Water Use Efficiency in Young Citrus Trees on Metalized UV Reflective Mulch Compared to Bare Ground
Abstract
1. Introduction
2. Materials and Methods
2.1. Site Description
2.2. Irrigation, Mulch and Experimental Design
2.3. Estimation of Soil Moisture in the Irrigated Zone by Using Soil Moisture Sensors
2.4. Estimation of Stem Flow
2.5. Tree Measurements
2.6. Data Analysis
3. Results and Discussion
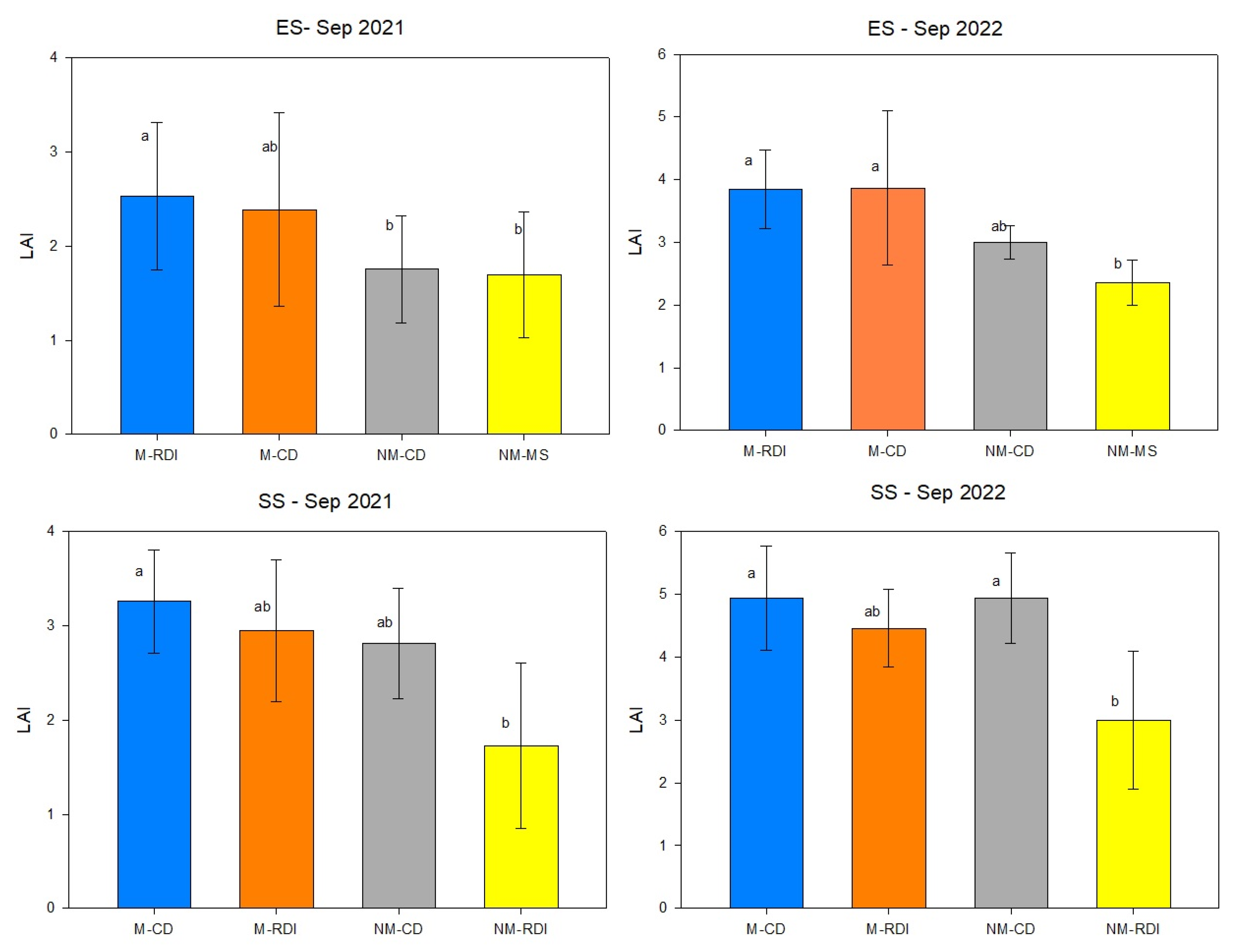
3.1. Tree Characteristics
3.2. Sensor-Based Soil Moisture Distribution in the Irrigated Zone
3.3. Hourly Water Use
4. Conclusions
Author Contributions
Funding
Data Availability Statement
Acknowledgments
Conflicts of Interest
References
- Greer, L.; Dole, J.M. Aluminum foil, aluminium-painted, plastic, and degradable mulches increase yields. Hort. Technol. 2003, 13, 276–284. [Google Scholar] [CrossRef]
- Adlerz, W.C.; Everett, P.H. Aluminum foil and white polyethylene mulches to repel aphids and control watermelon mosaic. J. Econ. Entomol. 1968, 61, 1276–1279. [Google Scholar] [CrossRef]
- Wolfenbarger, D.O.; Moore, W.D. Insect abundance on tomatoes and squash mulched with aluminum and plastic sheeting. J. Econ. Entomol 1968, 61, 34–36. [Google Scholar] [CrossRef]
- Moore, W.D.; Smith, F.F.; Johnson, G.V.; Wolfenbarger, D.O. Reduction of aphid populations and delayed incidence of virus infection on yellow straight neck squash by the use of aluminum foil. Proc. Fla. State Hort. Soc. 1965, 70, 187–191. [Google Scholar]
- El-Beltagi, H.S.; Basit, A.; Mohamed, H.I.; Ali, I.; Ullah, S.; Kamel, E.A.; Shalaby, T.A.; Ramadan, K.M.A.; Alkhateeb, A.A.; Ghazzawy, H.S. Mulching as a sustainable water and soil saving practice in agriculture: A review. Agronomy 2022, 12, 1881. [Google Scholar] [CrossRef]
- Simpson, C.; Setamou, M.; Nelson, S.D. Evaluation of citrus grove floor management strategies for water use efficiency and conservation. Sci. Hortic. 2023, 309, 111680. [Google Scholar] [CrossRef]
- Jamir, A.; Dutta, M. Effect of mulching on important soil physico-chemical properties of Khasi mandarin (Citrus reticulata Blanco) orchard under mid-hill region of Nagaland. J. Pharmacogn. Phytochem. 2020, 9, 2854–2858. [Google Scholar]
- Kher, R.; Baba, J.A.; Bakshi, P.; Wali, V.K. Effect of planting time and mulching material on quality of strawberry. J. Res. SKUAST 2010, 9, 54–62. [Google Scholar]
- Kumar, V.; Kumar, R.; Singh, V.; Chand, G.; Kumar, J.; Singh, B.; Dhotra, B. Productivity and water use efficiency of kinnow mandarin (citrus reticulate blanco) as influenced by drip trickle irrigation and hydrogel. Ann. Plant Soil Res. 2021, 23, 363–367. [Google Scholar] [CrossRef]
- Kumar, V.; Singh, V.B.; Sohan, P.; Khajuria, S. Effect of Various Mulches on soil moisture content, soil properties, growth and yield of Kinnow under rainfed Condition. Int. J. Agric. Sci. 2014, 10, 225–229. [Google Scholar]
- Kumar, V.; Chand, G. Impact of drip/trickle irrigation and hydrogel with mulch on nutrient status, yield and quality of Kinnow mandarin. J. Soil Water Conserv. 2022, 21, 293–298. [Google Scholar] [CrossRef]
- Wang, Y.; Fu, X.; He, W.; Chen, Q.; Wang, X. Effect of Plastic Film Mulching on Fruit Quality of Citrus grandis cv. ‘Hongroumiyou’ and ‘Sanhongmiyou’. IOP Conf. Ser. Earth Environ. Sci. 2019, 358, 022030. [Google Scholar] [CrossRef]
- Shirgure, P.S. Sustainable acid lime fruit production and soil moisture conservation with different mulches. Agric. Eng. Today 2012, 36, 21–26. [Google Scholar]
- Kher, R.; Baba, J.A.; Bakshi, P. Influence of planting time and mulching material on growth and fruit yield of strawberry cv. Chandler. Indian J. Hortic. 2010, 67, 441–444. [Google Scholar]
- Lalruatsangi, E.; Hazarika, B.N. Effect of Various Mulching Materials on Crop Production and Soil Health in Acid Lime (Citrus aurantifolia Swingle). Int. J. Agric. Environ. Biotechnol. 2018, 11, 311–317. [Google Scholar]
- Ahmad, A.; Yaseen, M.; Hussain, H.; Tahir, M.N.; Gondal, A.H.; Iqbal, M.; Aziz, A.; Irfan, M.; Ahmad, Z. Effects of Mulching on Crop Growth, Productivity and Yield. In Mulching in Agroecosystems: Plants, Soil & Environment; Springer: Singapore, 2022; pp. 215–229. [Google Scholar]
- Jackman, R.; Marshall, R.; Petley, M.; Requejo, C.; Amos, R.; Williams, M. Crisp fleshed peaches: How to maximize fruit quality for the consumer. Orchardist 2004, 77, 10–12. [Google Scholar]
- Weber, S.; Damerow, L.; Kunz, A.; Blanke, M. Anthocyanin synthesis and light utilisation can be enhanced by reflective mulch–visualisation of light penetration into a tree canopy. J. Plant Physiol. 2019, 233, 52–57. [Google Scholar] [CrossRef]
- Morgan, K.; Obreza, T.; Scholberg, J.; Parsons, L.; Wheaton, T. Citrus water uptake dynamics on a sandy Florida Entisol. Soil Sci. Soc. Am. J. 2006, 70, 90–97. [Google Scholar] [CrossRef]
- Kiggundu, N.; Migliaccio, K.W.; Schaffer, B.; Li, Y.; Crane, J.H. Water savings, nutrient leaching, and fruit yield in a young avocado orchard as affected by irrigation and nutrient management. Irrig. Sci. 2012, 30, 275–286. [Google Scholar] [CrossRef]
- Morgan, K.T.; Schumann, A.W.; Castle, W.S.; Stover, E.W.; Kadyampakeni, D.; Spyke, P.; Roka, F.M.; Muraro, R.; Morris, R.A. Citrus production systems to survive greening. Horticultural practices. Proc. Fla. State Hort. Soc. 2009, 122, 114–121. [Google Scholar]
- Schumann, A.W.; Syvertsen, J.P.; Morgan, K.T. Implementing advanced citrus production systems in Florida—Early results. Proc. Fla. State Hort. Soc. 2009, 122, 108–113. [Google Scholar]
- Morgan, K.T.; Kadyampakeni, D. Open field hydroponics: Concept and application. In Advances in Citrus Nutrition; Srivastava, A.K., Ed.; Springer: Dordrecht, The Netherlands, 2012; pp. 271–280. [Google Scholar]
- Martinez-Valero, R.; Fernandez, C. Preliminary results in citrus groves grown under the MOHT system. Int. Citrus Cong. Abstr. 2004, 1, 103. [Google Scholar]
- Falivene, S.; Goodwin, I.; Williams, D.; Boland, A.M. Open Hydroponics: Risks and Opportunities. Stage 1: General Principles and Literature Review. 2005. Available online: https://arapahocitrus.com/files/OHS_Stage_Publications.pdf (accessed on 2 May 2023).
- Stover, E.; Castle, W.S.; Spyke, P. The citrus grove of the future and its implications for Huanglongbing management. Proc. Fla. State Hort. Soc. 2008, 121, 155–159. [Google Scholar]
- Chai, Q.; Gan, Y.; Zhao, C.; Xu, H.L.; Waskom, R.M.; Niu, Y.; Siddique, K.H. Regulated deficit irrigation for crop production under drought stress. A review. Agron. Sustain. Dev. 2016, 36, 1–21. [Google Scholar] [CrossRef]
- Li, F.; Liang, J.; Kang, S.; Zhang, J. Benefits of alternate partial root-zone irrigation on growth, water and nitrogen use efficiencies modified by fertilization and soil water status in maize. Plant Soil 2007, 295, 279–291. [Google Scholar] [CrossRef]
- Ahmadi, S.H.; Agharezaee, M.; Kamgar-Haghighi, A.A.; Sepaskhah, A.R. Effects of dynamic and static deficit and partial root zone drying irrigation strategies on yield, tuber sizes distribution, and water productivity of two field grown potato cultivars. Agric. Water Manag. 2014, 134, 126–136. [Google Scholar] [CrossRef]
- Wang, Z.; Liu, F.; Kang, S.; Jensen, C.R. Alternate partial root-zone drying irrigation improves nitrogen nutrition in maize (Zea mays L.) leaves. Environ. Exp. Bot. 2012, 75, 36–40. [Google Scholar] [CrossRef]
- Badiee, F.; Selahvarzi, Y.; Abedi, B.; Sayyad-Amin, P. Effect of Deficit Irrigation and Hand Thinning on Post-harvest Quality of Apple Cv.‘Golab’. Erwerbs-Obstbau 2023, 65, 435–442. [Google Scholar] [CrossRef]
- Pliakoni, E.D.; Nanos, G.D.; Gil, M.I. Two-season study of the influence of regulated deficit irrigation and reflective mulch on individual and total phenolic compounds of nectarines at harvest and during storage. J. Agric. Food Chem. 2010, 58, 11783–11789. [Google Scholar] [CrossRef]
- Gelly, M.; Recasens, I.; Mata, M.; Arbones, A.; Rufat, J.; Girona, J.; Marsal, J. Effects of water deficit during stage II of peach fruit development and postharvest on fruit quality and ethylene production. J. Hortic. Sci. Biotechnol. 2003, 78, 324–330. [Google Scholar] [CrossRef]
- Girona, J.; Gelly, M.; Mata, M.; Arbones, A.; Rufat, J.; Marsal, J. Peach tree response to single and combined deficit irrigation regimes in deep soils. Agric. Water Manag. 2005, 72, 97–108. [Google Scholar] [CrossRef]
- Guizani, M.; Dabbou, S.; Maatallah, S.; Montevecchi, G.; Antonelli, A.; Serrano, M.; Hajlaoui, H.; Rezig, M.; Kilani-Jaziri, S. Evaluation of two water deficit models on phenolic profiles and antioxidant activities of different peach fruits parts. Chem. Biodivers. 2022, 19, e202100851. [Google Scholar] [CrossRef] [PubMed]
- Obreza, T.A.; Collins, M.E. Common soils used for citrus production in Florida. Univ. Florida Coop. Ext. Serv. 2008, SL, 193. [Google Scholar]
- Kadyampakeni, D.M.; Morgan, K.T.; Schumann, A.W.; Nkedi-Kizza, P.; Obreza, T.A. Water use in drip-and microsprinkler-irrigated citrus trees. Soil Sci. Soc. Am. J. 2014, 78, 1351–1361. [Google Scholar] [CrossRef]
- Ghoveisi, H.; Kadyampakeni, D.; Qureshi, J. Modeling Water Movement in Sandy Soil in Young Citrus Trees on Metalized UV Reflective Mulch Compared to Bare Ground Using Hydrus-2D. In Proceedings of the ASHS Annual Conference 2022, Chicago, IL, USA, 30 July–3 August 2022. [Google Scholar]
- Parsons, L.R.; Morgan, K.T. Management of Microsprinkler Systems for Florida Citrus; HS-958; University of Florida: Gainesville, FL, USA, 2004. [Google Scholar]
- Fares, A.; Alva, A.K. Soil water components based on capacitance probes in a sandy soil. Soil Sci. Soc. Am. J. 2000, 64, 311–318. [Google Scholar] [CrossRef]
- Ham, J.; Heilman, J.; Lascano, R. Determination of soil-water evaporation and transpiration from energy-balance and stem-flow measurements. Agric. For. Meteorol. 1990, 52, 287–301. [Google Scholar] [CrossRef]
- Croxton, S.D.; Stansly, P.A. Metalized polyethylene mulch to repel Asian citrus psyllid, slow spread of huanglongbing and improve growth of new citrus plantings. Pest Manag. Sci. 2014, 70, 318–323. [Google Scholar] [CrossRef]
- Kadyampakeni, D.M. Citrus Advanced Production System: Understanding Water and NPK Uptake and Leaching in Florida Flatwoods and Ridge Soils. Ph.D. Thesis, University Florida, Gainesville, FL, USA, 2012. [Google Scholar]
- Kadyampakeni, D.M.; Morgan, K.T.; Schumann, A.W.; Nkedi-Kizza, P. Effect of irrigation pattern and timing on root density of young citrus trees infected with Huanglongbing disease. Hort. Technol. 2014, 24, 209–221. [Google Scholar] [CrossRef]









| Site | Soil Depth | pH | OM | Sand | Silt | Clay | BD | Saturated HC | HC at FC | Saturated MC | MC at FC | Residual MC |
|---|---|---|---|---|---|---|---|---|---|---|---|---|
| cm | % | --------%------- | g/cm | ---------cm/h--------- | -----------cm3/cm3---------- | |||||||
| ES | 0–15 | 5.3 | 1.96 | 95.4 | 1.4 | 3.2 | 1.65 | 15.53 | 0.34 | 0.36 | 0.07 | 0.009 |
| ES | 15–30 | 4.9 | 1.56 | 94.8 | 2.3 | 2.9 | 1.64 | 15.94 | 0.31 | 0.33 | 0.10 | 0.009 |
| ES | 30–45 | 5.6 | 1.61 | 94.8 | 2.3 | 2.9 | 1.57 | 14.76 | 0.77 | 0.31 | 0.10 | 0.009 |
| ES | 45–60 | 5.4 | 1.28 | 95.1 | 1.8 | 3.1 | 1.68 | 15.73 | 0.11 | 0.42 | 0.09 | 0.009 |
| SS | 0–15 | 5.6 | 0.61 | 98.0 | 1.2 | 0.8 | 1.62 | 15.82 | 0.37 | 0.34 | 0.09 | 0.013 |
| SS | 15–30 | 5.2 | 0.41 | 97.2 | 2.7 | 0.1 | 1.62 | 13.97 | 0.15 | 0.36 | 0.10 | 0.013 |
| SS | 30–45 | 5.8 | 0.49 | 95.0 | 2.5 | 2.5 | 1.59 | 13.22 | 0.63 | 0.39 | 0.10 | 0.013 |
| SS | 45–60 | 5.9 | 0.27 | 88.5 | 1.4 | 7.1 | 1.61 | 14.57 | 0.35 | 0.32 | 0.10 | 0.013 |
| Site | Irrigation Method | Y0 | a | b | c | R2 | RMSE | p |
|---|---|---|---|---|---|---|---|---|
| g/h/cm2 | g/h2/cm2 | g/h3/cm2 | g/h4/cm2 | - | g/h/cm2 | - | ||
| ES | 1 M-RDI | −734.95 | 139.14 | −7.47 | 0.12 | 0.96 | 5.42 | 0.0001 |
| ES | M-CD | −450.38 | 94.16 | −5.84 | 0.114 | 0.99 | 1.38 | 0.0001 |
| ES | NM-CD | −328.55 | 68.45 | −4.05 | 0.073 | 0.98 | 1.68 | 0.0001 |
| ES | NM-MS | −148.61 | 31.15 | −1.68 | 0.026 | 0.91 | 2.35 | 0.0001 |
| SS | M-RDI | −283.7 | 59.26 | −3.66 | 0.07 | 0.94 | 1.99 | 0.0001 |
| SS | M-CD | −205.95 | 43.36 | −2.69 | 0.052 | 0.94 | 1.48 | 0.0001 |
| SS | NM-RDI | −182.34 | 37.81 | −2.32 | 0.044 | 0.95 | 1.24 | 0.0001 |
| SS | NM-CD | −179.7 | 37.79 | −2.34 | 0.045 | 0.94 | 1.32 | 0.0001 |
| Site | Irrigation Method | Y0 | a | b | R2 | RMSE | p |
|---|---|---|---|---|---|---|---|
| g/h/cm2 | g/h2/cm2 | g/h3/cm2 | - | g/h/cm2 | - | ||
| ES | 1 M-RDI | −375.60 | 61.30 | −2.08 | 0.93 | 26.100 | 0.0001 |
| ES | M-CD | −109.30 | 20.27 | −0.73 | 0.84 | 11.200 | 0.0001 |
| ES | NM-CD | −109.05 | 20.90 | −0.76 | 0.92 | 6.100 | 0.0001 |
| ES | NM-MS | −70.14 | 14.15 | −0.51 | 0.90 | 3.400 | 0.0001 |
| SS | M-RDI | −72.3 | 13.4 | −0.4895 | 0.83 | 3.54 | 0.0001 |
| SS | M-CD | −50.1 | 9.59 | −0.3501 | 0.83 | 2.53 | 0.0001 |
| SS | NM-RDI | −49.04 | 8.93 | −0.3224 | 0.84 | 2.15 | 0.0001 |
| SS | NM-CD | −44.87 | 8.58 | −0.3126 | 0.83 | 2.21 | 0.0001 |
Disclaimer/Publisher’s Note: The statements, opinions and data contained in all publications are solely those of the individual author(s) and contributor(s) and not of MDPI and/or the editor(s). MDPI and/or the editor(s) disclaim responsibility for any injury to people or property resulting from any ideas, methods, instructions or products referred to in the content. |
© 2023 by the authors. Licensee MDPI, Basel, Switzerland. This article is an open access article distributed under the terms and conditions of the Creative Commons Attribution (CC BY) license (https://creativecommons.org/licenses/by/4.0/).
Share and Cite
Ghoveisi, H.; Kadyampakeni, D.M.; Qureshi, J.; Diepenbrock, L. Water Use Efficiency in Young Citrus Trees on Metalized UV Reflective Mulch Compared to Bare Ground. Water 2023, 15, 2098. https://doi.org/10.3390/w15112098
Ghoveisi H, Kadyampakeni DM, Qureshi J, Diepenbrock L. Water Use Efficiency in Young Citrus Trees on Metalized UV Reflective Mulch Compared to Bare Ground. Water. 2023; 15(11):2098. https://doi.org/10.3390/w15112098
Chicago/Turabian StyleGhoveisi, Hossein, Davie Mayeso Kadyampakeni, Jawwad Qureshi, and Lauren Diepenbrock. 2023. "Water Use Efficiency in Young Citrus Trees on Metalized UV Reflective Mulch Compared to Bare Ground" Water 15, no. 11: 2098. https://doi.org/10.3390/w15112098
APA StyleGhoveisi, H., Kadyampakeni, D. M., Qureshi, J., & Diepenbrock, L. (2023). Water Use Efficiency in Young Citrus Trees on Metalized UV Reflective Mulch Compared to Bare Ground. Water, 15(11), 2098. https://doi.org/10.3390/w15112098

