Abstract
Algal organic matter (AOM) released from microalgae has high potential effects for water treatment. In response to the complex problem of algal-laden water treatment, this study investigated the characteristics of AOM of Microcystis aeruginosa under long-term exposure to pharmaceuticals and personal care products (PPCPs). The results indicated that algae under low carbamazepine (<10 µg/L), high naproxen (>10 µg/L), and/or diclofenac at any concentration treatment promoted the release of total organic matter, whereas they were inhibited at high carbamazepine and low naproxen exposure. Macromolecular organics of AOM were inhibited when algae were subjected to long-term exposure to carbamazepine at any concentration (0.25–1000 µg/L), and the higher the carbamazepine concentration was, the more seriously macromolecular organics were inhibited. For naproxen and diclofenac treatment, macro- and medium-molecular-weight organics were promoted under high concentration treatment (>1 µg/L), yet they were inhibited under low concentration <10 µg/L. The fluorescent organics of AOM were also changed by fluorescence excitation-emission matrices-parallel factor analysis, with the fluorescent intensity of humic-like and protein-like substances inhabited under carbamazepine of any concentration, whereas they were promoted under high naproxen treatment (>10 µg/L). This research had significant effects on algal-laden water treatment containing various PPCPs concentrations as well as the risk assessment of PPCPs in water.
1. Introduction
Natural organic matter (NOM) is ubiquitous in global aquatic systems, with mass concentrations ranging from 0.5 to 100 mg/L organic carbon []. Since NOM consists of diverse chemical structures and polydispersity of molar masses, a multifunctional role of NOM in the natural environment and water treatment processes was formed, such as serving as an electron donor in metal complexation, sorption of xenobiotics and adsorption onto mineral phases and onto activated carbon [,]. A suite of products with toxic relevance during chlorination can also be formed when NOM is partially oxidized during microbial utilization and water treatment []. Algogenic organic matter (AOM), as an important resource of natural organic matter, is released by microalgae during the algal growth phases. Previous research reported that AOM contained significant amounts of non-humic or hydrophilic substances that have various effects on water treatment []. As the release of AOM is closely related to algal species, algal growth phases, and various environmental factors, such as nutrients, temperature, pH, and wind disturbance [,,], effectively analyzing the release and AOM properties becomes increasingly important for the control of their effects on water treatment as well as the risk of secondary pollution of their fates and treatability in water supplies.
Pharmaceuticals and personal care products (PPCPs) are one of the most important emerging contaminants in wastewater and natural water and mainly refer to prescription and nonprescription drugs, spices, cosmetics, and diagnostics chemicals for human health and/or cosmetic care products []. They have become widespread and of great concern in recent years due to their high potency and specificity of undesirable ecological effects when interacting with biological systems and human society. Conventional wastewater treatment cannot completely remove PPCPs. For example, the commonly used sedative anticonvulsant carbamazepine is frequently detected in surface water, and the concentration is very high (~µg/L), while in groundwater and drinking water, the concentration is relatively low (~ng/L) []. Many studies have investigated the toxic and harmful effects of PPCPs on microalgae as well as the PPCPs removals using microalgae [], and found that microalgae could be toxically influenced by macrolide antibiotics, followed by quinolones, tetracyclines, and amido alcohols. Low doses promoted algal growth, while toxicity to microalgae changed in light of the types of microalgae and PPCPs utilized [,]. Shaw et al. studied the PPCPs on the variation of algal growth biofilms and found that caffeine and cimetidine have stimulating effects on the algal biomass while they were extremely restrained by diphenhydramine and ciprofloxacin []. In addition, it was found that erythromycin and diclofenac sodium have exciting effects on the growth of cyanobacteria under low concentration conditions, which can be considered one of the reasons for the outbreak of algal blooms []. Nevertheless, prior research has mainly concentrated on the short-term toxic impact on high algal biomass levels []. For example, Kolodziejska et al. found that the 72-h half maximal effective concentration (EC50) values of Scenedesmus to florfenicol and oxytetracycline were 40.4 mg/L and 18.0 mg/L [], which were much lower than those of crustaceans, while the 120 h EC50 values of Microcystis aeruginosa to quinolone antibiotics were 7.9 μg/L~1960 μg/L and 1.1 mg/L~22.7 mg/L for Selenastrum bibraianum at 72 h []. Since PPCPs displayed long-term existence in natural waters, which coexist with microalgae for long time and are continuously released into the environment (with concentrations in rivers, lakes or oceans changing dramatically [,,]), it remains unclear whether the variation of algae stemmed from long-term exposure to PPCPs could result in the variation of algal organic matter synthesized and released. Even in wastewater treatment using microalgae, these toxic effects of pollutants on microalgae are important factors affecting microalgae-mediated treatment processes, which need to be further clarified.
This study thus aims to study the characteristics of AOM during long-term exposure to PPCPs. Diclofenac (DFC), naproxen (NPX), and carbamazepine (CMZ) were selected in this study since they are frequently determined in natural water and are commonly used PPCPs. This kind of research is considered to have important significance for water treatment as well as the risk assessment of PPCPs in water.
2. Materials and Methods
2.1. Algae Cultivation and AOM Extraction
M. aeruginosa was acquired from the Institute of Aquatic Biology, Chinese Academy of Sciences, which was cultivated in batch mode in 1 L conical flasks with BG11 medium. The conical flasks were placed in an incubator at 25 °C of 12 h light: 12 h darkness under illumination of approximately 90 μmol/m2·s. The DFC, CMZ, and NPX concentrations were set at 0.25 µg/L, 1 µg/L, 10 µg/L, 100 µg/L, and 1000 µ/L in BG-11 medium compared with microalgae without any PPCPs treatment. The DFC, CMZ, and NPX concentrations were selected based on the prior research and those in natural water [,,]. The high level of PPCPs was chosen to observe the significant effects in the natural environment or that in wastewater if it existed. The algae cells of logarithmic growth phases were utilized for the PPCPs experiment, since there were some discrepancies among the algae utilized for inoculation, the algal period varied depending on the PPCP type and algal growth. To better observe the PPCPs influence on AOM characteristics, the whole algal growth phases was determined until the algal stationary phases were observed, and all algae were static cultivated with the test PPCPs solutions no exchanged during the whole experiment.
AOM was obtained from the algal stationary phases by extracting the algal cell suspension at a centrifugal speed of 10,000 rpm for 15 min and then filtering through a Millipore 0.45 μm filter. The AOM characteristics were determined by dissolved organic carbon (DOC), specific ultraviolet absorbance (SUVA), fluorescence excitation-emission matrices (EEMs), and molecular weight (MW) distribution.
2.2. Analytical Method
The algal cell density was determined by measuring the optical density at 680 nm (OD680) []. DOC was determined using a Shimadzu total organic carbon (TOC)-VCPH analyzer. Ultraviolet absorbance (UV254) was measured by Hach-5000 UV/vis spectrophotometry at 254 nm. SUVA was calculated using the ratios of UV254 to DOC to reflect the organic content of unsaturated carbon–carbon bonds in the DOC. The MW distribution was evaluated by high-performance size exclusion chromatography (HPSEC) with UV–TOC detection. The fluorescence excitation (Ex) and emission (Em) matrix were measured on a fluorescence spectrometer (F-4500, Hitachi, Tokyo, Japan). The emission and excitation spectra were scanned from 200 to 550 nm at 10 nm increments. The photomultiplier tube was 400 V, and the sample scan rate was 12,000 nm/min. The maximum fluorescence intensity (FI) of the fluorescent component was obtained by parallel factor analysis (PARAFAC) via the DOMFluor Toolbox in MATLAB® [].
All experiments repeated in triplicate and the errors between the duplicated experiments were calculated and <0.05. Pearson’s correlation matrix was calculated using the statistic software SPSS 2018 to assess the correlation of PPCPs concentrations with AOM characteristics.
3. Results and Discussion
3.1. Variation in Algal Growth during Long-Term Exposure to Various PPCPs
Figure 1 displays the algal growth of M. aeruginosa under long-term exposure to various PPCPs. Three growth phases were found for all of the M. aeruginosa during the whole cultivation time: the lag phase, exponential phase, and stationary phase. The OD680 value under 0.25 µg/L CMZ was substantially higher than that of algae under other treatments during the late algal growth phases, followed by 1 µg/L, 0 µg/L, 10 µg/L, and 100 µg/L, indicating that low CMZ concentrations (<1 µg/L) notably promoted the growth of algae under long-term exposure, while algal growth was clearly inhibited at CMZ concentrations >1 µg/L. For NPX treatment, the OD680 was also higher when algae under low NPX <100 µg/L at the end of experiment, and the OD680 was 2.52 and 2.393 for algae under 100 µg/L and 1000 µg/L, respectively (Table S1, in the Supporting information), compared with 2.524 under 0 µg/L NPX treatment at day 45, which was consistent with those of CMZ treatment that low NPX in water promoted the growth of microalgae under long-term exposure, while they were significant inhibited at high concentrations. For DFC treatments, regardless of the DFC concentrations, the algal growth was greatly inhibited in the primary growth phases, while they were significantly promoted under high DFC concentrations (1000 µg/L) in the late algal growth phases. For example, the OD680 was 3.0885, 2.889, 2.93, 3.008, 3.099, 3.158 for AOM under DFC 0 µg/L, 0.25 µg/L, 1 µg/L, 10 µg/L,100 µg/L, and 1000 µg/L, respectively, at day 47, which was different from those of CMZ and NPX exposure. This phenomenon might be explained that the PPCPs in water might have various effects on the growth of algae, which may be related to their characteristics []. Photosynthesis, as an important metabolic activity of autotrophs, is an important source of energy and material for the growth of organisms. Previous research suggested that the photosynthetic system is highly sensitive to environment stress, which are important target of antibiotics to produce coercion to plants and microalgae []. Toxic substances, such as heavy metals, hydrocarbons, antibiotics, insecticides, auxins, and herbicides, likely stimulated the growth and reproduction of animals, higher plants and bacteria at low doses, whereas they were decreased at high concentrations. Researchers referred to this phenomenon as “hormesis” []. Xiong et al. [] evaluated the toxicity and cellular stresses of carbamazepine on Chlamydomonas mexicana and Scenedesmus obliquus and found that both the algal growth decreased with increasing of CBZ concentration, whereas it was found that the algal growth of Cymbella sp. and Scenedesmus quadricauda were completely inhibited (100%) at 100 mg/L NPX treatment []. The discrepancy of these results can be ascribed to the algal species as well as the PPCPs type and concentrations. It was of note that despite the microalgae can also be utilized as a potential candidate for environmentally biodegradation of PPCPs, since this research was mainly focused on the toxicity potential effect of PPCPs on the algal organic matter synthesized and released, the PPCPs biodegradation mechanism by algae was not discussed.

Figure 1.
Effects of PPCPs long-term exposure on algal growth of M.aeruginosa, (a) carbamazepine (CMZ), (b) naproxen (NPX), (c) diclofenac (DFC).
3.2. Variation in AOM Characteristics during Long-Term Exposure to Various PPCPs
3.2.1. DOC and UV254
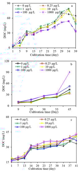
Figure 2 shows the variation in DOC contents of AOM under various PPCPs treatments. AOM under 1000 µg/L CMZ had higher DOC contents than those with CMZ treatments in the primary algal growth phases, whereas the DOC contents gradually increased under CMZ < 10 µg/L, with the lowest DOC content occurring at CMZ 1000 µg/L and 100 µg/L, which suggested that M. aeruginosa at low CMZ concentrations (<10 µg/L) not only promoted the growth of algae but also gradually enhanced the organic matter released into waters after long-term exposure to low CMZ treatment compared to those without CMZ, whereas CMZ at higher concentrations >10 µg/L inhibited the release of total organic matter. For NPX treatment, the result was extremely different in that the DOC content was increased under NPX >10 µg/L compared with those without NPX treatment, whereas they were reduced under NPX <100 µg/L. AOM had higher DOC contents under high NPX exposure (>10 µg/L), whereas the total organic matter released was inhibited at low concentrations, which might be explained by the fact that the biochemical characteristics including chlorophyll a, carotenoid contents and enzyme activities might be affected by NPX at relatively high concentrations after long term exposure that might affect the release of total organic matter []. The DOC contents were higher after long-term DFC exposure irrespective of concentrations, which verified that different PPCPs have various effects not only on algal growth but also on the release of total organic matter that can be explained by the type, composition, and concentration of PPCPs and microalgae utilized. Zhang et al. studied the influence of diclofenac sodium on the growth of Hematococcus pluvialis and found that a low DFC concentration improved the biomass, chlorophyll, and carotenoid content of Hematococcus pluvialis while inhabiting them at high concentrations, whereas the algal growth of Chlorella was promoted when some drugs, such as acetylaminophen, salicylic acid, and diclofenac, existed in water that can be utilized as carbon sources [].

Figure 2.
Variation of dissolved organic carbon (DOC) content of algogenic organic matter (AOM) under long-term exposure of PPCPs treatments, (a) CMZ, (b) NPX, (c) DFC.
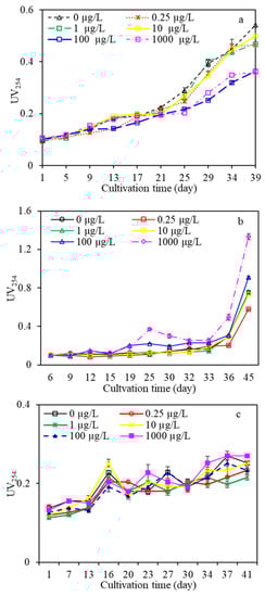
From the variation of UV254 (Figure 3), it was found that UV254 was lower in all of the AOMs under CMZ treatments compared with those without CMZ, yet they were higher under high NPX (>10 µg/L) and/or DFC treatments (>100 µg/L). For example, the UV254 was 0.736, 0.752, 0.578, 0.91, and 1.33 for AOM under 0.25 µg/L, 1 µg/L, 10 µg/L, 100 µg/L, and 1000 µg/L NPX treatment, respectively, compared with that of 0.758 without NPX after 45 days of exposure, which indicated that low NPX inhibited the release of UV-adsorbing organics, while high NPX treatment promoted the synthesis of UV adsorbing organics. UV254 is generally considered to reflect the content of humic substances in natural waters, which mainly include unsaturated organic compounds, such as aromatic rings, benzene rings, carboxyl groups, phenolic hydroxyl groups and/or conjugated double bonds. Previous research indicated that UV254 is a good surrogate parameter for the precursors of trichloromethane concentration, which was reported to affect water treatments, such as coagulation, disinfection, mitigation, and heavy metal removal []. This result suggested that when CMZ existed for an extended time in water, although the low CMZ treatment promoted the growth of algae and the synthesis of total organic matter, the UV254 adsorbing organics released were reduced, whereas CMZ at a high concentration >10 µg/L not only inhibited algal growth but also inhibited TOC and UV254. For NPX/DFC treatment, high NPX/DFC in water not only promoted the synthesis of total organic matter, the UV adsorbing organics were also enhanced, whereas low NPX concentration inhibited the synthesis of total and UV adsorbing organics, which further verified that PPCPs in water not only affected the growth of microalgae, the organic matter released were also influenced, which might have significant effects on water treatment.

Figure 3.
Variation of UV254 contents of AOM under long-term exposure of PPCPs treatments, (a) CMZ, (b) NPX, (c) DFC.
The SUVA value is also depicted (Figure 4). From Figure 4, it can be seen that AOM had higher SUVA in the primary growth phases, while the SUVA value gradually decreased with increasing exposure time, which in line with larger-scale investigations where increasing eutrophication and consequent DOC concentration coincided with a decrease in the SUVA []. Additionally, the AOM under low CMZ treatment (Figure 4a) had higher SUVA in the primary growth phases compared with those of AOM under high CMZ treatment (<1000 µg/L), whereas the SUVA enhanced for all of the AOM irrespective of CMZ concentrations than those of AOM without CMZ, which suggested that the long exposure of CMZ in water enhanced the value of SUVA of AOM accompanied with the exposure time. Generally, SUVA reflects the degree of aromatic structures of organic substances in water. Prior study indicated that SUVA had a high correlation with organic hydrophilicity []. Other research suggested that SUVA had some correlation with the precursors of disinfection byproducts (DBPs) of chloroform (THM) and haloacetic acids (HAA) during oxidation []. The high SUVA of AOM under low CMZ treatment therefore might be a result of comparatively high aromaticity related with AOM such that it would be anticipated to be highly absorbing [], and the higher CMZ concentration in water, the more hydrophobicity of AOM might be induced. For the NPX treatment (Figure 4b), the SUVA values were 1.734, 1.739, 2.034, 2.099, 1.729, and 1.473 for AOM under NPX 0 µg/L, 0.25 µg/L, 1 µg/L, 10 µg/L, 100 µg/L, and 1000 µg/L, respectively, after 45 days of treatment (Table S2, in the Supporting information), indicating that low NPX (<100 µg/L) in water might increase the extent of organic aromatic structures, whereas the organic hydrophilicity of AOM would be enhanced when algae were exposed to high NPX concentrations (>10 µg/L). Notably, although the existence of DFC in water promoted the DOC contents (Figure 2), the SUVA value of AOM under various DFC exposures was inhibited when DFC existed in waters (Figure 4c), which suggested that the organic hydrophilicity of AOM would be enhanced when algae were subjected to long exposures of DFC treatment, and the lower the DFC in water was, the more hydrophilicity of AOM would be.

Figure 4.
Specific UV absorbance (SUVA) of AOM under long exposure of PPCPs treatments, (a) CMZ, (b) NPX, (c) DFC.
3.2.2. High-Performance Size Exclusion Chromatography
To further analyze the organic components of AOM under various PPCPs treatments, the MW of AOM under the stationary growth phase was identified. Figure 5 displays the MW distributions of AOM under various PPCPs exposures. Three notable peaks can be divided on the basis of DOC chromatography: peak A (1000 KDa), peak B (6500 Da), and peak C (1200 Da), which represent biopolymers (BP, such as polysaccharides or amino sugars), humic-like substances (HS), and low-MW organics (such as low-MW acids and humics and neutrals) []. AOM without CMZ had higher TOC peaks (Figure 5a,a1), followed by the 1 µg/L, 10 µg/L, 0.25 µg/L, 100 µg/L, and 1000 µg/L CMZ treatments, indicating that the CMZ in water inhibited the synthesis of macromolecular organics of AOM during long-term exposure, and the higher the CMZ concentration was, the lower the amount of macromolecular organics of BP were synthesized. For medium MW organics, the highest TOC peaks occurred at AOM under CMZ 1000 µg/L, whereas they were lower under CMZ <1 µg/L, which indicated that the AOM under CMZ 1000 µg/L treatment would enhance the synthesis of HS, yet less humic-like organics would be synthesized at low CMZ <1 µg/L treatment. From the UV254 curves of MW distribution, it was found that all of the UV254 peaks were reduced when AOM under CMZ treatment than that under control, which suggested that the CMZ in water not only inhabited macro molecular organics of UV absorbance, medium and small molecule organics of UV-absorbing were meanwhile inhabited, which was consistent with that of UV254 in Figure 3. Combined with the TOC curves of MW distribution, it was suggested that the CMZ in water not only inhibited the synthesis of macromolecular organics of biopolymers, the macro, medium, and small molecule organics of UV-absorbing were also inhibited, and the higher the CMZ in water was, the more serious these organics were inhibited, whereas for medium molecular organics, more medium molecular humic-like organics would be released, especially at high CMZ concentrations (1000 µg/L).

Figure 5.
Molecular weight distribution of AOM under long-term exposure of various PPCPs treatments, (a,a1) CMZ, (b,b1) NPX, (c,c1) DFC.
For the NPX treatment (Figure 5b,b1), it was found that the TOC peaks of macro-, medium-, and small-MW organics were higher at the NPX 1000 µg/L treatment, followed by the 100 µg/L treatment, while they were lower under the NPX 0.25 µg/L and 1 µg/L treatments, which was extremely different from those of CMZ exposure. This result indicated that high NPX exposure (>1 µg/L) not only promoted the synthesis of total organic matter (Figure 2), macro- and medium-MW organics of BP, HS and small MW organics of acids and humics and neutrals were enhanced, but they were inhibited under low NPX exposure (<10 µg/L). When analyzing the MW of UV254 curves, it was found that higher UV254 peaks also occurred in the AOM under NPX 1000 µg/L and 100 µg/L treatments, whereas they were lower under NPX <100 µg/L, suggesting that high NPX exposure (>1 µg/L) not only enhanced the synthesis of macro- and medium-MW organics of BP, HS, and small MW organics of acids and humics and neutrals of AOM, the UV absorbance organics, such as macro molecular substances with benzene rings, hydroxyl groups, alcoholic hydroxyl groups and/or conjugated double bonds (humic-like organics) and medium and small molecular organics of tryptophan, tyrosine, and fulvic acid-like substances were enhanced after high NPX exposure (>10 µg/L), whereas low NPX in water (<10 µg/L) would inhabit their synthesis, which was in line with that of UV254 (Figure 3).
Similar results were also found for DFC exposure (Figure 5c,c1), in which DFC promoted the synthesis of macro- and medium-MW organics under high DFC concentrations >1 µg/L, with TOC peak areas higher at 10 µg/L > 100 µg/L > 1000 µg/L > 0 µg/L > 1 µg/L > 0.25 µg/L. Combined with the MW distributions of UV254 curves, it was suggested that DFC at high concentrations (>1 µg/L) mainly promoted the release of macromolecular organics of BP, whereas low DFC treatment mainly enhanced the release of small MW organics of acids and humic and neutral compounds.
Macro MW organics, such as polysaccharides and proteins, were reported to cause serious fouling when filtrating by membrane during water treatment []. In addition, it was found that macro and medium organics in AOM were the major precursors of chloroform formation potential, with the organics of MW > 100 kDa contributing greatly to the potential of dichloroacetic acid and dichloroacetonitrile formation [], whereas the AOM-derived nitrogenous DBPs are closely related with low molecular (<1 kDa) organics []. The above results thus indicated that when CMZ existed in water for a long time, the water treatment caused by algae, such as filtration and disinfection, might be seriously affected, with the potential formation of dichloroacetic acid and dichloroacetonitrile might be decreased, especially at high concentrations. However, for the NPX and DFC treatments, higher potential formation of dichloroacetic acid and dichloroacetonitrile might be induced under long-term exposure to high NPX and DFC treatments, despite the AOM-derived DBP formation having high relevance with the oxidants utilized as well as the chlorination conditions.
3.2.3. Fluorescence EEM Spectra
Fluorescence EEM spectroscopy was also performed, which could supply information specifically on fluorescent proteins and humic/fulvic-like organics. Based on the procedures recommended by Stedmon et al. [], a two-component model was determined during the whole CMZ treatments via PARAFAC analysis (Figure 6). Compared to previously identified components, component 1 (C1) is a tryptophan-like component, and component 2 (C2) is a humic-like component []. The fluorescence intensity (FI) of C1 was higher than that of C2 in AOM, which indicated that more fluorescent protein-like organics would be synthesized during algal growth phases regardless of CMZ concentration. AOM under 0 µg/L CMZ treatment had the highest FI of C1 and C2, while the FI decreased with increasing CMZ concentrations, which verified that CMZ in water inhibited the release of fluorescent organics of AOM during long-term CMZ exposure, and the higher CMZ in water, the more serious fluorescent organics would be inhibited, which was consistent with the trend of MW distribution (Figure 4a).

Figure 6.
Effects of carbamazepine exposure on contour plots of EEM components and fluorescence intensity (FI) extracted from the PARAFAC model. (Ex. = excitation wavelength; Em. = emission wavelength), C1 tryptophan-like component, C2 humic-like component.
For the NPX treatment (Figure 7), three components were identified: C1 (Ex = 260 nm, Em = 360 nm), C2 (Ex = 275, Em = 340 nm), and C3 (Ex = 260, 360 nm, Em = 435 nm). C1 is amino acids, free or protein bound, C2 is tryptophan-like organics, and C3 is humic-like substances []. The FIs of C1 and C2 were higher than those of C3, which was consistent with that of the CMZ treatment, in which more protein-like organics would be released than humic-like organics during the whole treatment. However, when comparing the FIs of AOM under various NPX treatments, it was found that AOM under 1000 µg/L NPX had the highest FI of C1 and C2, followed by AOM under 100 µg/L, 10 µg/L, 1 µg/L, 0.25 µg/L, and 0 µg/L NPX treatment, which indicated that the long-term exposure of NPX to algae promoted the synthesis of fluorescence protein-like substances of amino acid-like and tryptophan-like organics in AOM. For humic-like substances (C3), AOM under 1000 µg/L NPX had the highest FI, yet they were lower for AOM under 0.25 µg/L compared with those without NPX treatment. Fluorescent protein-like organics were indicated to be one of the major foulants during membrane filtration. Tang et al. [] investigated the role of dissolved organic matter in membrane fouling of membrane bioreactors for municipal wastewater treatment and found that the fluorescence intensity of protein-like substances was positively correlated with membrane fouling, which indicated its significance in the formation of membrane fouling. Humic-like organics also occurred in AOM, which could be interpreted by the catabolism of algal cells after death as well as macromolecular organics, such as polysaccharides and proteins [].

Figure 7.
Effects of naproxen exposure on contour plots of EEM components and fluorescence intensity (FI) extracted from the PARAFAC model. (Ex. = excitation wavelength; Em. = emission wavelength), C1 amino acids, free or protein bound, C2 tryptophan-like organics, C3 humic-like substances.
When comparing the FI of AOM under DFC treatment (Figure 8), it was found that there were also two components identified to be soluble microbial products (C1: Ex, Em = 275, 330 nm) and humic-like organic compounds (C2: Ex, Em = 270, 350 nm, 420 nm). AOM under long term DFC exposure had higher FIs of C1 and C2 than AOM without DFC in the primary algal growth phases, whereas the FI decreased with increasing time, suggesting that DFC in water promoted the synthesis of protein-like and humic-like organics in the algal primary growth phases, yet the synthesis of protein-like and humic-like organics was gradually changed with increasing DFC exposure. Zhang et al. investigated the dynamic release correlation between extracellular organic components and microcystin MC-LR based on three-dimensional fluorescence spectroscopy and found that the normalized intensity of fluorescent peaks of humic-like and protein-like organics in dissolved AOM can basically reflect the ability of M. aeruginosa to release MC-LR []. Yang et al. indicated that the outbreak of cyanobacterial blooms can significantly increase the concentration of fluorescent amino acids in water, which had enhanced effects on the load of organic nitrogen []. The above result thus indicated that PPCPs in water not only affected the release of total organic matter but also affected organic composition.

Figure 8.
Effects of diclofenac exposure on contour plots of EEM components and fluorescence intensity (FI) extracted from the PARAFAC model. (Ex. = excitation wavelength; Em. = emission wavelength), C1 soluble microbial products, C2 humic-like organic compounds.
From the location of fluorescence organics, it was found that the spectrum of humic-like organics was Ex = 250, 340 nm, and Em = 428 nm for CMZ, while they were Ex = 260, 350 nm, Em = 445 nm for NPX, and Ex = 275, 340 nm, Em = 420 nm for DFC, respectively. Prior research indicated that the position of fluorescence peaks has certain correlations with organic hydrophilicity. Hydrophobic components likely appeared in the region of longer excitation-emission wavelengths, whereas hydrophilic components would occur in the short regions of wavelengths []. Coble et al. found that the blue shift of humic-like fluorescence peaks in the Em direction was correlated with the degradation of π bonds, such as the reduction of aromatic ring numbers, the reduction of conjugated bonds and the transformation of linear ring structures into nonlinear ring structures []. The above results therefore indicated that when algae under different PPCPs treatments, the organic hydrophobicity might be changed. Organic hydrophobicity might be increased with algae under NPX treatment, whereas the AOM might be more hydrophilic for algae after long-term exposure to CMZ and DFC treatment.
3.3. Correlations between PPCPs Concentration and AOM Characteristics
To further evaluate the correlation between PPCPs concentration and AOM characteristics (DOC, UV254, BP, HS, LMW, and fluorescence components C1, C2, and C3), Pearson’s correlation matrix was calculated and is displayed in Table 1. Data were Log10 transformed prior to analyses to reduce magnitude effects on dissimilarity scores. Significant negative correlations were found between CMZ concentrations and OD680, DOC, and UV254, with the p values were 0.005, 0.024, and 0.027, respectively, which was consistent with the results in Figure 1, Figure 2 and Figure 3. For DFC treatments, the fluorescent C2 of humic-like organics were highly correlated with the DFC concentrations (p = 0.013), but there were less correlations between DFC concentrations and other AOM characteristics. Less expected were the results suggesting that most of the AOM characteristics were highly positive correlated with the NPX concentrations, including DOC, UV254, BP, HS, LMW, fluorescent C1, and C3, which was extremely different from that of CMZ and DFC exposure. This result further verifies that various PPCPs type and concentrations had various effects on AOM characteristics.

Table 1.
Pearson correlation coefficients between PPCPs concentration and AOM characteristics.
3.4. Implication for Water Treatment
Algae are ubiquitous in rivers and reservoirs supplying water treatment facilities, and they can also be utilized to treat wastewaters. However, when algae grew rapidly, water quality and water treatment processes can be adversely affected due to the release of AOM into water extracellularly and upon cell lysis intracellularly []. From the investigation in this study, it was found that the algal growth, organic content and composition of AOM changed significantly after long-term exposure to various PPCPs treatments in water. The existence of low CMZ (<10 µg/L), high NPX (>10 µg/L) and DFC at all concentrations promoted the release of total organic matter from algae in water, with the TOC increasing significantly compared with that without any PPCPs treatment, whereas CMZ at high (>10 µg/L) and low NPX concentrations (<10 µg/L) inhibited the release of total organic matter. Moreover, the organic hydrophilicity, MW distribution and EEM of AOM were changed after long-term exposure to PPCPs. Many studies have been conducted on the yield of DBP and have found that the algal growth and AOM characteristics are of great significance for the production of DBP during water treatment []. Macro, medium, and small-MW organics in AOM were also reported to be the major precursors of chloroform formation potential, with the organics of MW > 100 kDa contributing greatly to the potential of dichloroacetic acid and dichloroacetonitrile formation, whereas organics with MW < 1000 Da in intracellular organic matter (IOM) and extracellular organic matter (EOM) had a higher generation amount of carbonaceous DBPs by chlorination [,]. The above results therefore indicated that when algae were exposed to various PPCPs, the formation of DBP can be influenced due to their variation in AOM components. The membrane filtration performance and other water treatments, such as coagulation and adsorption, can also be affected, since macromolecular organic, as well as medium- and low-MW organics of AOM were reported to have significant effects on membrane fouling, as well as coagulation and adsorption effects []. This result further indicated that when PPCPs persist in water for a long time, not only the negative effects induced by themselves should be considered, the algal bloom and the subsequent influence on water treatment by released AOM should also be considered.
4. Conclusions
In this study, the characteristics of AOM under long exposure to PPCPs (CMZ, NPX and DFC) were investigated, and the key findings were as follows:
- PPCPs in water changed the algal growth and AOM characteristics of of M. aeruginosa. CMZ and NPX in water promoted the growth of algae at low concentrations (<10 µg/L), whereas they were inhibited after long-term exposure to high CMZ and NPX concentrations (>10 µg/L). For the DFC treatment, the results were different, with algal growth promoted under long term exposure to high concentrations (>10 µg/L), yet they were inhibited at low concentrations.
- AOM characteristics suggested that algae under low carbamazepine (<10 µg/L), high naproxen (>10 µg/L), and/or diclofenac at any concentration treatment promoted the release of total organic matter, whereas they were inhibited at high carbamazepine and low naproxen exposure. Moreover, macromolecular organics of AOM were inhibited when algae were exposed to CMZ for a long time at any concentration, and the higher the CMZ concentration was, the more serious macromolecular organics were inhibited. For the NPX and DFC treatments, macro- and medium molecular organics were promoted under high NPX and DFC concentrations (>1 µg/L), yet they were inhibited under low NPX and DFC concentrations (<10 µg/L). This research had significant effects on algal-laden water treatment containing various PPCPs concentrations as well as the risk assessment of PPCPs in water.
Supplementary Materials
The following supporting information can be downloaded at: https://www.mdpi.com/article/10.3390/w15132447/s1, Table S1: OD680 of AOM under various PPCPs treatments at end of experiment; Table S2: SUVA of AOM under various PPCPs treatments at end of experiment.
Author Contributions
Conceptualization, W.H.; methodology, W.H.; software, T.L.; formal analysis, W.L. and Q.Y.; investigation, W.H.; resources, W.Z.; data curation, T.L.; writing—original draft preparation, W.H.; writing—review and editing, W.H.; supervision, W.Z. and T.L.; project administration, B.D.; funding acquisition, W.Z. All authors have read and agreed to the published version of the manuscript.
Funding
The research was funded by the Shanghai Agricultural Applied Technology Development Program (2022-02-08-00-12-F01187), the China Agriculture Research System of MOF and MARA (CARS-46), and Shanghai Science and Technology Innovation Action Plan (23N61900500).
Data Availability Statement
Not applicable.
Conflicts of Interest
The authors declare no conflict of interest.
References
- Frimmel, F.H. Characterization of natural organic matter as major constituents in aquatic systems. J. Contamin. Hydrol. 1998, 35, 201–216. [Google Scholar] [CrossRef]
- Brzinsiki, K.; Gorczyca, B. An overview of the uses of high performance size exclusion chromatography (HPSEC) in the characterization of natural organic matter (NOM) in potable water and ion-exchange applications. Chemosphere 2019, 217, 122–139. [Google Scholar] [CrossRef] [PubMed]
- Zhang, B.L.; Wang, X.N.; Fang, Z.Y.; Wang, S.; Shan, C.; Wei, S.; Pan, B.C. Unravelling molecular transformation of dissolved effluent organic matter in UV/H2O2, UV/persulfate, and UV/chlorine processes based on FT-ICR-MS analysis. Water Res. 2021, 199, 117158. [Google Scholar] [CrossRef]
- Yang, H.L.; Ye, S.J.; Wang, J.J.; Wang, H.; Wang, Z.W.; Chen, Q.; Wang, W.J.; Xiang, L.; Zeng, G.M.; Tan, X.F. The approaches and prospects for natural organic matter-derived disinfection byproducts control by carbon-based materials in water disinfection progresses. J. Cleaner Product. 2021, 311, 127799. [Google Scholar]
- Li, K.; Qu, F.S.; Liang, H.; Shao, S.L.; Han, Z.S.; Chang, H.Q.; Du, X.; Li, G.B. Performance of mesoporous adsorbent resin and powdered activated carbon in mitigating ultrafiltration membrane fouling caused by algal extracellular organic matter. Desalination 2014, 336, 129–137. [Google Scholar] [CrossRef]
- Nguyen, M.K.; Moon, J.Y.; Lee, Y.C. Microalgal ecotoxicity of nanoparticles: An updated review. Ecotoxicol. Environ. Safety 2020, 201, 110781. [Google Scholar] [CrossRef]
- Zhao, F.C.; Zhang, W.W.; Zhou, X.F. Effect of temperature on extracellular organic matter (EOM) of Chlorella pyrenoidosa and effect of EOM on irreversible membrane fouling. Colloids Surf. B 2015, 136, 431–439. [Google Scholar] [CrossRef]
- Huang, W.W.; Chu, H.Q.; Dong, B.Z. Characteristics of algogenic organic matter generated under different nutrient conditions and subsequent impact on microfiltration membrane fouling. Desalination 2012, 293, 104–111. [Google Scholar] [CrossRef]
- Xu, X.M.; Xu, Y.R.; Xu, N.; Pan, B.Z.; Ni, J.R. Pharmaceuticals and personal care products (PPCPs) in water, sediment and freshwater mollusks of the Dongting Lake downstream the Three Gorges Dam. Chemosphere 2022, 301, 134721. [Google Scholar] [CrossRef]
- Liu, Q.X.; Feng, X.; Chen, N.; Shen, F.; Zhang, H.C.; Wang, S.; Sheng, Z.Y.; Li, J. Occurrence and risk assessment of typical PPCPs and biodegradation pathway of ribavirin in wastewater treatment plants. Environ. Sci. Ecotechnol. 2022, 11, 100184. [Google Scholar] [CrossRef]
- Xie, Z.X.; Wang, X.Y.; Gan, Y.; Cheng, H.M.; Fan, S.S.; Li, X.D.; Tang, J. Ecotoxicological effects of the antidepressant fluoxetine and its removal by the typical freshwater microalgae Chlorella pyrenoidosa. Ecotoxicol. Environ. Safety 2022, 244, 114045. [Google Scholar] [CrossRef] [PubMed]
- Couto, E.; Assemany, P.P.; Carneiro, G.C.A.; Soares, D.C.F. The potential of algae and aquatic macrophytes in the pharmaceutical and personal care products (PPCPs) environmental removal: A review. Chemosphere 2022, 302, 134808. [Google Scholar] [CrossRef] [PubMed]
- Xin, X.Y.; Huang, G.; Zhang, B.Y. Review of aquatic toxicity of pharmaceuticals and personal care products to algae. J. Hazard. Mater. 2021, 410, 124619. [Google Scholar] [CrossRef] [PubMed]
- Shaw, L.; Phung, C.; Grace, M. Pharmaceuticals and personal care products alter growth and function in lentic biofilms. Environ. Chem. 2015, 12, 301–306. [Google Scholar] [CrossRef]
- Zhao, W.T.; Guo, Y.; Lu, S.G.; Yan, P.P.; Sui, Q. Recent advances in pharmaceuticals and personal care products in the surface water and sediments in China. Front. Environ. Sci. Eng. 2016, 10, 29–40. [Google Scholar] [CrossRef]
- Miazek, K.; Brozek-Pluska, B. Effect of PHRs and PCPs on microalgal growth, metabolism and microalgae-based bioremediation processes: A review. Intern. J. Molecul. Sci. 2019, 20, 2492. [Google Scholar] [CrossRef]
- Kołodziejska, M.; Maszkowska, J.; Białk-Bielińska, A.; Steudte, S.; Kumirska, J.; Stepnowski, P.; Stolte, S. Aquatic toxicity of four veterinary drugs commonly applied in fish farming and animal husbandry. Chemosphere 2013, 92, 1253–1259. [Google Scholar] [CrossRef]
- Robinson, A.A.; Belden, J.B.; Lydy, M.J. Toxicity of fluoroquinolone antibiotics to aquatic organisms. Environ. Toxicol. Chem. 2005, 24, 423–430. [Google Scholar] [CrossRef]
- Kondor, A.C.; Molnár, É.; Jakab, G.; Vancsik, A.; Filep, T.; Szeberényi, J.; Szabó, L.; Maász, G.; Pirger, Z.; Weiperth, A.; et al. Pharmaceuticals in water and sediment of small streams under the pressure of urbanization: Concentrations, interactions, and risks. Sci. Total Environ. 2020, 808, 152160. [Google Scholar] [CrossRef]
- Waleng, N.J.; Nomngongo, P.N. Occurrence of pharmaceuticals in the environmental waters: African and Asian perspectives. Environ. Chem. Ecotoxicol. 2022, 4, 50–66. [Google Scholar] [CrossRef]
- Ashfaq, M.; Li, Y.; Rehman, M.S.U.; Zubair, M.; Mustafa, G.; Nazar, M.F.; Yu, C.P.; Sun, Q. Occurrence, spatial variation and risk assessment of pharmaceuticals and personal care products in urban wastewater, canal surface water, and their sediments: A case study of Lahore, Pakistan. Sci. Total Environ. 2019, 688, 653–663. [Google Scholar] [CrossRef] [PubMed]
- Sui, Q.; Cao, X.Q.; Lu, S.G.; Zhao, W.T.; Qiu, Z.F.; Yu, G. Occurrence, sources and fate of pharmaceuticals and personal care products in the groundwater: A review. Emerg. Contam. 2015, 1, 14–24. [Google Scholar] [CrossRef]
- Stedmon, C.A.; Bro, R. Characterizing dissolved organic matter fluorescence with parallel factor analysis: A tutorial. Limnol. Oceanogr. Methods 2008, 6, 1–6. [Google Scholar] [CrossRef]
- ErbaPompei, C.M.; Campos, L.C.; Vieira, E.M.; Tucci, A. The impact of micropollutants on native algae and cyanobacteria communities in ecological filters during drinking water treatment. Sci. Total Environ. 2022, 822, 153401. [Google Scholar]
- Mao, Y.F.; Yu, Y.; Ma, Z.X.; Li, H.; Yu, W.W.; Cao, L.; He, Q. Azithromycin induces dual effects on microalgae: Roles of photosynthetic damage and oxidative stress. Ecotoxicol. Environ. Saf. 2021, 222, 112496. [Google Scholar] [CrossRef]
- Calabrese, E.J.; Blain, R.B. The hormesis database: The occurrence of hormetic dose responses in the toxicological literature. Regul. Toxicol. Pharm. 2011, 61, 73–81. [Google Scholar] [CrossRef]
- Xiong, J.Q.; Kurade, M.B.; Abou-Shanab, R.A.I.; Ji, M.K.; Choi, J.; Kim, J.O.; Jeon, B.H. Biodegradation of carbamazepine using freshwater microalgae Chlamydomonas mexicana and Scenedesmus obliquus and the determination of its metabolic fate. Bioresour. Technol. 2016, 205, 183–190. [Google Scholar] [CrossRef]
- Ding, T.D.; Lin, K.D.; Yang, B.; Yang, M.T.; Li, J.Y.; Li, W.Y.; Gan, J. Biodegradation of naproxen by freshwater algae Cymbella sp. and Scenedesmus quadricauda and the comparative toxicity. Bioresour. Technol. 2017, 238, 164–173. [Google Scholar] [CrossRef]
- Zhang, W.W.; Chu, H.Q.; Zhou, X.F.; Zhang, Y.L. Study on the effects of diclofenac sodium on the growth of haematococcus pluvialis. Environ. Prevent. Pollut. China 2019, 41, 1146–1150. [Google Scholar]
- Lee, S.J.; Kim, J.H. Differential natural organic matter fouling of ceramic versus polymeric ultrafiltration membranes. Water Res. 2014, 48, 43–51. [Google Scholar] [CrossRef]
- Cheng, W.P.; Chi, F. Influence of eutrophication on the coagulation efficiency in reservoir water. Chemosphere 2003, 53, 773–778. [Google Scholar] [CrossRef] [PubMed]
- Reckhow, D.A.; Singer, P.C.; Malcolm, R.L. Chlorination of humic materials: Byproducts formation and chemical interpretations. Envirn. Sci. Technol. 1990, 24, 1655–1665. [Google Scholar] [CrossRef]
- Li, L.; Gao, N.Y.; Deng, Y.; Yao, J.J.; Zhang, K.J. Characterization of intracellular & extracellular algae organic matters (AOM) of Microcystic aeruginosa and formation of AOM-associated disinfection byproducts and odor & taste compounds. Water Res. 2012, 46, 1233–1240. [Google Scholar] [PubMed]
- Hoyer, O.; Lüsse, B.; Bernhardt, H. Isolation and characterization of extracellular organic matter (EOM) from algae. Z. Wasser-Abwasser-Forsch. 1985, 18, 76–90. [Google Scholar]
- Zhang, X.L.; Fan, L.H.; Roddick, F.A. Understanding the fouling of a ceramic microfiltration membrane caused by algal organic matter released from Microcystis aeruginosa. J. Membr. Sci. 2013, 447, 362–368. [Google Scholar] [CrossRef]
- Cheng, X.X.; Wu, D.J.; Liang, H.; Zhu, X.W.; Tang, X.B.; Gan, Z.D.; Xing, J.J.; Luo, X.S.; Li, G.B. Effect of sulfate radical-based oxidation pretreatments for mitigating ceramic UF membrane fouling caused by algal extracellular organic matter. Water Res. 2018, 145, 39–49. [Google Scholar] [CrossRef]
- Sheng, D.; Bu, L.J.; Zhu, S.M.; Wu, Y.T.; Wang, J.; Li, N.; Zhou, S.Q. Impact of pre-oxidation on the formation of byproducts in algae-laden water disinfection: Insights from fluorescent and molecular weight. J. Environ. Sci. 2022, 117, 21–27. [Google Scholar] [CrossRef]
- Yu, H.R.; Qu, F.S.; Liang, H.; Han, Z.S.; Ma, J.; Shao, S.L.; Chang, H.Q.; Li, G.B. Understanding ultrafiltration membrane fouling by extracellular organic matter of Microcystis aeruginosa using fluorescence excitation-emission matrix coupled with parallel factor analysis. Desalination 2014, 337, 67–75. [Google Scholar] [CrossRef]
- Tang, S.J.; Wang, Z.W.; Wu, Z.C.; Zhou, Q. Role of dissolved organic matters (DOM) in membrane fouling of membrane bioreactors for municipal wastewater treatment. J. Hazard. Mater. 2010, 178, 377–384. [Google Scholar] [CrossRef]
- Zhang, Q.J.; Wang, Z.G.; Wang, S.S.; Yao, D.W.; Chen, X.F. Dynamic Release correlation between extracellular organic components and Microcystins MC-LR based on three-dimensional fluorescence spectroscopy. J. Atmosp. Environ. Opt. China 2020, 15, 285–295. [Google Scholar]
- Yang, J.T.; Yang, S.W.; Jin, W.D.; Liu, L.; Yan, Y.H.; Mao, Q.D. EOM characteristics and release of extracellular amino acids in three typical freshwater algaes. China Environ. Sci. 2017, 37, 1879–1888. [Google Scholar]
- Wang, L.Y.; Wu, F.C.; Zhang, R.Y.; Li, W.; Liao, H.Q. Characterization of dissolved organic matter fractions from Lake Hongfeng, Southwestern China Plateau. J. Environ. Sci. China 2009, 21, 581–588. [Google Scholar] [CrossRef] [PubMed]
- Coble, P.G. Characterization of marine and terrestrial DOM in seawater using excitation-emission matrix spectroscopy. Mar. Chem. 1996, 51, 325–346. [Google Scholar] [CrossRef]
- Henderson, R.K.; Baker, A.; Parsons, S.A.; Jefferson, B. Characterisation of algogenic organic matter extracted from cyanobacteria, green algae and diatoms. Water Res. 2008, 42, 3435–3445. [Google Scholar] [CrossRef] [PubMed]
- Gao, K.; Li, T.; Zhao, Q.Q.; Liu, W.; Liu, J.X.; Song, Y.L.; Chu, H.Q.; Dong, B.Z. UF fouling behavior of allelopathy of extracellular organic matter produced by mixed algae co-cultures. Separ. Purif. Technol. 2021, 261, 118297. [Google Scholar] [CrossRef]
Disclaimer/Publisher’s Note: The statements, opinions and data contained in all publications are solely those of the individual author(s) and contributor(s) and not of MDPI and/or the editor(s). MDPI and/or the editor(s) disclaim responsibility for any injury to people or property resulting from any ideas, methods, instructions or products referred to in the content. |
© 2023 by the authors. Licensee MDPI, Basel, Switzerland. This article is an open access article distributed under the terms and conditions of the Creative Commons Attribution (CC BY) license (https://creativecommons.org/licenses/by/4.0/).