Investigating the Granulometric Distribution of Fluvial Sediments through the Hybrid Technique: Case Study of the Baganza River (Italy)
Abstract
:1. Introduction
2. Study Area
2.1. Location
2.2. Geology
2.3. Morphology
2.4. Hydrometry
2.5. Site Selection
- The morphological characteristics of the riverbed;
- The presence of defense works and their impact on longitudinal and lateral continuity;
- The main effects of the 13 October 2014 flood on the areas present in the vicinity.
3. Experimental Procedure
4. Data Collection
4.1. Data Input Representation
4.2. Sieve Correction Factor for the GSD Comparison
5. Data Processing
Grain Size Identification and Quantification Mechanism
- The conversion of the digital photograph into a greyscale image and correction for the radial lens distortion.
- The projection transformation of the photograph in order to adjust the camera angle.
- The mechanism for the identification of particles in the image (i.e., grain selection).
- The grain separation algorithm.
- The mask overlay.
- The measurement of the grains and extraction of the relevant information in the form of pixels.
- The conversion of grain sizes in mm.
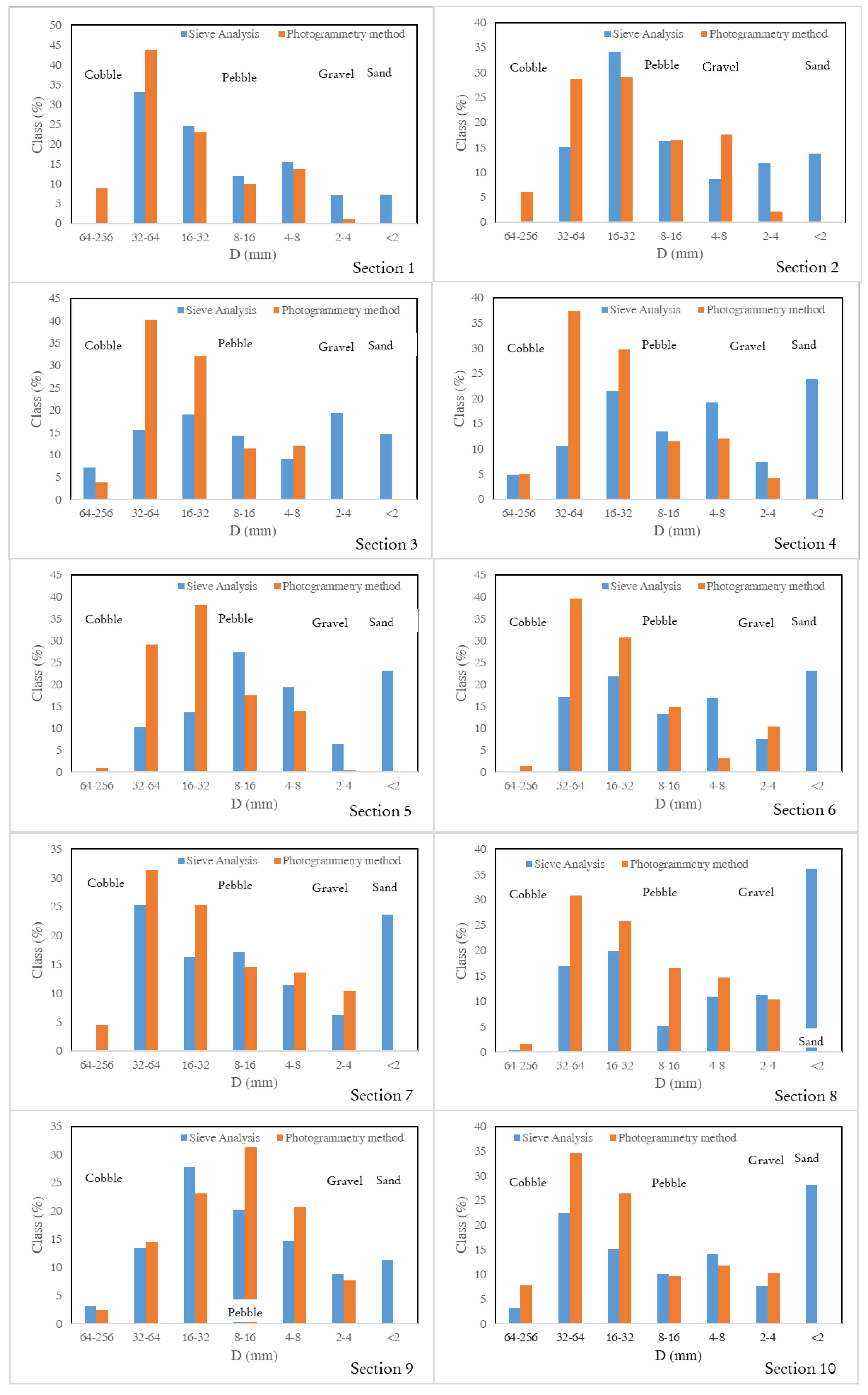
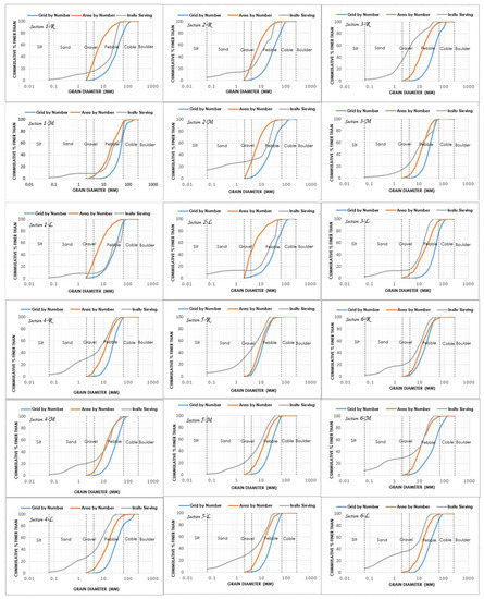
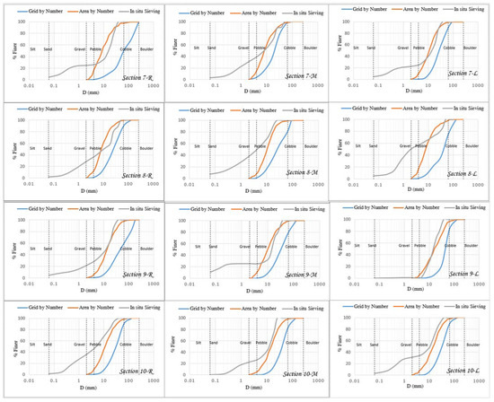
6. Results and Discussion
6.1. Spatial Comparison
6.2. Temporal Comparison Using the Photogrammetric Technique
6.3. Temporal Comparison Using Sieve Analysis
6.4. Combination of the Photogrammetric Technique and Sieve Analysis
7. Conclusions and Recommendations
Author Contributions
Funding
Acknowledgments
Conflicts of Interest
Declaration
References
- Su, Q.; Peng, C.; Yi, L.; Huang, H.; Liu, Y.; Xu, X.; Chen, G.; Yu, H. An improved method of sediment grain size trend analysis in the Xiaoqinghe Estuary, southwestern Laizhou Bay, China. Environ. Earth Sci. 2016, 75, 1185. [Google Scholar] [CrossRef]
- Le Roux, J.P.; Rojas, E.M. Sediment transport patterns determined from grain size parameters: Overview and state of the art. Sediment. Geol. 2007, 2002, 473–488. [Google Scholar] [CrossRef]
- Dade, W.B. Grain size, sediment transport and alluvial channel pattern. Geomorphology 2000, 35, 119–126. [Google Scholar] [CrossRef]
- Dade, W.B.; Friend, P.F. Grain size, sediment-transport regime and channel slope in alluvial rivers. J. Geol. 1998, 106, 661–675. [Google Scholar] [CrossRef]
- Venditti, J.G.; Dietrich, W.E.; Nelson, P.A.; Wydzga, M.A.; Fadde, J.; Sklar, L. Effect of sediment pulse grain size on sediment transport rates and bed mobility in gravel bed rivers. J. Geophys. Res. 2010, 115, F03039. [Google Scholar] [CrossRef] [Green Version]
- Hassan, M.A.; Church, M. Experiments on surface structure and partial sediment transport on a gravel bed. Water Resour. Res. 2000, 36, 1885–1895. [Google Scholar] [CrossRef]
- Wilcock, P.R. Toward a practical method for estimating sediment-transport rates in gravel-bed rivers. Earth Surf. Processes Landf. 2001, 26, 1395–1408. [Google Scholar] [CrossRef]
- Wolman, M.G. A Method of Sampling Coarse River-Bed Material. Am. Geophys. Union Trans. 1954, 35, 951–956. [Google Scholar] [CrossRef]
- Syvitski, J.P.M. Principles, Methods, and Application of Particle Size Analysis; Cambridge University Press: Cambridge, UK, 1991; p. 368. [Google Scholar]
- Smart, G.M. The influence of roughness structure on flow resistance in mountain streams. J. Hydraul. Res. 2003, 41, 259–269. [Google Scholar]
- Aberle, J.; Nikora, V. Statistical properties of armored gravel-bed surfaces. Water Resour. Res. 2006, 42, W11414. [Google Scholar] [CrossRef]
- Roberts, R.G.; Church, M. The sediment budget in severely disturbed watersheds, Queen Charlotte Ranges, British Columbia. Can. J. For. Res. 1986, 16, 1092–1106. [Google Scholar] [CrossRef]
- Kondolf, G.M.; Lisle, T.E.; Wolman, G.M. Bed Sediment Measurement. In Tools in Fluvial Geomorphology; Kondolf, G.M., Piegay, H., Eds.; John Wiley & Sons Ltd.: Chichester, UK, 2007; Chapter 13. [Google Scholar]
- Graham, D.J.; Reid, I.; Rice, S.P. Automated sizing of coarse grained sediments: Image-processing procedures. Math. Geol. 2005, 37, 1–28. [Google Scholar] [CrossRef]
- Graham, D.J.; Rice, S.P.; Reid, I. A transferable method for the automated grain sizing of river gravels. Water Resour. Res. 2005, 41, W07020. [Google Scholar] [CrossRef] [Green Version]
- Strom, K.B.; Kuhns, R.D.; Lucas, H.J. Comparison of automated image-based grain sizing to standard pebble-count methods. J. Hydraul. Eng. 2010, 136, 461–473. [Google Scholar] [CrossRef]
- Di Francesco, S.; Biscarini, C.; Manciola, P. Characterization of a flood event through a sediment analysis: The Tescio River case study. Water 2016, 8, 308. [Google Scholar] [CrossRef] [Green Version]
- Reid, I.; Graham, D.; Laronne, J.; Rice, S. Essential ancillary data requirements for the validation of surrogate measurements of bedload: Non-invasive bed material grain size and definitive measurements of bed-load flux. In U.S. Geological Survey Scientific Investigations Report; 2010-5091; U.S. Geological Survey: Reston, VA, USA, 2010. [Google Scholar]
- Variante al Piano per l’assetto idrogeologico del bacino del fiume Po (PAI): Torrente Baganza da Calestano a Confluenza Parma e torrente Parma da Parma a confluenza Po. 2015, p. 12. Available online: https://www.adbpo.it/PDGA_Documenti_Piano/Attuazione_del_Piano/Varianti_fasce_fluviali/Parma_Baganza/Schema_Progetto_Variante/All_2_Atlante_geomorfologico_Parte_Testuale.pdf (accessed on 29 March 2022).
- Church, M.A.; McLean, D.G.; Wolcott, J.F. River bed gravels: Sampling and analysis. In Sediment Transport in Gravel-Bed Rivers; Thorne, C.R., Bathurst, J.C., Hey, R.D., Eds.; John Wiley and Sons: Chichester, UK, 1987; pp. 43–88. [Google Scholar]
- Bunte, K.; Abt, S.R. Sampling Surface and Subsurface Particle-Size Distributions in Wadable Gravel-and Cobble-Bed Streams for Analyses in Sediment Transport, Hydraulics, and Streambed Monitoring; US Department of Agriculture, Forest Service, Rocky Mountain Research Station: Fort Collins, CO, USA, 2001. [Google Scholar]
- Folk, R.L.; Ward, W.C. Brazos River bar [Texas]; a study in the significance of grain size parameters. J. Sediment. Res. 1957, 27, 3–26. [Google Scholar] [CrossRef]
- Awasthi, A.K. Skewness as an environmental indicator in the Solani river system, Roorkee (India). Sediment. Geol. 1970, 4, 177–183. [Google Scholar] [CrossRef]
- AIPo (Agenzia Interregionale Per Il Fiume Po). Relazione Finale Piano Delle Indagini Propedeutiche Alla Progettazione Definitiva. (PR-E-1047) Progettazione Definitiva Dei Lavori Di Realizzazione Della Cassa Di Espansione Del T. Baganza Nei Comuni Di Felino (PR), Sala Baganza (PR), Collecchio (PR) E Parma. Available online: https://www.agenziapo.it/documentazione/115 (accessed on 10 January 2022). (In Italian).
- Fripp, J.; Diplas, P. Surface Sampling in Gravel Streams. J. Hydraul. Eng. 1993, 119, 473. [Google Scholar] [CrossRef]















| Section No. | Distance from Confluence (km) | Avg. River Width (m) | Place | Longitude | Latitude |
|---|---|---|---|---|---|
| 1 | 0.15 | 40 | Near Ponte Italia Bridge | 10°19′22.24″ E | 44°47′35.99″ N |
| 2 | 3.186 | 55 | Giaone | 10°18′05.96″ E | 44°46′22.23″ N |
| 3 | 5.894 | 66 | Giaone—An Ruffino | 10°16′41.83″ E | 44°45′32.24″ N |
| 4 | 7.465 | 150 | San Ruffino | 10°15′58.07″ E | 44°44′53.28″ N |
| 5 | 10.88 | 90 | Le-Fornaci | 10°14′27.46″ E | 44°43′28.53″ N |
| 6 | 12.422 | 90 | Sala Baganza | 10°14′09.86″ E | 44°42′39.68″ N |
| 7 | 16.081 | 160 | Sala Baganza—San Vitale Baganza | 10°12′46.58″ E | 44°41′10.37″ N |
| 8 | 18.766 | 150 | San Vitale Baganza | 10°11′33.58″ E | 44°39′53.31″ N |
| 9 | 23.007 | 85 | Marzolara | 10°10′09.07″ E | 44°37′53.71″ N |
| 10 | 28.688 | 150 | Calestano | 10°7′06.64″ E | 44°36′16.13″ N |
| Sr.No | Sections | Sieve Analysis D (mm) | Photogrammetry Method D (mm) | Grain Size Statistics (Folk and Ward, 1987) | ||||||||||
|---|---|---|---|---|---|---|---|---|---|---|---|---|---|---|
| Grid by Number | Area by Number | Mean | Sorting | Skewness | Kurtosis | |||||||||
| D10 | D50 | D90 | D10 | D50 | D90 | D10 | D50 | D90 | ||||||
| 1 | Ponte Italia Bridge | 3.62 | 27.79 | 59.5 | 12.32 | 38.71 | 78.17 | 2.68 | 6.66 | 27.25 | 7.43 | 2.44 | −0.22 | 0.88 |
| 2 | Giaone | 0.16 | 15.85 | 36.9 | 8.11 | 28.5 | 74.46 | 2.53 | 5.8 | 19.47 | 6.28 | 2.19 | −0.19 | 0.93 |
| 3 | Giaone - San Ruffino | 2.24 | 13.95 | 30.1 | 16.08 | 43.15 | 102.8 | 4.52 | 13.1 | 39.89 | 13.36 | 2.31 | −0.1 | 0.88 |
| 4 | San Ruffino | 0.72 | 8.47 | 30.5 | 13.92 | 33.93 | 72.19 | 5.03 | 13.5 | 35.19 | 12.41 | 2.21 | −0.1 | 0.92 |
| 5 | Le Fornaci | 0.34 | 9.33 | 26.9 | 13.92 | 35.71 | 81.19 | 4.36 | 12.7 | 33.6 | 10.43 | 2.05 | −0.1 | 0.93 |
| 6 | Sala Baganza | 0.35 | 7.05 | 21.4 | 10.95 | 27.36 | 66.27 | 4.18 | 10.3 | 26.18 | 10.44 | 2.23 | −0.1 | 0.95 |
| 7 | Sala Baganza - San Vitale Baganza | 0.37 | 9.14 | 23.6 | 14.86 | 40.84 | 91.88 | 4.53 | 12.7 | 34.65 | 12.22 | 2.22 | −0.1 | 1 |
| 8 | San Vitale Baganza | 0.18 | 9.54 | 23 | 12.02 | 32.34 | 64.16 | 3.69 | 10.5 | 29.65 | 10.43 | 2.21 | −0.1 | 0.95 |
| 9 | Marzolara | 0.25 | 12.47 | 31.1 | 11.49 | 36.91 | 92.43 | 3.65 | 9.33 | 27.6 | 9.63 | 2.2 | −0.1 | 0.96 |
| 10 | Calestano | 0.29 | 5.55 | 32.7 | 10.6 | 34.72 | 85.86 | 3.68 | 8.7 | 24.74 | 9.04 | 2.11 | −0.1 | 0.96 |
| Average | 0.85 | 11.91 | 31.56 | 12.43 | 35.22 | 80.94 | 3.89 | 10.33 | 29.82 | 10.17 | 2.22 | −0.12 | 0.94 | |
| Section | Sample Weight in kg (2019) | Sample Weight in kg (2021) |
|---|---|---|
| San Ruffino | 90 | 2.5 |
| Ponte Sala Baganza | 95 | 2.1 |
| Ponte Marzolara | 85 | 3.2 |
| San Vitale Baganza | 90 | 2.3 |
Publisher’s Note: MDPI stays neutral with regard to jurisdictional claims in published maps and institutional affiliations. |
© 2022 by the authors. Licensee MDPI, Basel, Switzerland. This article is an open access article distributed under the terms and conditions of the Creative Commons Attribution (CC BY) license (https://creativecommons.org/licenses/by/4.0/).
Share and Cite
Khan, U.A.; Valentino, R. Investigating the Granulometric Distribution of Fluvial Sediments through the Hybrid Technique: Case Study of the Baganza River (Italy). Water 2022, 14, 1511. https://doi.org/10.3390/w14091511
Khan UA, Valentino R. Investigating the Granulometric Distribution of Fluvial Sediments through the Hybrid Technique: Case Study of the Baganza River (Italy). Water. 2022; 14(9):1511. https://doi.org/10.3390/w14091511
Chicago/Turabian StyleKhan, Usman Ali, and Roberto Valentino. 2022. "Investigating the Granulometric Distribution of Fluvial Sediments through the Hybrid Technique: Case Study of the Baganza River (Italy)" Water 14, no. 9: 1511. https://doi.org/10.3390/w14091511
APA StyleKhan, U. A., & Valentino, R. (2022). Investigating the Granulometric Distribution of Fluvial Sediments through the Hybrid Technique: Case Study of the Baganza River (Italy). Water, 14(9), 1511. https://doi.org/10.3390/w14091511

