Projections of Global Drought and Their Climate Drivers Using CMIP6 Global Climate Models
Abstract
Highlights
- The future drought conditions predicted by AWI-CM-1-1-MR and MPI-ESM1-2-HR are relatively reasonable. However, EC-Earth3 tends to underestimate future drought conditions.
- Drought conditions across much of the globe are expected to become increasingly serious, and the trend is significant.
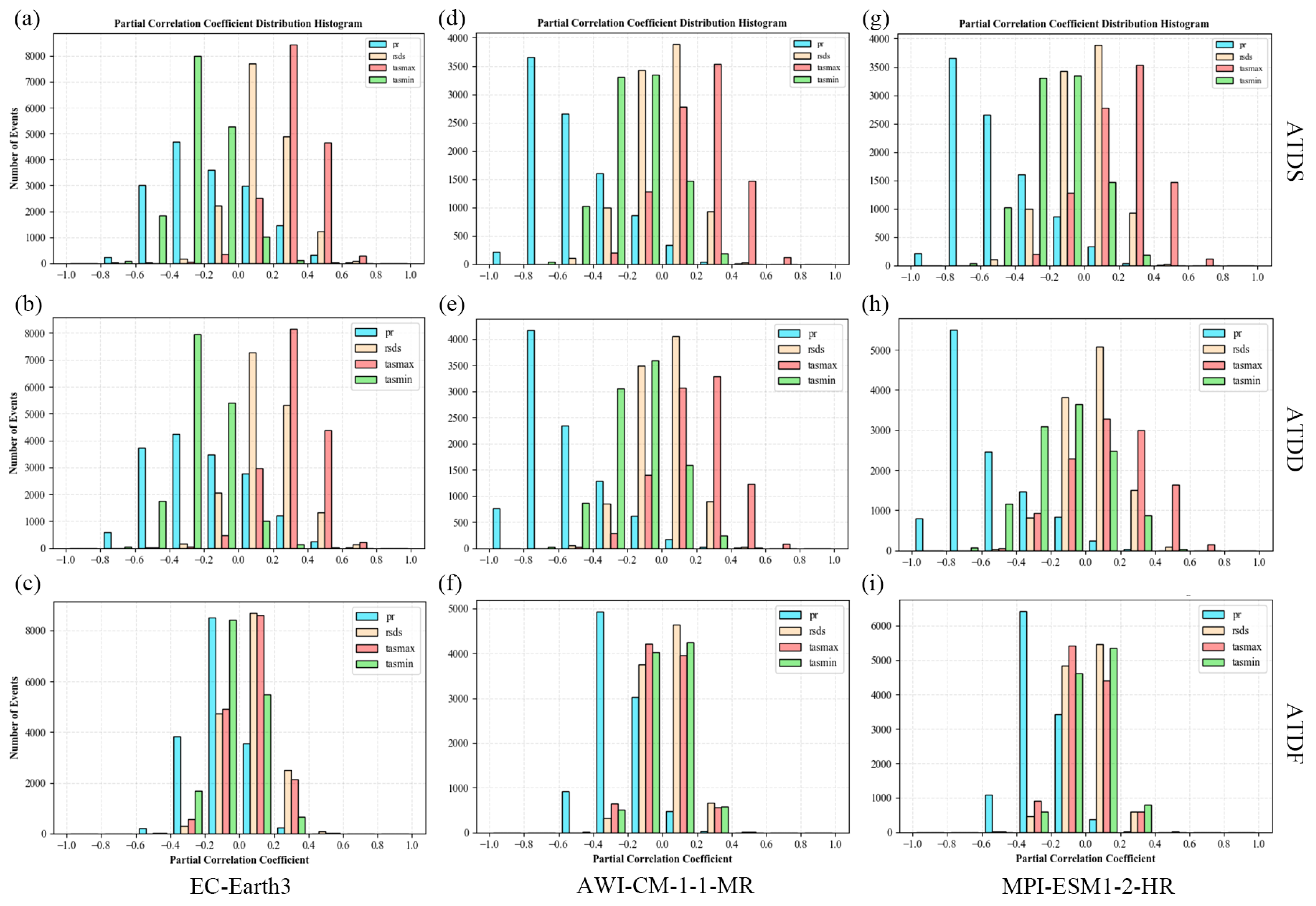
- The drought events in much of the world are mainly driven by precipitation.
- We found that the primary reason for the substantial differences in drought predictions among the three models is the overestimation of future precipitation by EC-Earth3.
- The future drought conditions in most regions around the world are expected to worsen.
Abstract
1. Introduction
2. Data Sources and Methods
2.1. Data Sources
2.2. Drought Index
2.3. Identification of Drought Events
2.4. Statistical Analysis
3. Results
3.1. Interannual Variation of Climatic Factors
3.2. Interannual Variation of Drought Events’ Characteristics
3.3. Spatial Pattern of Drought Events’ Characteristics
3.4. Trends of Drought Events’ Characteristics
3.5. Partial Correlation between Drought Events and Climatic Factors
4. Discussion
5. Conclusions
- (1)
- Among the three models, MPI-ESM1-2-HR projected the most severe drought, followed by AWI-CM-1-1-MR, while EC-Earth3 projected the least severe drought. The future drought conditions predicted by AWI-CM-1-1-MR and MPI-ESM1-2-HR are relatively reasonable. However, EC-Earth3 tends to underestimate future drought conditions.
- (2)
- From 2016 to 2100, ATDS and ATDD exhibit an increasing trend in most regions worldwide, and this trend is statistically significant (p < 0.05). ATDF, on the other hand, shows a decreasing trend, although it is not statistically significant. Only certain areas demonstrate a significant increasing trend (p < 0.05).
- (3)
- Precipitation exhibits the highest correlation with drought event characteristics. Among them, the correlation strength between ATDS and ATDD with climatic factors follows a certain order: precipitation > maximum temperature > minimum temperature > net surface radiation.
- (4)
- The severity and duration of drought in most regions are primarily driven by precipitation. The corresponding partial correlation coefficient is also substantial. While drought frequency is also influenced by precipitation, the corresponding correlation coefficient is relatively small.
Author Contributions
Funding
Data Availability Statement
Acknowledgments
Conflicts of Interest
References
- Chen, N.; Li, R.; Zhang, X.; Yang, C.; Wang, X.; Zeng, L.; Tang, S.; Wang, W.; Li, D.; Niyogi, D. Drought propagation in Northern China Plain: A comparative analysis of GLDAS and MERRA−2 datasets. J. Hydrol. 2020, 588, 125026. [Google Scholar] [CrossRef]
- Shen, Z.; Zhang, Q.; Singh, V.P.; Pokhrel, Y.; Li, J.; Xu, C.Y.; Wu, W. Drying in the low−latitude Atlantic Ocean contributed to terrestrial water storage depletion across Eurasia. Nat. Commun. 2022, 13, 1849. [Google Scholar] [CrossRef] [PubMed]
- Wang, Q.; Qi, J.; Wu, H.; Zeng, Y.; Shui, W.; Zeng, J.; Zhang, X. Freeze−Thaw cycle representation alters response of watershed hydrology to future climate change. Catena 2020, 195, 104767. [Google Scholar] [CrossRef]
- Leng, S.; Huete, A.; Cleverly, J.; Gao, S.; Yu, Q.; Meng, X.; Qi, J.; Zhang, R.; Wang, Q. Assessing the Impact of Extreme Droughts on Dryland Vegetation by Multi−Satellite Solar−Induced Chlorophyll Fluorescence. Remote Sens. 2022, 14, 1581. [Google Scholar] [CrossRef]
- Qu, Y.; Zhang, X.; Zeng, J.; Li, Z.; Lv, J. Historical Drought Events in the Early Years of Qing Dynasty in Shanxi Based on Hydrological Reconstructions. Water 2023, 15, 995. [Google Scholar] [CrossRef]
- Kiem, A.S.; Johnson, F.; Westra, S.; van Dijk, A.; Evans, J.P.; O’Donnell, A.; Rouillard, A.; Barr, C.; Tyler, J.; Thyer, M.; et al. Natural hazards in Australia: Droughts. Clim. Chang. 2016, 139, 37–54. [Google Scholar] [CrossRef]
- Li, H.; Li, Z.; Chen, Y.; Xiang, Y.; Liu, Y.; Kayumba, P.M.; Li, X. Drylands face potential threat of robust drought in the CMIP6 SSPs scenarios. Environ. Res. Lett. 2021, 16, 114004. [Google Scholar] [CrossRef]
- Askarimarnani, S.S.; Kiem, A.S.; Twomey, C.R. Comparing the performance of drought indicators in Australia from 1900 to 2018. Int. J. Climatol. 2021, 41, E912–E934. [Google Scholar] [CrossRef]
- Li, Y.L.; Wang, B.Y.; Gong, Y.J. Drought Assessment Based on Data Fusion and Deep Learning. Comput. Intell. Neurosci. 2022, 2022, 4429286. [Google Scholar] [CrossRef]
- Sun, P.; Ma, Z.; Zhang, Q.; Singh, V.P.; Xu, C. −Y. Modified drought severity index: Model improvement and its application in drought monitoring in China. J. Hydrol. 2022, 612, 128097. [Google Scholar] [CrossRef]
- Haile, G.G.; Tang, Q.; Li, W.; Liu, X.; Zhang, X. Drought: Progress in broadening its understanding. WIREs Water 2019, 7, e1407. [Google Scholar] [CrossRef]
- Li, Q.; He, P.; He, Y.; Han, X.; Zeng, T.; Lu, G.; Wang, H. Investigation to the relation between meteorological drought and hydrological drought in the upper Shaying River Basin using wavelet analysis. Atmos. Res. 2020, 234, 104743. [Google Scholar] [CrossRef]
- Chen, S.; Yuan, X. CMIP6 projects less frequent seasonal soil moisture droughts over China in response to different warming levels. Environ. Res. Lett. 2021, 16, 044053. [Google Scholar] [CrossRef]
- Masih, I.; Maskey, S.; Mussá, F.E.F.; Trambauer, P. A review of droughts on the African continent: A geospatial and long−term perspective. Hydrol. Earth Syst. Sci. 2014, 18, 3635–3649. [Google Scholar] [CrossRef]
- Zeng, J.; Zhou, T.; Qu, Y.; Bento, V.A.; Qi, J.; Xu, Y.; Li, Y.; Wang, Q. An improved global vegetation health index dataset in detecting vegetation drought. Sci. Data 2023, 10, 338. [Google Scholar] [CrossRef] [PubMed]
- Wu, B.F.; Ma, Z.H.; Yan, N.N. Agricultural drought mitigating indices derived from the changes in drought characteristics. Remote Sens. Environ. 2020, 244, 111813. [Google Scholar] [CrossRef]
- Trenberth, K.E.; Dai, A.; van der Schrier, G.; Jones, P.D.; Barichivich, J.; Briffa, K.R.; Sheffield, J. Global warming and changes in drought. Nat. Clim. Chang. 2013, 4, 17–22. [Google Scholar] [CrossRef]
- Yao, N.; Li, L.; Feng, P.; Feng, H.; Li Liu, D.; Liu, Y.; Jiang, K.; Hu, X.; Li, Y. Projections of drought characteristics in China based on a standardized precipitation and evapotranspiration index and multiple GCMs. Sci Total Environ. 2020, 704, 135245. [Google Scholar] [CrossRef]
- Zhang, R.R.; Bento, V.A.; Qi, J.Y.; Xu, F.; Wu, J.J.; Qiu, J.X.; Li, J.W.; Shui, W.; Wang, Q.F. The first high spatial resolution multi−scale daily SPI and SPEI raster dataset for drought monitoring and evaluating over China from 1979 to 2018. Big Earth Data 2023. [Google Scholar] [CrossRef]
- McKee, T.B.; Doesken, N.J.; Kleist, J.R. The Relationship of Drought Frequency and Duration to Time Scales. In Proceedings of the 8th Conference on Applied Climatology, Anaheim, CA, USA, 17−22 January 1993. [Google Scholar]
- Song, Z.; Xia, J.; She, D.; Li, L.; Hu, C.; Hong, S. Assessment of meteorological drought change in the 21st century based on CMIP6 multi−model ensemble projections over mainland China. J. Hydrol. 2021, 601, 126643. [Google Scholar] [CrossRef]
- Zhai, J.; Mondal, S.K.; Fischer, T.; Wang, Y.; Su, B.; Huang, J.; Tao, H.; Wang, G.; Ullah, W.; Uddin, M.J. Future drought characteristics through a multi−model ensemble from CMIP6 over South Asia. Atmos. Res. 2020, 246, 105111. [Google Scholar] [CrossRef]
- Yu, H.; Zhang, Q.; Xu, C.Y.; Du, J.; Sun, P.; Hu, P. Modified Palmer Drought Severity Index: Model improvement and application. Environ. Int. 2019, 130, 104951. [Google Scholar] [CrossRef] [PubMed]
- Wang, Q.F.; Zeng, J.Y.; Qi, J.Y.; Zhang, X.S.; Zeng, Y.; Shui, W.; Xu, Z.H.; Zhang, R.R.; Wu, X.P.; Cong, J. A multi−scale daily SPEI dataset for drought characterization at observation stations over mainland China from 1961 to 2018. Earth Syst. Sci. Data 2021, 13, 331–341. [Google Scholar] [CrossRef]
- Yu, M.X.; Li, Q.F.; Hayes, M.J.; Svoboda, M.D.; Heim, R.R. Are droughts becoming more frequent or severe in China based on the Standardized Precipitation Evapotranspiration Index: 1951−2010? Int. J. Climatol. 2014, 34, 545–558. [Google Scholar] [CrossRef]
- Zhang, Q.; Li, Q.; Singh, V.P.; Shi, P.; Huang, Q.; Sun, P. Nonparametric Integrated Agrometeorological Drought Monitoring: Model Development and Application. J. Geophys. Res. Atmos. 2018, 123, 73–88. [Google Scholar] [CrossRef]
- Su, B.; Huang, J.; Mondal, S.K.; Zhai, J.; Wang, Y.; Wen, S.; Gao, M.; Lv, Y.; Jiang, S.; Jiang, T.; et al. Insight from CMIP6 SSP−RCP scenarios for future drought characteristics in China. Atmos. Res. 2021, 250, 105375. [Google Scholar] [CrossRef]
- Vicente−Serrano, S.M.; Beguería, S.; López−Moreno, J.I. A Multiscalar Drought Index Sensitive to Global Warming: The Standardized Precipitation Evapotranspiration Index. J. Clim. 2010, 23, 1696–1718. [Google Scholar] [CrossRef]
- Wang, Q.F.; Shi, P.J.; Lei, T.J.; Geng, G.P.; Liu, J.H.; Mo, X.Y.; Li, X.H.; Zhou, H.K.; Wu, J.J. The alleviating trend of drought in the Huang−Huai−Hai Plain of China based on the daily SPEI. Int. J. Climatol. 2015, 35, 3760–3769. [Google Scholar] [CrossRef]
- Wang, Q.; Zhang, R.; Qi, J.; Zeng, J.; Wu, J.; Shui, W.; Wu, X.; Li, J. An improved daily standardized precipitation index dataset for mainland China from 1961 to 2018. Sci. Data 2022, 9, 124. [Google Scholar] [CrossRef]
- Meehl, G.A.; Boer, G.J.; Covey, C.; Latif, M.; Stouffer, R.J. Intercomparison makes for a better climate model. Eos Trans. Am. Geophys. Union 1997, 78, 445–447. [Google Scholar] [CrossRef]
- Meehl, G.A.; Boer, G.J.; Covey, C.; Latif, M.; Stouffer, R.J. The coupled model intercomparison project (cmip). Bull. Am. Meteorol. Soc. 2000, 81, 313–318. [Google Scholar] [CrossRef]
- Li, X.; Fang, G.; Wen, X.; Xu, M.; Zhang, Y. Characteristics analysis of drought at multiple spatiotemporal scale and assessment of CMIP6 performance over the Huaihe River Basin. J. Hydrol. Reg. Stud. 2022, 41, 101103. [Google Scholar] [CrossRef]
- Xin, X.G.; Wu, T.W.; Zhang, J.; Yao, J.C.; Fang, Y.J. Comparison of CMIP6 and CMIP5 simulations of precipitation in China and the East Asian summer monsoon. Int. J. Climatol. 2020, 40, 6423–6440. [Google Scholar] [CrossRef]
- Cook, B.I.; Mankin, J.S.; Marvel, K.; Williams, A.P.; Smerdon, J.E.; Anchukaitis, K.J. Twenty-First Century Drought Projections in the CMIP6 Forcing Scenarios. Earth’s Future 2020, 8, e2019EF001461. [Google Scholar] [CrossRef]
- Bouramdane, A. −A. Assessment of CMIP6 Multi−Model Projections Worldwide: Which Regions Are Getting Warmer and Are Going through a Drought in Africa and Morocco? What Changes from CMIP5 to CMIP6? Sustainability 2022, 15, 690. [Google Scholar] [CrossRef]
- Zhao, T.B.; Dai, A.G. CMIP6 Model−Projected Hydroclimatic and Drought Changes and Their Causes in the Twenty−First Century. J. Clim. 2022, 35, 897–921. [Google Scholar] [CrossRef]
- Bagcaci, S.C.; Yucel, I.; Duzenli, E.; Yilmaz, M.T. Intercomparison of the expected change in the temperature and the precipitation retrieved from CMIP6 and CMIP5 climate projections: A Mediterranean hot spot case, Turkey. Atmos. Res. 2021, 256, 105576. [Google Scholar] [CrossRef]
- Lun, Y.R.; Liu, L.; Cheng, L.; Li, X.P.; Li, H.; Xu, Z.X. Assessment of GCMs simulation performance for precipitation and temperature from CMIP5 to CMIP6 over the Tibetan Plateau. Int. J. Climatol. 2021, 41, 3994–4018. [Google Scholar] [CrossRef]
- Zamani, Y.; Monfared, S.A.H.; Moghaddam, M.A.; Hamidianpour, M. A comparison of CMIP6 and CMIP5 projections for precipitation to observational data: The case of Northeastern Iran. Theor. Appl. Climatol. 2020, 142, 1613–1623. [Google Scholar] [CrossRef]
- Ma, Z.; Sun, P.; Zhang, Q.; Zou, Y.; Lv, Y.; Li, H.; Chen, D. The Characteristics and Evaluation of Future Droughts across China through the CMIP6 Multi−Model Ensemble. Remote Sens. 2022, 14, 1097. [Google Scholar] [CrossRef]
- Mondal, S.K.; Huang, J.; Wang, Y.; Su, B.; Zhai, J.; Tao, H.; Wang, G.; Fischer, T.; Wen, S.; Jiang, T. Doubling of the population exposed to drought over South Asia: CMIP6 multi−model−based analysis. Sci. Total Environ. 2021, 771, 145186. [Google Scholar] [CrossRef]
- Sharma, S.; Hamal, K.; Khadka, N.; Ali, M.; Subedi, M.; Hussain, G.; Ehsan, M.A.; Saeed, S.; Dawadi, B. Projected Drought Conditions over Southern Slope of the Central Himalaya Using CMIP6 Models. Earth Syst. Environ. 2021, 5, 849–859. [Google Scholar] [CrossRef]
- Song, Y.H.; Shahi, A.; Chung, E.S. Differences in multi−model ensembles of CMIP5 and CMIP6 projections for future droughts in South Korea. Int. J. Climatol. 2022, 42, 2688–2716. [Google Scholar] [CrossRef]
- Stagge, J.H.; Tallaksen, L.M.; Gudmundsson, L.; Van Loon, A.F.; Stahl, K. Candidate Distributions for Climatological Drought Indices (SPI and SPEI). Int. J. Climatol. 2015, 35, 4027–4040. [Google Scholar] [CrossRef]
- Monish, N.T.; Rehana, S. Suitability of distributions for standard precipitation and evapotranspiration index over meteorologically homogeneous zones of India. J. Earth Syst. Sci. 2019, 129, 25. [Google Scholar] [CrossRef]
- Mann, H.B. Non−parametric tests against trend. Econometrica 1945, 12, 245–259. [Google Scholar] [CrossRef]
- Wu, X.; Zhang, R.; Bento, V.A.; Leng, S.; Qi, J.; Zeng, J.; Wang, Q. The Effect of Drought on Vegetation Gross Primary Productivity under Different Vegetation Types across China from 2001 to 2020. Remote Sens. 2022, 14, 4658. [Google Scholar] [CrossRef]
- Zhang, R.; Wu, X.; Zhou, X.; Ren, B.; Zeng, J.; Wang, Q. Investigating the effect of improved drought events extraction method on spatiotemporal characteristics of drought. Theor. Appl. Climatol. 2021, 147, 395–408. [Google Scholar] [CrossRef]
- Ghosh, K.G. Analysis of Rainfall Trends and its Spatial Patterns During the Last Century over the Gangetic West Bengal, Eastern India. J. Geovis. Spat. Anal. 2018, 2, 15. [Google Scholar] [CrossRef]
- Wang, Q.F.; Tang, J.; Zeng, J.Y.; Qu, Y.P.; Zhang, Q.; Shui, W.; Wang, W.L.; Yi, L.; Leng, S. Spatial−temporal evolution of vegetation evapotranspiration in Hebei Province, China. J. Integr. Agric. 2018, 17, 2107–2117. [Google Scholar] [CrossRef]
- Helali, J.; Salimi, S.; Lotfi, M.; Hosseini, S.A.; Bayat, A.; Ahmadi, M.; Naderizarneh, S. Investigation of the effect of large−scale atmospheric signals at different time lags on the autumn precipitation of Iran’s watersheds. Arab. J. Geosci. 2020, 13, 932. [Google Scholar] [CrossRef]
- Wu, J.F.; Tan, X.Z.; Chen, X.H.; Lin, K.R. Dynamic changes of the dryness/wetness characteristics in the largest river basin of South China and their possible climate driving factors. Atmos. Res. 2020, 232, 104685. [Google Scholar] [CrossRef]
- Yang, R.; Xing, B. Teleconnections of Large−Scale Climate Patterns to Regional Drought in Mid−Latitudes: A Case Study in Xinjiang, China. Atmosphere 2022, 13, 230. [Google Scholar] [CrossRef]
- Wang, H.; Chen, Y.; Pan, Y.; Li, W. Spatial and temporal variability of drought in the arid region of China and its relationships to teleconnection indices. J. Hydrol. 2015, 523, 283–296. [Google Scholar] [CrossRef]
- Wang, Q.; Wu, J.; Li, X.; Zhou, H.; Yang, J.; Geng, G.; An, X.; Liu, L.; Tang, Z. A comprehensively quantitative method of evaluating the impact of drought on crop yield using daily multi−scale SPEI and crop growth process model. Int. J. Biometeorol. 2017, 61, 685–699. [Google Scholar] [CrossRef]
- Ukkola, A.M.; De Kauwe, M.G.; Roderick, M.L.; Abramowitz, G.; Pitman, A.J. Robust Future Changes in Meteorological Drought inCMIP6Projections Despite Uncertainty in Precipitation. Geophys. Res. Lett. 2020, 47, e2020GL087820. [Google Scholar] [CrossRef]
- George, H.H.; Zohrab, A.S. Reference Crop Evapotranspiration from Temperature. Appl. Eng. Agric. 1985, 1, 96–99. [Google Scholar] [CrossRef]
- Spinoni, J.; Barbosa, P.; Bucchignani, E.; Cassano, J.; Cavazos, T.; Cescatti, A.; Christensen, J.H.; Christensen, O.B.; Coppola, E.; Evans, J.; et al. Global exposure of population and land−use to meteorological droughts under different Warming Levels and Shared Socioeconomic Pathways: A Coordinated Regional Climate Downscaling Experiment−based study. Int. J. Climatol. 2021, 41, 6825–6853. [Google Scholar] [CrossRef]
- Liu, Y.; Liu, Y.; Wang, W. Inter−comparison of satellite−retrieved and Global Land Data Assimilation System−simulated soil moisture datasets for global drought analysis. Remote Sens. Environ. 2019, 220, 1–18. [Google Scholar] [CrossRef]
- Raji, S.A.; Odunuga, S.; Fasona, M. Spatially Explicit Scenario Analysis of Habitat Quality in a Tropical Semi−arid Zone: Case Study of the Sokoto−Rima Basin. J. Geovis. Spat. Anal. 2022, 6, 11. [Google Scholar] [CrossRef]
- Wang, T.; Tu, X.; Singh, V.P.; Chen, X.; Lin, K. Global data assessment and analysis of drought characteristics based on CMIP6. J. Hydrol. 2021, 596, 126091. [Google Scholar] [CrossRef]
- Zhao, P.; Lü, H.; Yang, H.; Wang, W.; Fu, G. Impacts of climate change on hydrological droughts at basin scale: A case study of the Weihe River Basin, China. Quat. Int. 2019, 513, 37–46. [Google Scholar] [CrossRef]
- Zeng, J.; Zhang, R.; Qu, Y.; Bento, V.A.; Zhou, T.; Lin, Y.; Wu, X.; Qi, J.; Shui, W.; Wang, Q. Improving the drought monitoring capability of VHI at the global scale via ensemble indices for various vegetation types from 2001 to 2018. Weather Clim. Extrem. 2022, 35, 100412. [Google Scholar] [CrossRef]
- Ghasemloo, N.; Matkan, A.A.; Alimohammadi, A.; Aghighi, H.; Mirbagheri, B. Estimating the Agricultural Farm Soil Moisture Using Spectral Indices of Landsat 8, and Sentinel−1, and Artificial Neural Networks. J. Geovis. Spat. Anal. 2022, 6, 19. [Google Scholar] [CrossRef]
- Vetter, T.; Reinhardt, J.; Flörke, M.; van Griensven, A.; Hattermann, F.; Huang, S.; Koch, H.; Pechlivanidis, I.G.; Plötner, S.; Seidou, O.; et al. Evaluation of sources of uncertainty in projected hydrological changes under climate change in 12 large−scale river basins. Clim. Chang. 2016, 141, 419–433. [Google Scholar] [CrossRef]













| Data | Description | Unit | Spatial Resolution | Period |
|---|---|---|---|---|
| pr | Precipitation (include both liquid and solid phases) | kg m−2 s−1 | 100 km | 2016–2100 |
| rsds | Surface Downwelling Shortwave Radiation (surface solar irradiance for UV calculations) | W m−1 | 100 km | 2016–2100 |
| tasmax tasmin | Daily Maximum Near−Surface Air Temperature Daily Maximum Near−Surface Air Temperature | K K | 100 km 100 km | 2016–2100 2016–2100 |
| Categorization | SPEI Values |
|---|---|
| Extremely Wet | SPEI ≥ 2 |
| Severely Wet | 1.5 ≤ SPEI < 2 |
| Moderately Wet | 1 ≤ SPEI < 1.5 |
| Mildly Wet | 0.5 < SPEI < 1 |
| Normal | −0.5 ≤ SPEI ≤ 0.5 |
| Mild Drought | −1 < SPEI < −0.5 |
| Moderate Drought | −1.5 < SPEI ≤ −1 |
| Severe Drought | −2 < SPEI ≤ −1.5 |
| Extreme Drought | SPEI ≤ −2 |
Disclaimer/Publisher’s Note: The statements, opinions and data contained in all publications are solely those of the individual author(s) and contributor(s) and not of MDPI and/or the editor(s). MDPI and/or the editor(s) disclaim responsibility for any injury to people or property resulting from any ideas, methods, instructions or products referred to in the content. |
© 2023 by the authors. Licensee MDPI, Basel, Switzerland. This article is an open access article distributed under the terms and conditions of the Creative Commons Attribution (CC BY) license (https://creativecommons.org/licenses/by/4.0/).
Share and Cite
Xu, F.; Bento, V.A.; Qu, Y.; Wang, Q. Projections of Global Drought and Their Climate Drivers Using CMIP6 Global Climate Models. Water 2023, 15, 2272. https://doi.org/10.3390/w15122272
Xu F, Bento VA, Qu Y, Wang Q. Projections of Global Drought and Their Climate Drivers Using CMIP6 Global Climate Models. Water. 2023; 15(12):2272. https://doi.org/10.3390/w15122272
Chicago/Turabian StyleXu, Feng, Virgílio A. Bento, Yanping Qu, and Qianfeng Wang. 2023. "Projections of Global Drought and Their Climate Drivers Using CMIP6 Global Climate Models" Water 15, no. 12: 2272. https://doi.org/10.3390/w15122272
APA StyleXu, F., Bento, V. A., Qu, Y., & Wang, Q. (2023). Projections of Global Drought and Their Climate Drivers Using CMIP6 Global Climate Models. Water, 15(12), 2272. https://doi.org/10.3390/w15122272

