e., an increase in stocking corresponded to a decline in catches the following year. These results were different from those obtained in Tunisia by referring to the landing statistics. Losse et al. [1] showed that stocking 350,000 mullet fry (density 160 fry/ha) in March led to the recruitment for commercial fishing in August (250–300 g) in Sidi Salem reservoir in Tunisia, in 1990. Additionally, mullets do not undertake large migrations and remain confined to the reservoir zone of their stocking.
Referring to the studies of Saleh [39] and Leber et al. [40], in 2005 (Egypt), 69.4 million mullet fry were gathered with a total production of 156.400 tons of mullet in lakes, semi-intensive ponds, and coastal net pens. The authors also reported that C. ramada accounted for 58% of the catch on average, whereas this thin-lip gray mullet was at 23% [39]. These findings confirmed that the development and spread of inland fish farming and the growth of local socioeconomic activities were both attributed to the stocking of numerous reservoirs with mullet fingerlings and other species [1,12].
As stated by Jenhani et al. [41], the biomass of landed freshwater fish accounts for an amount ranging from 25% to 30% of the mullet yield each year. The Technical Center of Aquaculture (CTA), which is a governmental institution, typically does not catch enough fish to meet the demand [41]. Pressure on wild-caught fry has risen as the profitability of mullet fisheries has grown [40]. However, despite numerous studies on the biology of freshwater fish in Tunisian reservoirs [27,42,43,44,45,46,47,48,49,50], little information is available on the population status, distribution, and abundance of mullet.
Regarding the fishing gear and methods, before 1990, the primary fishing gear used to catch mullets was invisible gillnets and trammel nets (invisible monofilament or multifilament). Recently, a diagnosis was made to determine the fishing gear characteristics used in Tunisian reservoirs. The findings revealed variability in the fishing gears used in the Tunisian reservoirs, with a heterogeneous technical specification [13]. Fishing gear was limited to nets, and fishermen used only small fishing boats without engines [13,14,48]. Three types of nets are used in all the Tunisian reservoirs: invisible gillnet, trammel nets, and combined nets [13,14]. The nets used by most professionals are invisible gillnets (61%). Trammel nets come second (26%), followed by combined nets (13%). The complexity of mounting this type of net has limited its use. However, compared to other types of nets, it has a very high catching efficiency [13].
Monofilament and multifilament gillnets with floating lines (1.8 kg/100 m) and lead lines (3.2 kg/100 m) were used by Losse et al. [1] in fishing trials and fishery monitoring. Nine different mesh sizes were used by these authors: 15, 25, 32, 40, 50, 60, 70, 80, and 100 mm. In 1990, the Sidi Salem, Mellegue, Bouheurtma, Seliana, and Laabid reservoirs were surveyed using multi-mesh gillnets to estimate abundance and catch per unit effort (CPUE). This study showed that the annual average of the CPUE of the mullet in terms of number and weight in Sidi Salem reservoir is about 0.66 ind/gillnet and 439 g/gillnet, respectively. Losse et al. [1] confirmed that the mullets of Sidi Salem present a small stock composed of old specimens.
Between 1985 and 1989, 800,000 mullet fry were stocked in the Bouheurtma reservoir [51]. In 1989, this reservoir was heavily fished, which led to the overexploitation of the freshwater fish stocks. The use of electric fishing combined with multi-mesh gillnets made it possible to estimate the biomass of mullets, which was estimated at 6 kg/ha. Mullet numeric and weight CPUEs were 1.5 ind/gillnet and 428 g/gillnet, respectively.
Seliana reservoir was stocked with mullet fry in 1960. This year, mullet larvae were introduced into Seliana reservoir. Because reproduction is impossible in this reservoir, the numerous fishing operations conducted in 1991 did not corroborate the persistence of these resources. In 1990, fishing activities in Laabid reservoir yielded only five specimens of mullets from three distinct species: M. cephalus, C. ramada, and L. aurata. All the specimens of mullets were harvested with a 60 mm mesh gillnet. These catches do not reflect the fish populations in Lebna reservoir.
As demonstrated by Djemali et al. [52] and Mili et al. [9,53,54], mullets were heavily abundant below 6 m depth in Ghezla, Sidi Salem, Sidi Barrak, and Lahjar reservoirs, and no individual was caught at a depth greater than 9 m in any reservoir. Mullets are known to display gregarious behavior and live in schools [26,29,52,55]. Fishermen also reported that C. ramada naturally move in schools; therefore, they are easily captured. However, M. cephalus are usually solitary and are active during the short winter period, which is the time reproductive shoals are formed in nature. Additionally, Djemali et al. [8] indicated that, in the majority of the Tunisian reservoirs, the mullet density was higher downstream than upstream because greater depths were located near the dam.
The ages of M. cephalus and C. ramada were determined in the Tunisian reservoirs, and the results showed that the maximum age for C. ramada was 10 years, corresponding to a total length ranging from 52.9 cm to 58.5 cm. Moreover, Mili et al. [26,50] found that the maximum size of M. cephalus was 65.2 cm, corresponding to an age of 8 years. In the reservoirs of Sidi Salem and Bouheurtma, Losse et al. [1] found that only M. cephalus and C. ramada were present. They also reported that, before the age of 6 years, the growth of C. ramada was faster than that of M. cephalus, but the situation reversed after the age of 7 years. In addition, they noted that the maximum age observed for C. ramada was 8 years, whereas the maximum age for M. cephalus was 9 years.
When comparing length and weight growth parameters, we found that M. cephalus grew more quickly than C. ramada [1]. This observation can be explained by the fact that the environmental conditions are optimal for the growth of this species (temperature and salinity). Temperature can have a big influence on fish production, mainly during recruitment [48]. There are also intraspecific differences in growth rates among populations in Sidi Salem, Sidi Barrak, Seliana, Kasseb, and Bouheurtma reservoirs [50]. The environmental conditions in Sidi Saad reservoir seem to be better for the growth of Mugilidae than those present in Sidi Barrak, Seliana, Kasseb, and Bouheurtma reservoirs. This result is related to metabolism, which is important when annual temperatures are high, as in the cases of Sidi Saad (21.5 °C), Sidi Salem (19.5 °C), Mellegue (18.5 °C), and Sidi Barrak (18.5 °C). The highest growth rates were also recorded when the salinity was low (>1.0) reaching 0.5, 0.7, and 0.82 in Mellegue, Sidi Barrak and Sidi Saad, respectively. High temperature and low salinity represent the optimal conditions for the growth of Mugilidae [50]. The effect of temperature, salinity, amount of food available, population density, fishing season, and maturation stage in freshwater are probably responsible for the differences observed in the growth rate of mullets in Tunisian reservoirs [50]. The growth variability observed in Mugilidae may have been due to differences in environmental conditions and migration factors, which favored mixing between migrant and local populations, according to numerous studies conducted in different regions [56,57,58]. However, differences in length and growth rates associated with the genetic origins of populations cannot be ruled out [58]. After stocking fry sizes ranging from 14 to 28 mm in Sidi Salem reservoir, mullet growth rates were found to be higher than those for C. ramada, with 240 g after 9 months and 600 g after 15 months [27]. The variation in growth rate is related to the availability of trophic resources, which is important in Sidi Salem due to the abundance of detritus and fine mud, as well as the absence of aquatic vegetation [1]. M. cephalus and C. ramada have similar trophic levels, with an affinity for vegetable resources mixed with a low quantity of zooplankton settled with mud and detritus [1].
Many authors indicated that M. cephalus has a higher potential for growth than C. ramada. Mullets grow rapidly for the first 2 years, and then slow down when they reach sexual maturity, as is the case with freshwater Mugilids in Tunisia [56]. The growth rates and ecological behavior of the two Mugilid species (M. cephalus and C. ramada) differ. However, Gophen and Snovsky [29] reported a very close survival value. The rapid growth of C. ramada and M. cephalus during the first 2 years is explained by the abundance of food [59]. Albertini-Berhaut [60] reported that the juveniles of C. ramada grow promptly in an open environment in early summer and slowly in November. This author attributed this slowdown to low temperatures and a decrease in the quantity of food available. Quignard and Farrugio [56] depicted that the difference in growth rate between sexes becomes noticeable after the second year. Farrugio [31] estimated the maximum lifespan for M. cephalus and C. ramada to be more than 15 years and 10 years, respectively. Bar-Ilan reported that M. cephalus reaches a weight twice higher in freshwater than C. ramada [61]. The rapid growth of M. cephalus and C. ramada was also reported by Vidy and Franc [62]. Furthermore, the study made in Lake Kinneret [29] showed that the food of adults comprised detritus, nano-phytoplankton, and small benthic organisms, whilst fingerlings feed on free swimming zooplankters. Additionally, these authors indicated that Mugilidae, as omnivorous fishes, collect their food primarily in the shallow part of the lake and partially in the water column.
The mortality of mullets in Tunisian reservoirs was studied by estimating fishing (M), natural (M), and total (Z). Larger size classes are affected by fishing mortality; however, natural mortality affects young specimens (1–2 years). Gophen and Snovsky [29] showed that the calculated natural mortality factor, with respect to growth rate and landing statistics, gave a similar survival for both species: 27% and 28% of stocked fingerlings recruited into the “catchment categories” for C. ramada and M. cephalus, respectively. The depletion of species diversity in reservoirs is unavoidable as a result of the transition from riverine to lacustrine habitat and due to the structure of the dam, which represents an obstacle to the upstream flow of species [35].
5. Conclusions
The diagnosis of the current state of mullet fisheries in Tunisian reservoirs allowed us to highlight several findings. There are many technical and administrative problems in managing mullet fisheries. The lack of reliable data on fisheries statistics is the main obstacle to the development of this activity. The incapacity of fishermen to discriminate between species limits the trustworthiness of research based on these data. Fisheries’ poor management led to the failure to produce important quantities of mullet. Additionally, there is insufficient information on freshwater fish distribution in Tunisian reservoirs. Such data are required to improve our understanding of the stocks and to adjust fishery management. Ineffective control services would inevitably result in serious problems, specifically an increase in unreported and unregulated fishing (IUU).
Difficulties in communicating and connecting with fishermen cause serious problems in every aspect related to mullet fisheries (marketing, stocking, equipment, etc.). Gear efficiency worsens as a result of fishermen’s lack of knowledge of the gear and the remoteness of fishing equipment outlets. The use of a nonregulatory mesh combined with a lack of compliance with the fishing season results in inaccurate exploitation of the mullet fishery. Lastly, two major problems for fishermen are the difficulty of marketing mullets and the variability of their prices.
However, the mullet population in the reservoirs remains an important part of the ecosystem that has benefits for water quality and fishing income. The high production potential of these resources is demonstrated by the rapid growth rate of mullet species. As juveniles grow rapidly, the development of mullet fisheries should be encouraged. To preserve this activity, fishing gear, particularly mesh size and net number, should be standardized and controlled. Following the annual introduction of mullet fry, whether produced in hatcheries or captured from natural sites and reintroduced into reservoirs, the exploitation of reservoirs should immediately take place. The most important development axis for mullet fisheries is (a) granting reservoirs to private developers, (b) improving the productivity of reservoirs, and (c) establishing a mullet hatchery. Lastly, mullet fishery management should be implemented through public policies that include the quantity of stocked fry mullet, the amount of catch allowed, and control over the fishing effort (number of vessels, mesh size of the net) to regulate the size of fish marketed, as well as seasonal and site regulations.
Author Contributions
Conceptualization, S.M.; Methodology, S.M. and M.F.; Software, R.E.; Validation, R.E. and H.L.; Formal analysis, R.E., Y.K., A.H. and M.B.A.; Investigation, H.L.; Resources, S.A. and H.L.; Data curation, M.F.; Writing—original draft, S.M.; Writing—review & editing, S.M., M.F., I.L., Y.K., A.H. and M.B.A.; Visualization, R.E. and M.F.; Supervision, S.M.; Project administration, S.M.; Funding acquisition, I.L., Y.K., A.H. and M.B.A. All authors have read and agreed to the published version of the manuscript.
Funding
This research is funded by Deanship of Scientific Research, Taif University under invoice Number: 2438335.
Data Availability Statement
The data used in this study are available from first author at reasonable request.
Acknowledgments
This work is part of a joint project between the Technical Center of Aquaculture and the Higher Institute of Fishery and Aquaculture, Bizerte, Tunisia. The authors are very grateful to the Institute of Agricultural Research and Higher Education (IRESA) for providing financial support for the research project (AMBISEPT) that led to the realization of this research. The authors specially thank the technical staff of TCA and the students of ISPA Bizerte for their efforts in the practical part of this work. The authors are also very grateful to Hajer Zarrouk who considerably improved the manuscript. The authors acknowledge the Deanship of Scientific Research, Taif University for funding this work.
Conflicts of Interest
The authors declare no conflict of interest.
References
- Losse, G.F.; Nau, W.; Winter, M. The Development of Freshwater Fishing in Northern Tunisia: Tunisian-German Technical Cooperation Project, Project Use of Dams for Fish Farming; GTZ and CGP: Tunis, Tunisia, 1991; 418p. [Google Scholar]
- ADCP. Etude du Potentiel Aquacole et Proposition Pour une Politique de Développement de L’aquaculture en Tunisie; Rapport d’une Mission Interdisciplinaire TCP/ADCP en Tunisie (Mars–Juin 1982); ADCP/MR/83-21; FAO: Rome, Italy, 1983; p. 248. [Google Scholar]
- Anonymous. Proposition de Projet: Projet Pilote Pour le Développement de L’Aquaculture Dans Les Retenues de Barrages; FAO: Rome, Italy, 1986; p. 49. [Google Scholar]
- Anonymous. American Peace Corps: Fish Farming of Dam Reservoirs; Study Project; National Agronomic Institute of Tunisia: Tunis, Tunisia, 1986; p. 122. [Google Scholar]
- Anonymous. Tunisia Country Profile 1989/90; The Economist Intelligence Unit: London, UK, 1988; p. 86. [Google Scholar]
- Mili, S.; Ennouri, R.; Laouar, H.; Khedhri, I.; Zarrouk, H.; Chargui, T.; Romdhane, N. Freshwater Fish Farming and Fishery Management in Tunisian Reservoirs: Limitations and Opportunities. In Agriculture Productivity in Tunisia under Stressed Environment; Allouche, K.F., Abu-hashim, M., Negm, A.M., Eds.; Springer: Cham, Switzerland, 2021; pp. 8–34. [Google Scholar]
- Loss, G.F.; Kraiem, M.M.; Boughedir, M. Preliminary Inventory of the Vertebrate Fauna of the Sidi Salem Dam with in Appendix a List of the Fish Fauna of the Nebhana, Bir M’chergua, Sidi Saâd, Ben Mtir, Bou Heurtma and Mellègue Reservoirs; Technical Reports; Tunisian-German Continental Fishing Project; GTZ Gmbh: Tunis, Tunisia, 1990; p. 403. [Google Scholar]
- Djemali, I.; Laouar, H.; Toujani, R. Distribution patterns of fish biomass by acoustic survey in three Tunisian man-made lakes. J. Appl. Ichthyol. 2010, 26, 390–396. [Google Scholar] [CrossRef]
- Mili, S.; Ennouri, R.; Dhib, A.; Laouar, H.; Missaoui, H.; Aleya, L. Characterization of fish assemblages and population structure of freshwater fish in two Tunisian reservoirs: Implications for fishery management. Environ. Monit. Assess. 2016, 188, 364. [Google Scholar] [CrossRef] [PubMed]
- Mili, S.; Ennouri, R.; Laouar, H. Population status of freshwater fish in Tunisian reservoirs. Sav. Freshw. Fishes Habitats 2016, 11, 32–34. [Google Scholar]
- De Silva, S.S.; Amarasinghe, U.S. Reservoir Fisheries in Asia. In Perspectives in Asian Fisheries, A Volume to Commemorate the 10th Anniversary of the Asian Fisheries Society; Asian Fisheries Society, Manila: Selangor, Malaysia, 1996; pp. 189–216. [Google Scholar]
- Hadj Salah, H. Etude Socio-Economique et de Rentabilité de L’activité de Pêche Dans Les Eaux Douces de Tunisie. Ph.D. Thesis, Rennes University, Rennes, France, 2002. [Google Scholar]
- Mili, S.; Ennouri, R.; Laouar, H.; Missaoui, H. Fisheries in the Tunisians dams: Diagnosis of the current situation and development opportunities. FAO Fish. Aqua. Proc. 2015, 39, 95–106. [Google Scholar]
- Mtimet, N. Socio-Economic Analysis of the Continental Fish Farming Sector in the North-West of Tunisia. In Project ‘Safeguarding and Socio-Economic Enhancement of Environmental Resources in the North-West Region of Tunisia’; COSPE/GIPP: Tabarka, Tunisia, 2010; p. 150. [Google Scholar]
- Linnæus, C. Systema Naturæ per Regna Tria Naturæ, Secundum Classes, Ordines, Genera, Species, Cum Characteribus, Differentiis, Synonymis, Locis, 10th ed.; Tom, I., Ed.; Laurentius Salvius: Stockholm, Sweden, 1758; 824p. [Google Scholar]
- Risso, A. Natural History of the Principal Productions of Southern Europe and Particularly of Those around Nice and the Alpes Maritimes; Book Series: Paris, France, 1827; pp. 1–5. [Google Scholar]
- Blel, H.; Chatti, N.; Besbes, R.; Farjallah, S.; Elouaer, A.; Guerbej, H.; Said, K. Phylogenetic relationships in grey mullets (Mugilidae) in a Tunisian lagoon. Aqua. Res. 2008, 39, 268–275. [Google Scholar] [CrossRef]
- EN 14757; Water Quality-Sampling of Fish with Multi-Mesh Gillnets. CEN (European Committee for Standardization): Brussels, Belgium, 2005.
- Wood, S.N. Generalized Additive Models: An Introduction with R; CRC Press: New York, NY, USA, 2006. [Google Scholar] [CrossRef]
- Züur, A.; Ieno, E.; Walker, N.; Saveliev, A.; Smith, G. Mixed Effects Models and Extensions in Ecology with R; Springer: New York, NY, USA, 2009; p. 547. [Google Scholar]
- Deceliere-Vergès, C.; Guillard, J. Assessment of the pelagic fish populations using CEN multi-mesh gill nets: Consequences for the characterization of the fish communities. Know. Manag. Aqua. Ecosys. 2008, 389, 4. [Google Scholar] [CrossRef]
- Argillier, C.; Caussé, S.; Gevrey, M.; Pédron, S.; De-Bortoli, J.; Brucet, S. Development of a fish-based index to assess the eutrophication status of European lakes. Hydrobiologia 2013, 704, 193–211. [Google Scholar] [CrossRef]
- Oksanen, J.; Blanchet, G.; Kindt, R.; Legendre, P.; O’Hara, R.; Simpson, G.; Solymos, P.; Stevens, H.; Wagner, H. Vegan: Community Ecology Package, R Package Version 1. 2011. Available online: http://CRAN.R-project.org/package0vegan (accessed on 2 January 2023).
- Giraudoux, P. Pgirmess: Data Analysis in Ecology. R Package Version ‘1.5.6′. 2012. Available online: http://CRAN.R-project.org/package=pgirmess (accessed on 3 January 2023).
- DGPA. Yearbook of Fishing Statistics from the General Directorate of Fisheries and Aquaculture; General Directorate of Fisheries and Aquaculture: Tunis, Tunisia, 2020; Available online: http://www.agridata.tn (accessed on 15 March 2023).
- Mili, S.; Ennouri, R.; Fatnassi, M.; Chargui, T.; Zarrouk, H.; Thabet, R.; Laouar, H.; Romdhane, N. Variability of Biological Features of a Mugilidae Chelon Ramada in Two Tunisian Reservoirs. J. Aqauc. Mar. Biol. 2022, 11, 41–48. [Google Scholar] [CrossRef]
- Rais, C.; Turki, I. Empoissonnement de la retenue du barrage de Bir M’Chergua par des mulets. Bull. Inst. Natl. Sci. Tech. Oceanogr. Pêche Salammbô 1989, 16, 43–53. [Google Scholar]
- Nau, W.; Ben Naceur, L. Socio-Economic Study of Mullet Fishing at the Bir M’Cherga dam (Technical Report of the Tunisian-German Inland Fisheries Project); GTZ: Bonn, Tunisia, 1990; Volume 3, pp. 1–51. [Google Scholar]
- Gophen, M.; Snovsky, G. Mugilids (Mugil cepalus, Linnaeus, 1758; Liza ramada, Risso, 1810) Stocking in Lake Kinneret. Open Jour. Ecol. 2015, 5, 389–399. [Google Scholar] [CrossRef]
- Hajlaoui, W.; Fatnassi, M.; Mili, S.; Ben Salem, S.; Troudi, D.; Missaoui, H. Characterization of socio-economic fishing activity in Tunisian reservoir: Sidi Saad (center of Tunisia) as a case study. J. Aquac. Mar. Biol. 2022, 11, 93–98. [Google Scholar]
- Farrugio, H. Mullets (Fish, Teleosts) of Tunisia: Distribution and Fishing, Contribution to Their Systematic and Biological Study. Ph.D. Thesis, Marine Biology and Océanography Diplomam, Faculty of Sciences of Tunis, Tunis, Tunisia, 1975. [Google Scholar]
- Chauvet, C. Exploitation of Fish in a Mediterranean Lagoon Environment. Dynamics of the Ichthyological Population of the Lagoon of Tunis and the Populations Exploited by Bordigues (Mullets, Wolves, Sea Bream). Ph.D. Thesis, University of Perpignan, Perpignan, France, 1986. [Google Scholar]
- Vidy, G.; Franc, J. Natural Resource in Mugilidae Fry in Tunisia; Scientific Report; Ministry of Agriculture (CGP-INSTOP); ORSTOM: Tunis, Tunisia, 1987; p. 213. [Google Scholar]
- Mili, S.; Bouriga, N.; Ennouri, R.; Laouer, H.; Missaoui, H. Identification, répartition spatio-temporelle et caractérisation génétique des alevins de Muges ensemencés dans les retenues de barrages tunisiennes. Cybium 2013, 37, 67–73. [Google Scholar]
- De Silva, S.S.; Funge-Smith, S.J. A Review of Stock Enhancement Practices in the Inland Water Fisheries of Asia; Asia-Pacific Fishery Commission—FAO: Bangkok, Thailand, 2005; p. 101. [Google Scholar]
- Bok, H. Extensive culture of two mullet species in freshwater impoundments in the eastern Cape, South. Afr. J. Zool. 1984, 19, 31–36. [Google Scholar]
- Besbes, R.; Besbes, B.A.; Kokokiris, L.; Changeux, T.; Hamza, A.; Kammoun, F.; Missaoui, H. Thicklip (Chelon labrosus) and flathead (Mugil cephalus) grey mullets fry production in Tunisian aquaculture. Aquac. Rep. 2020, 17, 100380. [Google Scholar] [CrossRef]
- El-Zarka, S.; Kamel, F. Mullet fry transportation and its contribution to the fisheries of inland brackish lakes in the United Arab Republic. Proc. Gen. Fish. Coun. Medit. 1965, 8, 209–226. [Google Scholar]
- Saleh, M. Capture-Based Aquaculture of Mullets in Egypt. Capture-Based Aquaculture: Global Overview; FAO Fisheries Technical Paper; FAO: Rome, Italy, 2008; Volume 508, pp. 109–126. [Google Scholar]
- Leber, K.M.; Lee, C.S.; Nathan, P.; Steve, M.B.; Arce, C.S.; Lee, T.H.; Blankenship Nishimoto, R.T. Biology, Ecology and Culture of Grey Mullets (Mugilidae), 1st ed.; CRC Press: Boca Raton, FL, USA, 2016; Volume 18, pp. 467–472. [Google Scholar]
- Jenhani, B.R.A.; Fathalli, A.; Djemali, I.; Changeux, T.; Romdhane, M.S. Tunisian reservoirs: Diagnosis and biological 1235 potentialities. Aquat. Living Resour. 2019, 32, 17. [Google Scholar] [CrossRef]
- Rhouma, A. Biological Study and Breeding of Mullet in Tunisia and Comparison with a Freshwater Species (Carp). Ph.D. Thesis, National Agronomic Institute of Tunisia, Tunis, Tunisia, 1975. [Google Scholar]
- Kraiem, M.M. Etude comparée de la croissance de différentes populations de Barbus callensis Valenciennes 1842, (Pisces, Cyprinidae), de Tunisie. Cybium 1989, 13, 365–374. [Google Scholar]
- Kraiem, M.M. Systématique, Biogéographie et Bioécologie de Barbus Callensis Valenciennes, 1842 (Poissons, Cyprinidae) de Tunisie. Ph.D. Thesis, University of Tunis, Tunis, Tunisia, 1994. [Google Scholar]
- Toujani, R. The Pike-Perch (Stizostedion lucioperca L.) from the Sidi-Salem Reservoir (Tunisia): Biology and Population Dynamics. Ph.D. Thesis, Claude Bernard University, Villeurbanne, France, 1998. [Google Scholar]
- Toujani, R.; Missaoui, H.; Romdhane, M.S. Sexual cycle of pike-perch females (Stizostedion lucioperca) in the reservoir of the Sidi Salem dam. Bull. Inst. Nat. Scien. Tech. Mer. 2000, 27, 85–96. [Google Scholar]
- M’Hetli, M. The Pike-Perch Stizostedion lucioperca (Linnaeus, 1758) Teleost Percidae. Allochthonous: Biological Study and Trial to Optimize Breeding Criteria. Ph.D. Thesis, University of Tunis, Tunis, Tunisia, 2001. [Google Scholar]
- Djemali, I. Assessment of Fish Biomass in Tunisian Freshwater Bodies: Analytical and Acoustic Approach. Ph.D. Thesis, National Agronomic Institute of Tunisia, Tunis, Tunisia, 2005. [Google Scholar]
- Tlili, S.; Jebali, J.; Banni, M.; Haouas, Z.; Mlayah, A.; Helal, A.N. Multimarker approach analysis in common carp Cyprinus carpio sampled from three freshwater sites. Environ. Monit. Assess. 2010, 168, 285–298. [Google Scholar] [CrossRef]
- Mili, S.; Ennouri, R.; Laouar, H.; Missaoui, H. Etude de l’âge et de la croissance chez deux espèces de Mugilidae (Mugil cephalus et Liza ramada) dans trois retenues de barrages en Tunisie. Bull. Soci. Zool. Fran. 2015, 140, 181–197. [Google Scholar]
- Instop. Programme de Recherche de L’INSTOP Sur La Retenue du Barrage de Bir M’Cherga; Ministère de l’agriculture, Institut National Scientifique et Technique d’Océanographie et de la Pêche: Tunis, Tunisia, 1989; p. 68. [Google Scholar]
- Djemali, I.; Toujani, R.; Guillard, J. Hydroacoustic fish biomass assessment in man-made lakes in Tunisia, horizontal beaming importance and diel effect. Aquat. Ecol. 2008, 43, 1121–1131. [Google Scholar] [CrossRef]
- Mili, S.; Ennouri, R.; Laouar, H.; Ben Romdhane, N.; Missaoui, H. Etude des peuplements piscicoles de la retenue du barrage de Sidi Salem. J. New Sci. Agri. Biotech. 2016, 27, 1454–1465. [Google Scholar]
- Mili, S.; Ennouri, R.; Laouar, H.; Ben Romdhane, N.; Djemali, I.; Toujani, R.; Missaoui, H. Etude des peuplements piscicoles de la retenue de barrage de Sidi Barrak. Bull. Inst. Natn. Tech. Mer De Salammbô 2016, 43, 55–69. [Google Scholar]
- McFarland, W.; Okubo, A. Animal Groups in Three Dimensions, Chapter Metabolic Models of Fish Behavior, the Need for Quantitative Observations; Cambridge University Press: Cambridge, UK, 1997; pp. 301–312. [Google Scholar]
- Quignard, J.P.; Farrugio, H. Age and Growth of Grey Mullet. In Aquaculture of Grey Mullets, International Biological Program 26 Cambridge; Cambridge University Press: Cambridge, UK, 1981; pp. 155–184. [Google Scholar]
- Fehri-Bedoui, R.; Gharbi, H. Age and growth of Liza aurata (Mugilidae) along Tunisian coasts. Cybium 2005, 29, 119–126. [Google Scholar]
- Gautier, D.; Hussenot, J. Les Mulets des Mers d’Europe: Synthèse des Connaissances Sur Les Bases Biologiques et Les Techniques d’Aquaculture, 1st ed.; Ifremer: Brest, France, 2005; p. 120. [Google Scholar]
- Kraiem, M.M.; Ben Hamza, C.; Ramdani, M.; Fathi, A.A.; Abdelzaher, H.M.A.; Flower, R.J. Some observations on the age and growth of thin-lipped grey mullet, Liza ramada Risso, 1826 (Pisces, Mugilidae) in three North African wetland lakes: Merja Zerga (Morocco), Garâat Ichkeul (Tunisia) and Edku lake (Egypt). Aqua. Ecol. 2001, 35, 335–345. [Google Scholar] [CrossRef]
- Albertini-Berhaut, J. Biology of the Juvenile Stages of Mugilidae in the Marseille Region: Growth, Diet and Digestive Enzymatic Activities. Ph.D. Thesis, Faculty of Sciences, University of Aix-Marseille II, Marseille, France, 1980. [Google Scholar]
- Bar-Ilan, M. Stocking of Mugil capito and Mugil cephalus and their commercial catch in Lake Kinneret. Aquaculture 1975, 5, 85–89. [Google Scholar] [CrossRef]
- Vidy, G.; Franc, J. Seasons of presence on the coast of mullet fry (Mugilidae) in Tunisia. Cybium 1992, 16, 53–71. [Google Scholar]
Disclaimer/Publisher’s Note: The statements, opinions and data contained in all publications are solely those of the individual author(s) and contributor(s) and not of MDPI and/or the editor(s). MDPI and/or the editor(s) disclaim responsibility for any injury to people or property resulting from any ideas, methods, instructions or products referred to in the content. |
© 2023 by the authors. Licensee MDPI, Basel, Switzerland. This article is an open access article distributed under the terms and conditions of the Creative Commons Attribution (CC BY) license (https://creativecommons.org/licenses/by/4.0/).







