Physical Modelling of Hydraulic Erosion Rates on Loess Slopes
Abstract
:1. Introduction
2. Materials and Methods
2.1. Materials
2.2. Experimental Apparatus
2.3. Experimental Procedure
3. Results and Discussion
3.1. Sample Test Analysis
3.2. Stage and Characteristics of Process Curve of the Sediment Percentage
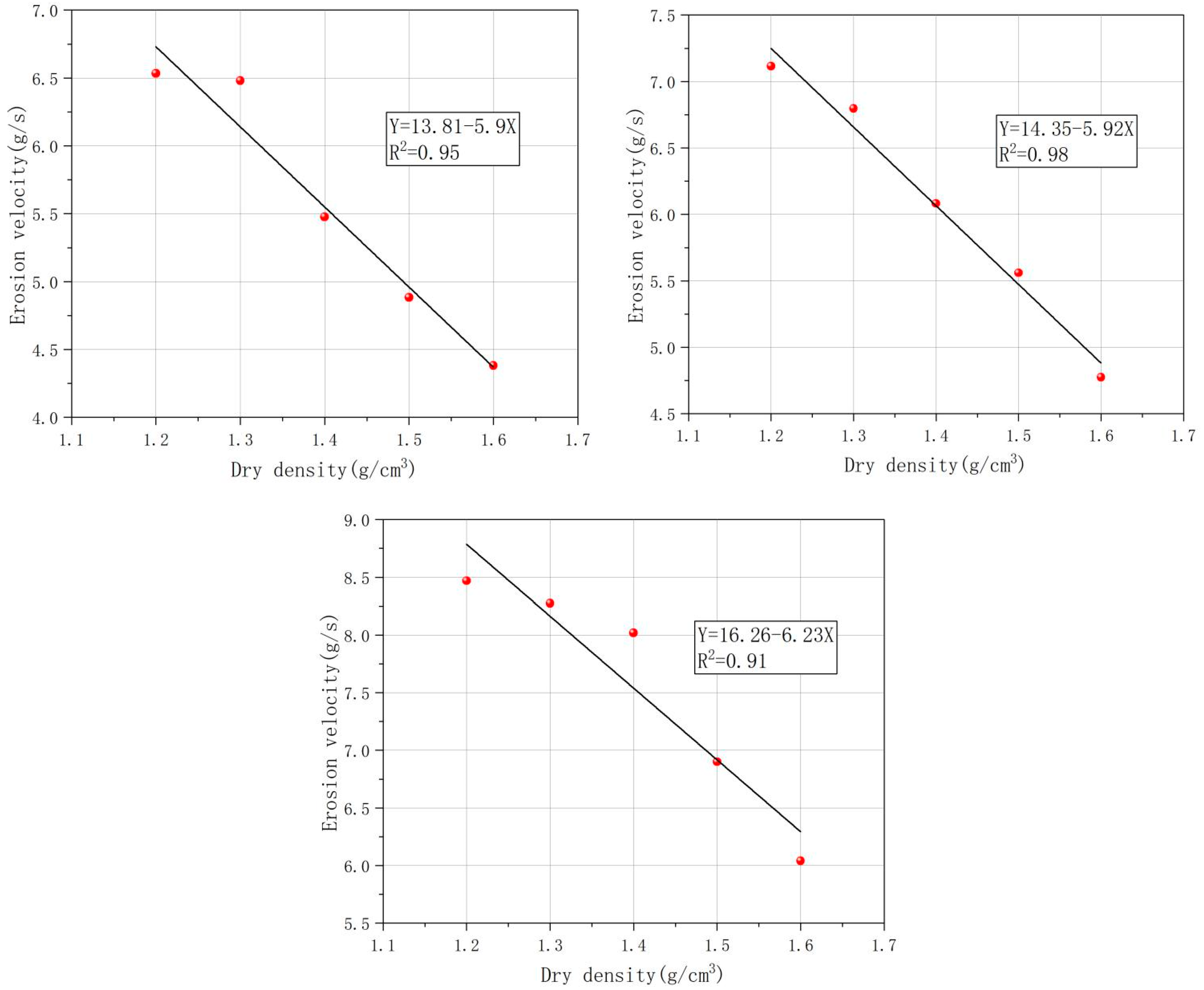
3.3. Influence of Initial Dry Density on Erosion Rate
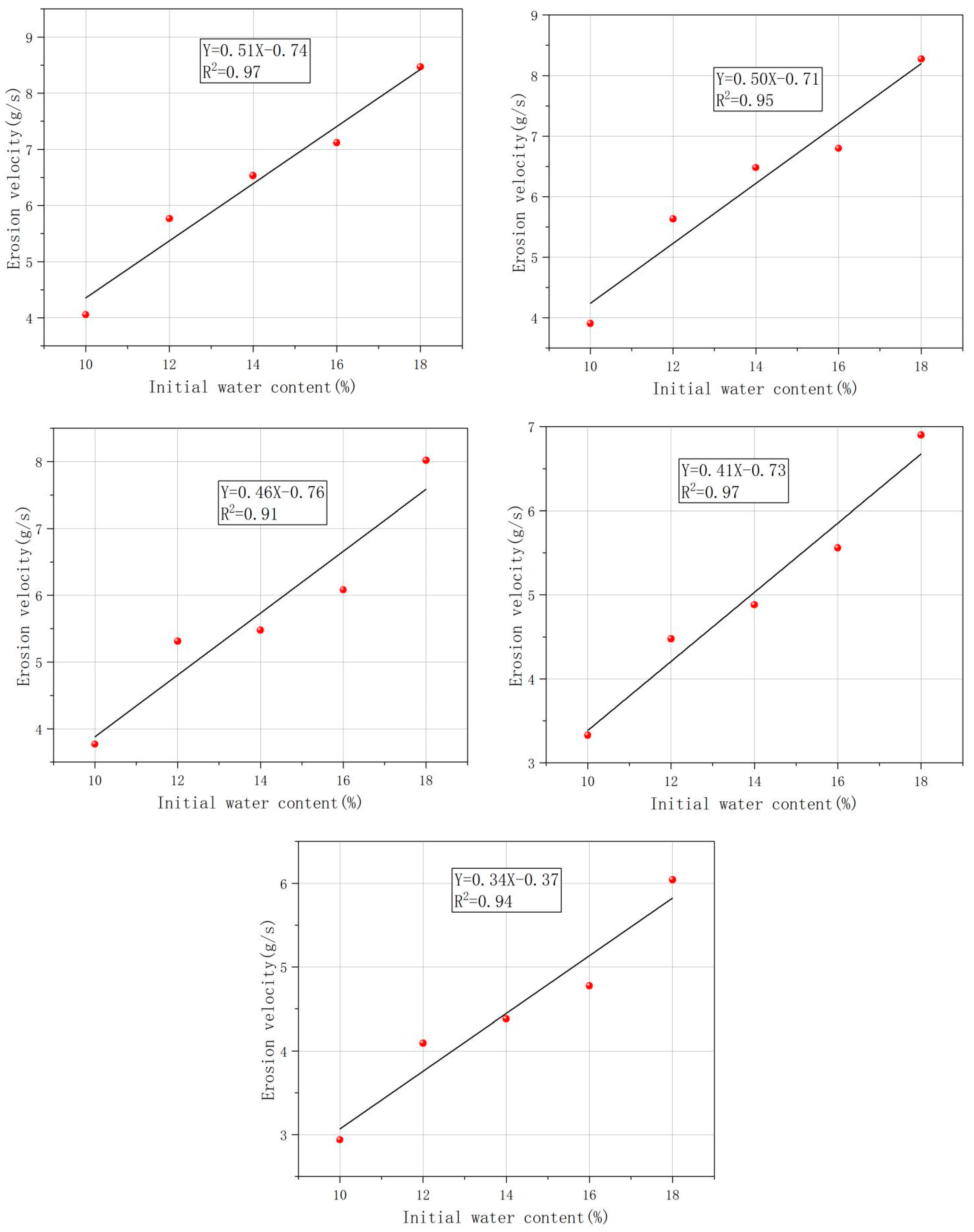
3.4. Influence of Initial Moisture Content on Erosion Rate
4. Conclusions
- (1)
- The hydraulic erosion of the loess slope is mainly based on fine channel erosion. Soil particles on the surface of the specimen are easily dispersed. In the process of scouring, some drop pits will first appear on the slope surface, and some soil particles at the edge of the drop pits are subject to runoff shear and gravity. The drop pits then continue to develop, and the beginnings of a fine gully appear as the drop pits merge.
- (2)
- The hydraulic erosion process of loess slopes can be generalised into two characteristic stages, namely the rapid erosion stage and the slow uniform erosion stage. In the second stage, fine gullies are formed and the flow rate through the gullies is relatively stable during scouring. The creation and development of fine channels makes the slope surface runoff complex, and there is no obvious regularity in the slope surface sand production rate. However, the greater the number of fine channels on the slope surface, the greater the slope surface erosion volume will be.
- (3)
- The erosion rate of loess was significantly negatively correlated with its initial dry density, but positively correlated with its initial moisture content. This result indicates that the resistance to scouring and erosion of loess increases significantly with the increase in initial dry density under the same initial moisture content. The main reason for this is that as the initial dry density increases, the shear strength index of the loess specimen increases, and the critical starting shear of the loess particles also increases. As the initial water content increases under the same initial dry density conditions, the erosion rate of the loess specimen increases. The main reason for this is that as the initial water content increases, the salt crystal film around the particles is dissolved and the strength of the association between the particles is gradually weakened, resulting in a reduction in the cohesion between the particles. That is to say, with the increase in initial dry density or the decrease in initial water content, the erosion resistance of loess increases.
Author Contributions
Funding
Data Availability Statement
Acknowledgments
Conflicts of Interest
References
- Wang, L.; Li, X.A.; Li, L.C.; Hong, B.; Yao, W.; Lei, H.N.; Zhang, C. Characterization of the collapsible mechanisms of Malan loess on the Chinese Loess Plateau and their effects on eroded loess landforms. Hum. Ecol. Risk Assess. Int. J. 2020, 26, 2541–2566. [Google Scholar] [CrossRef]
- Li, X.A.; Wang, L.; Hong, B.; Li, L.C.; Liu, J.; Lei, H.N. Erosion characteristics of loess tunnels on the Loess Plateau: A field investigation and experimental study. Earth Surf. Process. Landf. 2020, 45, 1945–1958. [Google Scholar] [CrossRef]
- Gao, G.R. The distribution and geotechnical properties of loess soils, lateritic soils and clayey soils in China. Eng. Geol. 1996, 42, 95–104. [Google Scholar] [CrossRef]
- Derbyshire, E.; Mellors, T.W. Geological and geotechnical characteristics of some loess and loessic soils from China and Britain: A comparison. Eng. Geol. 1988, 25, 135–175. [Google Scholar] [CrossRef]
- Li, X.A.; Wang, L.; Yan, Y.L.; Hong, B.; Li, L.C. Experimental study on the disintegration of loess in the Loess Plateau of China. Bull. Eng. Geol. Environ. 2019, 78, 4907–4918. [Google Scholar] [CrossRef]
- Shi, H.; Shao, M.G. Soil and water loss from the Loess Plateau in China. J. Arid. Environ. 2000, 45, 9–20. [Google Scholar] [CrossRef] [Green Version]
- Atsushi, T.; Liu, G.B.; Norikazu, Y.; Du, S. Restoration and Development of the Degraded Loess Plateau, China; Springer: Tokyo, Japan, 2014. [Google Scholar]
- Liu, Y.; Fu, B.J.; Lü, Y.H.; Wang, Z.; Gao, G.Y. Hydrological responses and soil erosion potential of abandoned cropland in the Loess Plateau, China. Geomorphology 2012, 138, 404–414. [Google Scholar] [CrossRef]
- Li, P.F.; Mu, X.M.; Holden, J.; Wu, Y.P.; Brian, I.; Wang, F.; Gao, P.; Zhao, G.J.; Sun, W.Y. Comparison of soil erosion models used to study the Chinese Loess Plateau. Earth Sci. Rev. 2017, 170, 17–30. [Google Scholar] [CrossRef] [Green Version]
- Wu, B.; Wang, Z.L.; Zhang, Q.W.; Shen, N. Distinguishing transport-limited and detachment-limited processes of interrill erosion on steep slopes in the Chinese loessial region. Soil Tillage Res. 2018, 177, 88–96. [Google Scholar] [CrossRef]
- Govers, G.; Poesen, J. Assessment of the interrill and rill contributions to total soil loss from an upland field plot. Geomorphology 1988, 1, 343–354. [Google Scholar] [CrossRef]
- Kimaro, D.N.; Poesen, J.; Msanya, B.M.; Deckers, J.A. Magnitude of soil erosion on the northern slope of the Uluguru Mountains, Tanzania: Interrill and rill erosion. Catena 2008, 75, 38–44. [Google Scholar] [CrossRef]
- Wirtz, S.; Seeger, M.; Ries, J.B. Field experiments for understanding and quantification of rill erosion processes. Catena 2012, 91, 21–34. [Google Scholar] [CrossRef]
- Guo, W.Z.; Bai, Y.; Cui, Z.Q.; Wang, W.L.; Li, J.M.; Su, Z.G. The impact of concentrated flow and slope on unpaved loess-road erosion on the Chinese Loess Plateau. Land Degrad. Dev. 2020, 32, 914–925. [Google Scholar] [CrossRef]
- Zhu, T.X. Gully and tunnel erosion in the hilly Loess Plateau region, China. Geomorphology 2012, 153, 144–155. [Google Scholar] [CrossRef]
- Cerdan, O.; Govers, G.; Bissonnais, Y.L.; Oost, K.V.; Poesen, J.; Saby, N.; Gobin, A.; Vacca, A.; Quinton, J.; Auerswald, K.; et al. Rates and spatial variations of soil erosion in Europe: A study based on erosion plot data. Geomorphology 2010, 122, 167–177. [Google Scholar] [CrossRef]
- Huang, Y.H.; Chen, X.Y.; Li, F.H.; Zhang, J.; Lei, T.W.; Li, J.; Chen, P.; Wang, X.F. Velocity of water flow along saturated loess slopes under erosion effects. J. Hydrol. 2018, 561, 304–311. [Google Scholar] [CrossRef]
- Wu, B.; Wang, Z.L.; Zhang, Q.W.; Shen, N.; Liu, J. Modelling sheet erosion on steep slopes in the loess region of China. J. Hydrol. 2017, 553, 549–558. [Google Scholar] [CrossRef]
- Wang, J.W.; Zhang, K.D.; Li, P.; Meng, Y.; Zhao, L.Y. Hydrodynamic characteristics and evolution law of roll waves in overland flow. Catena 2021, 198, 105068. [Google Scholar] [CrossRef]
- Andrea, Z.; Vladimir, N.; Stuart, C.; Wada, P.; Isacco, V.; Mark, S. Effects of Streamwise Ridges on Hydraulic Resistance in Open-Channel Flows. J. Hydraul. Eng. 2020, 146, 06019018. [Google Scholar]
- Zhu, X.M.; Tian, J.Y. Main types of water erosion and its affection factors in Loess Plateau. Bull. Soil Water Conserv. 1998, 4, 13–18. [Google Scholar]
- Gao, W.S.; Wang, Y.M. Review on the study of soil anti-erosibility and anti-scourability. Bull. Soil Water Conserv. 1992, 12, 59–63. [Google Scholar]
- Guo, T.L.; Wang, Q.J.; Li, D.Q.; Wu, L.S. Sediment and solute transport on soil slope under simultaneous influence of rainfall impact and scouring flow. Hydrol. Process. 2010, 24, 1446–1454. [Google Scholar] [CrossRef]
- Guo, T.L.; Wang, Q.J.; Bai, W.J.; Zhuang, J. Effect of land use on scouring flow hydraulics and transport of soil solute in erosion. J. Hydrol. Eng. 2013, 18, 465–473. [Google Scholar] [CrossRef]
- Yin, W.; Zhu, D.; Lei, J.S. Investigation and analysis on vegetation characteristics of roadside slopes in Zigui county of three gorges reservoir area. Adv. Mater. Res. 2015, 1073, 1128–1133. [Google Scholar] [CrossRef]
- Zhang, P.; Tang, H.; Yao, W.; Zhang, N.; Xizhi, L. Experimental investigation of morphological characteristics of rill evolution on loess slope. Catena 2016, 137, 536–544. [Google Scholar] [CrossRef]
- Govers, G.; Everaert, W.; Poesen, J.; Rauws, G.; Ploey, D.; Lautridou, J.P. A long flume study of the dynamic factors affecting the resistance of a loamy soil to concentrated flow erosion. Earth Surf. Process. Landf. 1990, 15, 313–328. [Google Scholar] [CrossRef]
- Stefan, W.; Manuel, S.; Andreas, Z.; Christian, W.; Jean-Frank, W.; Johannes, B.R. Applicability of different hydraulic parameters to describe soil detachment in eroding rills. PLoS ONE 2013, 8, e64861. [Google Scholar]
- Zhao, G.; Mu, X.; Wen, Z.; Wang, F.; Gao, P. Soil erosion, conservation, and eco-environment changes in the Loess Plateau of China. Land Degrad. Dev. 2013, 24, 499–510. [Google Scholar] [CrossRef]
- Lu, J.; Zheng, F.L.; Li, G.F.; Bian, F.; An, J. The effects of raindrop impact and runoff detachment on hill slope soil erosion and soil aggregate loss in the Mollisol region of Northeast China. Soil Tillage Res. 2016, 161, 79–85. [Google Scholar] [CrossRef]
- Wang, L.; Li, X.A.; Hong, B.; Li, L.C.; Liu, J. Experimental study on the physical modeling of loess tunnel-erosion rate. Bull. Eng. Geol. Environ. 2019, 78, 5827–5840. [Google Scholar] [CrossRef]









| Density (g/cm3) | Water Content (%) | Percent Clay Φ < 0.005 mm | Percent Silt Φ < 0.074 mm | Percent Sand Φ > 0.074 mm | Hydraulic Conductivity (cm/s) |
|---|---|---|---|---|---|
| 1.27 | 13.3 | 25.8 | 73.9 | 0.3 | 1.60 × 10−4 |
Publisher’s Note: MDPI stays neutral with regard to jurisdictional claims in published maps and institutional affiliations. |
© 2022 by the authors. Licensee MDPI, Basel, Switzerland. This article is an open access article distributed under the terms and conditions of the Creative Commons Attribution (CC BY) license (https://creativecommons.org/licenses/by/4.0/).
Share and Cite
Zheng, H.; Li, X.-A.; Deng, Y.-H.; Li, J.; Wen, F. Physical Modelling of Hydraulic Erosion Rates on Loess Slopes. Water 2022, 14, 1344. https://doi.org/10.3390/w14091344
Zheng H, Li X-A, Deng Y-H, Li J, Wen F. Physical Modelling of Hydraulic Erosion Rates on Loess Slopes. Water. 2022; 14(9):1344. https://doi.org/10.3390/w14091344
Chicago/Turabian StyleZheng, Hong, Xi-An Li, Ya-Hong Deng, Jie Li, and Feng Wen. 2022. "Physical Modelling of Hydraulic Erosion Rates on Loess Slopes" Water 14, no. 9: 1344. https://doi.org/10.3390/w14091344
APA StyleZheng, H., Li, X.-A., Deng, Y.-H., Li, J., & Wen, F. (2022). Physical Modelling of Hydraulic Erosion Rates on Loess Slopes. Water, 14(9), 1344. https://doi.org/10.3390/w14091344
