Short-Term Effects of Forest Fire on Water Quality along a Headwater Stream in the Immediate Post-Fire Period
Abstract
1. Introduction
2. Materials and Methods
2.1. Site Description
2.2. Field Experiment and Laboratory Analysis
2.3. Data Calculation and Analysis
3. Results and Discussion
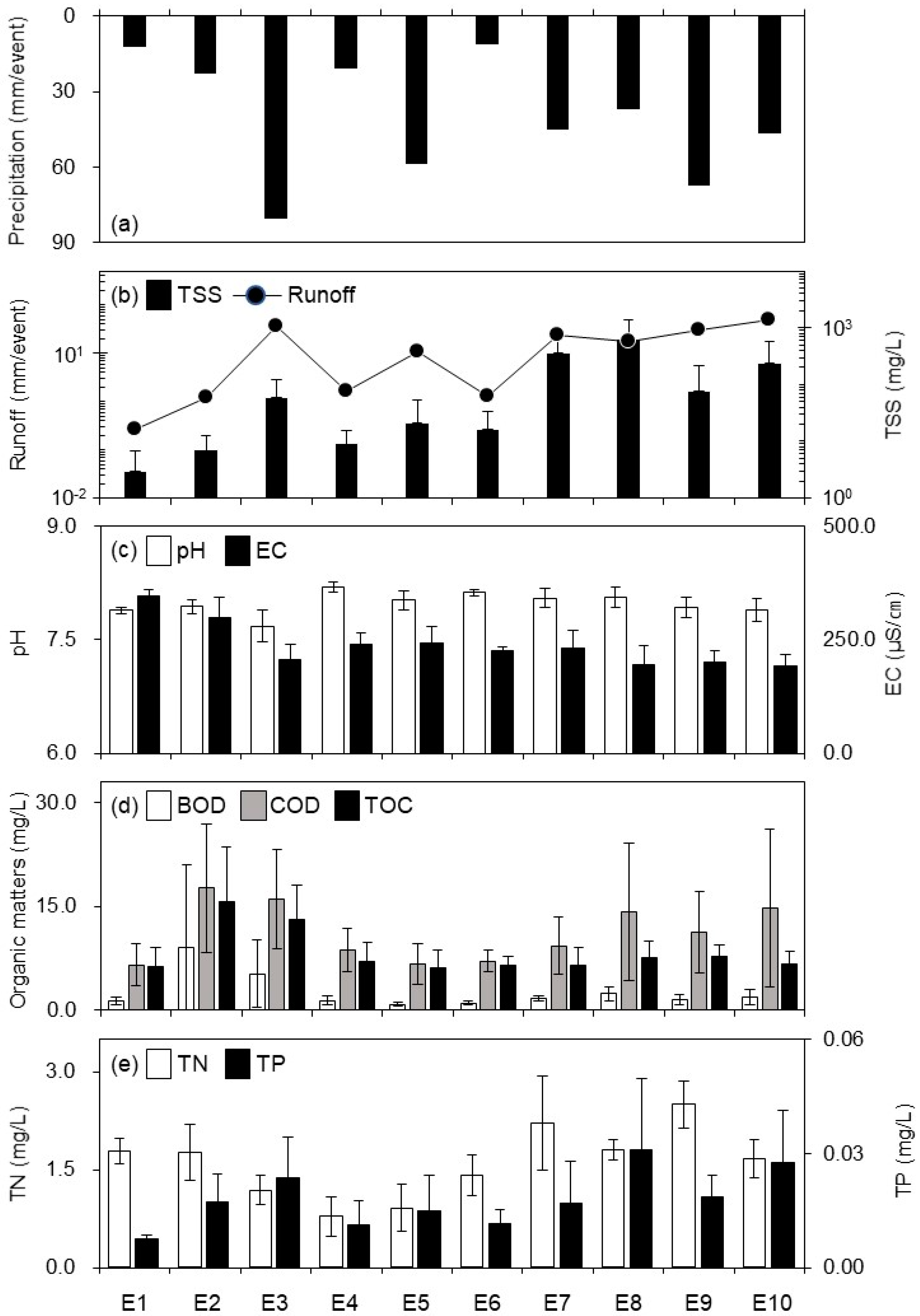
3.1. Temporal Variation in Water Quality of Headwater Stream in the Immediate Post-Fire Period
3.2. First-Flush Effects of Forest Fire on Water Quality in the Headwater Stream
3.3. Water Quality in the Headwater Stream in Response to Post-Fire and Seasonal Changes
3.4. Short-Term Effects of Initial Post-Fire Responses to Water Quality in the Headwater Stream
4. Summary and Conclusions
Author Contributions
Funding
Institutional Review Board Statement
Informed Consent Statement
Data Availability Statement
Conflicts of Interest
References
- Intergovernmental Panel on Climate Change (IPCC). Climate Change 2007: The Physical Science Basis—Summary for Policy Makers. Contribution of Working Group I to the Fourth Assessment Report of the Intergovernmental Panel on Climate Change; IPCC WGI 4th Assessment Report; IPCC: Cambridge, UK, 2007. [Google Scholar]
 - Ministry of Land, Infrastructure and Transport (MOLIT). The Long-Term Water Management Plan (2001–2020); Ministry of Land, Infrastructure and Transport: Sejong, Republic of Korea, 2016; p. 131.
 - Ministry of Environment (ME). Climate Change Outlook; Ministry of Environment: Sejong, Republic of Korea, 2019. Available online: http://eng.me.go.kr/eng/web/index.do?menuId=220 (accessed on 23 July 2019).
 - Westra, S.; Fowler, H.J.; Evans, J.P.; Alexander, L.V.; Berg, P.; Johnson, F.; Kendon, E.J.; Lenderink, G.; Roberts, N.M. Future changes to the intensity and frequency of short-duration extreme rainfall. Rev. Geophys. 2014, 52, 522–555. [Google Scholar] [CrossRef]
 - Kim, Y.H.; Kim, E.S.; Choi, M.J.; Shim, K.M.; Ahn, J.B. Evaluation of long-term seasonal predictability of heatwave over South Korea using PNU CGCM-WRF Chain. Atmosphere 2019, 29, 671–687. (In Korean) [Google Scholar]
 - Ahn, J.J. Lessons learned from major environmental health disasters in South Korea and the role of environmental health experts. J. Environ. Health Sci. 2022, 48, 9–18. (In Korean) [Google Scholar] [CrossRef]
 - Lee, J.K.; Kim, Y.O.; Kang, N. Analysis of climate change researches related to water resources in the Korean Peninsula, Korea. J. Climate Chang. Res. 2012, 3, 71–88. (In Korean) [Google Scholar]
 - Cho, S.J.; Kang, S.K.; Lee, D.R.; Kang, S.U. Evaluation on the water supply stability of Nakdong river basin based on future scenarios. J. Korea Water Resour. Assoc. 2018, 51, 1105–1115. (In Korean) [Google Scholar]
 - Giannakopoulos, C.; Le Sager, P.; Bindi, M.; Moriondo, M.; Kostopoulou, E.; Goodess, C.M. Climatic changes and associated impacts in the Mediterranean resulting from a 2 °C global warming. Glob. Planet. Chang. 2009, 68, 209–224. [Google Scholar] [CrossRef]
 - Bradstock, R.; Penman, T.; Boer, M.; Price, O.; Clarke, H. Divergent responses of fire to recent warming and drying across south-eastern Australia. Glob. Chang. Biol. 2014, 20, 1412–1428. [Google Scholar] [CrossRef]
 - Moody, J.A.; Martin, D.A. Wildfire impacts on reservoir sedimentation in the western United States. In Proceedings of the Ninth International Symposium on River Sedimentation, Yichang, China, 18–21 October 2004. [Google Scholar]
 - Mast, M.A.; Clow, D.W. Effects of 2003 wildfires on stream chemistry in Glacier National Park, Montana. Hydrol. Process. 2008, 22, 5013–5023. [Google Scholar] [CrossRef]
 - Smith, H.G.; Sheridan, G.J.; Lane, P.N.J.; Nyman, P.; Haydon, S. Wildfire effects on water quality in forest catchments: A review with implications for water supply. J. Hydrol. 2011, 396, 170–192. [Google Scholar] [CrossRef]
 - Korea Forest Service (KFS). Statistical Yearbook of Forest Fire; Korea Forest Service (KFS): Sejong, Republic of Korea, 2018.
 - Bae, M.; Chae, H. Regional characteristics of forest fire occurrences in Korea from 1990 to 2018. J. Korean Soc. Hazard Mitig. 2019, 19, 305–313. (In Korean) [Google Scholar] [CrossRef]
 - Abraham, J.; Dowling, K.; Florentine, S. Risk of post-fire metal mobilization into surface water resources: A review. Sci. Total Environ. 2017, 599–600, 1740–1755. [Google Scholar] [CrossRef] [PubMed]
 - Johnson, E.L. A study in the economics of water quality management. Water Resour. Res. 1967, 3, 291–305. [Google Scholar] [CrossRef]
 - Arabi, M.; Govindaraju, R.S.; Hantush, M.M. Cost-effective allocation of watershed management practices using a genetic algorithm. Water Resour. Res. 2006, 42, W10429. [Google Scholar] [CrossRef]
 - Ouyang, Y.; Nkedi-Kizza, P.; Wu, Q.T.; Shinde, D.; Huang, C.H. Assessment of seasonal variations in surface water quality. Water Res. 2006, 40, 3800–3810. [Google Scholar] [CrossRef] [PubMed]
 - Wang, J.; Da, L.; Song, K.; Li, B.-L. Temporal variations of surface water quality in urban, suburban and rural areas during rapid urbanization in Shanghai, China. Environ. Pollut. 2008, 152, 387–393. [Google Scholar] [CrossRef] [PubMed]
 - Kim, I.J.; Han, D.H. A Small Stream Management Plan to Protect the Aquatic Ecosystem; Korea Environment Institute Report (No. RE-09); Korea Environment Institute: Sejong, Republic of Korea, 2008; p. 149. (In Korean) [Google Scholar]
 - Korea Forest Service (KFS). Statistical Yearbook of Forestry 2019; Korea Forest Service: Daejeon, Republic of Korea, 2019; p. 44. (In Korean)
 - Jun, J.H.; Kim, K.H.; Yoo, J.Y.; Choi, H.T.; Jeong, Y.H. Variation of suspended solid concentration, electrical conductivity and pH of stream water in the regrowth and rehabilitation forested catchments. South Korea. J. Korean Soc. For. Sci. 2007, 96, 21–28. (In Korean) [Google Scholar]
 - Kim, S.W.; Chun, K.W.; Park, C.M.; Nam, S.Y.; Lim, Y.H.; Kim, Y.S. The morphologic characteristics of step pool structures in a steep mountain stream, Chuncheon, Gangwon-do. J. Korean Soc. For. Sci. 2011, 100, 202–211. (In Korean) [Google Scholar]
 - Dudley, N.; Stolton, S. Running Pure: The Importance of Forest Protected Areas to Drinking Water; Research Report for the World Bank and WWF Alliance for Forest Conservation and Sustainable Use; World Bank: Washington, DC, USA, 2003; ISBN 2-88085-262-5. [Google Scholar]
 - Meyer, J.L.; Strayer, D.L.; Wallace, J.B.; Eggert, S.L.; Helfman, G.S.; Leonard, N.E. The contribution of headwater streams to biodiversity in river networks. J. Am. Water Resour. Assoc. 2007, 43, 86–103. [Google Scholar] [CrossRef]
 - Park, J.C.; Lee, H.H. Variations of stream water quality caused by discharge change—At a watershed in Mt. Palgong. J. Korean Soc. For. Sci. 2000, 89, 342–355. (In Korean) [Google Scholar]
 - Meyer, J.L.; Wallace, J.B. Lost linkages and lotic ecology: Rediscovering small streams. In Ecology: Achievement and Challenge; Huntly, M.C., Levin, N.J., Eds.; Blackwell Scientific: Oxford, UK, 2001; pp. 295–317. [Google Scholar]
 - Gomi, T.; Sidle, R.C.; Richardson, J.S. Understanding processes and downstream linkages of headwater systems. Bioscience 2002, 52, 905–916. [Google Scholar] [CrossRef]
 - Won, M.; Yoon, S.; Jang, K. Developing Korean forest fire occurrence probability model reflecting climate change in the spring of 2000s. Korean J. Agric. For. Meteorol. 2016, 18, 199–207. (In Korean) [Google Scholar] [CrossRef]
 - Korea Forest Service (KFS). Annual Report of Forestry Statics; Korea Forest Service: Daejeon, Republic of Korea, 2017; p. 263.
 - Rhee, H.P.; Yoon, C.G.; Lee, S.J.; Choi, J.H.; Son, Y.K. Analysis of nonpoint source pollution runoff from urban land uses in South Korea. Environ. Eng. Res. 2012, 17, 47–56. [Google Scholar] [CrossRef]
 - Reza, A.; Eum, J.; Jung, S.; Choi, Y.; Owen, J.S.; Kim, B. Export of non-point source suspended sediment, nitrogen, and phosphorus from sloping highland agricultural fields in the East Asian monsoon region. Environ. Monit. Assess. 2016, 188, 692. [Google Scholar] [CrossRef]
 - Park, M.; Choi, Y.S.; Shin, H.J.; Song, I.; Yoon, C.G.; Choi, J.D.; Yu, S.J. A comparison study of runoff characteristics of non-point source pollution from three watersheds in South Korea. Water 2019, 11, 966. [Google Scholar] [CrossRef]
 - Burke, M.P.; Hogue, T.S.; Kinoshita, A.M.; Barco, J.; Wessel, C.; Stein, E.D. Pre- and post-fire pollutant loads in an urban fringe watershed in Southern California. Environ. Monit. Assess. 2013, 185, 10131–10145. [Google Scholar] [CrossRef]
 - Oliver, A.A.; Bogan, M.T.; Herbst, D.B. Short-term changes in-stream macroinvertebrate communities following a severe fire in the Lake Tahoe basin, California. Hydrobiologia 2012, 694, 117–130. [Google Scholar] [CrossRef]
 - Robinne, F.N.; Hallema, D.W.; Bladon, K.D.; Buttle, J.M. Wildfire impacts on hydrologic ecosystem services in North American high-latitude forests: A scoping review. J. Hydrol. 2020, 581, 124360. [Google Scholar] [CrossRef]
 - Mishra, A.; Alnahit, A.; Campbell, B. Impact of land uses, drought, flood, wildfire, and cascading events on water quality and microbial communities: A review and analysis. J. Hydrol. 2021, 596, 125707. [Google Scholar] [CrossRef]
 - Larsen, I.J.; MacDonald, L.H.; Brown, E.; Rough, D.; Welsh, M.J.; Pietraszek, J.H.; Libohova, Z.; de Dios Benavides-Solorio, J.; Schaffrath, K. Causes of post-fire runoff and erosion: Roles of soil water repellency, surface cover, and soil sealing? Soil Sci. Soc. Am. J. 2009, 73, 1393–1407. [Google Scholar] [CrossRef]
 - Certini, G. Effects of fire on properties of forest soils: A review. Oecologia 2005, 143, 1–10. [Google Scholar] [CrossRef]
 - Campos, I.; Abrantes, N.; Keizer, J.J.; Vale, C.; Pereira, P. Major and trace elements in soil and ashes of eucalypt and pine forest plantations in Portugal following a wildfire. Sci. Total Environ. 2016, 572, 1363–1376. [Google Scholar] [CrossRef] [PubMed]
 - Ellis, S.; Kanowski, P.; Whelan, R. National Inquiry on Bushfire Mitigation and Management; Common-Wealth of Australia: Canberra, Australia, 2004. [Google Scholar]
 - Shakesby, R.A.; Doerr, S.H. Wildfire as a hydrological and geomorphological agent. Earth Sci. Rev. 2006, 74, 269–307. [Google Scholar] [CrossRef]
 - Bitner, K.; Gallaher, B.; Mullen, K. Review of Wildfire Effects on Chemical Water Quality; Los Alamos National Laboratory Report; Los Alamos National Laboratory: Los Alamos, NM, USA, 2001.
 - Leelaruji, W.; Buathong, P.; Kanngan, P.; Piamtongkam, R.; Chulalaksananukul, S.; Wattayakorn, G.; Chulalaksananukul, W. Potential of laccase produced from microfungus Aureobasidium pullulans var. melanogenum to degrade polycyclic aromatic hydrocarbons. Eur. Chem. Bull. 2014, 3, 269–272. [Google Scholar]
 - Pereira, P.; Úbeda, X. Spatial distribution of heavy metals released from ashes after a wildfire. J. Environ. Eng. Landsc. Manag. 2010, 18, 13–22. [Google Scholar] [CrossRef]
 - Stankov Jovanovic, V.P.; Ilic, M.D.; Markovic, M.S.; Mitic, V.D.; Mandic, S.D.N.; Stojanovic, G.S. Wildfire impact on copper, zinc, lead and cadmium distribution in soil and relation with abundance in selected plants of Lamiaceae Family from Vidlic Mountain (Serbia). Chemosphere 2011, 84, 1584–1591. [Google Scholar] [CrossRef] [PubMed]
 - Costa, M.E.L.; Carvalho, D.J.; Koide, S. Assessment of pollutants from diffuse pollution through the correlation between rainfall and runoff characteristics using EMC and first flush analysis. Water 2021, 13, 2552. [Google Scholar] [CrossRef]
 - Gallaher, B.; Koch, R.; Mullen, K. Quality of Storm Water Runoff at Los Alamos National Laboratory in 2000 with Emphasis on the Impact of the Cerro Grande Fire; Los Alamos National Laboratory LA-13926: Los Alamos, NM, USA, 2002.
 - Malmon, D.V.; Reneau, S.L.; Katzman, D.; Lavine, A.; Lyman, J. Suspended sediment transport in an ephemeral stream following wildfire. J. Geophys. Res. 2007, 112, F02006. [Google Scholar] [CrossRef]
 - Sheridan, G.; Lane, P.; Noske, P.; Feikema, P.; Sherwin, C.; Grayson, R. Impact of the 2003 Alpine Bushfires on Streamflow: Estimated Changes in Stream Exports of Sediment, Phosphorus and Nitrogen following the 2003 Bush-Fires in Eastern Victoria; MDBC Publication No. 22/08; Murray-Darling Basin Commission: Canberra, Australia, 2007.
 - Wallbrink, P.; English, P.; Chafer, C.; Humphreys, G.; Shakesby, R.; Blake, W.; Doerr, S. Impacts on Water Quality by Sediments and Nutrients Released during Extreme Bushfires; Sydney Catchment Authority–CSIRO Land & Water Collaborative Research Project: Canberra, Australia, 2004; p. 10. [Google Scholar]
 - Kunze, M.D.; Stednick, J.D. Streamflow and suspended sediment yield following the 2000 Bob-cat fire, Colorado. Hydrol. Process. 2006, 20, 1661–1681. [Google Scholar] [CrossRef]
 - Goforth, B.R.; Graham, R.C.; Hubbert, K.R.; Zanner, C.W.; Minnich, R.A. Spatial distribution and properties of ash and thermally altered soils after high-severity forest fire, southern California. Int. J. Wildland Fire 2005, 14, 343–354. [Google Scholar] [CrossRef]
 - Murphy, J.D.; Johnson, D.W.; Miller, W.W.; Walker, R.F.; Carroll, E.F.; Blank, R.R. Wildfire effects on soil nutrients and leaching in a Tahoe Basin watershed. J. Environ. Qual. 2006, 35, 479–489. [Google Scholar] [CrossRef]
 - Alexander, L.V. Global observed long-term changes in temperature and precipitation extremes: A review of progress and limitations in IPCC assessments and beyond. Weather Clim. Extrem. 2016, 11, 4–16. [Google Scholar] [CrossRef]
 - Pereira, P.; Úbeda, X.; Martin, D.; Mataix-Solera, J.; Guerrero, C. Effects of a low severity prescribed fire on water-soluble elements in ash from a cork oak (Quercus suber) forest located in the northeast of the Iberian Peninsula. Environ. Res. 2011, 111, 237–247. [Google Scholar] [CrossRef] [PubMed]
 - Korea Forest Korea Forest Service (KFS). Information on of Great Forest Fire in the Republic of Korea. 2022. Available online: https://www.forest.go.kr/kfsweb/kfi/kfs/cms/cmsView.do?mn=NKFS_02_02_01_03_03&cmsId=FC_001157 (accessed on 18 November 2022).
 - Gomi, T.; Asano, Y.; Uchida, T.; Onda, Y.; Sidle, R.C.; Miyata, S.; Kosugi, K.; Mizugaki, S.; Fukuyama, T.; Fukushima, T. Evaluation of storm runoff pathways in steep nested catchments draining a Japanese cypress forest in central Japan: A geochemical approach. Hydrol. Process. 2010, 24, 550–566. [Google Scholar] [CrossRef]
 - Sidle, R.C.; Tsuboyama, Y.; Noguchi, S.; Hosoda, I.; Fujieda, M.; Shimizu, T. Stormflow generation in steep forested headwaters: A linked hydrogeomorphic paradigm. Hydrol. Process. 2000, 14, 369–385. [Google Scholar] [CrossRef]
 - Huang, X.; Shi, Z.H.; Zhu, H.D.; Zhang, H.Y.; Ai, L.; Yin, W. Soil moisture dynamics within soil profiles and associated environmental controls. Catena 2016, 136, 189–196. [Google Scholar] [CrossRef]
 - Ministry of Environment (ME). Framework Act on Environmental Policy. Standard for Water Quality Environment, Rivers and Streams; Ministry of Environment (ME): Sejong, Republic of Korea, 2016.
 - American Public Health Association (APHA). Standard Methods for the Examination of Water and Wastewater, 19th ed.; Part 5; American Public Health Association: Washington, DC, USA, 1995. [Google Scholar]
 - Maniquiz, M.C.; Lee, S.; Kim, L.H. Multiple linear regression models of urban runoff pollutant load and event mean concentration considering rainfall variables. J. Environ. Sci. 2010, 22, 946–952. [Google Scholar] [CrossRef]
 - Novotny, V. Water Quality: Diffuse Pollution and Watershed Management; John Wiley and Sons Publishing: New York, NY, USA, 2003. [Google Scholar]
 - Badía, D.; Martí, C.; Aguirre, A.J.; Aznar, J.M.; González-Pérez, J.A.; De la Rosa, J.M.; León, J.; Ibarra, P.; Echeverría, T. Wildfire effects on nutrients and organic carbon of a Rendzic Phaeozem in NE Spain: Changes at cm-scale topsoil. Catena 2014, 113, 267–275. [Google Scholar] [CrossRef]
 - Libohova, Z. Effects of Thinning and a Wildfire on Sediment Production Rates, Channel Morphology, and Water Quality in the Upper South Platte River Watershed. Master’s Thesis, US Forest Service, Fort Collins, CO, USA, 2004. [Google Scholar]
 - Zong, M.; Hu, Y.; Liu, M.; Li, C.; Wang, C.; Liu, J. Quantifying the contribution of agricultural and urban non-point source pollutant loads in watershed with urban agglomeration. Water 2021, 13, 1385. [Google Scholar] [CrossRef]
 - Clift, P.D.; Jonell, T.N. Monsoon controls on sediment generation and transport: Mass budget and provenance constraints from the Indus River catchment, delta and submarine fan over tectonic and multimillennial timescales. Earth-Sci. Rev. 2021, 220, 103682. [Google Scholar] [CrossRef]
 - Yang, C.Y.; Kang, W.; Lee, J.H.; Julien, P.Y. Sediment regimes in South Korea. River Res. Appl. 2021, 38, 209–221. [Google Scholar] [CrossRef]
 - Li, J.; Li, H.; Shen, B.; Li, Y. Effect of non-point source pollution on water quality of the Weihe River. Int. J. Sediment Res. 2011, 26, 50–61. [Google Scholar] [CrossRef]
 - Hu, H.; Huang, G. Monitoring of non-point source pollutions from an agriculture watershed in South China. Water 2014, 6, 3828–3840. [Google Scholar] [CrossRef]
 - Sharpley, A.N.; Daniel, T.C.; Edwards, D.R. Phosphorus movement in the landscape. J. Prod. Agric. 1993, 6, 492–500. [Google Scholar] [CrossRef]
 - Haygarth, P.M.; Jarvis, S.C. Transfer of phosphorus from agricultural soil. Adv. Agron. 1999, 66, 195–249. [Google Scholar]
 - Kim, S.; Park, C.K.; Kim, M.K. The regime shift of the northern hemispheric circulation responsible for the spring drought in Korea. Asia Pac. J. Korean Meteorol. Soc. 2005, 41, 571–585. (In Korean) [Google Scholar]
 - Kim, M.; Sung, K. Impact of abnormal climate events on the production of Italian ryegrass as a season in Korea. J. Anim. Sci. Technol. 2021, 63, 77–90. [Google Scholar] [CrossRef]
 - Bach, P.M.; McCarthy, D.T.; Deletic, A. Redefining the stormwater first flush phenomenon. Water Res. 2010, 44, 2487–2498. [Google Scholar] [CrossRef]
 - Chow, M.F.; Yusop, Z.; Mohamed, M. Quality and first flush analysis of stormwater runoff from a tropical commercial catchment. Water Sci. Technol. 2011, 63, 1211–1216. [Google Scholar] [CrossRef]
 - Deletic, A. The first flush load of urban surface runoff. Water Res. 1998, 32, 2462–2470. [Google Scholar] [CrossRef]
 - Obermann, M.; Froebrich, J.; Perrin, J.L.; Tournoud, M.J. Impact of significant floods on the annual load in an agricultural catchment in the Mediterranean. J. Hydrol. 2007, 334, 99–108. [Google Scholar] [CrossRef]
 - Kwon, H.; Kim, J.; Lim, K.; Kim, D.; Hong, E. Determination of EMC and MFFn rainfall runoff in Song-cheon, Doam Lake Watershed. J. Korean Soc. Agric. Eng. 2020, 62, 13–22. (In Korean) [Google Scholar]
 - Earl, S.R.; Blinn, D.W. Effects of wildfire ash on water chemistry and biota in South-western USA streams. Freshw. Biol. 2003, 48, 1015–1030. [Google Scholar] [CrossRef]
 - Reneau, S.L.; Katzman, D.; Kuyumjian, G.A.; Lavine, A.; Malmon, D.V. Sediment delivery after a wild-fire. Geology 2007, 35, 151–154. [Google Scholar] [CrossRef]
 - Taebi, A.; Droste, R.L. Pollution loads in urban runoff and sanitary wastewater. Sci. Total Environ. 2004, 327, 174–184. [Google Scholar] [CrossRef] [PubMed]
 - Maniquiz, M.C.; Choi, J.Y.; Lee, S.Y.; Cho, H.J.; Kim, L.H. Appropriate methods in determining the event mean concentration and pollutant removal efficiency of a best management practice. Environ. Eng. Res. 2010, 15, 215–223. [Google Scholar] [CrossRef]
 - Ulery, A.L.; Graham, R.C.; Amrhein, C. Wood–ash composition and soil pH following intense burning. Soil Sci. 1993, 156, 358–364. [Google Scholar] [CrossRef]
 - Someshwar, A.V. Wood and combination wood-fired boiler ash characterization. J. Environ. Qual. 1996, 25, 962–972. [Google Scholar] [CrossRef]
 - Demeyer, A.; Voundi Nkana, J.C.; Verloo, M.G. Characteristics of wood ash and influence on soil properties and nutrient uptake: An overview. Bioresour. Technol. 2001, 77, 287–295. [Google Scholar] [CrossRef]
 - Kim, J.; Choi, J.; Choi, C.; Park, S. Impacts of changes in climate and land use/land cover under IPCC RCP scenarios on streamflow in the Hoeya River Basin, Korea. Sci. Total Environ. 2013, 452–453, 181–195. [Google Scholar] [CrossRef]
 - Ruidischa, M.; Kettering, J.; Arnhold, S.; Huwe, B. Modeling water flow in a plastic mulched ridge cultivation system on hillslopes affected by South Korean summer monsoon. Agric. Water Manag. 2013, 116, 204–217. [Google Scholar] [CrossRef]
 - Bak, J.; Song, E.J.; Lee, H.J.; Liu, X.; Koo, J.H.; Kim, J.; Jeon, W.; Kim, J.H.; Kim, C.H. Temporal variability of tropospheric ozone and ozone profiles in the Korean Peninsula during the East Asian summer monsoon: Insights from multiple measurements and reanalysis datasets. Atmos. Chem. Phys. 2022, 22, 14177–14187. [Google Scholar] [CrossRef]
 - Doerr, S.H.; Shakesby, R.A.; MacDonald, L.H. Soil water repellency: A key factor in post-fi re erosion? In Fire Effects on Soils and Restoration Strategies; Cerdà, A., Robichaud, P.R., Eds.; Science Publications: Enfield, NH, USA, 2009. [Google Scholar]
 - Spencer, C.N.; Hauer, F.R. Phosphorus and nitrogen dynamics in streams during a wildfire. J. N. Am. Benthol. Soc. 1991, 10, 24–30. [Google Scholar] [CrossRef]
 - Lathrop, R.G., Jr. Impacts of the 1988 wildfires on the water quality of Yellowstone and Lewis Lakes, Wyoming. Int. J. Wildland Fire 1994, 4, 169–175. [Google Scholar] [CrossRef]
 - Hauer, F.R.; Spencer, C.N. Phosphorus and nitrogen dynamics in streams associated with wildfire: A study of immediate and long-term effects. Int. J. Wildland Fire 1998, 8, 183–198. [Google Scholar] [CrossRef]
 - Yur, J.; Kim, G. Comparison of discharge characteristics of NPS pollutant loads from urban, agricultural, and forestry watersheds. J. Korean Soc. Water Environ. 2005, 21, 184–489. (In Korean) [Google Scholar]
 - Kang, C.G.; Lee, S.; Gorme, J.B.; Lee, J.U.; Kim, L.H. Determination of EMC and wash off characteristics of stormwater runoff from broad-leaved forest areas. J. Environ. Impact Assess. 2009, 18, 393–399. (In Korean) [Google Scholar]
 - Yoon, S.W.; Chung, S.W.; Oh, D.G.; Lee, J.W. Monitoring of non-point source pollutants load from a mixed forest land use. J. Environ. Sci. 2010, 22, 801–805. [Google Scholar] [CrossRef] [PubMed]
 - National Institute of Environmental Research (NIER). Integrated Monitoring and Management Plan for Non-Point Pollution (II); National Institute of Environmental Research (NIER): Incheon, Republic of Korea, 2014; p. 346.
 - Finley, C.D.; Glenn, N.F. Fire and vegetation type effects on soil hydrophobicity and infiltration in the sagebrush-steppe: II. Hyperspectral analysis. J. Arid Environ. 2010, 74, 660–666. [Google Scholar] [CrossRef]
 - Kinoshita, A.M.; Hogue, T.S. Spatial and temporal controls on post-fire hydrologic recovery in Southern California watersheds. Catena 2011, 87, 240–252. [Google Scholar] [CrossRef]
 - Shakesby, R.A. Post-wildfire soil erosion in the Mediterranean: Review and future research directions. Earth Sci. Rev. 2011, 105, 71–100. [Google Scholar] [CrossRef]
 - Hosseini, M.; Keizer, J.J.; Pelayo, O.G.; Prats, S.A.; Ritsema, C.; Geissen, V. Effect of fire frequency on runoff, soil erosion, and loss of organic matter at the micro-plot scale in north-central Portugal. Geoderma 2016, 269, 126–137. [Google Scholar] [CrossRef]
 - Qian, W.; Kang, H.S.; Lee, D.K. Distribution of seasonal rainfall in the East Asian monsoon region. Theor. Appl. Climatol. 2002, 73, 151–168. [Google Scholar] [CrossRef]
 - Cerdà, A.; Robichaud, P. Fire effects on soil infiltration. In Fire Effects on Soils and Restoration Strategies; Cerdà, A., Robichaud, P., Eds.; NH Science Publishers: Enfield, NH, USA, 2009; pp. 81–104. [Google Scholar]
 - Moody, J.A.; Shakesby, R.A.; Robichaud, P.R.; Cannon, S.H.; Martin, D.A. Current research issues related to post-wildfire runoff and erosion processes. Earth Sci. Rev. 2013, 122, 10–37. [Google Scholar] [CrossRef]
 







| Date | No | Time  Period (Days) *  | Total Precipitation (mm)  | Max. 1 h Precipitation (mm)  | ADDs (Days)  | API7 (mm)  | API30 (mm)  | Duration of Rain (h) | Total Runoff (mm)  | Peak Flow (mm/h) | 
|---|---|---|---|---|---|---|---|---|---|---|
| 12 March 2021 | E1 | 17.2 | 12.5 | 4.5 | 0.0 | 7.0 | 68.5 | 5 | 0.26 | 0.06 | 
| 27–29 March 2021 | E2 | 32.4 | 23.0 | 2.5 | 7.0 | 0.0 | 83.5 | 14 | 1.17 | 0.05 | 
| 3–4 April 2021 | E3 | 39.3 | 80.5 | 10.0 | 0.0 | 15.0 | 48.5 | 18 | 35.65 | 6.59 | 
| 12–13 April 2021 | E4 | 48.3 | 21.0 | 4.0 | 0.0 | 7.0 | 116.5 | 18 | 1.60 | 0.10 | 
| 15–21 May 2021 | E5 | 81.2 | 59.0 | 6.5 | 0.0 | 17.5 | 50.0 | 40 | 10.89 | 0.33 | 
| 28–29 May 2021 | E6 | 94.3 | 11.5 | 5.8 | 0.0 | 5.5 | 112.5 | 2 | 1.31 | 0.08 | 
| 3–4 July 2021 | E7 | 130.4 | 45.5 | 10.2 | 0.0 | 7.5 | 53.0 | 11 | 23.95 | 8.02 | 
| 7–8 July 2021 | E8 | 134.5 | 37.0 | 14.3 | 0.0 | 81.0 | 113.0 | 6 | 17.15 | 4.76 | 
| 23–25 August 2021 | E9 | 181.4 | 67.3 | 8.6 | 0.0 | 18.0 | 47.0 | 21 | 30.71 | 11.64 | 
| 31 August–1 September 2021 | E10 | 189.6 | 46.8 | 10.9 | 0.0 | 43.2 | 159.5 | 12 | 49.55 | 13.14 | 
| Season | Period | Event No.  | Cumulative Runoff  (%)  | Cumulative Load (%) | ||
|---|---|---|---|---|---|---|
| Organic Matters  (BOD, COD, TOC)  | TSS | Nutrients (TN, TP)  | ||||
| Spring | 12 March–29 May | E1–E6 | 30 | 48.3 | 65.4 | 44.2 | 
| 50 | 75.0 | 81.0 | 70.9 | |||
| 70 | 89.3 | 92.2 | 88.1 | |||
| Summer | 3 July–1 September | E7–E10 | 30 | 34.5 | 30.8 | 31.0 | 
| 50 | 61.6 | 62.9 | 54.5 | |||
| 70 | 83.5 | 91.8 | 78.0 | |||
| Parameters | Spring (E1–E6) | Summer (E7–E10) | ||||
|---|---|---|---|---|---|---|
| Factor 1 | Factor 2 | Factor 3 | Factor 1 | Factor 2 | Factor 3 | |
| pH | −0.420 | 0.679 | −0.363 | −0.153 | −0.934 | −0.154 | 
| EC | 0.232 | −0.820 | 0.020 | −0.636 | −0.550 | −0.320 | 
| BOD | 0.963 | −0.038 | 0.111 | 0.578 | 0.577 | −0.324 | 
| COD | 0.872 | 0.310 | 0.338 | 0.716 | 0.621 | −0.089 | 
| TOC | 0.856 | 0.237 | 0.419 | 0.496 | 0.662 | 0.462 | 
| TSS | 0.309 | 0.830 | −0.092 | 0.923 | 0.129 | −0.057 | 
| TN | 0.317 | 0.030 | 0.928 | −0.034 | 0.102 | 0.943 | 
| TP | 0.310 | 0.763 | 0.438 | 0.902 | 0.271 | 0.103 | 
| Season | Period | No. Event | Organic Matters (mg/L) | TSS (mg/L) | Nutrients (mg/L) | |||
|---|---|---|---|---|---|---|---|---|
| BOD | COD | TOC | TN | TP | ||||
| Spring | 12 March–29 May | E1–E6 | 2.5 ± 1.9 (0.8–5.6)  | 10.6 ± 4.7 (6.6–19.4)  | 9.1 ± 3.4 (6.1–14.8)  | 23.5 ± 28.9 (2.4–85.5)  | 1.3 ± 0.4 (0.8–1.8)  | 0.02 ± 0.01 (0.01–0.03)  | 
| Summer | 3 July–1 September | E7–E10 | 2.4 ± 0.4 (1.9–2.9)  | 19.6 ± 3.2 (14.5–23.2)  | 8.7 ± 0.6 (8.0–9.6)  | 713.6 ± 354.4 (278.9–1219.4)  | 2.3 ± 0.5 (1.8–3.0)  | 0.04 ± 0.01 (0.03–0.04)  | 
Disclaimer/Publisher’s Note: The statements, opinions and data contained in all publications are solely those of the individual author(s) and contributor(s) and not of MDPI and/or the editor(s). MDPI and/or the editor(s) disclaim responsibility for any injury to people or property resulting from any ideas, methods, instructions or products referred to in the content.  | 
© 2022 by the authors. Licensee MDPI, Basel, Switzerland. This article is an open access article distributed under the terms and conditions of the Creative Commons Attribution (CC BY) license (https://creativecommons.org/licenses/by/4.0/).
Share and Cite
Nam, S.; Yang, H.; Lim, H.; Kim, J.; Li, Q.; Moon, H.; Choi, H.T. Short-Term Effects of Forest Fire on Water Quality along a Headwater Stream in the Immediate Post-Fire Period. Water 2023, 15, 131. https://doi.org/10.3390/w15010131
Nam S, Yang H, Lim H, Kim J, Li Q, Moon H, Choi HT. Short-Term Effects of Forest Fire on Water Quality along a Headwater Stream in the Immediate Post-Fire Period. Water. 2023; 15(1):131. https://doi.org/10.3390/w15010131
Chicago/Turabian StyleNam, Sooyoun, Hyunje Yang, Honggeun Lim, Jaehoon Kim, Qiwen Li, Haewon Moon, and Hyung Tae Choi. 2023. "Short-Term Effects of Forest Fire on Water Quality along a Headwater Stream in the Immediate Post-Fire Period" Water 15, no. 1: 131. https://doi.org/10.3390/w15010131
APA StyleNam, S., Yang, H., Lim, H., Kim, J., Li, Q., Moon, H., & Choi, H. T. (2023). Short-Term Effects of Forest Fire on Water Quality along a Headwater Stream in the Immediate Post-Fire Period. Water, 15(1), 131. https://doi.org/10.3390/w15010131
        
