Abstract
Changes in water quality were examined during selected rainfall events in a headwater stream severely damaged by a forest fire on 21–23 February 2021. Seven water quality parameters were analyzed: pH, electrical conductivity, biochemical oxygen demand, chemical oxygen demand, total suspended solids (TSS), total nitrogen, and total phosphorous. First-flush effect and event mean concentration analyses were conducted in spring (dry season) and summer (wet season) immediately after the forest fire. In spring, the non-biodegradable organic matter concentrations increased along with pollutants related to ash-enhanced soil water repellency in water affected by first-flush effects. In summer, TSS and nutrient concentrations increased along with pollutants related to fire-induced soil surface disturbances after a series of rainfall events. First-flush analyses indicated that cumulative pollutant loads were greater in the spring than in the summer due to a higher concentration of forest fire ash in the early storm runoff immediately after the forest fire. The event mean concentrations revealed that pollutant loads were associated with both forest fire ash and storm events in the immediate post-fire period. Therefore, this study indicated that water quality along a headwater stream is affected by short-term effects of large and intense forest fires and rainfall seasonality.
1. Introduction
The average annual temperature of the earth is currently rising owing to climate change events, such as global warming, El Niño, and La Niña [1]. Over the last century, the Republic of Korea (ROK) has experienced a temperature increase of 1.8 °C [2,3]. Rising temperatures have led to an increase in the frequency and intensity of extreme weather phenomena, such as floods and droughts [4,5,6], posing challenges in the stable supply of water resources [7,8]. In particular, the risk of large forest fires is expected to increase substantially because of the increased number of dry days [9,10]. Although the ROK has relatively small areas potentially affected by forest fire damage compared to other countries such as Australia and the United States [11,12,13], forest fires spread quickly and are difficult to extinguish [14,15] because it is located in the mid-latitude temperate climatic zone and exhibits clear and dry weather in the spring and autumn due to the effects of migratory anticyclones [5]. Moreover, increased erosion rates and changes in runoff occurrences and pollutant sources can considerably increase ash-related organic matter and the flux of sediment, nutrients, and other constituents from forest fires that affect water quality [13,16]. This could potentially contaminate the water supply from the forested headwater stream to the lowland river. Finally, considering that water quality management in polluted watersheds is expensive, it is more cost-effective to prevent contamination instead [17,18,19,20].
In the ROK, 63% of the land is covered by forests, and headwater streams (i.e., tertiary streams) account for 88.9% of the total length of the nationwide stream [21,22]. Therefore, streams play a significant role in freshwater supply and management [23]. Rivers in the forest basin play an important role as a source of water, soil, various nutrients, and organic matter, as well as an intermediate zone for supplying major rivers downstream [24]. Thus, forested headwater streams are an important source of potable water to communities worldwide and, in many cases, are managed specifically for this purpose [25]. Meyer et al. [26] reported that the upstream is diverse and species-rich, helping to maintain healthy mountain stream ecosystems throughout the water system. Moreover, water flowing from the headwater stream, which is as first-class water quality standards, flows into the downstream rivers and lakes and affects drinking water [27]. Therefore, the sustainable supply of clean water in the entire water system is determined by water purification [28,29].
Despite their role in freshwater supply, headwater streams in the ROK is managed by 43% of coniferous forests, increasing the risk of the spread of forest fires [30]. In addition, owing to overlapping mountains, the ROK shows irregular topography [5]. The mountains are close to villages and have high slopes, with an average elevation and slope of 450 m and 5.7°, respectively [5]. Therefore, the ROK is vulnerable to outbreaks and spread of forest fires [31], which may generate additional pollutants (e.g., polycyclic aromatic hydrocarbons) in negligible amounts or concentrate pre-existing contaminants (via ash de-posits) that may be transmitted into forested headwater streams [13]. Ash is not identified as an individual water pollutant because it contains a variety of constituents; however, its contributes to post-fire water quality as a non-point source (NPS) pollutant [32,33,34]. Particularly, excessive concentrations of biological nutrients and hazardous chemicals in water bodies in the post-fire period introduces various water quality problems, including shortage of safe drinking water, toxic algal blooms, oxygen loss, and biodiversity loss [13,32,35]. NPS pollution caused by forest fire deteriorates the health of the aquatic community, and it has been reported that it can change the species composition from up to downstream in a watershed [36,37,38]. Therefore, to prepare mid- to long-term water quality management measures for forest fires, it is necessary to first understand the headstream water quality in the post-fire period.
Compared to other disturbances, forest fires vary in the intensity and concentration of pollutants that affect water quality over time [39], which are associated with altering the range of physical and biogeochemical properties of the soil [40,41] as well as key hydro-logical factors controlling infiltration and surface runoff [42,43]. Forest fires are associated with the effects of ash; however, the analysis of factors to be investigated is limited owing to the short duration of the effects. The combustion of vegetation and soil organic matter (resulting in the breakdown of metal-organic compounds) and the effects of fire on the soil surface lead to ash and charcoal deposition [44,45,46,47,48]. Under these circumstances, when rainfall occurs, it is difficult to identify pollutants from forest fires that contribute to water quality degradation, because the total suspended solids (TSS) and nutrients (Total Nitrogen (TN) and Total Phosphorous (TP)) also increase. Several studies have reported that the highest concentration of TSS in headwater streams post-fire generally occurs in response to erosion events triggered by intense summer storms [49,50,51]. Moreover, the effects of forest fire on overland flow increases the erosion rate and suspended sediment loads, consequently increasing the concentration of toxic compounds and metals in water resources [13,16,35].
Therefore, to understand the changes in water quality caused by forest fires, important water quality parameters must be determined. The subsequent processes from forest fires can affect parameters such as pH, electrical conductivity (EC), turbidity, dis-solved oxygen, major ions, and nutrient loading (e.g., nitrate, sulfate, phosphate) [43,52,53]. Studies evaluating the impacts of fire on headwater stream quality tend to focus on sus-pended solids, organic carbon, and nutrients, whereas other components have received less attention [13,43,54,55]. Biochemical oxygen demand (BOD), chemical oxygen de-mand (COD), and total organic carbon (TOC) are water quality standards that are used to indirectly estimate the concentration of organic matter in water, and TN estimates the amount of nitrogen, a eutrophic causative substance that allows multiplication of algae in wastewater [13,56]. These parameters are related to the elevated levels of direct and/or in-direct pollutants in the water supply after a fire [54,57]. From this viewpoint, our specific objectives were to (1) analyze the water quality in response to forest fires, (2) indicate potential factors affecting the degradation of water quality in the headwater stream, and (3) determine the timing of the reduction and/or elimination of the impact of ash on stream water quality from forest fires. For this approach, first-flush effect and event mean concentration (EMC) analyses were employed to measure the representative pollutants related to the initial post-fire response affecting seasonal changes in water quality. This allowed us to compare the water quality of the headwater catchment with the that of the stream water in the immediate post-fire period. Furthermore, the results of this study may be useful for adapting sustainable water management practices to climate warming.
2. Materials and Methods
2.1. Site Description
This study was conducted in a headwater catchment (32.4 ha) located in Andong-si, 206 km South of Seoul (37°33′ N, 128°54′ E) (Figure 1a,b). According to the Andong weather station of the Korea Meteorological Administration (KMA), the mean annual precipitation ± standard deviation (SD) in this region from 2002 to 2021 was 1015.3 ± 200.8 mm (range: 737.9–1579.3 mm), of which 55% occurred in the summer. The mean annual temperature ± SD was 12.4 ± 0.5 °C (range: 11.3–13.2 °C). The elevation of the monitoring catchments ranges from 161 to 395 m above sea level, with hillslope gradients ranging from 0.4 to 47° with a mean of 27°. The underlying geology consists of sedimentary rocks. The catchment is vegetated by 21–50-year-old Korean red pine (Pinus densiflora S. et Z.), which facilitated the ignition and propagation of fires in the catchment. The stream channel was 0.9 km length, 4.0 m wide, and had a 0.25 m/m slope. This region was severely damaged by a forest fire from 21 February, 15:20 to 23 February 2021 7:20 KST (Korean Standard Time), and due to strong winds of up to 13 m/s, 419 ha of forest in the sur-rounding area was burned, causing property damage of KRW 17.7 billion [58]. Subsequently, the entire catchment was burnt out with stem and crown damage (Figure 1c–e).
Figure 1.
(a) Location of study site and (b) sampling point. (c) Normalized Difference Vegetation Index (NVDI) in the study catchment on 17 August 2021. Images (d,e) overview of the study catchment after the forest fire.
2.2. Field Experiment and Laboratory Analysis
Precipitation data were obtained from mountain meteorology observations of the Korea Forest Service (KFS). The runoff volume (mm) was divided by the projected area of the catchment. Antecedent dry days (ADDs), total precipitation, maximum 1 h precipitation, and 7- and 30-day antecedent precipitation indices (API7 and API30) were calculated from the precipitation data [59]. API7 reflects soil moisture conditions near the surface, whereas the API30 represents moisture in the deep soil matrix [60,61].
An ISCO automatic water sampler (Teledyne ISCO Inc., Lincoln, NE, USA) was installed to collect water samples at 1 h intervals during rainfall events. Some events include the peak runoff and recession limb of the hydrograph as stormflow samples. The water sample preservation and analysis methods conformed to the standard methods of the Ministry of the Environment [62].
Physicochemical water quality parameters (pH, EC, BOD, COD, TOC, TSS, TN, and TP) were used to represent changes in stream water quality for NPS pollution monitoring. The pH and EC were determined using a pH meter (HM-30R, DKK-TOA Corp., Tokyo, Japan) and an EC meter (CM-30R, DKK-TOA Co., Tokyo, Japan), respectively. BOD was measured using the BOD5 method, which requires five days of incubation at 20 °C using a specially designed incubator [63]. CODMn was determined using the acid titration method. The TSS content was measured by weighing after filtration and drying at 105–110 °C. TOC content was determined by high-temperature combustion using a TOC analyzer (TOC-L, Shimadzu Co., Kyoto, Japan). TN content was determined using the continuous-flow method of an autoanalyzer (SYNCA, BLTEC Co., Tokyo, Japan). TP content was measured using a UV-Vis Spectrometer (Cary 60, Varian Co., Palo Alto, CA, USA).
2.3. Data Calculation and Analysis
The EMC is known to be useful in interpreting complex patterns and comparing different events at different times or sites [64]. The EMC was calculated according to the relationship between the total water quality mass and total runoff volume during each rainfall event:
where EMC is the event mean concentration (mg/L), Qi indicates the discrete flow coordinates on the event hydrograph, and Ci is the corresponding discrete concentration on the pollution graph. It should be noted that instead of measuring the discrete flows and concentrations throughout the different sites, the EMC represents the concentration of a flow-weighted composite sample of the runoff event [65]. All statistical analyses were performed using R version 4.1.2.
3. Results and Discussion
3.1. Temporal Variation in Water Quality of Headwater Stream in the Immediate Post-Fire Period
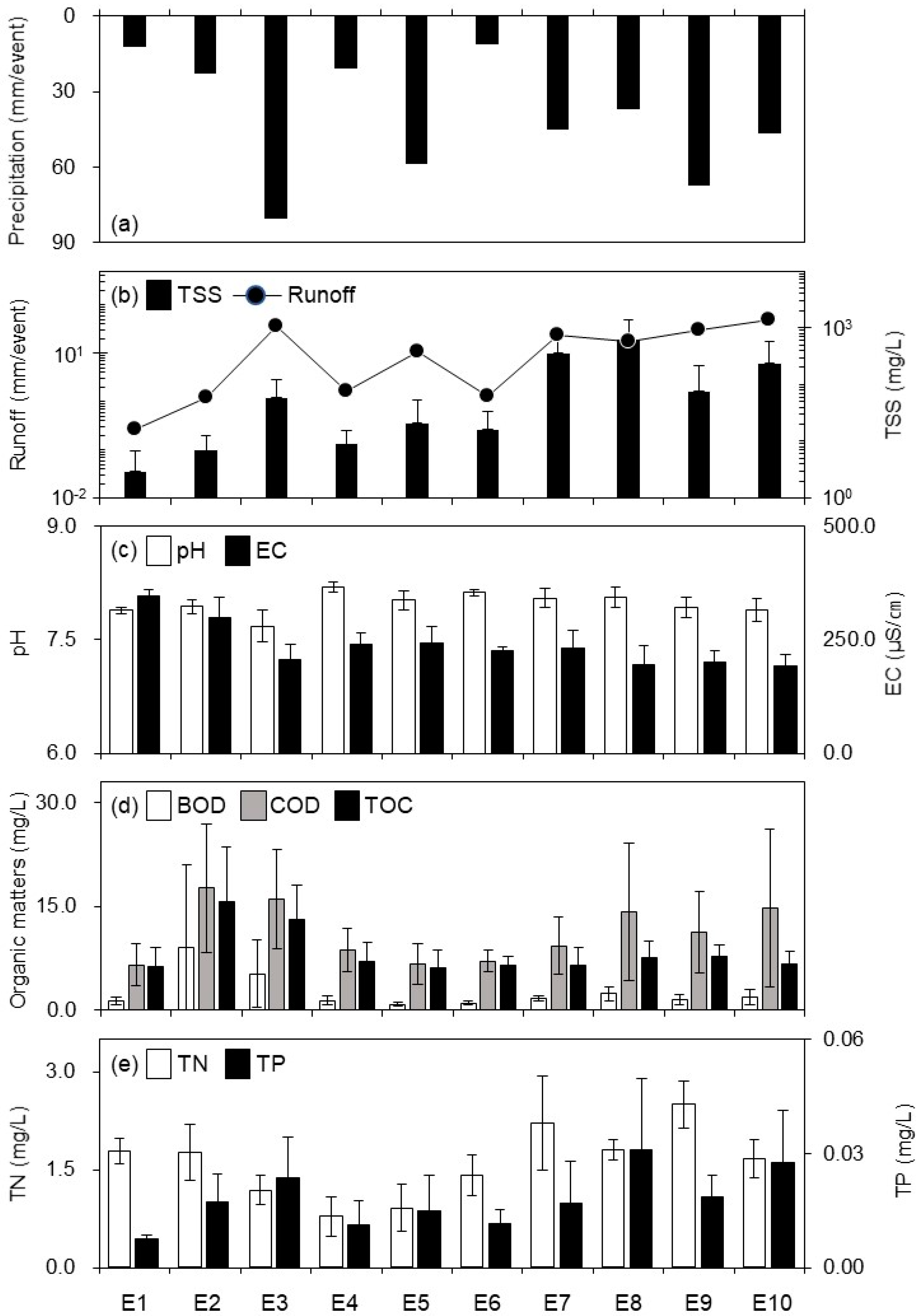
Table 1 lists the temporal changes in the observed water quality parameters (pH, EC, BOD, COD, TOC, TSS, TN, and TP), runoff, and rainfall responses for 10 rainfall events. Total precipitation and runoff during the rainfall events were 11.5–80.5 and 0.18–49.55 mm, respectively, with seven antecedent dry days (Figure 2a,b).
Table 1.
Summary of rainfall events and runoff volumes from which water samples were collected.
Figure 2.
(a) Precipitation, (b) runoff and TSS, (c) pH and EC, (d) organic matter (BOD, COD, and TOC), and (e) TN and TP in a forested headwater stream during rainfall events (E1–E10) in the immediate post-fire period. TSS: total suspended solids, EC: electrical conductivity, BOD: biological oxygen demand, COD: chemical oxygen demand, TOC: total organic carbon, TN: total nitrogen, TP: total phosphorus.
The mean pH value ranged from 7.7 to 8.2, and EC ranged from 191.9 to 345.8 μS/cm (Figure 2c). The mean values for organic matter were 0.8–9.0 mg/L for BOD, 6.5–17.6 mg/L for COD, and 6.1–15.6 mg/L for TOC (Figure 2d). The mean TSS concentrations ranged from 3.0 to 653.6 mg/L (Figure 2b). The nutrient concentrations ranged from 0.8 to 2.5 mg/L for TN and 0.01 to 0.03 mg/L for TP (Figure 2e). The increased COD and TOC concentrations indicated a concomitant increase in non-biodegradable organic matter induced soil water repellency in the spring immediately after the forest fire [13,39,66]. An increase in TSS, TN, and TP concentrations was associated with the combined impacts of fire-induced soil surface disturbance by the loss of surface cover during storm events, particularly during the flood season (June–September) [67,68]. In addition, summer monsoons can deliver seasonal rainfall and runoff, which affect sediment deposition on hillslopes and the transport of fluvial sediment [68,69,70].
As the characteristics of rainfall events can considerably affect pollutant emissions, two rainfall events (i.e., E3 and E9) with similar rainfall intensities and du-rations were selected in this study (Figure 3). Total precipitation and maximum 1 h precipitation were 80.5 mm and 10.0 mm for E3, respectively (Figure 3a) and 67.3 mm and 8.6 mm for E9, respectively (Figure 3b). The patterns of water quality parameters and runoff also occurred similarly for the two selected rainfall events from spring to summer in the immediate post-fire period. The runoff events responded quickly to precipitation inputs during the post-fire period. No distinctive time lag was observed between the peak rainfall input and peak flow. Event runoff receded progressively after the rainfall ceased.
Figure 3.
Changes in headwater stream quality in selected rainfall events in the immediate post-fire period. (a) E3 (3–4 April 2021) and (b) E9 (23–25 August 2021). Less increase in organic matter (BOD, COD, and TOC) was observed during E3 and a greater increase in TSS and nutrients (TN and TP) was observed during E9. EC: electrical conductivity, BOD: biological oxygen demand, COD: chemical oxygen demand, TOC: total organic carbon, TSS: total suspended solids, TN: total nitrogen, TP: total phosphorus.
Among the water quality parameters, the non-biodegradable organic matter components represented by COD and TOC were compared in E3 and E9, regardless of the runoff response (Figure 3).
For rainfall events, the maximum TSS and TP concentrations with peak flow quickly responded to increased rainfall amounts in the post-fire periods. For most sampled rainfall events, a close relationship was found between runoff and both TSS and nutrients (TN and TP). Similar to other studies, the maximum TSS and TP concentrations were found before peak flow [71,72]. These results suggest that particulate phosphorous is the predominant form of transported phosphorous during rainfall events and is associated with soil erosion [73,74].
3.2. First-Flush Effects of Forest Fire on Water Quality in the Headwater Stream
This study was performed to assess stormwater pollution parameters (BOD, COD, TOC, TSS, TN, and TP) in the first-flush runoff in the immediate post-fire period. As shown in Figure 4, the cumulative pollutant load ratio was used to identify the first-flush effects in organic matter (BOD, COD, and TOC), TSS, and nutrients (TN and TP) in the post-fire period.
Figure 4.
Cumulative load ratio for pollutant parameters in the immediate post-fire period. BOD: biological oxygen demand, COD: chemical oxygen demand, TOC: total organic carbon, TSS: total suspended solids, TN: total nitrogen, TP: total phosphorus.
Most pollutant constituents were discharged intensively during the early stages of rainfall with the persistent spring drought in the ROK [75,76]. As shown in Figure 4, the pollution parameter loads for most of the monitoring period were above the 1:1 line. Thus, the first flush had strong effects, which is consistent with the results of previous studies [34,77,78]. The first flush, or the initial surface runoff after a rainfall event, comprises most of the pollution in streams [32,34]. In addition, the concentration of pollutants decreased as a response to increased rainfall and runoff volume [68]. According to Deletic [79], the first-flush effect (i.e., the initial runoff being more polluted than the subsequent runoff) may appear in some runoff events but not in others at the same sites.
In Table 2, cumulative pollutant loads were separated according to spring (dry season) and summer (wet season) in the immediate post-fire period. All cumulative pollutant loads relative to 30, 50, and 70% of the runoff flow in the spring were greater than that in the summer due to more concentrated pollutants in the first part of runoff in the immediate post-fire period during the spring [16,80]. The water quality parameters of the first flush during both seasons exhibited high values compared to the three lowland rivers in a previous study, which ranged from 32.3 to 33.9% of the average cumulative load [34]. Even the load ratios at 30 and 50% of the runoff flow were higher in spring compared to those previously reported in upstream-affected steep slopes with soil losses and fertilization, which ranged from 44.1 to 48.3% and 69.4 to 74.3%, respectively, [81].
Table 2.
Average cumulative load relative to cumulative runoff in spring and summer in the immediate post-fire period.
From this result, the first-flush effect of the pollutants was not only related to ash-enhanced soil water repellency in the immediate post-fire periods [82,83] but also to the increased stormwater runoff when the intensity and duration of rainfall events increased during the flood season (June–September) [39,84]. However, it is difficult to apply existing first-flush formulae to other catchments, because the formulae are complex and varies widely depending on the characteristics of the catchment [79,85].
3.3. Water Quality in the Headwater Stream in Response to Post-Fire and Seasonal Changes
Figure 5 illustrates the changes in the water quality of the headwater stream separated by spring and summer in the immediate post-fire period. The pH and COD were similar in the spring and summer (Figure 5a,f). High pH values (7.3–8.3) were observed in the immediate post-fire period because wood ash, which is highly alkaline, increases soil pH by up to 3 units immediately after burning compared to that of unburned soils [86]. The EC, BOD, and TOC tended to be higher in spring than in summer (Figure 5b,e,g), whereas TN, TP, and TSS tended to be higher in summer than in spring (Figure 5c,d,f). The differences in the six parameters (i.e., EC, TN, TP, BOD, TOC, and TSS) between the two seasons were also significant according to the Mann–Whitney U test (p < 0.05) (Figure 5b–e,g,h). The chemical composition of ash is highly variable, which is affected by vegetation type, part of the plant (bark, wood, or leaves) burned, climate, soil type, and combustion conditions [87,88]. Water quality could be affected by seasonal changes, which increase in the dry season (November–April) and wet season, particularly in the summer (June–September), owing to the effect of the East Asian monsoon [89,90,91].
Figure 5.
Comparison of observed water quality parameters (i.e., (a) pH, (b) EC, (c) TN, (d) TP, (e) BOD, (f) COD, (g) TOC, and (h) TSS) between spring (E1–E6) and summer (E7–E10) in the immediate post-fire period. Mann-Whitney U test is indicated in separate bold letters (a and b) above the bar graph (p < 0.05). EC: electrical conductivity, TN: total nitrogen, TP: total phosphorus, BOD: biological oxygen demand, COD: chemical oxygen demand, TOC: total organic carbon, TSS: total suspended solids.
Principal component analysis (PCA) was used to analyze the eight water quality parameters monitored during spring and summer (Figure 6). The loadings of various water quality parameters considered for each factor are listed in Table 3. The three main factors in the two seasons accounted for 87.5 and 87.2% of the total variance, respectively. In spring, Factor 1, accounting for 56.6% of the total variance, showed high loadings for BOD, COD, and TOC (Figure 6a). However, in summer, Factor 1, accounting for 60.9% of the total variance, showed high loadings for EC, BOD, COD, TSS, and TP (Figure 6b). In particular, the pollution load factors in spring were affected by organic matter-related ash, and pollution load factors in summer were influenced by organic matter and nitrogen and phosphorus. The ash-related organic matter enhanced soil water repellency [39]; thus, water repellency was induced in time due to fluctuations in soil moisture and the breakdown of water-repellent compounds [92].
Figure 6.
Biplot of principal components for observed water quality parameters in (a) spring (E1–E6) and (b) summer (E7–E10) in the immediate post-fire period. EC: electrical conductivity, BOD: biological oxygen demand, COD: chemical oxygen demand, TOC: total organic carbon, TSS: total suspended solids, TN: total nitrogen, TP: total phosphorus.
Table 3.
Principal component loadings of observed water quality parameters in the immediate post-fire period.
In addition, most parameters returned to levels similar to the reference stream within 24 h, and concentrations in burned catchment streams returned to pre-fire levels within four months [82]. Thus, the results showed that atmospheric deposition of ash may have short-term impacts on stream water quality [93,94,95]. However, it was difficult to identify the exact origin of the pollutants for the 10 monitored periods with eight water quality characteristics. Therefore, the differences between spring and summer in terms of rainfall seasonality and export pollution must be classified to study water quality degradation in the immediate post-fire period.
3.4. Short-Term Effects of Initial Post-Fire Responses to Water Quality in the Headwater Stream
The EMCs of pollutant parameters (BOD, COD, TOC, TSS, TN, and TP) were compared between spring and summer in the immediate post-fire period. Most EMCs for the six parameters during the 10 rainfall events represent the general pollution status during the washing process with increased runoff (Table 4 and Figure 7).
Table 4.
Summary of event mean concentrations of pollutant parameters (BOD, COD, TOC, TSS, TN and TP) in the immediate post-fire period.
Figure 7.
Event mean concentration (EMC) of pollutant parameters ((a) BOD, (b) COD, (c) TSS, (d) TN and (e) TP) between burned (in this study, B1 and B2) and unburned (in previous studies, U1, U2, U3, and U4) headwater catchments. B1 and B2 indicate EMC of pollutant parameters in the spring and summer, respectively. U1, U2, U3, and U4 indicate the EMC of pollutant parameters in Yur and Kim [97], Kang et al. [98], Yoon et al. [99], and NIER [100], respectively. Four unburned catchments were focused on forested headwater catchments from spring to summer. BOD: biological oxygen demand, COD: chemical oxygen demand, TSS: total suspended solids, TN: total nitrogen, TP: total phosphorus.
The mean EMC of organic matter (BOD, COD, and TOC) was 0.8–9.4 mg/L in the spring (E1–E6) and 1.9–23.2 mg/L in the in the summer (E7–E10) (Table 4). The mean EMC of TSS was 2.4–85.5 and 278.9–1219.4 in the spring and summer, respectively. The mean EMC of nutrients (TN and TP) was 0.01–1.8 mg/L and 0.03–3.0 mg/L in the spring and summer, respectively (Table 4).
As shown in Figure 7, the EMCs of organic matter (BOD and TOC) in spring tended to be greater than those in summer. In contrast, higher EMCs of the four pollutant parameters were observed in summer than in spring. This is because higher pollutant loads and increased runoff induce soil surface disturbances due to the loss of surface cover in the post-fire periods [39]. Costa et al. [48] indicated that the greatest volume of surface runoff flow resulted in greater EMCs, probably because this flow of suspended solids at the bottom of the riverbed releases pollutants.
The degree of water quality degradation induced by forest fires was compared to those with unburned streams (Figure 7a–e). For instance, in a study by Yur and Kim [96], the mean of EMCs (mg/L) of pollutant parameters ranged from 0.3 for TP to 6.0 for BOD in the forested watershed (338 ha) (Figure 7a,e). Kang et al. [97] showed mean EMCs from 0.2 for TP to 31.7 for TSS in a deciduous forest catchment (21.7 ha). Yoon et al. [98] also indicated mean EMCs from 0.03 for TP to 30.0 for TSS in a mixed-forest catchment (15.1 ha). NIER [99] reported mean EMCs from 0.02 for TP to 12.2 for TSS in three forested catchments (18–19 ha) (Figure 7c,e).
The EMCs of BOD, TN, and TP from spring to summer in the post-fire period were similar and/or slightly higher than the values reported in previous studies [48,93,94,95]. The EMCs of only non-biodegradable organic matter (COD and TOC) in the spring were 1.8- to 6.2-fold greater than those of the forested catchments, which signifies that pollutant parameters were related to ash-enhanced soil water repellency [13,100]. The EMCs of the pollutant parameters in summer increased by 3.3- to 11.4-fold for COD and TOC, and 22.5- to 143.0-fold for TSS, compared to that of the forested catchment. This is due to the combined impacts of forest fire ash and the series of storm events in the immediate post-fire period [101,102,103]. Furthermore, the pollutant parameters from the forest fire concentrated in spring may establish a methodological and theoretical basis for the development of sustainable water management strategies by accounting for relevant factors such as ash-enhanced soil water repellency in spring (dry season) and soil surface disturbance caused by the loss of surface cover in summer (wet season) and the East Asian monsoon circulation [91,104,105,106].
4. Summary and Conclusions
The short-term impact of forest fires and seasonal changes on water quality was examined using first-flush effects and event mean concentration analyses. The findings are summarized as follows: (1) Increased COD and TOC concentrations indicated a concomitant increase in non-biodegradable organic matter-induced soil water repellency in spring immediately after the forest fire; (2) the increase in TSS, TN, and TP concentrations was associated with the combined impacts of fire-induced soil surface disturbance and the loss of surface cover during storm events, particularly during the wet season in the summer because of the East Asian monsoon; (3) cumulative pollutant loads in the spring was greater than that in the summer due to a higher concentration of pollutants in the first flush immediately after the fire; and (4) event mean concentrations revealed that pollutant loads were induced by the combined impact of forest fire ash and the series of storm events in the immediate post-fire period. Therefore, this study indicated that large and intense forest fires have direct and indirect short-term effects on water quality in response to fire and rainfall seasonality. In particular, the increase in pollutant concentration in the dry and wet seasons because of the summer monsoon can degrade water quality by flooding, soil erosion, and altering hydrologic regimes within a forested headwater. This study focused only on the changes in water quality in one headwater stream within one year after a forest fire. Further, the study needs to consider influence of the timing of forest fires and pollutant dynamics for determining the long-term effects of forest fires on water quality along the spatial variation of headwater streams.
Author Contributions
Conceptualization, S.N., H.T.C. and H.Y.; methodology, S.N., H.L. and H.T.C.; software, S.N.; validation, S.N. and H.T.C.; formal analysis, S.N. and H.Y.; investigation, H.Y., H.L., J.K. and H.T.C. resources, S.N., H.L. and H.T.C.; data curation, S.N. and H.L.; writing—original draft preparation, S.N., H.T.C. and H.Y.; writing—review and editing, S.N., Q.L. and H.M.; supervision, S.N. and H.T.C.; project administration, H.T.C.; funding acquisition, H.T.C. All authors have read and agreed to the published version of the manuscript.
Funding
This research received no external funding.
Institutional Review Board Statement
Not applicable.
Informed Consent Statement
Not applicable.
Data Availability Statement
Not applicable.
Conflicts of Interest
The authors declare no conflict of interest.
References
- Intergovernmental Panel on Climate Change (IPCC). Climate Change 2007: The Physical Science Basis—Summary for Policy Makers. Contribution of Working Group I to the Fourth Assessment Report of the Intergovernmental Panel on Climate Change; IPCC WGI 4th Assessment Report; IPCC: Cambridge, UK, 2007. [Google Scholar]
- Ministry of Land, Infrastructure and Transport (MOLIT). The Long-Term Water Management Plan (2001–2020); Ministry of Land, Infrastructure and Transport: Sejong, Republic of Korea, 2016; p. 131.
- Ministry of Environment (ME). Climate Change Outlook; Ministry of Environment: Sejong, Republic of Korea, 2019. Available online: http://eng.me.go.kr/eng/web/index.do?menuId=220 (accessed on 23 July 2019).
- Westra, S.; Fowler, H.J.; Evans, J.P.; Alexander, L.V.; Berg, P.; Johnson, F.; Kendon, E.J.; Lenderink, G.; Roberts, N.M. Future changes to the intensity and frequency of short-duration extreme rainfall. Rev. Geophys. 2014, 52, 522–555. [Google Scholar] [CrossRef]
- Kim, Y.H.; Kim, E.S.; Choi, M.J.; Shim, K.M.; Ahn, J.B. Evaluation of long-term seasonal predictability of heatwave over South Korea using PNU CGCM-WRF Chain. Atmosphere 2019, 29, 671–687. (In Korean) [Google Scholar]
- Ahn, J.J. Lessons learned from major environmental health disasters in South Korea and the role of environmental health experts. J. Environ. Health Sci. 2022, 48, 9–18. (In Korean) [Google Scholar] [CrossRef]
- Lee, J.K.; Kim, Y.O.; Kang, N. Analysis of climate change researches related to water resources in the Korean Peninsula, Korea. J. Climate Chang. Res. 2012, 3, 71–88. (In Korean) [Google Scholar]
- Cho, S.J.; Kang, S.K.; Lee, D.R.; Kang, S.U. Evaluation on the water supply stability of Nakdong river basin based on future scenarios. J. Korea Water Resour. Assoc. 2018, 51, 1105–1115. (In Korean) [Google Scholar]
- Giannakopoulos, C.; Le Sager, P.; Bindi, M.; Moriondo, M.; Kostopoulou, E.; Goodess, C.M. Climatic changes and associated impacts in the Mediterranean resulting from a 2 °C global warming. Glob. Planet. Chang. 2009, 68, 209–224. [Google Scholar] [CrossRef]
- Bradstock, R.; Penman, T.; Boer, M.; Price, O.; Clarke, H. Divergent responses of fire to recent warming and drying across south-eastern Australia. Glob. Chang. Biol. 2014, 20, 1412–1428. [Google Scholar] [CrossRef]
- Moody, J.A.; Martin, D.A. Wildfire impacts on reservoir sedimentation in the western United States. In Proceedings of the Ninth International Symposium on River Sedimentation, Yichang, China, 18–21 October 2004. [Google Scholar]
- Mast, M.A.; Clow, D.W. Effects of 2003 wildfires on stream chemistry in Glacier National Park, Montana. Hydrol. Process. 2008, 22, 5013–5023. [Google Scholar] [CrossRef]
- Smith, H.G.; Sheridan, G.J.; Lane, P.N.J.; Nyman, P.; Haydon, S. Wildfire effects on water quality in forest catchments: A review with implications for water supply. J. Hydrol. 2011, 396, 170–192. [Google Scholar] [CrossRef]
- Korea Forest Service (KFS). Statistical Yearbook of Forest Fire; Korea Forest Service (KFS): Sejong, Republic of Korea, 2018.
- Bae, M.; Chae, H. Regional characteristics of forest fire occurrences in Korea from 1990 to 2018. J. Korean Soc. Hazard Mitig. 2019, 19, 305–313. (In Korean) [Google Scholar] [CrossRef]
- Abraham, J.; Dowling, K.; Florentine, S. Risk of post-fire metal mobilization into surface water resources: A review. Sci. Total Environ. 2017, 599–600, 1740–1755. [Google Scholar] [CrossRef] [PubMed]
- Johnson, E.L. A study in the economics of water quality management. Water Resour. Res. 1967, 3, 291–305. [Google Scholar] [CrossRef]
- Arabi, M.; Govindaraju, R.S.; Hantush, M.M. Cost-effective allocation of watershed management practices using a genetic algorithm. Water Resour. Res. 2006, 42, W10429. [Google Scholar] [CrossRef]
- Ouyang, Y.; Nkedi-Kizza, P.; Wu, Q.T.; Shinde, D.; Huang, C.H. Assessment of seasonal variations in surface water quality. Water Res. 2006, 40, 3800–3810. [Google Scholar] [CrossRef] [PubMed]
- Wang, J.; Da, L.; Song, K.; Li, B.-L. Temporal variations of surface water quality in urban, suburban and rural areas during rapid urbanization in Shanghai, China. Environ. Pollut. 2008, 152, 387–393. [Google Scholar] [CrossRef] [PubMed]
- Kim, I.J.; Han, D.H. A Small Stream Management Plan to Protect the Aquatic Ecosystem; Korea Environment Institute Report (No. RE-09); Korea Environment Institute: Sejong, Republic of Korea, 2008; p. 149. (In Korean) [Google Scholar]
- Korea Forest Service (KFS). Statistical Yearbook of Forestry 2019; Korea Forest Service: Daejeon, Republic of Korea, 2019; p. 44. (In Korean)
- Jun, J.H.; Kim, K.H.; Yoo, J.Y.; Choi, H.T.; Jeong, Y.H. Variation of suspended solid concentration, electrical conductivity and pH of stream water in the regrowth and rehabilitation forested catchments. South Korea. J. Korean Soc. For. Sci. 2007, 96, 21–28. (In Korean) [Google Scholar]
- Kim, S.W.; Chun, K.W.; Park, C.M.; Nam, S.Y.; Lim, Y.H.; Kim, Y.S. The morphologic characteristics of step pool structures in a steep mountain stream, Chuncheon, Gangwon-do. J. Korean Soc. For. Sci. 2011, 100, 202–211. (In Korean) [Google Scholar]
- Dudley, N.; Stolton, S. Running Pure: The Importance of Forest Protected Areas to Drinking Water; Research Report for the World Bank and WWF Alliance for Forest Conservation and Sustainable Use; World Bank: Washington, DC, USA, 2003; ISBN 2-88085-262-5. [Google Scholar]
- Meyer, J.L.; Strayer, D.L.; Wallace, J.B.; Eggert, S.L.; Helfman, G.S.; Leonard, N.E. The contribution of headwater streams to biodiversity in river networks. J. Am. Water Resour. Assoc. 2007, 43, 86–103. [Google Scholar] [CrossRef]
- Park, J.C.; Lee, H.H. Variations of stream water quality caused by discharge change—At a watershed in Mt. Palgong. J. Korean Soc. For. Sci. 2000, 89, 342–355. (In Korean) [Google Scholar]
- Meyer, J.L.; Wallace, J.B. Lost linkages and lotic ecology: Rediscovering small streams. In Ecology: Achievement and Challenge; Huntly, M.C., Levin, N.J., Eds.; Blackwell Scientific: Oxford, UK, 2001; pp. 295–317. [Google Scholar]
- Gomi, T.; Sidle, R.C.; Richardson, J.S. Understanding processes and downstream linkages of headwater systems. Bioscience 2002, 52, 905–916. [Google Scholar] [CrossRef]
- Won, M.; Yoon, S.; Jang, K. Developing Korean forest fire occurrence probability model reflecting climate change in the spring of 2000s. Korean J. Agric. For. Meteorol. 2016, 18, 199–207. (In Korean) [Google Scholar] [CrossRef]
- Korea Forest Service (KFS). Annual Report of Forestry Statics; Korea Forest Service: Daejeon, Republic of Korea, 2017; p. 263.
- Rhee, H.P.; Yoon, C.G.; Lee, S.J.; Choi, J.H.; Son, Y.K. Analysis of nonpoint source pollution runoff from urban land uses in South Korea. Environ. Eng. Res. 2012, 17, 47–56. [Google Scholar] [CrossRef]
- Reza, A.; Eum, J.; Jung, S.; Choi, Y.; Owen, J.S.; Kim, B. Export of non-point source suspended sediment, nitrogen, and phosphorus from sloping highland agricultural fields in the East Asian monsoon region. Environ. Monit. Assess. 2016, 188, 692. [Google Scholar] [CrossRef]
- Park, M.; Choi, Y.S.; Shin, H.J.; Song, I.; Yoon, C.G.; Choi, J.D.; Yu, S.J. A comparison study of runoff characteristics of non-point source pollution from three watersheds in South Korea. Water 2019, 11, 966. [Google Scholar] [CrossRef]
- Burke, M.P.; Hogue, T.S.; Kinoshita, A.M.; Barco, J.; Wessel, C.; Stein, E.D. Pre- and post-fire pollutant loads in an urban fringe watershed in Southern California. Environ. Monit. Assess. 2013, 185, 10131–10145. [Google Scholar] [CrossRef]
- Oliver, A.A.; Bogan, M.T.; Herbst, D.B. Short-term changes in-stream macroinvertebrate communities following a severe fire in the Lake Tahoe basin, California. Hydrobiologia 2012, 694, 117–130. [Google Scholar] [CrossRef]
- Robinne, F.N.; Hallema, D.W.; Bladon, K.D.; Buttle, J.M. Wildfire impacts on hydrologic ecosystem services in North American high-latitude forests: A scoping review. J. Hydrol. 2020, 581, 124360. [Google Scholar] [CrossRef]
- Mishra, A.; Alnahit, A.; Campbell, B. Impact of land uses, drought, flood, wildfire, and cascading events on water quality and microbial communities: A review and analysis. J. Hydrol. 2021, 596, 125707. [Google Scholar] [CrossRef]
- Larsen, I.J.; MacDonald, L.H.; Brown, E.; Rough, D.; Welsh, M.J.; Pietraszek, J.H.; Libohova, Z.; de Dios Benavides-Solorio, J.; Schaffrath, K. Causes of post-fire runoff and erosion: Roles of soil water repellency, surface cover, and soil sealing? Soil Sci. Soc. Am. J. 2009, 73, 1393–1407. [Google Scholar] [CrossRef]
- Certini, G. Effects of fire on properties of forest soils: A review. Oecologia 2005, 143, 1–10. [Google Scholar] [CrossRef]
- Campos, I.; Abrantes, N.; Keizer, J.J.; Vale, C.; Pereira, P. Major and trace elements in soil and ashes of eucalypt and pine forest plantations in Portugal following a wildfire. Sci. Total Environ. 2016, 572, 1363–1376. [Google Scholar] [CrossRef] [PubMed]
- Ellis, S.; Kanowski, P.; Whelan, R. National Inquiry on Bushfire Mitigation and Management; Common-Wealth of Australia: Canberra, Australia, 2004. [Google Scholar]
- Shakesby, R.A.; Doerr, S.H. Wildfire as a hydrological and geomorphological agent. Earth Sci. Rev. 2006, 74, 269–307. [Google Scholar] [CrossRef]
- Bitner, K.; Gallaher, B.; Mullen, K. Review of Wildfire Effects on Chemical Water Quality; Los Alamos National Laboratory Report; Los Alamos National Laboratory: Los Alamos, NM, USA, 2001.
- Leelaruji, W.; Buathong, P.; Kanngan, P.; Piamtongkam, R.; Chulalaksananukul, S.; Wattayakorn, G.; Chulalaksananukul, W. Potential of laccase produced from microfungus Aureobasidium pullulans var. melanogenum to degrade polycyclic aromatic hydrocarbons. Eur. Chem. Bull. 2014, 3, 269–272. [Google Scholar]
- Pereira, P.; Úbeda, X. Spatial distribution of heavy metals released from ashes after a wildfire. J. Environ. Eng. Landsc. Manag. 2010, 18, 13–22. [Google Scholar] [CrossRef]
- Stankov Jovanovic, V.P.; Ilic, M.D.; Markovic, M.S.; Mitic, V.D.; Mandic, S.D.N.; Stojanovic, G.S. Wildfire impact on copper, zinc, lead and cadmium distribution in soil and relation with abundance in selected plants of Lamiaceae Family from Vidlic Mountain (Serbia). Chemosphere 2011, 84, 1584–1591. [Google Scholar] [CrossRef] [PubMed]
- Costa, M.E.L.; Carvalho, D.J.; Koide, S. Assessment of pollutants from diffuse pollution through the correlation between rainfall and runoff characteristics using EMC and first flush analysis. Water 2021, 13, 2552. [Google Scholar] [CrossRef]
- Gallaher, B.; Koch, R.; Mullen, K. Quality of Storm Water Runoff at Los Alamos National Laboratory in 2000 with Emphasis on the Impact of the Cerro Grande Fire; Los Alamos National Laboratory LA-13926: Los Alamos, NM, USA, 2002.
- Malmon, D.V.; Reneau, S.L.; Katzman, D.; Lavine, A.; Lyman, J. Suspended sediment transport in an ephemeral stream following wildfire. J. Geophys. Res. 2007, 112, F02006. [Google Scholar] [CrossRef]
- Sheridan, G.; Lane, P.; Noske, P.; Feikema, P.; Sherwin, C.; Grayson, R. Impact of the 2003 Alpine Bushfires on Streamflow: Estimated Changes in Stream Exports of Sediment, Phosphorus and Nitrogen following the 2003 Bush-Fires in Eastern Victoria; MDBC Publication No. 22/08; Murray-Darling Basin Commission: Canberra, Australia, 2007.
- Wallbrink, P.; English, P.; Chafer, C.; Humphreys, G.; Shakesby, R.; Blake, W.; Doerr, S. Impacts on Water Quality by Sediments and Nutrients Released during Extreme Bushfires; Sydney Catchment Authority–CSIRO Land & Water Collaborative Research Project: Canberra, Australia, 2004; p. 10. [Google Scholar]
- Kunze, M.D.; Stednick, J.D. Streamflow and suspended sediment yield following the 2000 Bob-cat fire, Colorado. Hydrol. Process. 2006, 20, 1661–1681. [Google Scholar] [CrossRef]
- Goforth, B.R.; Graham, R.C.; Hubbert, K.R.; Zanner, C.W.; Minnich, R.A. Spatial distribution and properties of ash and thermally altered soils after high-severity forest fire, southern California. Int. J. Wildland Fire 2005, 14, 343–354. [Google Scholar] [CrossRef]
- Murphy, J.D.; Johnson, D.W.; Miller, W.W.; Walker, R.F.; Carroll, E.F.; Blank, R.R. Wildfire effects on soil nutrients and leaching in a Tahoe Basin watershed. J. Environ. Qual. 2006, 35, 479–489. [Google Scholar] [CrossRef]
- Alexander, L.V. Global observed long-term changes in temperature and precipitation extremes: A review of progress and limitations in IPCC assessments and beyond. Weather Clim. Extrem. 2016, 11, 4–16. [Google Scholar] [CrossRef]
- Pereira, P.; Úbeda, X.; Martin, D.; Mataix-Solera, J.; Guerrero, C. Effects of a low severity prescribed fire on water-soluble elements in ash from a cork oak (Quercus suber) forest located in the northeast of the Iberian Peninsula. Environ. Res. 2011, 111, 237–247. [Google Scholar] [CrossRef] [PubMed]
- Korea Forest Korea Forest Service (KFS). Information on of Great Forest Fire in the Republic of Korea. 2022. Available online: https://www.forest.go.kr/kfsweb/kfi/kfs/cms/cmsView.do?mn=NKFS_02_02_01_03_03&cmsId=FC_001157 (accessed on 18 November 2022).
- Gomi, T.; Asano, Y.; Uchida, T.; Onda, Y.; Sidle, R.C.; Miyata, S.; Kosugi, K.; Mizugaki, S.; Fukuyama, T.; Fukushima, T. Evaluation of storm runoff pathways in steep nested catchments draining a Japanese cypress forest in central Japan: A geochemical approach. Hydrol. Process. 2010, 24, 550–566. [Google Scholar] [CrossRef]
- Sidle, R.C.; Tsuboyama, Y.; Noguchi, S.; Hosoda, I.; Fujieda, M.; Shimizu, T. Stormflow generation in steep forested headwaters: A linked hydrogeomorphic paradigm. Hydrol. Process. 2000, 14, 369–385. [Google Scholar] [CrossRef]
- Huang, X.; Shi, Z.H.; Zhu, H.D.; Zhang, H.Y.; Ai, L.; Yin, W. Soil moisture dynamics within soil profiles and associated environmental controls. Catena 2016, 136, 189–196. [Google Scholar] [CrossRef]
- Ministry of Environment (ME). Framework Act on Environmental Policy. Standard for Water Quality Environment, Rivers and Streams; Ministry of Environment (ME): Sejong, Republic of Korea, 2016.
- American Public Health Association (APHA). Standard Methods for the Examination of Water and Wastewater, 19th ed.; Part 5; American Public Health Association: Washington, DC, USA, 1995. [Google Scholar]
- Maniquiz, M.C.; Lee, S.; Kim, L.H. Multiple linear regression models of urban runoff pollutant load and event mean concentration considering rainfall variables. J. Environ. Sci. 2010, 22, 946–952. [Google Scholar] [CrossRef]
- Novotny, V. Water Quality: Diffuse Pollution and Watershed Management; John Wiley and Sons Publishing: New York, NY, USA, 2003. [Google Scholar]
- Badía, D.; Martí, C.; Aguirre, A.J.; Aznar, J.M.; González-Pérez, J.A.; De la Rosa, J.M.; León, J.; Ibarra, P.; Echeverría, T. Wildfire effects on nutrients and organic carbon of a Rendzic Phaeozem in NE Spain: Changes at cm-scale topsoil. Catena 2014, 113, 267–275. [Google Scholar] [CrossRef]
- Libohova, Z. Effects of Thinning and a Wildfire on Sediment Production Rates, Channel Morphology, and Water Quality in the Upper South Platte River Watershed. Master’s Thesis, US Forest Service, Fort Collins, CO, USA, 2004. [Google Scholar]
- Zong, M.; Hu, Y.; Liu, M.; Li, C.; Wang, C.; Liu, J. Quantifying the contribution of agricultural and urban non-point source pollutant loads in watershed with urban agglomeration. Water 2021, 13, 1385. [Google Scholar] [CrossRef]
- Clift, P.D.; Jonell, T.N. Monsoon controls on sediment generation and transport: Mass budget and provenance constraints from the Indus River catchment, delta and submarine fan over tectonic and multimillennial timescales. Earth-Sci. Rev. 2021, 220, 103682. [Google Scholar] [CrossRef]
- Yang, C.Y.; Kang, W.; Lee, J.H.; Julien, P.Y. Sediment regimes in South Korea. River Res. Appl. 2021, 38, 209–221. [Google Scholar] [CrossRef]
- Li, J.; Li, H.; Shen, B.; Li, Y. Effect of non-point source pollution on water quality of the Weihe River. Int. J. Sediment Res. 2011, 26, 50–61. [Google Scholar] [CrossRef]
- Hu, H.; Huang, G. Monitoring of non-point source pollutions from an agriculture watershed in South China. Water 2014, 6, 3828–3840. [Google Scholar] [CrossRef]
- Sharpley, A.N.; Daniel, T.C.; Edwards, D.R. Phosphorus movement in the landscape. J. Prod. Agric. 1993, 6, 492–500. [Google Scholar] [CrossRef]
- Haygarth, P.M.; Jarvis, S.C. Transfer of phosphorus from agricultural soil. Adv. Agron. 1999, 66, 195–249. [Google Scholar]
- Kim, S.; Park, C.K.; Kim, M.K. The regime shift of the northern hemispheric circulation responsible for the spring drought in Korea. Asia Pac. J. Korean Meteorol. Soc. 2005, 41, 571–585. (In Korean) [Google Scholar]
- Kim, M.; Sung, K. Impact of abnormal climate events on the production of Italian ryegrass as a season in Korea. J. Anim. Sci. Technol. 2021, 63, 77–90. [Google Scholar] [CrossRef]
- Bach, P.M.; McCarthy, D.T.; Deletic, A. Redefining the stormwater first flush phenomenon. Water Res. 2010, 44, 2487–2498. [Google Scholar] [CrossRef]
- Chow, M.F.; Yusop, Z.; Mohamed, M. Quality and first flush analysis of stormwater runoff from a tropical commercial catchment. Water Sci. Technol. 2011, 63, 1211–1216. [Google Scholar] [CrossRef]
- Deletic, A. The first flush load of urban surface runoff. Water Res. 1998, 32, 2462–2470. [Google Scholar] [CrossRef]
- Obermann, M.; Froebrich, J.; Perrin, J.L.; Tournoud, M.J. Impact of significant floods on the annual load in an agricultural catchment in the Mediterranean. J. Hydrol. 2007, 334, 99–108. [Google Scholar] [CrossRef]
- Kwon, H.; Kim, J.; Lim, K.; Kim, D.; Hong, E. Determination of EMC and MFFn rainfall runoff in Song-cheon, Doam Lake Watershed. J. Korean Soc. Agric. Eng. 2020, 62, 13–22. (In Korean) [Google Scholar]
- Earl, S.R.; Blinn, D.W. Effects of wildfire ash on water chemistry and biota in South-western USA streams. Freshw. Biol. 2003, 48, 1015–1030. [Google Scholar] [CrossRef]
- Reneau, S.L.; Katzman, D.; Kuyumjian, G.A.; Lavine, A.; Malmon, D.V. Sediment delivery after a wild-fire. Geology 2007, 35, 151–154. [Google Scholar] [CrossRef]
- Taebi, A.; Droste, R.L. Pollution loads in urban runoff and sanitary wastewater. Sci. Total Environ. 2004, 327, 174–184. [Google Scholar] [CrossRef] [PubMed]
- Maniquiz, M.C.; Choi, J.Y.; Lee, S.Y.; Cho, H.J.; Kim, L.H. Appropriate methods in determining the event mean concentration and pollutant removal efficiency of a best management practice. Environ. Eng. Res. 2010, 15, 215–223. [Google Scholar] [CrossRef]
- Ulery, A.L.; Graham, R.C.; Amrhein, C. Wood–ash composition and soil pH following intense burning. Soil Sci. 1993, 156, 358–364. [Google Scholar] [CrossRef]
- Someshwar, A.V. Wood and combination wood-fired boiler ash characterization. J. Environ. Qual. 1996, 25, 962–972. [Google Scholar] [CrossRef]
- Demeyer, A.; Voundi Nkana, J.C.; Verloo, M.G. Characteristics of wood ash and influence on soil properties and nutrient uptake: An overview. Bioresour. Technol. 2001, 77, 287–295. [Google Scholar] [CrossRef]
- Kim, J.; Choi, J.; Choi, C.; Park, S. Impacts of changes in climate and land use/land cover under IPCC RCP scenarios on streamflow in the Hoeya River Basin, Korea. Sci. Total Environ. 2013, 452–453, 181–195. [Google Scholar] [CrossRef]
- Ruidischa, M.; Kettering, J.; Arnhold, S.; Huwe, B. Modeling water flow in a plastic mulched ridge cultivation system on hillslopes affected by South Korean summer monsoon. Agric. Water Manag. 2013, 116, 204–217. [Google Scholar] [CrossRef]
- Bak, J.; Song, E.J.; Lee, H.J.; Liu, X.; Koo, J.H.; Kim, J.; Jeon, W.; Kim, J.H.; Kim, C.H. Temporal variability of tropospheric ozone and ozone profiles in the Korean Peninsula during the East Asian summer monsoon: Insights from multiple measurements and reanalysis datasets. Atmos. Chem. Phys. 2022, 22, 14177–14187. [Google Scholar] [CrossRef]
- Doerr, S.H.; Shakesby, R.A.; MacDonald, L.H. Soil water repellency: A key factor in post-fi re erosion? In Fire Effects on Soils and Restoration Strategies; Cerdà, A., Robichaud, P.R., Eds.; Science Publications: Enfield, NH, USA, 2009. [Google Scholar]
- Spencer, C.N.; Hauer, F.R. Phosphorus and nitrogen dynamics in streams during a wildfire. J. N. Am. Benthol. Soc. 1991, 10, 24–30. [Google Scholar] [CrossRef]
- Lathrop, R.G., Jr. Impacts of the 1988 wildfires on the water quality of Yellowstone and Lewis Lakes, Wyoming. Int. J. Wildland Fire 1994, 4, 169–175. [Google Scholar] [CrossRef]
- Hauer, F.R.; Spencer, C.N. Phosphorus and nitrogen dynamics in streams associated with wildfire: A study of immediate and long-term effects. Int. J. Wildland Fire 1998, 8, 183–198. [Google Scholar] [CrossRef]
- Yur, J.; Kim, G. Comparison of discharge characteristics of NPS pollutant loads from urban, agricultural, and forestry watersheds. J. Korean Soc. Water Environ. 2005, 21, 184–489. (In Korean) [Google Scholar]
- Kang, C.G.; Lee, S.; Gorme, J.B.; Lee, J.U.; Kim, L.H. Determination of EMC and wash off characteristics of stormwater runoff from broad-leaved forest areas. J. Environ. Impact Assess. 2009, 18, 393–399. (In Korean) [Google Scholar]
- Yoon, S.W.; Chung, S.W.; Oh, D.G.; Lee, J.W. Monitoring of non-point source pollutants load from a mixed forest land use. J. Environ. Sci. 2010, 22, 801–805. [Google Scholar] [CrossRef] [PubMed]
- National Institute of Environmental Research (NIER). Integrated Monitoring and Management Plan for Non-Point Pollution (II); National Institute of Environmental Research (NIER): Incheon, Republic of Korea, 2014; p. 346.
- Finley, C.D.; Glenn, N.F. Fire and vegetation type effects on soil hydrophobicity and infiltration in the sagebrush-steppe: II. Hyperspectral analysis. J. Arid Environ. 2010, 74, 660–666. [Google Scholar] [CrossRef]
- Kinoshita, A.M.; Hogue, T.S. Spatial and temporal controls on post-fire hydrologic recovery in Southern California watersheds. Catena 2011, 87, 240–252. [Google Scholar] [CrossRef]
- Shakesby, R.A. Post-wildfire soil erosion in the Mediterranean: Review and future research directions. Earth Sci. Rev. 2011, 105, 71–100. [Google Scholar] [CrossRef]
- Hosseini, M.; Keizer, J.J.; Pelayo, O.G.; Prats, S.A.; Ritsema, C.; Geissen, V. Effect of fire frequency on runoff, soil erosion, and loss of organic matter at the micro-plot scale in north-central Portugal. Geoderma 2016, 269, 126–137. [Google Scholar] [CrossRef]
- Qian, W.; Kang, H.S.; Lee, D.K. Distribution of seasonal rainfall in the East Asian monsoon region. Theor. Appl. Climatol. 2002, 73, 151–168. [Google Scholar] [CrossRef]
- Cerdà, A.; Robichaud, P. Fire effects on soil infiltration. In Fire Effects on Soils and Restoration Strategies; Cerdà, A., Robichaud, P., Eds.; NH Science Publishers: Enfield, NH, USA, 2009; pp. 81–104. [Google Scholar]
- Moody, J.A.; Shakesby, R.A.; Robichaud, P.R.; Cannon, S.H.; Martin, D.A. Current research issues related to post-wildfire runoff and erosion processes. Earth Sci. Rev. 2013, 122, 10–37. [Google Scholar] [CrossRef]
Disclaimer/Publisher’s Note: The statements, opinions and data contained in all publications are solely those of the individual author(s) and contributor(s) and not of MDPI and/or the editor(s). MDPI and/or the editor(s) disclaim responsibility for any injury to people or property resulting from any ideas, methods, instructions or products referred to in the content. |
© 2022 by the authors. Licensee MDPI, Basel, Switzerland. This article is an open access article distributed under the terms and conditions of the Creative Commons Attribution (CC BY) license (https://creativecommons.org/licenses/by/4.0/).






