Application of a Conceptual Hydrological Model for Streamflow Prediction Using Multi-Source Precipitation Products in a Semi-Arid River Basin
Abstract
:1. Introduction
2. Materials and Methods
2.1. Study Area
2.2. Description of Observed Data, PPs, and the Hydrological Model
2.3. Calibration and Validation of the Hydrological Model
2.4. Evaluation of PPs for Streamflow Prediction
3. Results
3.1. Performance of the HBV-Light in Simulating Observed Streamflow in Chirah and Dhoke Pathan Sub-Catchments with Observed Precipitation
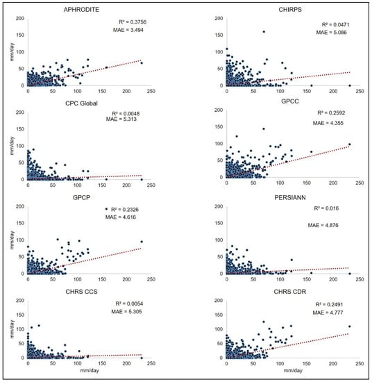
3.2. Performance of Different PPs in Simulating Observed (Gauge Based) Precipitation
3.3. Performance of the HBV-Light in Simulating Observed Streamflow in Chirah and Dhoke Pathan Sub-Catchments with Estimated Precipitation
4. Discussion
5. Conclusions
Supplementary Materials
Author Contributions
Funding
Institutional Review Board Statement
Informed Consent Statement
Data Availability Statement
Acknowledgments
Conflicts of Interest
References
- Ndehedehe, C.E.; Ferreira, V.G.; Onojeghuo, A.O.; Agutu, N.O.; Emengini, E.; Getirana, A. Influence of global climate on freshwater changes in Africa’s largest endorheic basin using multi-scaled indicators. Sci. Total Environ. 2020, 737, 139643. [Google Scholar] [CrossRef] [PubMed]
- Ricci, G.F.; De Girolamo, A.M.; Abdelwahab, O.M.M.; Gentile, F. Identifying sediment source areas in a Mediterranean watershed using the SWAT model. Land Degrad. Dev. 2018, 29, 1233–1248. [Google Scholar] [CrossRef]
- Serpa, D.; Nunes, J.P.; Santos, J.; Sampaio, E.; Jacinto, R.; Veiga, S.; Lima, J.C.; Moreira, M.; Corte-Real, J.; Keizer, J.J.; et al. Impacts of climate and land use changes on the hydrological and erosion processes of two contrasting Mediterranean catchments. Sci. Total Environ. 2015, 538, 64–77. [Google Scholar] [CrossRef] [Green Version]
- Sorando, R.; Comín, F.A.; Jiménez, J.J.; Sánchez-Pérez, J.M.; Sauvage, S. Water resources and nitrate discharges in relation to agricultural land uses in an intensively irrigated watershed. Sci. Total Environ. 2019, 659, 1293–1306. [Google Scholar] [CrossRef] [PubMed]
- Behrangi, A.; Khakbaz, B.; Jaw, T.C.; AghaKouchak, A.; Hsu, K.; Sorooshian, S. Hydrologic evaluation of satellite precipitation products over a mid-size basin. J. Hydrol. 2011, 397, 225–237. [Google Scholar] [CrossRef] [Green Version]
- Derin, Y.; Anagnostou, E.; Berne, A.; Borga, M.; Boudevillain, B.; Buytaert, W.; Chang, C.H.; Delrieu, G.; Hong, Y.; Hsu, Y.C.; et al. Multiregional satellite precipitation products evaluation over complex terrain. J. Hydrometeorol. 2016, 17, 1817–1836. [Google Scholar] [CrossRef]
- Brocca, L.; Massari, C.; Pellarin, T.; Filippucci, P.; Ciabatta, L.; Camici, S.; Kerr, Y.H.; Fernández-Prieto, D. River flow prediction in data scarce regions: Soil moisture integrated satellite rainfall products outperform rain gauge observations in West Africa. Sci. Rep. 2020, 10, 12517. [Google Scholar] [CrossRef]
- Voisin, N.; Wood, A.W.; Lettenmaier, D.P. Evaluation of precipitation products for global hydrological prediction. J. Hydrometeorol. 2008, 9, 388–407. [Google Scholar] [CrossRef] [Green Version]
- Pilgrim, D.H.; Chapman, T.G.; Doran, D.G. Problems of rainfall-runoff modelling in arid and semiarid regions. Hydrol. Sci. J. 1988, 33, 379–400. [Google Scholar] [CrossRef]
- Huang, P.; Li, Z.; Chen, J.; Li, Q.; Yao, C. Event-based hydrological modeling for detecting dominant hydrological process and suitable model strategy for semi-arid catchments. J. Hydrol. 2016, 542, 292–303. [Google Scholar] [CrossRef]
- Usman, M.; Pan, X.; Penna, D.; Ahmad, B. Hydrologic alteration and potential ecosystem implications under a changing climate in the Chitral River, Hindukush region, Pakistan. J. Water Clim. Chang. 2021, 12, 1471–1486. [Google Scholar] [CrossRef]
- Immerzeel, W.W.; Petersen, L.; Ragettli, S.; Pellicciotti, F. The importance of observed gradients of air temperature and precipitation for modeling runoff from a glacierized watershed in the Nepal Himalayas. Water Resour. Res. 2014, 50, 2212–2226. [Google Scholar] [CrossRef] [Green Version]
- Sapiano, M.R.P.; Arkin, P. An intercomparison and validation of high-resolution satellite precipitation estimates with 3-hourly gauge data. J. Hydrometeor. 2009, 10, 149–166. [Google Scholar] [CrossRef]
- Kidd, C.; Levizzani, V. Status of satellite precipitation retrievals. Hydrol. Earth Syst. Sci. 2011, 15, 1109–1116. [Google Scholar] [CrossRef] [Green Version]
- Bui, H.T.; Ishidaira, H.; Shaowei, N. Evaluation of the use of global satellite–gauge and satellite-only precipitation products in stream flow simulations. Appl. Water Sci. 2019, 9, 53. [Google Scholar] [CrossRef] [Green Version]
- Ebert, E.E.; Janowiak, J.E.; Kidd, C. Comparison of near-real-time precipitation estimates from satellite observations and numerical models. Bull. Am. Meteorol. Soc. 2007, 88, 47–64. [Google Scholar] [CrossRef] [Green Version]
- AghaKouchak, A.; Nasrollahi, N.; Habib, E. Accounting for uncertainties of the trmm satellite estimates. Remote Sens. 2009, 1, 606–619. [Google Scholar] [CrossRef] [Green Version]
- Yi, L.; Zhang, W.; Wang, K. Evaluation of heavy precipitation simulated by the WRF model using 4D-Var data assimilation with TRMM 3B42 and GPM IMERG over the Huaihe River Basin, China. Remote Sens. 2018, 10, 646. [Google Scholar] [CrossRef] [Green Version]
- Nazeer, S.; Hashmi, M.Z.; Malik, R.N. Spatial and seasonal dynamics of fish assemblage along river Soan, Pakistan and its relationship with environmental conditions. Ecol. Indic. 2016, 69, 780–791. [Google Scholar] [CrossRef]
- Harris, I.; Osborn, T.J.; Jones, P.; Lister, D. Version 4 of the CRU TS monthly high-resolution gridded multivariate climate dataset. Sci. Data 2020, 7, 109. [Google Scholar] [CrossRef] [Green Version]
- Ji, X.; Li, Y.; Luo, X.; He, D.; Guo, R.; Wang, J.; Bai, Y.; Yue, C.; Liu, C. Evaluation of bias correction methods for APHRODITE data to improve hydrologic simulation in a large Himalayan basin. Atmos. Res. 2020, 242, 104964. [Google Scholar] [CrossRef]
- Sun, Q.; Miao, C.; Duan, Q.; Ashouri, H.; Sorooshian, S.; Hsu, K.-L. A review of global precipitation data sets: Data sources, estimation, and intercomparisons. Rev. Geophys. 2018, 56, 79–107. [Google Scholar] [CrossRef] [Green Version]
- Beck, H.E.; Pan, M.; Roy, T.; Weedon, G.P.; Pappenberger, F.; Van Dijk, A.I.; Huffman, G.J.; Adler, R.F.; Wood, E.F. Daily evaluation of 26 precipitation datasets using Stage-IV gauge-radar data for the CONUS. Hydrol. Earth Syst. Sci. 2019, 23, 207–224. [Google Scholar] [CrossRef] [Green Version]
- Beck, H.E.; Vergopolan, N.; Pan, M.; Levizzani, V.; Van Dijk, A.I.; Weedon, G.P.; Brocca, L.; Pappenberger, F.; Huffman, G.J.; Wood, E.F. Global-scale evaluation of 22 precipitation datasets using gauge observations and hydrological modeling. Hydrol. Earth Syst. Sci. 2017, 21, 6201–6217. [Google Scholar] [CrossRef] [Green Version]
- Bergström, S. Development and Application of a Conceptual Runoff Model for Scandinavian Catchments; Sveriges Meteorologiska Och Hydrologiska Institute: Norrköping, Sweden, 1976; 134p. [Google Scholar]
- Lindström, G.; Johansson, B.; Persson, M.; Gardelin, M.; Bergström, S. Development and test of the distributed HBV-96 hydrological model. J. Hydrol. 1997, 201, 272–288. [Google Scholar] [CrossRef]
- Seibert, J.; Vis, M.J.P. Teaching hydrological modeling with a user-friendly catchment-runoff model software package. Hydrol. Earth. Syst Sci. 2012, 16, 3315–3325. [Google Scholar] [CrossRef] [Green Version]
- Hakala, K.; Addor, N.; Seibert, J. Hydrological Modeling to Evaluate Climate Model Simulations and Their Bias Correction. J. Hydrometeorol. 2018, 19, 1321–1337. [Google Scholar] [CrossRef]
- Meresa, H.K.; Gatachew, M.T. Climate change impact on river flow extremes in the Upper Blue Nile River basin. J. Water Clim. Chang. 2019, 10, 759–781. [Google Scholar] [CrossRef]
- Ahmad, B.; Usman, M.; Bukhari, S.A.A.; Sajjad, H. Contribution of glacier, snow and rain components in flow regime projected with HBV under AR5 based climate change scenarios over Chitral river basin (Hindukush Ranges, Pakistan). Int. J. Clim. Res. 2020, 4, 24–36. [Google Scholar]
- Usman, M.; Ndehedehe, C.E.; Manzanas, R.; Ahmad, B.; Adeyeri, O.E. Impacts of climate change on the hydrometeorological characteristics of the soan river basin, Pakistan. Atmosphere 2021, 12, 792. [Google Scholar] [CrossRef]
- Seibert, J. HBV Light Version 2. User’s Manual. Stockholm University, 2005. Available online: https://www.geo.uzh.ch/dam/jcr:c8afa73c-ac90-478e-a8c7-929eed7b1b62/HBV_manual_2005.pdf (accessed on 15 January 2022).
- Nash, J.E.; Sutcliffe, J.V. River flow forecasting through conceptual models part I–a discussion of principles. J. Hydrol. 1970, 10, 282–290. [Google Scholar] [CrossRef]
- Gupta, H.V.; Kling, H.; Yilmaz, K.K.; Martinez, G.F. Decomposition of the mean squared error and NSE performance criteria: Implications for improving hydrological modelling. J. Hydrol. 2009, 377, 80–91. [Google Scholar] [CrossRef] [Green Version]
- Alnahit, A.O.; Mishra, A.K.; Khan, A.A. Evaluation of high-resolution satellite products for streamflow and water quality assessment in a Southeastern US watershed. J. Hydrol. Reg. Stud. 2020, 27, 100660. [Google Scholar] [CrossRef]
- Rivera, J.A.; Hinrichs, S.; Marianetti, G. Using CHIRPS Dataset to Assess Wet and Dry Conditions along the Semiarid Central-Western Argentina. Adv. Meteorol. 2019, 2019, 8413964. [Google Scholar] [CrossRef] [Green Version]
- Santra Mitra, S.; Santra, A.; Kumar, A. Catchment specific evaluation of Aphrodite’s and TRMM derived gridded precipitation data products for predicting runoff in a semi gauged watershed of Tropical India. Geocarto Int. 2021, 36, 1292–1308. [Google Scholar] [CrossRef]
- Tuo, Y.; Duan, Z.; Disse, M.; Chiogna, G. Evaluation of precipitation input for SWAT modeling in Alpine catchment: A case study in the Adige river basin (Italy). Sci. Total Environ. 2016, 573, 66–82. [Google Scholar] [CrossRef] [Green Version]
- Van Liew, M.W.; Arnold, J.G.; Garbrecht, J.D. Hydrologic simulation on agricultural watersheds: Choosing between two models. Trans. ASAE 2003, 46, 1539–1551. [Google Scholar] [CrossRef]
- Moriasi, D.N.; Gitau, M.W.; Pai, N.; Daggupati, P. Hydrologic and water quality models: Performance measures and evaluation criteria. Trans. ASABE 2015, 58, 1763–1785. [Google Scholar]
- Usman, M.; Ndehedehe, C.E.; Farah, H.; Manzanas, R. Impacts of climate change on the streamflow of a large river basin in the Australian tropics using optimally selected climate model outputs. J. Clean. Prod. 2021, 315, 128091. [Google Scholar] [CrossRef]
- Ménégoz, M.; Gallée, H.; Jacobi, H.W. Precipitation and snow cover in the Himalaya: From reanalysis to regional climate simulations. Hydrol. Earth Syst. Sci. 2013, 17, 3921–3936. [Google Scholar] [CrossRef] [Green Version]
- Lauri, H.; Räsänen, T.A.; Kummu, M. Using reanalysis and remotely sensed temperature and precipitation data for hydrological modeling in monsoon climate: Mekong River case study. J. Hydrometeorol. 2014, 15, 1532–1545. [Google Scholar] [CrossRef]
- Chen, C.J.; Senarath, S.U.; Dima-West, I.M.; Marcella, M.P. Evaluation and restructuring of gridded precipitation data over the Greater Mekong Subregion. Int. J. Climatol. 2017, 37, 180–196. [Google Scholar] [CrossRef]
- Li, H.; Haugen, J.E.; Xu, C.Y. Precipitation pattern in the Western Himalayas revealed by four datasets. Hydrol. Earth Syst. Sci. 2018, 22, 5097–5110. [Google Scholar] [CrossRef] [Green Version]
- Guan, X.; Zhang, J.; Yang, Q.; Tang, X.; Liu, C.; Jin, J.; Liu, Y.; Bao, Z.; Wang, G. Evaluation of Precipitation Products by Using Multiple Hydrological Models over the Upper Yellow River Basin, China. Remote Sens. 2020, 12, 4023. [Google Scholar] [CrossRef]
- Usman, M.; Ndehedehe, C.E.; Ahmad, B.; Manzanas, R.; Adeyeri, O.E. Modeling streamflow using multiple precipitation products in a topographically complex catchment. Model. Earth Syst. Environ. 2021, 1–11. [Google Scholar] [CrossRef]
- Tian, W.; Liu, X.; Wang, K.; Bai, P.; Liang, K.; Liu, C. Evaluation of six precipitation products in the Mekong River Basin. Atmos. Res. 2021, 255, 105539. [Google Scholar] [CrossRef]
- Yatagai, A.; Kamiguchi, K.; Arakawa, O.; Hamada, A.; Yasutomi, N.; Kitoh, A. APHRODITE: Constructing a long-term daily gridded precipitation dataset for Asia based on a dense network of rain gauges. Bull. Am. Meteorol. Soc. 2012, 93, 1401–1415. [Google Scholar] [CrossRef]
- Funk, C.; Peterson, P.; Landsfeld, M.; Pedreros, D.; Verdin, J.; Shukla, S.; Michaelsen, J. The climate hazards infrared precipitation with stations—A new environmental record for monitoring extremes. Sci. Data 2015, 2, 150066. [Google Scholar] [CrossRef] [Green Version]
- Xie, P.; Chen, M.; Shi, W. CPC Global Unified Gauge-Based Analysis of Daily Precipitation. Available online: https://psl.noaa.gov/data/gridded/data.cpc.globalprecip.html (accessed on 13 December 2021).
- Schamm, K.; Ziese, M.; Becker, A.; Finger, P.; Meyer-Christoffer, A.; Schneider, U.; Stender, P. Global gridded precipitation over land: A description of the new GPCC First Guess Daily product. Earth Syst. Sci. Data 2014, 6, 49–60. [Google Scholar] [CrossRef] [Green Version]
- Huffman, G.J.; Adler, R.F.; Morrissey, M.M.; Bolvin, D.T.; Curtis, S.; Joyce, R.; Susskind, J. Global precipitation at one-degree daily resolution from multisatellite observations. J. Hydrometeorol. 2001, 2, 36–50. [Google Scholar] [CrossRef] [Green Version]
- Sorooshian, S.; Hsu, K.L.; Gao, X.; Gupta, H.V.; Imam, B.; Braithwaite, D. Evaluation of PERSIANN system satellite-based estimates of tropical rainfall. Bull. Am. Meteorol. Soc. 2000, 81, 2035–2046. [Google Scholar] [CrossRef] [Green Version]
- Hong, Y.; Hsu, K.L.; Sorooshian, S.; Gao, X. Precipitation estimation from remotely sensed imagery using an artificial neural network cloud classification system. J. Appl. Meteorol. 2003, 43, 1834–1853. [Google Scholar] [CrossRef] [Green Version]
- Ashouri, H.; Hsu, K.L.; Sorooshian, S.; Braithwaite, D.K.; Knapp, K.R.; Cecil, L.D.; Prat, O.P. PERSIANN-CDR: Daily precipitation climate data record from multisatellite observations for hydrological and climate studies. Bull. Am. Meteorol. Soc. 2015, 96, 69–83. [Google Scholar] [CrossRef] [Green Version]







| Efficiency Evaluation Metrics | Daily | Monthly |
|---|---|---|
| NSE | >0.5 | >0.6 |
| R2 | >0.5 | >0.6 |
| PBIAS | <±15% | <±10% |
| KGE | >0.4 | >0.6 |
| Chirah Sub-Catchment | ||||||||
|---|---|---|---|---|---|---|---|---|
| Calibration | Validation | |||||||
| R2 | NSE | KGE | PBIAS | R2 | NSE | KGE | PBIAS | |
| APHRODITE | 0.53 | 0.53 | 0.60 | −5.81 | 0.57 | 0.52 | 0.46 | 3.02 |
| CHRS CCS | 0.07 | 0.06 | −0.09 | −10.27 | 0.00 | −0.01 | −0.22 | −24.92 |
| CHRS CDR | 0.62 | 0.62 | 0.71 | 1.81 | 0.51 | 0.50 | 0.55 | −27.87 |
| CHIRPS | 0.10 | 0.10 | 0.05 | −14.73 | 0.14 | 0.13 | 0.15 | −17.44 |
| CPC Global | 0.11 | 0.11 | 0.05 | −18.37 | 0.12 | 0.12 | 0.09 | −9.54 |
| GPCC | 0.54 | 0.54 | 0.60 | −3.41 | 0.51 | 0.50 | 0.64 | −8.89 |
| GPCP | 0.70 | 0.70 | 0.77 | −5.48 | 0.67 | 0.64 | 0.57 | −14.48 |
| PERSIANN | 0.10 | 0.10 | 0.02 | −14.04 | 0.02 | 0.02 | −0.18 | −30.07 |
| Dhoke Pathan sub-catchment | ||||||||
| APHRODITE | 0.69 | 0.69 | 0.70 | 9.80 | 0.52 | 0.51 | 0.54 | 4.29 |
| CHRS CCS | 0.71 | 0.70 | 0.75 | −10.81 | 0.68 | 0.65 | 0.80 | −8.44 |
| CHRS CDR | 0.73 | 0.73 | 0.76 | 9.72 | 0.64 | 0.54 | 0.41 | −20.00 |
| CHIRPS | 0.57 | 0.57 | 0.61 | 1.46 | 0.03 | −0.87 | 0.12 | 30.49 |
| CPC Global | 0.56 | 0.56 | 0.65 | 0.36 | 0.49 | 0.28 | 0.37 | 52.81 |
| GPCC | 0.65 | 0.64 | 0.58 | −23.40 | 0.59 | 0.58 | 0.69 | 1.41 |
| GPCP | 0.17 | 0.17 | 0.14 | 4.73 | 0.21 | 0.21 | 0.18 | 29.26 |
| PERSIANN | 0.65 | 0.64 | 0.69 | 8.28 | 0.53 | 0.44 | 0.35 | −16.29 |
| Chirah Sub-Catchment | ||||||||
|---|---|---|---|---|---|---|---|---|
| Calibration | Validation | |||||||
| R2 | NSE | KGE | PBIAS | R2 | NSE | KGE | PBIAS | |
| APHRODITE | 0.76 | 0.76 | 0.78 | −5.82 | 0.68 | 0.61 | 0.52 | 3.00 |
| CHRS CCS | 0.28 | 0.28 | 0.33 | 11.44 | 0.04 | −0.16 | 0.08 | −24.94 |
| CHRS CDR | 0.82 | 0.80 | 0.77 | 1.84 | 0.70 | 0.67 | 0.64 | −27.85 |
| CHIRPS | 0.39 | 0.36 | 0.54 | −14.75 | 0.51 | 0.49 | 0.60 | −17.46 |
| CPC Global | 0.30 | 0.25 | 0.44 | −18.38 | 0.59 | 0.58 | 0.58 | −9.54 |
| GPCC | 0.78 | 0.78 | 0.79 | −3.43 | 0.85 | 0.84 | 0.82 | −10.13 |
| GPCP | 0.82 | 0.82 | 0.83 | −5.50 | 0.78 | 0.72 | 0.59 | −14.49 |
| PERSIANN | 0.36 | 0.35 | 0.42 | −14.04 | 0.08 | −0.01 | 0.11 | −30.07 |
| Dhoke Pathan sub-catchment | ||||||||
| APHRODITE | 0.70 | 0.69 | 0.68 | −8.93 | 0.65 | 0.63 | 0.61 | 4.28 |
| CHRS CCS | 0.76 | 0.75 | 0.76 | 12.14 | 0.73 | 0.7 | 0.83 | −8.46 |
| CHRS CDR | 0.66 | 0.66 | 0.68 | 9.70 | 0.51 | 0.48 | 0.45 | −20.01 |
| CHIRPS | 0.71 | 0.67 | 0.60 | 1.44 | 0.59 | 0.52 | 0.62 | 30.51 |
| CPC Global | 0.60 | 0.60 | 0.68 | 0.15 | 0.56 | 0.09 | 0.30 | 52.82 |
| GPCC | 0.63 | 0.62 | 0.63 | −23.43 | 0.61 | 0.60 | 0.75 | 1.41 |
| GPCP | 0.30 | 0.30 | 0.41 | 4.74 | 0.42 | 0.39 | 0.45 | 29.25 |
| PERSIANN | 0.72 | 0.71 | 0.69 | 8.26 | 0.49 | 0.42 | 0.36 | −16.30 |
Publisher’s Note: MDPI stays neutral with regard to jurisdictional claims in published maps and institutional affiliations. |
© 2022 by the authors. Licensee MDPI, Basel, Switzerland. This article is an open access article distributed under the terms and conditions of the Creative Commons Attribution (CC BY) license (https://creativecommons.org/licenses/by/4.0/).
Share and Cite
Usman, M.; Ndehedehe, C.E.; Farah, H.; Ahmad, B.; Wong, Y.; Adeyeri, O.E. Application of a Conceptual Hydrological Model for Streamflow Prediction Using Multi-Source Precipitation Products in a Semi-Arid River Basin. Water 2022, 14, 1260. https://doi.org/10.3390/w14081260
Usman M, Ndehedehe CE, Farah H, Ahmad B, Wong Y, Adeyeri OE. Application of a Conceptual Hydrological Model for Streamflow Prediction Using Multi-Source Precipitation Products in a Semi-Arid River Basin. Water. 2022; 14(8):1260. https://doi.org/10.3390/w14081260
Chicago/Turabian StyleUsman, Muhammad, Christopher E. Ndehedehe, Humera Farah, Burhan Ahmad, Yongjie Wong, and Oluwafemi E. Adeyeri. 2022. "Application of a Conceptual Hydrological Model for Streamflow Prediction Using Multi-Source Precipitation Products in a Semi-Arid River Basin" Water 14, no. 8: 1260. https://doi.org/10.3390/w14081260
APA StyleUsman, M., Ndehedehe, C. E., Farah, H., Ahmad, B., Wong, Y., & Adeyeri, O. E. (2022). Application of a Conceptual Hydrological Model for Streamflow Prediction Using Multi-Source Precipitation Products in a Semi-Arid River Basin. Water, 14(8), 1260. https://doi.org/10.3390/w14081260

