Effect of Working Pressure on the Anticlogging Performance of Micro-Sprinkling Hose with Different Structures
Abstract
1. Introduction
2. Materials and Methods
2.1. Material and Devices
2.2. Experimental Design
2.3. Testing Method
2.4. Evaluation Index and Determination Method
3. Results and Analysis
3.1. Dynamic Changes in Dra of Micro-Sprinkling Hoses
3.2. Dynamic Changes for CU of Micro-Sprinkling Hoses
3.3. Clogging Position of Micro-Sprinkling Hose
3.4. Mass of Sediment Particles
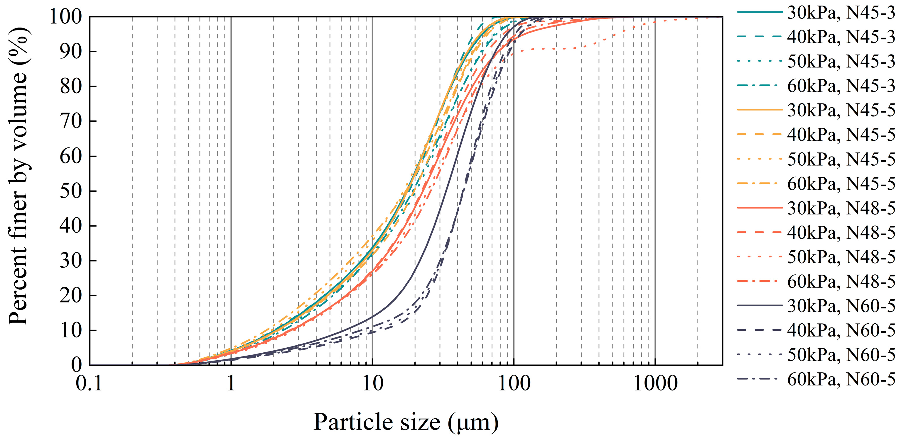
3.5. Characteristics of Deposited Sediment
4. Discussion
4.1. The Effect of Working Pressure on Micro-Sprinkling Hose Clogging
4.2. The Effect of Micro-Sprinkling Hose Structure on Deposited Sediment
5. Conclusions
- When the working pressure was lower (30 and 40 kPa), the micro-sprinkling hose was prone to overall clogging, as well as more severe clogging. However, when the working pressure was high (50 and 60 kPa), the micro-sprinkling hose mostly exhibited local clogging. The working pressure and the structure of the micro-sprinkling hose together affected the anticlogging performance.
- The structure of the micro-sprinkling hose affected the clogging development through its influence on the mass and gradation of sediment deposited. The larger the folded diameter, the more serious the sediment coarsening within the micro-sprinkling hose.
- Considering the uniformity and anticlogging performance, this study suggested prioritizing N45-5 micro-sprinkling hoses in practical applications among the four kinds of micro-sprinkling hoses, followed by N45-3.
Author Contributions
Funding
Data Availability Statement
Acknowledgments
Conflicts of Interest
References
- Li, J.; Xu, X.; Lin, G.; Wang, Y.; Liu, Y.; Zhang, M.; Zhou, J.; Wang, Z.; Zhang, Y. Micro-irrigation improves grain yield and resource use efficiency by co-locating the roots and n-fertilizer distribution of winter wheat in the north china plain. Sci. Total Environ. 2018, 643, 367–377. [Google Scholar] [CrossRef] [PubMed]
- Zhang, X.; Wu, Z.; Shen, X. Research and application of porous micro-sprinkling hose. Water Sav. Irrig. 2000, 3, 32–35. [Google Scholar]
- Xu, R. Factors Influencing the Uniformity of Fertilization in Micro Spray Belt Irrigation; Northwest A&F University: Xianyang, China, 2020; p. 63. [Google Scholar]
- Feng, J.; Li, Y.K.; Liu, Z.Y.; Muhammad, T.; Wu, R.N. Composite clogging characteristics of emitters in drip irrigation systems. Irrig. Sci. 2019, 37, 105–122. [Google Scholar] [CrossRef]
- Zhang, W.; Lv, C.; Zhao, X.; Dong, A.; Niu, W. The influence mechanism of the main suspended particles of yellow river sand on the emitter clogging—An attempt to improve the irrigation water utilization efficiency in yellow river basin. Agric. Water Manag. 2021, 258, 107202. [Google Scholar] [CrossRef]
- Bucks, D.A.; Nakayama, F.S.; Gilbert, R.G. Trickle irrigation water quality and preventive maintenance. Agric. Water Manag. 1979, 2, 149–162. [Google Scholar] [CrossRef]
- Bounoua, S.; Tomas, S.; Labille, J.; Molle, B.; Granier, J.; Haldenwang, P.; Izzati, S.N. Understanding physical clogging in drip irrigation: In situ, in-lab and numerical approaches. Irrig. Sci. 2016, 34, 327–342. [Google Scholar] [CrossRef]
- Li, Q.; Song, P.; Zhou, B.; Xiao, Y.; Muhammad, T.; Liu, Z.Y.; Zhou, X.H.; Li, Y.K. Mechanism of intermittent fluctuated water pressure on emitter clogging substances formation in drip irrigation system utilizing high sediment water. Agric. Water Manag. 2019, 215, 16–24. [Google Scholar] [CrossRef]
- Niu, W.Q.; Liu, L.; Chen, X. Influence of fine particle size and concentration on the clogging of labyrinth emitters. Irrig. Sci. 2013, 31, 545–555. [Google Scholar] [CrossRef]
- Wei, Z.Y.; Cao, M.; Liu, X.; Tang, Y.P.; Lu, B.H. Flow behaviour analysis and experimental investigation for emitter micro-channels. Chin. J. Mech. Eng. 2012, 25, 729–737. [Google Scholar] [CrossRef]
- Zhang, J.; Zhao, W.H.; Tang, Y.P.; Wei, Z.Y.; Lu, B.H. Numerical investigation of the clogging mechanism in labyrinth channel of the emitter. Int. J. Numer. Methods Eng. 2007, 70, 1598–1612. [Google Scholar] [CrossRef]
- Zhang, J.; Zhao, W.H.; Tang, Y.P.; Lu, B.H. Anti-clogging performance evaluation and parameterized design of emitters with labyrinth channels. Comput. Electron. Agric. 2010, 74, 59–65. [Google Scholar] [CrossRef]
- Zhang, W.; Niu, W.; Li, G.; Wang, J.; Wang, Y.; Dong, A. Lateral inner environment changes and effects on emitter clogging risk for different irrigation times. Agric. Water Manag. 2020, 233, 106069. [Google Scholar] [CrossRef]
- Levin, I.; Rooyen, P.; Rooyen, F. The Effect of Discharge Rate and Intermittent Water Application by Point-Source Irrigation on the Soil Moisture Distribution Pattern. Soil Sci. Soc. Am. J. 1979, 43, 8–16. [Google Scholar] [CrossRef]
- Elmaloglou, S.; Diamantopoulos, E. Effects of hysteresis on redistribution of soil moisture and deep percolation at continuous and pulse drip irrigation. Agric. Water Manag. 2009, 96, 533–538. [Google Scholar] [CrossRef]
- Jackson, R.C.; Kay, M.G. Use of pulse irrigation for reducing clogging problems in trickle emitters. J. Agric. Eng. Res. 1987, 37, 223–227. [Google Scholar] [CrossRef]
- Ravina, I.; Paz, E.; Sofer, Z.; Marm, A.; Lev, Y. Control of clogging in drip irrigation with stored treated municipal sewage effluent. Agric. Water Manag. 1997, 33, 127–137. [Google Scholar] [CrossRef]
- Zhou, B.; Feng, J.; Zhang, X.; Wu, Z.; Shen, X. Characteristics and indexes of water distribution of punched thin-soft tape for spray. Trans. Chin. Soc. Agric. Eng. 2003, 4, 101–103. [Google Scholar]
- Di, Z.; Yang, L.; Gou, W.; Wang, J. Model establishment of spraying width of thin-walled micro-sprinkling hose. Trans. Chin. Soc. Agric. Eng. 2019, 35, 28–34. [Google Scholar]
- Wu, Z.; Zhang, X. Experimental study on frictional head loss of micro-sprinkling hose. Water Sav. Irrig. 2011, 8, 40–42. [Google Scholar]
- Bai, S.; Wan, S.; Kang, Y.; Liu, S.; Jiao, Y. Irrigation parameters of different micro-sprinkling hoses under crop shading. J. Irrig. Drain. 2015, 34, 27–32. [Google Scholar] [CrossRef]
- Wang, W.; Wang, W.; Hu, X. Effect of wheat shade on the uniformity of micro-sprinkling irrigation. J. China Agric. Univ. 2021, 26, 16–23. [Google Scholar]
- Man, J.G.; Yu, J.S.; White, P.J.; Gu, S.B.; Zhang, Y.L.; Guo, Q.F.; Shi, Y.; Wang, D. Effects of supplemental irrigation with micro-sprinkling hoses on water distribution in soil and grain yield of winter wheat. Field Crop. Res. 2014, 161, 26–37. [Google Scholar] [CrossRef]
- Bingxin, W.; Zhenwen, Y.; Yu, S.; Junye, Z.; Yuqiu, W. Effect of micro-sprinkling irrigation by different lengths hose on water consumption characteristics and grain yield of wheat. J. Triticeae Crop. 2018, 38, 90–96. [Google Scholar]
- Han, S.Q.; Li, Y.K.; Zhou, B.; Liu, Z.Y.; Feng, J.; Xiao, Y. An in-situ accelerated experimental testing method for drip irrigation emitter clogging with inferior water. Agric. Water Manag. 2019, 212, 136–154. [Google Scholar] [CrossRef]
- Alandi, P.P.; Martin-Benito, J.; Alvarez, J.; Martinez, M. Design of water distribution networks for on-demand irrigation. Irrig. Sci. 2001, 20, 189–201. [Google Scholar] [CrossRef]
- NY/T1361-2007; Agricultural Irrigation Equipment-Micro-Sprinkling Hose. Ministry of Agriculture of the People’s Republic of China: Beijing, China, 2007.
- Gou, W. Experimental Study on Hydraulic Performance of Thin Wall Micro Spray Belt; Tianjin Agricultural University: Tianjin, China, 2019; p. 72. [Google Scholar]
- Li, Y.K.; Song, P.; Pei, Y.T.; Feng, J. Effects of lateral flushing on emitter clogging and biofilm components in drip irrigation systems with reclaimed water. Irrig. Sci. 2015, 33, 235–245. [Google Scholar] [CrossRef]
- Groenevelt, P.H.; Grant, C.D. Re-evaluation of the structural properties of some british swelling soils. Eur. J. Soil Sci. 2001, 52, 469–477. [Google Scholar] [CrossRef]
- Duran-Ros, M.; Puig-Bargues, J.; Arbat, G.; Barragan, J.; de Cartagena, F.R. Effect of filter, emitter and location on clogging when using effluents. Agric. Water Manag. 2009, 96, 67–79. [Google Scholar] [CrossRef]
- Verney, R.; Lafite, R.; Brun-Cottan, J.C.; Le Hir, P. Behaviour of a floc population during a tidal cycle: Laboratory experiments and numerical modelling. Cont. Shelf Res. 2011, 31, S64–S83. [Google Scholar] [CrossRef]
- Manning, A.J.; Dyer, K.R. A laboratory examination of floc characteristics with regard to turbulent shearing. Mar. Geol. 1999, 160, 147–170. [Google Scholar] [CrossRef]
- Wang, D.W.; Ji, Z.W.; Di Dong, Z.; Hu, H.H. Mechanism of sediment flocs formation in the three gorges reservoir. Adv. Mater. Res. 2014, 3248, 955–959. [Google Scholar] [CrossRef]
- Forbes, E. Shear, selective and temperature responsive flocculation: A comparison of fine particle flotation techniques. Int. J. Miner. Process. 2011, 99, 1–10. [Google Scholar] [CrossRef]
- Garcia-Fernandez, I.; Polo-Lopez, M.I.; Oller, I.; Fernandez-Ibanez, P. Bacteria and fungi inactivation using fe3+/sunlight, H2O2/sunlight and near neutral photo-fenton: A comparative study. Appl. Catal. B-Environ. 2012, 121, 20–29. [Google Scholar] [CrossRef]
- Mehta, A.J.; Lee, S.C. Problems in linking the threshold condition for the transport of cohesionless and cohesive sediment grain. J. Coast. Res. 1994, 10, 170–177. [Google Scholar]
- Kim, A.S.; Stolzenbach, K.D. Aggregate formation and collision efficiency in differential settling. J. Colloid Interface Sci. 2004, 271, 110–119. [Google Scholar] [CrossRef]











| Micro-sprinkling Hose Number | Folded Diameter (mm) | Diameter (mm) | Length of Orifice Cluster L1 (mm) | Orifice Cluster Spacing L2 (mm) | Average Orifice Size (mm) | Number of Orifices in Single Cycle Orifice Cluster | Recommended Working Pressure (kPa) | Pressure–Flow Relationship |
|---|---|---|---|---|---|---|---|---|
| N45-3 | 45 | 28.65 | 100 | 100 | 0.801 | 3 | 25–65 | q = 0.43H0.88; R2 = 0.97 |
| N45-5 | 45 | 28.65 | 100 | 160 | 0.835 | 5 | 25–65 | q = 0.95H0.69; R2 = 0.99 |
| N48-5 | 48 | 30.56 | 100 | 150 | 0.924 | 5 | 25–65 | q = 1.38H0.57; R2 = 0.99 |
| N60-5 | 60 | 38.20 | 115 | 115 | 0.907 | 5 | 25–65 | q = 1.07H0.61; R2 = 0.98 |
| Particle Size (μm) | Volume Fraction (%) | Particle Size (μm) | Volume Fraction (%) |
|---|---|---|---|
| <0.767 | 2.436 | 21.205–31.100 | 16.901 |
| 0.767–2.131 | 7.012 | 31.100–45.613 | 17.938 |
| 2.131–5.207 | 10.066 | 45.613–66.897 | 12.510 |
| 5.207–12.726 | 13.147 | 66.897–86.355 | 4.101 |
| 12.726–21.205 | 14.134 | 86.355–163.490 | 1.754 |
| Level | Factor | |
|---|---|---|
| Working Pressure H (kPa) | Micro-Sprinkling Hose Structure S | |
| 1 | 30 | N45-3 |
| 2 | 40 | N45-5 |
| 3 | 50 | N48-5 |
| 4 | 60 | N60-5 |
| H (kPa) | N45-3 | N45-5 | N48-5 | N60-5 |
|---|---|---|---|---|
| 30 | 78.08 b | 92.73 b | 79.13 a | 77.27 b |
| 40 | 90.76 a | 94.07 b | 64.01 b | 84.78 ab |
| 50 | 81.48 b | 99.21 a | 53.59 b | 90.20 a |
| 60 | 92.78 a | 99.20 a | 68.84 ab | 77.09 b |
| H (kPa) | N45-3 | N45-5 | N48-5 | N60-5 |
|---|---|---|---|---|
| 30 | 76.58 b | 93.56 a | 85.05 a | 85.27 ab |
| 40 | 85.80 a | 93.73 a | 71.82 b | 86.05 ab |
| 50 | 91.88 a | 93.49 a | 70.78 b | 89.98 a |
| 60 | 91.24 a | 95.16 a | 75.99 b | 83.28 b |
| Working Pressure (kPa) Label | 30 | 40 | 50 | 60 |
|---|---|---|---|---|
| N45-3 | 0.31–143.90 | 0.31–86.36 | 0.31–185.75 | 0.31–185.75 |
| N45-5 | 0.31–111.47 | 0.31–143.90 | 0.31–126.65 | 0.31–111.47 |
| N48-5 | 0.31–859.45 | 0.31–665.79 | 0.31–665.79 | 0.31–665.79 |
| N60-5 | 0.36–185.75 | 0.36–211.04 | 0.36–515.77 | 0.36–239.78 |
Disclaimer/Publisher’s Note: The statements, opinions and data contained in all publications are solely those of the individual author(s) and contributor(s) and not of MDPI and/or the editor(s). MDPI and/or the editor(s) disclaim responsibility for any injury to people or property resulting from any ideas, methods, instructions or products referred to in the content. |
© 2023 by the authors. Licensee MDPI, Basel, Switzerland. This article is an open access article distributed under the terms and conditions of the Creative Commons Attribution (CC BY) license (https://creativecommons.org/licenses/by/4.0/).
Share and Cite
Wei, R.; Wang, H.; Wang, W.; Hu, X.; Wang, W. Effect of Working Pressure on the Anticlogging Performance of Micro-Sprinkling Hose with Different Structures. Water 2023, 15, 2251. https://doi.org/10.3390/w15122251
Wei R, Wang H, Wang W, Hu X, Wang W. Effect of Working Pressure on the Anticlogging Performance of Micro-Sprinkling Hose with Different Structures. Water. 2023; 15(12):2251. https://doi.org/10.3390/w15122251
Chicago/Turabian StyleWei, Rong, Hui Wang, Wenjuan Wang, Xiaotao Hu, and Wene Wang. 2023. "Effect of Working Pressure on the Anticlogging Performance of Micro-Sprinkling Hose with Different Structures" Water 15, no. 12: 2251. https://doi.org/10.3390/w15122251
APA StyleWei, R., Wang, H., Wang, W., Hu, X., & Wang, W. (2023). Effect of Working Pressure on the Anticlogging Performance of Micro-Sprinkling Hose with Different Structures. Water, 15(12), 2251. https://doi.org/10.3390/w15122251
