Soil Moisture Dynamics and Its Temporal Stability under Different-Aged Caragana korshinskii Shrubs in the Loess Hilly Region of China
Abstract
1. Introduction
2. Materials and Methods
2.1. Introduction to the Studied Area
2.2. Experimental Design and Soil Sampling
2.3. Data Analysis
3. Results
3.1. Temporal Dynamics of Soil Moisture under Caragana korshinskii Shrubs
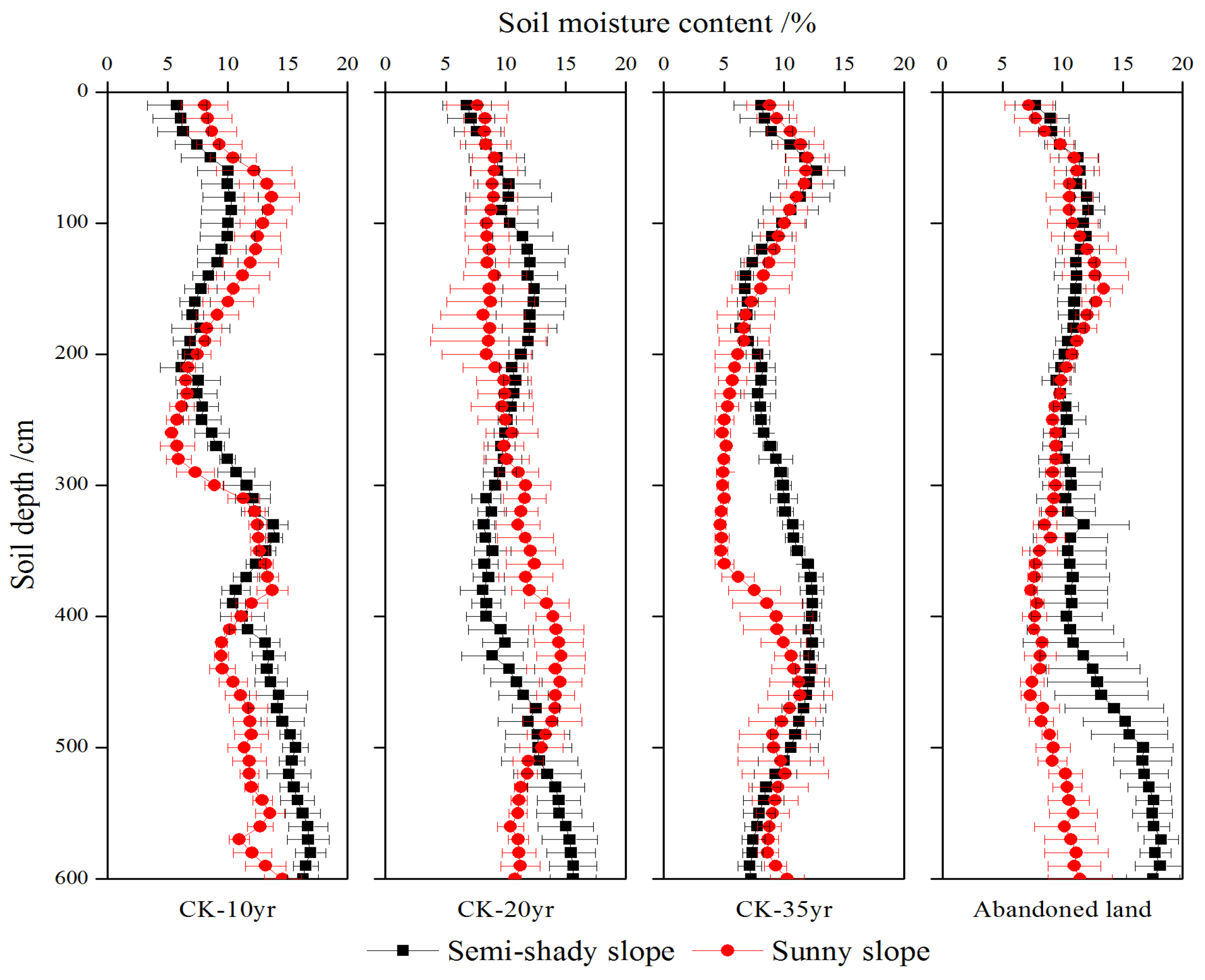
3.2. Soil Moisture Variations with Slope Aspects under Caragana korshinskii Shrubs
3.3. Soil Moisture Variations along Slope Positions under Caragana korshinskii Shrubs
3.4. Temporal Stability of Soil Moisture under Caragana korshinskii Shrubs
4. Discussion
4.1. Spatiotemporal Dynamics of Soil Moisture under Caragana korshinskii Shrubs
4.2. Temporal Stability of Soil Moisture under Caragana korshinskii Shrubs
4.3. Implications for Deep Soil Moisture Management
5. Conclusions
Author Contributions
Funding
Data Availability Statement
Acknowledgments
Conflicts of Interest
References
- Yao, Y.; Liu, Y.X.; Zhou, S.; Song, J.X.; Fu, B.J. Soil moisture determines the recovery time of ecosystems from drought. Glob. Change Biol. 2023, 29, 3562–3574. [Google Scholar] [CrossRef] [PubMed]
- Brocca, L.; Ciabatta, L.; Massari, C.; Camici, S.; Tarpanelli, A. Soil moisture for hydrological applications: Open questions and new opportunities. Water 2017, 9, 140. [Google Scholar] [CrossRef]
- Liang, H.B.; Xue, Y.Y.; Li, Z.S.; Wang, S.; Wu, X.; Gao, G.Y.; Liu, G.H.; Fu, B.J. Soil moisture decline following the plantation of Robinia pseudoacacia forests: Evidence from the Loess Plateau. Forest Ecol. Manag. 2018, 412, 62–69. [Google Scholar] [CrossRef]
- Liang, H.B.; Xue, Y.Y.; Li, Z.S.; Gao, G.Y.; Liu, G.H. Afforestation may accelerate the depletion of deep soil moisture on the Loess Plateau: Evidence from a meta-analysis. Land Degrad. Dev. 2022, 33, 3829–3840. [Google Scholar] [CrossRef]
- Gao, Z.L.; Zhang, L.; Cheng, L.; Zhang, X.P.; Cowan, T.; Cai, W.J.; Brutsaert, W. Groundwater storage trends in the Loess Plateau of China estimated from streamflow records. J. Hydrol. 2015, 530, 281–290. [Google Scholar] [CrossRef]
- Zhou, Z.X.; Wang, Y.Q. Global patterns of dried soil layers and environmental forcing. Land Degrad. Dev. 2023; preprit. [Google Scholar]
- Liu, F.Y.; Liu, Y.; Shi, Z.H.; Lopez-Vicente, M.; Wu, G.L. Effectiveness of revegetated forest and grassland on soil erosion control in the semi-arid Loess Plateau. Catena 2020, 195, 104787. [Google Scholar] [CrossRef]
- Li, B.B.; Li, P.P.; Zhang, W.T.; Ji, J.Y.; Liu, G.B.; Xu, M.X. Deep soil moisture limits the sustainable vegetation restoration in arid and semi-arid Loess Plateau. Geoderma 2021, 399, 115122. [Google Scholar] [CrossRef]
- Ye, L.P.; Fang, L.C.; Shi, Z.H.; Deng, L.; Tan, W.F. Spatio-temporal dynamics of soil moisture driven by “Grain for Green” program on the Loess Plateau, China. Agric. Ecosyst. Environ. 2019, 269, 204–214. [Google Scholar] [CrossRef]
- Vachaud, G.A.; Silans, A.P.D.; Balabanis, P.; Vauclin, M. Temporal stability of spatially measured soil water probability density function. Soil Sci. Soc. Am. J. 1985, 49, 822–828. [Google Scholar] [CrossRef]
- Gao, L.; Shao, M.A. Temporal stability of soil water storage in diverse soil layers. Catena 2012, 95, 24–32. [Google Scholar] [CrossRef]
- He, Z.B.; Zhao, M.M.; Zhu, X.; Du, J.; Chen, L.F.; Lin, P.F.; Li, J. Temporal stability of soil water storage in multiple soil layers in high-elevation forests. J. Hydrol. 2019, 569, 532–545. [Google Scholar] [CrossRef]
- Jia, X.X.; Shao, M.A.; Wei, X.R.; Wang, Y.Q. Hillslope scale temporal stability of soil water storage in diverse soil layers. J. Hydrol. 2013, 498, 254–264. [Google Scholar] [CrossRef]
- Chen, J.L.; Wen, J.; Tian, H. Representativeness of the ground observational sites and up-scaling of the point soil moisture measurements. J. Hydrol. 2016, 533, 62–73. [Google Scholar] [CrossRef]
- Gao, L.; Lv, Y.J.; Wang, D.D.; Tahir, M.; Peng, X.H. Can shallow-layer measurements at a single location be used to predict deep soil water storage at the slope scale? J. Hydrol. 2015, 531, 534–542. [Google Scholar] [CrossRef]
- Duan, L.X.; Huang, M.B.; Li, Z.W.; Zhang, Z.D.; Zhang, L.D. Estimation of spatial mean soil water storage using temporal stability at the hillslope scale in black locust (Robinia pseudoacacia) stands. Catena 2017, 156, 51–61. [Google Scholar] [CrossRef]
- Chang, R.Y.; Fu, B.J.; Liu, G.H.; Liu, S.G. Soil carbon sequestration potential for “Grain for Green” project in Loess Plateau, China. Environ. Manag. 2011, 48, 1158–1172. [Google Scholar] [CrossRef]
- Song, W.Q.; Feng, Y.H.; Wang, Z.H. Ecological restoration program dominate vegetation greening in China. Sci. Total Environ. 2022, 848, 157729. [Google Scholar] [CrossRef] [PubMed]
- Shao, M.A.; Wang, Y.Q.; Xia, Y.Q.; Jia, X.X. Soil drought and water carrying capacity for vegetation in the critical zone of the Loess Plateau: A review. Vadose Zone J. 2018, 17, 1–8. [Google Scholar] [CrossRef]
- Zhang, Y.K. The spatiotemporal variability of soil hydrological properties under artificial Caragana korshinskii plantations on the Loess Plateau. Ph.D. Thesis, University of Chinese Academy of Sciences, Beijing, China, 2018. [Google Scholar]
- Wang, G.H.; Chen, Z.X.; Yang, X.L.; Cai, G.J.; Shen, Y.Y. Effect of simulated precipitation regimes on sap flow and water use efficiency for xerophytic Caragana korshinskii. Ecol. Indic. 2022, 143, 109309. [Google Scholar] [CrossRef]
- Li, C.J.; Li, C.Z.; Zhao, L.H.; Yang, G.H.; Han, X.H.; Ren, C.J.; Deng, J.; Yang, F.S. Soil dissolved carbon and nitrogen dynamics along a revegetation chronosequence of Caragana korshinskii plantations in the Loess hilly region of China. Catena 2022, 216, 106405. [Google Scholar] [CrossRef]
- Jia, X.X.; Shao, M.A.; Zhu, Y.J.; Luo, Y. Soil moisture decline due to afforestation across the Loess Plateau, China. J. Hydrol. 2017, 546, 113–122. [Google Scholar] [CrossRef]
- Wang, Y.Q.; Shao, M.A.; Liu, Z.P. Large-scale spatial variability of dried soil layers and related factors across the entire Loess Plateau of China. Geoderma 2010, 159, 99–108. [Google Scholar] [CrossRef]
- Liang, H.B.; Xue, Y.Y.; Shi, J.W.; Li, Z.S.; Liu, G.H.; Fu, B.J. Soil moisture dynamics under Caragana korshinskii shrubs of different ages in Wuzhai County on the Loess Plateau, China. Earth Environ. Sci. Trans. R. Soc. Edinb. 2018, 109, 387–396. [Google Scholar] [CrossRef]
- Liang, H.B. Multi-scale effects of vegetation restoration on spatial-temporal dynamics of soil moisture on the Loess Plateau, China. Ph.D. Thesis, University of Chinese Academy of Sciences, Beijing, China, 2019. [Google Scholar]
- Yang, L.; Wei, W.; Chen, L.D.; Mo, B.R. Response of deep soil moisture to land use and afforestation in the semi-arid Loess Plateau, China. J. Hydrol. 2012, 475, 111–122. [Google Scholar] [CrossRef]
- An, W.M.; Liang, H.B.; Wang, C.; Wang, S.; Li, Z.S.; Lv, Y.H.; Liu, G.H.; Fu, B.J. Dynamic characteristics of soil water with an increase in restoration years on the shady and sunny slope aspects of the Loess Plateau. Acta Ecol. Sinica 2017, 37, 6120–6127. [Google Scholar]
- Yang, W.Z.; Shao, M.A. Soil Water Study of Loess Plateau; Science Press: Beijing, China, 2000. [Google Scholar]
- Zhao, C.L.; Jia, X.X.; Shao, M.A.; Zhang, X.B. Using pedo-transfer functions to estimate dry soil layers along an 860-km long transect on China’s Loess Plateau. Geoderma 2020, 369, 114320. [Google Scholar] [CrossRef]
- Zhang, C.C.; Wang, Y.Q.; Shao, M.A. Controlling gully- and revegetation-induced dried soil layers across a slope-gully system. Sci. Total Environ. 2020, 755, 142444. [Google Scholar] [CrossRef]
- Li, J.; Jia, S.H.; Chen, X.H.; Xu, B.S. Changes of caragana woodland soil moisture under different sites in Loess Plateau. J. Gansu Agr. Univ. 2015, 50, 111–115. [Google Scholar]
- Zhu, P.Z.; Zhang, G.H.; Wang, H.X.; Zhang, B.J.; Liu, Y.N. Soil moisture variation in response to precipitation properties and plant communities on steep gully slope on the Loess Plateau. Agric. Water Manag. 2021, 256, 107086. [Google Scholar] [CrossRef]
- Gao, X.D.; Wu, P.T.; Zhao, X.N.; Wang, J.; Shi, Y. Effects of land use on soil moisture variations in a semi-arid catchment: Implications for land and agricultural water management. Land Degrad. Dev. 2014, 25, 163–172. [Google Scholar] [CrossRef]
- Zhao, Z.; Li, P.; Wang, N.J. Distribution patterns of root systems of main planting tree species in Weibei Loess Plateau. Chin. J. Appl. Ecol. 2000, 11, 37–39. [Google Scholar]
- Cheng, X.R.; Huang, M.B.; Shao, M.A. Vertical distribution of representative plantation’s fine root in wind-water erosion crisscross region, Shenmu. Acta Bot. Boreal.-Occident. Sin. 2007, 27, 321–327. [Google Scholar]
- Qiu, L.J.; Wu, Y.P.; Shi, Z.Y.; Yu, M.Z.; Zhao, F.B.; Guan, Y.H. Quantifying spatiotemporal variations in soil moisture driven by vegetation restoration on the Loess Plateau of China. J. Hydrol. 2021, 600, 126580. [Google Scholar] [CrossRef]
- Liu, B.X.; Shao, M.A. Estimation of soil water storage using temporal stability in four land uses over 10 years on the Loess Plateau, China. J. Hydrol. 2014, 517, 974–984. [Google Scholar] [CrossRef]
- An, W.M.; Li, Z.S.; Wang, S.; Wu, X.; Lv, Y.H.; Liu, G.H.; Fu, B.J. Exploring the effects of the “Grain for Green” program on the differences in soil water in the semi-arid Loess Plateau of China. Ecol. Eng. 2017, 107, 144–151. [Google Scholar] [CrossRef]
- Xiaoyang, H. Characteristics of Water-Carbon Flux and Winter Wheat Yield Tendency over a Dryland Agroecosystem on the Loess Plateau. Ph.D. Thesis, University of Chinese Academy of Sciences, Beijing, China, 2016. [Google Scholar]
- Han, X.Y.; Liu, W.Z.; Cheng, L.P. Vertical distribution characteristics and temporal stability of soil water in deep profile on the Loess Tableland, Northwest China. Chin. J. Appl. Ecol. 2017, 28, 430–438. [Google Scholar]
- Xiaoxu, J. Distribution of Soil Water and Its Effect on Carbon Process in Grassland Ecosystems on the Typical Loess Plateau. Ph.D. Thesis, Northwest A&F University, Xianyang, China, 2014. [Google Scholar]
- Gao, X.D.; Li, H.C.; Zhao, X.N.; Ma, W.; Wu, P.T. Identifying a suitable revegetation technique for soil restoration on water-limited and degraded land: Considering both deep soil moisture deficit and soil organic carbon sequestration. Geoderma 2018, 319, 61–69. [Google Scholar] [CrossRef]
- Yang, L.; Chen, L.D.; Wei, W. Effects of vegetation restoration on the spatial distribution of soil moisture at the hillslope scale in semi-arid regions. Catena 2015, 124, 138–146. [Google Scholar] [CrossRef]
- Feng, X.M.; Fu, B.J.; Piao, S.L.; Wang, S.; Ciais, P.; Zeng, Z.Z.; Lv, Y.H.; Zeng, Y.; Li, Y.; Jiang, X.H.; et al. Revegetation in China’s Loess Plateau is approaching sustainable water resource limits. Nat. Clim. Chang. 2016, 6, 1019–1022. [Google Scholar] [CrossRef]
- Zhang, S.L.; Yang, D.W.; Yang, Y.T.; Piao, S.L.; Yang, H.B.; Lei, H.M.; Fu, B.J. Excessive afforestation and soil drying on China’s Loess Plateau. J. Geophys. Res.-Biogeo. 2018, 123, 923–935. [Google Scholar] [CrossRef]
- Chen, H.S.; Shao, M.A.; Li, Y.Y. Soil desiccation in the Loess Plateau of China. Geoderma 2008, 143, 91–100. [Google Scholar] [CrossRef]
- Mendham, D.S.; White, D.A.; Battaglia, M.; McGrath, J.F.; Short, T.M.; Ogden, G.N.; Kinal, J. Soil water depletion and replenishment during first and early second-rotation Eucalyptus globulus plantations with deep soil profiles. Agric. Forest Meteorol. 2011, 151, 1568–1579. [Google Scholar] [CrossRef]
- Wang, S.; Fu, B.J.; Gao, G.Y.; Liu, Y.; Zhou, J. Responses of soil moisture in different land cover types to rainfall events in a re-vegetation catchment area of the Loess Plateau, China. Catena 2013, 101, 122–128. [Google Scholar] [CrossRef]
- Gao, X.D.; Wu, P.T.; Zhao, X.N.; Shi, Y.G.; Wang, J.W.; Zhang, B.Q. Soil moisture variability along transects over a well-developed gully in the Loess Plateau, China. Catena 2011, 87, 357–367. [Google Scholar] [CrossRef]
- Gao, L.; Shao, M.A.; Peng, X.H.; She, D.L. Spatio-temporal variability and temporal stability of water contents distributed within soil profiles at a hillslope scale. Catena 2015, 132, 29–36. [Google Scholar] [CrossRef]






| Field Conditions | CK-10yr | CK-20yr | CK-35yr | Abandoned Land |
|---|---|---|---|---|
| Longitude (°) | E 111.771 | E 111.773 | E 111.774 | E 111.776 |
| Latitude (°) | N 38.980 | N 38.983 | N 38.981 | N 38.982 |
| Altitude (m) | 1445.02 | 1429.04 | 1441.85 | 1430.03 |
| Plant height (m) | 0.86–1.25 | 1.17–2.02 | 1.56–2.35 | —— |
| Crown diameter (m) | 1.21 × 1.55 | 1.80 × 2.34 | 2.00 × 2.85 | —— |
| Slope gradient (°) | 7 | 5 | 6 | 5 |
| Plant number | 7500 | 7500 | 7500 | —— |
Disclaimer/Publisher’s Note: The statements, opinions and data contained in all publications are solely those of the individual author(s) and contributor(s) and not of MDPI and/or the editor(s). MDPI and/or the editor(s) disclaim responsibility for any injury to people or property resulting from any ideas, methods, instructions or products referred to in the content. |
© 2023 by the authors. Licensee MDPI, Basel, Switzerland. This article is an open access article distributed under the terms and conditions of the Creative Commons Attribution (CC BY) license (https://creativecommons.org/licenses/by/4.0/).
Share and Cite
Liang, H.; Li, Y.; An, X.; Liu, J.; Pan, N.; Li, Z. Soil Moisture Dynamics and Its Temporal Stability under Different-Aged Caragana korshinskii Shrubs in the Loess Hilly Region of China. Water 2023, 15, 2334. https://doi.org/10.3390/w15132334
Liang H, Li Y, An X, Liu J, Pan N, Li Z. Soil Moisture Dynamics and Its Temporal Stability under Different-Aged Caragana korshinskii Shrubs in the Loess Hilly Region of China. Water. 2023; 15(13):2334. https://doi.org/10.3390/w15132334
Chicago/Turabian StyleLiang, Haibin, Yani Li, Xiaoxu An, Jie Liu, Naiqing Pan, and Zongshan Li. 2023. "Soil Moisture Dynamics and Its Temporal Stability under Different-Aged Caragana korshinskii Shrubs in the Loess Hilly Region of China" Water 15, no. 13: 2334. https://doi.org/10.3390/w15132334
APA StyleLiang, H., Li, Y., An, X., Liu, J., Pan, N., & Li, Z. (2023). Soil Moisture Dynamics and Its Temporal Stability under Different-Aged Caragana korshinskii Shrubs in the Loess Hilly Region of China. Water, 15(13), 2334. https://doi.org/10.3390/w15132334
