An Integrated Approach for Deciphering Hydrogeochemical Processes during Seawater Intrusion in Coastal Aquifers
Abstract
:1. Introduction
1.1. Study Area
1.2. Geological and Hydrogeological Setting
2. Materials and Methods
2.1. Groundwater Quality Index for Seawater Intrusion (GQISWI)
2.2. Ionic Deviations (mi, react)
2.3. Hydrochemical Facies Evolution Diagram (HFE-D)
2.4. Seawater Mixing Index (SMI)
2.5. Base Exchange Index (BEX)
2.6. Sodium Adsorption Ratio (SAR)
2.7. GIS Spatial Mapping
2.8. Geophysical Measurements
3. Results and Discussions
3.1. Groundwater Classification and Salinity
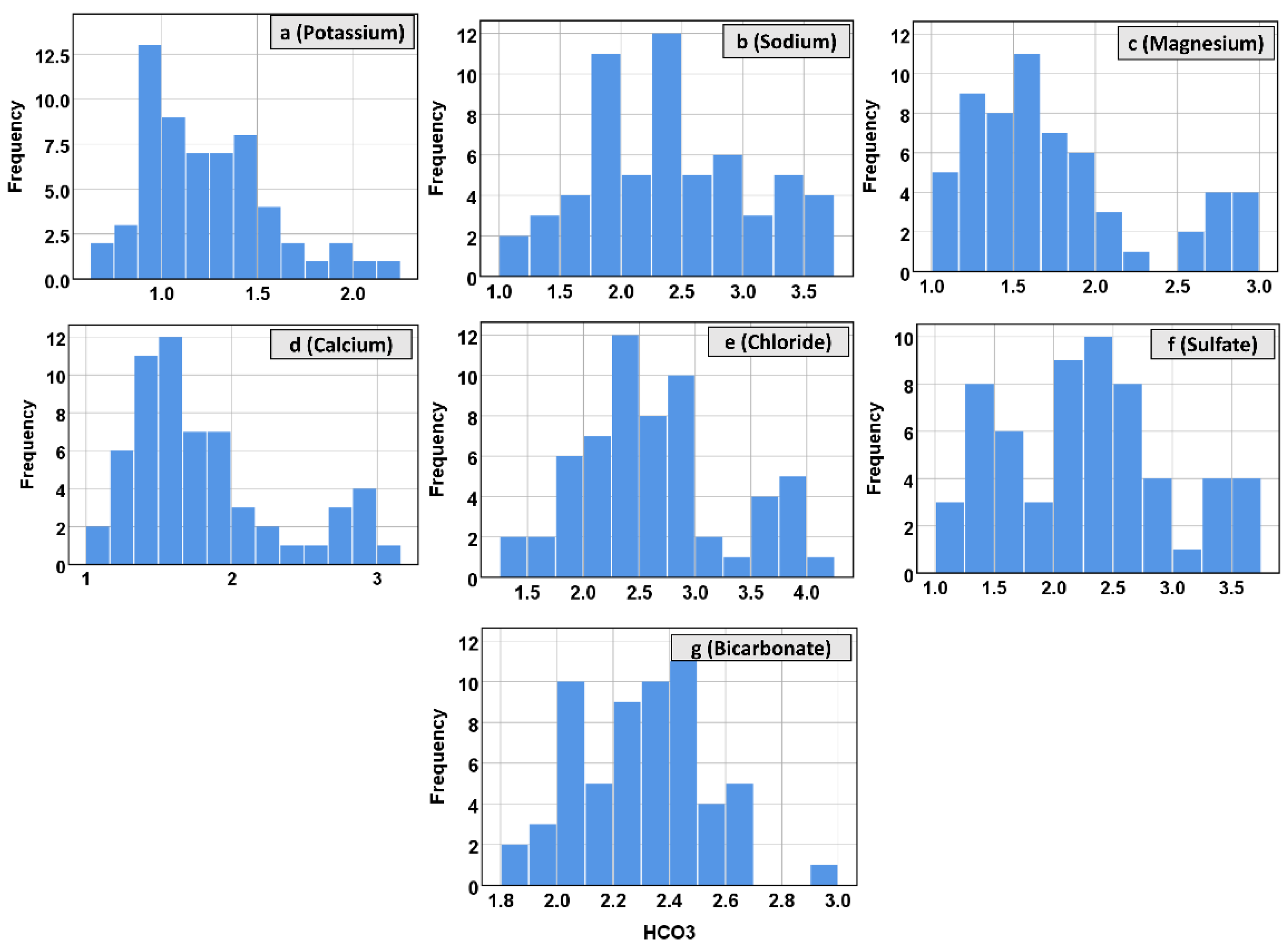
3.2. Descriptive Statistics and Coefficient of Variation
3.3. Pearson’s Correlation and Hydrogeochemical Reactions
3.4. Factor Analysis
3.5. Spatial Distribution of Groundwater Facies
3.6. Seawater Mixing Index (SMI)
3.7. Ionic Deviations and SMI
3.8. Spatial Resistivity Distribution and Hydrogeochemical Facies
4. Conclusions
Supplementary Materials
Author Contributions
Funding
Informed Consent Statement
Data Availability Statement
Acknowledgments
Conflicts of Interest
References
- Sefelnasr, A.; Sherif, M. Impacts of Seawater Rise on Seawater Intrusion in the Nile Delta Aquifer, Egypt. Ground Water 2013, 52, 264–276. [Google Scholar] [CrossRef] [PubMed]
- Klassen, J.; Allen, D. Assessing the risk of saltwater intrusion in coastal aquifers. J. Hydrol. 2017, 551, 730–745. [Google Scholar] [CrossRef]
- Parizi, E.; Hosseini, S.M.; Ataie-Ashtiani, B.; Simmons, C.T. Vulnerability mapping of coastal aquifers to seawater intrusion: Review, development and application. J. Hydrol. 2019, 570, 555–573. [Google Scholar] [CrossRef]
- Youssef, Y.M.; Gemail, K.S.; Sugita, M.; AlBarqawy, M.; Teama, M.A.; Koch, M.; Saada, S.A. Natural and Anthropogenic Coastal Environmental Hazards: An Integrated Remote Sensing, GIS, and Geophysical-based Approach. Surv. Geophys. 2021, 42, 1109–1141. [Google Scholar] [CrossRef]
- Chang, S.W.; Clement, T.P.; Simpson, M.J.; Lee, K. Does sea-level rise have an impact on saltwater intrusion? Adv. Water Resour. 2011, 34, 1283–1291. [Google Scholar] [CrossRef] [Green Version]
- Ketabchi, H.; Mahmoodzadeh, D.; Ataie-Ashtiani, B.; Simmons, C.T. Sea-level rise impacts on seawater intrusion in coastal aquifers: Review and integration. J. Hydrol. 2016, 535, 235–255. [Google Scholar] [CrossRef]
- Shi, W.; Lu, C.; Ye, Y.; Wu, J.; Li, L.; Luo, J. Assessment of the impact of sea-level rise on steady-state seawater intrusion in a layered coastal aquifer. J. Hydrol. 2018, 563, 851–862. [Google Scholar] [CrossRef]
- Shi, W.; Lu, C.; Werner, A.D. Assessment of the impact of sea-level rise on seawater intrusion in sloping confined coastal aquifers. J. Hydrol. 2020, 586, 124872. [Google Scholar] [CrossRef]
- Van Pham, H.; Lee, S.-I. Assessment of seawater intrusion potential from sea-level rise and groundwater extraction in a coastal aquifer. Desalin. Water Treat. 2015, 53, 2324–2338. [Google Scholar] [CrossRef]
- Tijani, M.N. Evolution of saline waters and brines in the Benue-Trough, Nigeria. Appl. Geochem. 2004, 19, 1355–1365. [Google Scholar] [CrossRef]
- Huang, G.; Sun, J.; Zhang, Y.; Chen, Z.; Liu, F. Impact of anthropogenic and natural processes on the evolution of groundwater chemistry in a rapidly urbanized coastal area, South China. Sci. Total Environ. 2013, 463–464, 209–221. [Google Scholar] [CrossRef] [PubMed]
- Abu Salem, H.; Gemail, K.S.; Nosair, A.M. A multidisciplinary approach for delineating wastewater flow paths in shallow groundwater aquifers: A case study in the southeastern part of the Nile Delta, Egypt. J. Contam. Hydrol. 2021, 236, 103701. [Google Scholar] [CrossRef] [PubMed]
- Martínez-Pérez, L.; Luquot, L.; Carrera, J.; Marazuela, M.A.; Goyetche, T.; Pool, M.; Palacios, A.; Bellmunt, F.; Ledo, J.; Ferrer, N.; et al. A multidisciplinary approach to characterizing coastal alluvial aquifers to improve understanding of seawater intrusion and submarine groundwater discharge. J. Hydrol. 2022, 607, 127510. [Google Scholar] [CrossRef]
- Balasubramanian, M.; Sridhar, S.G.D.; Ayyamperumal, R.; Karuppannan, S.; Gopalakrishnan, G.; Chakraborty, M.; Huang, X. Isotopic signatures, hydrochemical and multivariate statistical analysis of seawater intrusion in the coastal aquifers of Chennai and Tiruvallur District, Tamil Nadu, India. Mar. Pollut. Bull. 2021, 174, 113232. [Google Scholar] [CrossRef] [PubMed]
- Nosair, A.M.; Shams, M.Y.; AbouElmagd, L.M.; Hassanein, A.E.; Frayer, A.; Abu Salem, H.S. Predictive model for progressive salinization in a coastal aquifer using artificial intelligence and hydrogeochemical techniques: A case study of the Nile Delta aquifer, Egypt. Environ. Sci. Pollu. Res. 2021, 29, 9318–9340. [Google Scholar] [CrossRef]
- Gemail, K.; Samir, A.; Oelsner, C.; Mousa, S.; Ibrahim, S. Study of saltwater intrusion using 1D, 2D and 3D resistivity surveys in the coastal depressions at the eastern part of Matruh area, Egypt. Near Surf. Geophys. 2004, 2, 103–109. [Google Scholar] [CrossRef]
- Karabulut, S.; Cengiz, M.; Balkaya, Ç.; Aysal, N. Spatio-Temporal Variation of Seawater Intrusion (SWI) inferred from geophysical methods as an ecological indicator; A case study from Dikili, NW İzmir, Turkey. J. Appl. Geophys. 2021, 189, 104318. [Google Scholar] [CrossRef]
- Zarroca, M.; Bach, J.; Linares, R.; Pellicer, X.M. Electrical methods (VES and ERT) for identifying, mapping and monitoring different saline domains in a coastal plain region (Alt Empordà, Northern Spain). J. Hydrol. 2011, 409, 407–422. [Google Scholar] [CrossRef]
- Hasan, M.; Shang, Y.; Jin, W.; Shao, P.; Yi, X.; Akhter, G. Geophysical Assessment of Seawater Intrusion into Coastal Aquifers of Bela Plain, Pakistan. Water 2020, 12, 3408. [Google Scholar] [CrossRef]
- Agoubi, B. A review: Saltwater intrusion in North Africa’s coastal areas—Current state and future challenges. Environ. Sci. Pollut. Res. 2021, 28, 17029–17043. [Google Scholar] [CrossRef]
- Carreira, P.M.; Bahir, M.; Salah, O.; Fernandes, P.G.; Nunes, D. Tracing salinization processes in coastal aquifers using an isotopic and geochemical approach: Comparative studies in western Morocco and southwest Portugal. Appl. Hydrogeol. 2018, 26, 2595–2615. [Google Scholar] [CrossRef]
- Qi, H.; Ma, C.; He, Z.; Hu, X.; Gao, L. Lithium and its isotopes as tracers of groundwater salinization: A study in the southern coastal plain of Laizhou Bay, China. Sci. Total Environ. 2019, 650, 878–890. [Google Scholar] [CrossRef] [PubMed]
- Campillo, J.D.; Taupin, T.; Betancur, N.; Patris, V.; Vergnaud, V.P.; Villegas, P. A multi-tracer approach for understanding the functioning of heterogeneous phreatic coastal aquifers in humid tropical zones. Hydrol. Sci. J. 2021, 66, 600–621. [Google Scholar] [CrossRef]
- Lal, A.; Datta, B. Development and Implementation of Support Vector Machine Regression Surrogate Models for Predicting Groundwater Pumping-Induced Saltwater Intrusion into Coastal Aquifers. Water Resour. Manag. 2018, 32, 2405–2419. [Google Scholar] [CrossRef]
- Azizi, F.; Vadiati, M.; Moghaddam, A.A.; Nazemi, A.; Adamowski, J. A hydrogeological-based multi-criteria method for assessing the vulnerability of coastal aquifers to saltwater intrusion. Environ. Earth Sci. 2019, 78, 548. [Google Scholar] [CrossRef]
- Chachadi, A.G.; Lobo-Ferreira, J.P. Assessing aquifer vulnerability to seawater intrusion using GALDIT method: Part 2, GALDIT indicators description. Water Celt Countries Quantity, Quality and Climatic Variability. In Proceedings of the 4th Interceltic Colloquium on Hydrology and Management of Water Resources, Juimaraes, Portugal, 11–13 July 2005; Volume 310, pp. 172–180. [Google Scholar]
- Gemail, K.S.; El Alfy, M.; Ghoneim, M.F.; Shishtawy, A.M.; El-Bary, M.A. Comparison of DRASTIC and DC resistivity modeling for assessing aquifer vulnerability in the central Nile Delta, Egypt. Environ. Earth Sci. 2017, 76, 350. [Google Scholar] [CrossRef]
- Mahrez, B.; Klebingat, S.; Houha, B.; Houria, B. GIS-based GALDIT method for vulnerability assessment to seawater intrusion of the Quaternary coastal Collo aquifer (NE-Algeria). Arab. J. Geosci. 2018, 11, 71. [Google Scholar] [CrossRef]
- Bordbar, M.; Neshat, A.; Javadi, S.; Pradhan, B.; Dixon, B.; Paryani, S. Improving the coastal aquifers’ vulnerability assessment using SCMAI ensemble of three machine learning approaches. Nat. Hazards 2021, 110, 1799–1820. [Google Scholar] [CrossRef]
- Sherif, M.M. The Nile Delta aquifer in Egypt. In Seawater Intrusion in Coastal Aquifers: Concepts, Methods and Practices; Book Series: Theory and Application of Transport in Porous Media; Kluwer Academic Publishers: Alphen aan den Rijn, The Netherlands, 1999; Volume 14, pp. 559–590. [Google Scholar]
- Sherif, M.; Sefelnasr, A.; Javadi, A. Incorporating the concept of equivalent freshwater head in successive horizontal simulations of seawater intrusion in the Nile Delta aquifer, Egypt. J. Hydrol. 2012, 464–465, 186–198. [Google Scholar] [CrossRef]
- Mazi, K.; Koussis, A.D.; Destouni, G. Intensively exploited Mediterranean aquifers: Resilience to seawater intrusion and proximity to critical thresholds. Hydrol. Earth Syst. Sci. 2014, 18, 1663–1677. [Google Scholar] [CrossRef] [Green Version]
- Sherif, M.M.; Al-Rashed, M.F. Vertical and Horizontal Simulation of Seawater Intrusion in the Nile Delta Aquifer. In Proceedings of the First International Conference on Saltwater Intrusion and Coastal Aquifers, Monitoring, Modeling, and Management, Essaouira, Morocco, 23–25 April 2001. [Google Scholar]
- Attwa, M.; Gemail, K.S.; Eleraki, M. Use of salinity and resistivity measurements to study the coastal aquifer salinization in a semi-arid region: A case study in northeast Nile Delta, Egypt. Environ. Earth Sci. 2016, 75, 784. [Google Scholar] [CrossRef]
- Abd-Elaty, I.; Zelenakova, M.; Straface, S.; Vranayová, Z.; Abu-Hashim, M.; Elaty, A.; Hashim, A. Integrated Modelling for Groundwater Contamination from Polluted Streams Using New Protection Process Techniques. Water 2019, 11, 2321. [Google Scholar] [CrossRef] [Green Version]
- Ramadan, E.M.; Fahmy, M.R.; Nosair, A.M.M.; Badr, A.M. Using geographic information system (GIS) modeling in evaluation of canals water quality in Sharkia Governorate, East Nile Delta, Egypt. Model. Earth Syst. Environ. 2019, 5, 1925–1939. [Google Scholar] [CrossRef]
- Sallouma, M.K.M. Hydrogeological and Hydrochemical Studies East of Nile Delta, Egypt. Ph.D. Thesis, Faculty of Science, Ain Shams University, Cairo, Egypt, 1983. [Google Scholar]
- EEBS. Geotechnical, geological, hydrological and geomorphological properties of soil in El-Sharkia governorate. In Soil Atlas of Egypt; Part Egyptian Education Building Society Publications: Cairo, Egypt, 2004; pp. 459–503. [Google Scholar]
- Hefny, K. Groundwater in the Nile Valley; Internal Arabic Report; Ministry of Irrigations, Water Research Center—Groundwater Research Institute: Cairo, Egypt, 1980; pp. 1–120. [Google Scholar]
- Ismael, A.M.A. Applications of Remote Sensing, GIS, and Groundwater Flow Modeling in Evaluating Groundwater Resources: Two Case Studies, East Nile Delta, Egypt and Gold Valley, California, USA. Ph.D. Thesis, The University of Texas at El Paso, El Paso County, TX, USA, 2007. [Google Scholar]
- Tomaszkiewicz, M.; Najm, M.A.; El-Fadel, M. Development of a groundwater quality index for seawater intrusion in coastal aquifers. Environ. Model. Softw. 2014, 57, 13–26. [Google Scholar] [CrossRef]
- Piper, A.M. A graphic procedure in the geochemical interpretation of water-analyses. Eos Trans. Am. Geophys. Union 1944, 25, 914–928. [Google Scholar] [CrossRef]
- Appelo, C.A.J.; Postma, D. Geochemistry, Groundwater and Pollution, 2nd ed.; CRC Press: London, UK, 2005; p. 683. [Google Scholar] [CrossRef]
- Giménez-Forcada, E. Space/time development of seawater intrusion: A study case in Vinaroz coastal plain (Eastern Spain) using HFE-Diagram, and spatial distribution of hydrochemical facies. J. Hydrol. 2014, 517, 617–627. [Google Scholar] [CrossRef]
- Giménez-Forcada, E.; Román, F.J.S.S. An Excel Macro to Plot the HFE-Diagram to Identify Sea Water Intrusion Phases. Ground Water 2014, 53, 819–824. [Google Scholar] [CrossRef]
- Hussein, H.; Ricka, A.; Kuchovsky, T.; El Osta, M. Groundwater hydrochemistry and origin in the south-eastern part of Wadi El Natrun, Egypt. Arab. J. Geosci. 2017, 10, 170. [Google Scholar] [CrossRef]
- Najib, S.; Fadili, A.; Mehdi, K.; Riss, J.; Makan, A. Contribution of hydrochemical and geoelectrical approaches to investigate salinization process and seawater intrusion in the coastal aquifers of Chaouia, Morocco. J. Contam. Hydrol. 2017, 198, 24–36. [Google Scholar] [CrossRef]
- Naseem, S.; Bashir, E.; Ahmed, P.; Rafique, T.; Hamza, S.; Kaleem, M. Impact of Seawater Intrusion on the Geochemistry of Groundwater of Gwadar District, Balochistan and Its Appraisal for Drinking Water Quality. Arab. J. Sci. Eng. 2018, 43, 281–293. [Google Scholar] [CrossRef]
- Giménez-Forcada, E.; Vega-Alegre, M.; Timón-Sánchez, S. Characterization of regional cold-hydrothermal inflows enriched in arsenic and associated trace-elements in the southern part of the Duero Basin (Spain), by multivariate statistical analysis. Sci. Total Environ. 2017, 593-594, 211–226. [Google Scholar] [CrossRef] [PubMed]
- Turekian, K.K. Oceans; Foundations of Earth Science Series; Prentice-Hall: Hoboken, NJ, USA, 1968; p. 120. [Google Scholar]
- Giménez-Forcada, E. Use of the Hydrochemical Facies Diagram (HFE-D) for the evaluation of salinization by seawater intrusion in the coastal Oropesa Plain: Comparative analysis with the coastal Vinaroz Plain, Spain. J. Hydro-Environ. Res. 2019, 2, 76–84. [Google Scholar] [CrossRef]
- Park, S.-C.; Yun, S.-T.; Chae, G.-T.; Yoo, I.-S.; Shin, K.-S.; Heo, C.-H.; Lee, S.-K. Regional hydrochemical study on salinization of coastal aquifers, western coastal area of South Korea. J. Hydrol. 2005, 313, 182–194. [Google Scholar] [CrossRef]
- Sinclair, A. Selection of threshold values in geochemical data using probability graphs. J. Geochem. Explor. 1974, 3, 129–149. [Google Scholar] [CrossRef]
- Stuyfzand, P.J. A new hydrochemical classification of water types: Principles and application to the coastal dunes aquifer system of the Netherlands. In Proceedings of the 9th Salt Water Intrusion Meeting, Delft, The Netherlands, 12–16 May 1986; pp. 641–655. [Google Scholar]
- ESRI ArcGIS 10.1 Software and User Manual. Environmental Systems Research Institute: Redlands, CA, USA, 2007. Available online: http://www.esri.com (accessed on 20 August 2009).
- Magesh, N.S.; Elango, L. Spatio-temporal variations of fluoride in the groundwater of Dindigul district, Tamil Nadu, India: A comparative assessment using two interpolation techniques. In GIS and Geostatistical Techniques for Groundwater Science; Venkatramanan, S., Viswanathan, P.M., Chung, S.Y., Eds.; Elsevier: Amsterdam, The Netherlands, 2019; pp. 283–296. [Google Scholar]
- Krivoruchko, K. Modeling Contamination Using Empirical Bayesian Kriging. ArcUser Fall 2012, 17, 6–10. Available online: http://www.esri.com/news/arcuser/1012/empirical-byesian-kriging.html. (accessed on 22 March 2021).
- Goebel, M.; Pidlisecky, A.; Knight, R. Resistivity imaging reveals complex pattern of saltwater intrusion along Monterey coast. J. Hydrol. 2017, 551, 746–755. [Google Scholar] [CrossRef]
- Costall, A.; Harris, B.; Pigois, J.P. Electrical Resistivity Imaging and the Saline Water Interface in High-Quality Coastal Aquifers. Surv. Geophys. 2018, 39, 753–816. [Google Scholar] [CrossRef] [Green Version]
- Cong-Thi, D.; Dieu, L.P.; Thibaut, R.; Paepen, M.; Ho, H.H.; Nguyen, F.; Hermans, T. Imaging the Structure and the Saltwater Intrusion Extent of the Luy River Coastal Aquifer (Binh Thuan, Vietnam) Using Electrical Resistivity Tomography. Water 2021, 13, 1743. [Google Scholar] [CrossRef]
- Attwa, M.; El Shinawi, A. Geoelectrical and Geotechnical Investigations at Tenth of Ramadan City, Egypt: A Structure-Based (SB) Model Application. In Near Surface Geoscience 2014—20th European Meeting of Environmental and Engineering Geophysics; EAGE Publications: BV Athens, Greece, 2014. [Google Scholar]
- Gemail, K. Application of 2D resistivity profiling for mapping and interpretation of geology in a till aquitard near Luck Lake, Southern Saskatchewan, Canada. Environ. Earth Sci. 2015, 73, 923–935. [Google Scholar] [CrossRef]
- Bobachev, A.; Modin, I.; Shevinin, V. IPI2Win V2.0: User’s Guide. Moscow State 452 Universities, Geological Faculty, Department of Geophysics: Moscow, Russia, 2003. [Google Scholar]
- Walraevens, K.; Van Camp, M. Advances in understanding natural groundwater quality controls in coastal aquifers. In Proceedings of the 18th Salt Water Intrusion Meeting, Cartagena, Spain, 31 May–3 June 2005; pp. 451–460. [Google Scholar]
- Bear, J.; Cheng, A.H.D.; Sorek, S.; Ouazar, D.; Herrera, I. Seawater Intrusion in Coastal Aquifers: Concepts, Methods and Practices, 1st ed.; Book Series: Theory and Application of Transport in Porous Media; Kluwer Academic Publishers: Alphen aan den Rijn, The Netherlands, 1999; Volume 14, pp. 559–590. [Google Scholar]
- Nessim, R.B.; Tadros, H.R.; Taleb, A.E.A.; Moawad, M.N. Chemistry of the Egyptian Mediterranean coastal waters. Egypt. J. Aquat. Res. 2015, 41, 1–10. [Google Scholar] [CrossRef] [Green Version]
- Brown, C.E. Coefficient of variation. In Applied Multivariate Statistics in Geohydrology and Related Sciences; Brown, C.E., Ed.; Springer: Berlin/Heidelberg, Germany, 1998; pp. 155–157. [Google Scholar]
- Karroum, M.; Elgettafi, M.; Elmandour, A.; Wilske, C.; Himi, M.; Casas, A. Geochemical processes controlling groundwater quality under semi arid environment: A case study in central Morocco. Sci. Total Environ. 2017, 609, 1140–1151. [Google Scholar] [CrossRef] [PubMed]
- Davis, J.C. Statistics and Data Analysis in Geology, 3rd ed.; Wiley & Sons: Hoboken, NJ, USA, 2003; pp. 1–638. [Google Scholar] [CrossRef]
- Martínez, D.; Bocanegra, E. Hydrogeochemistry and cation-exchange processes in the coastal aquifer of Mar Del Plata, Argentina. Appl. Hydrogeol. 2002, 10, 393–408. [Google Scholar] [CrossRef]
- Capaccioni, B.; Didero, M.; Paletta, C.; Didero, L. Saline intrusion and refreshening in a multilayer coastal aquifer in the Catania Plain (Sicily, Southern Italy): Dynamics of degradation processes according to the hydrochemical characteristics of groundwaters. J. Hydrol. 2005, 307, 1–16. [Google Scholar] [CrossRef]
- Unland, N.P.; Cartwright, I.; Cendón, D.I.; Chisari, R. Residence times and mixing of water in riverbanks: Implications for recharge and groundwater–surface water exchange. Hydrol. Earth Sys. Sci. 2014, 18, 5109–5124. [Google Scholar] [CrossRef] [Green Version]
- Mohamed, E.; El-Kammar, A.M.; Yehia, M.M.; Abu Salem, H. Hydrogeochemical evolution of inland lakes’ water: A study of major element geochemistry in the Wadi El Raiyan depression, Egypt. J. Adv. Res. 2015, 6, 1031–1044. [Google Scholar] [CrossRef] [PubMed] [Green Version]
- Boumaiza, L.; Chesnaux, R.; Drias, T.; Walter, J.; Huneau, F.; Garel, E.; Knoeller, K.; Stumpp, C. Identifying groundwater degradation sources in a Mediterranean coastal area experiencing significant multi-origin stresses. Sci. Total Environ. 2020, 746, 141203. [Google Scholar] [CrossRef]
- Sunkari, E.D.; Abu, M.; Zango, M.S. Geochemical evolution and tracing of groundwater salinization using different ionic ratios, multivariate statistical and geochemical modeling approaches in a typical semi-arid basin. J. Contam. Hydrol. 2021, 236, 103742. [Google Scholar] [CrossRef]
- Barthold, F.K.; Tyralla, C.; Schneider, K.; Vaché, K.B.; Frede, H.-G.; Breuer, L. How many tracers do we need for end member mixing analysis (EMMA)? A sensitivity analysis. Water Resour. Res. 2011, 47, 1–14. [Google Scholar] [CrossRef]
- Gilabert-Alarcón, C.; Daesslé, L.W.; Salgado-Méndez, S.O.; Pérez-Flores, M.A.; Knöller, K.; Kretzschmar, T.G.; Stumpp, C. Effects of reclaimed water discharge in the Maneadero coastal aquifer, Baja California, Mexico. Appl. Geochem. 2018, 92, 121–139. [Google Scholar] [CrossRef]
- Loni, O.A.; Zaidi, F.K.; Alhumimidi, M.S.; Alharbi, O.A.; Hussein, M.T.; Dafalla, M.; AlYousef, K.A.; Kassem, O.M. Evaluation of groundwater quality in an evaporation dominant arid environment; a case study from Al Asyah area in Saudi Arabia. Arab. J. Geosci. 2015, 8, 6237–6247. [Google Scholar] [CrossRef]
- Meybeck, M. Global chemical weathering of surficial rocks estimated from river dissolved loads. Am. J. Sci. 1987, 287, 401–428. [Google Scholar] [CrossRef]
- Hair, J.; Anderson, R.; Tatham, R.; Black, W. Multivariate Data Analysis with Reading, 3rd ed.; Maxwell Macmillan International: New York, NY, USA, 1992. [Google Scholar]
- Srivastava, P.K.; Han, D.; Gupta, M.; Mukherjee, S. Integrated framework for monitoring groundwater pollution using a geographical information system and multivariate analysis. Hydrol. Sci. J. 2012, 57, 1453–1472. [Google Scholar] [CrossRef]
- Panagopoulos, G.P.; Angelopoulou, D.; Tzirtzilakis, E.E.; Giannoulopoulos, P. The contribution of cluster and discriminant analysis to the classification of complex aquifer systems. Environ. Monit. Assess. 2016, 188, 591. [Google Scholar] [CrossRef] [PubMed]
- Zhang, N.; Liu, B.; Xiao, C. Spatio-temporal variation of groundwater contamination using IEA-UEF in urban areas of Jilin City, North-eastern China. Water Sci. Tech. Water Supply J. 2016, 16, 1277–1286. [Google Scholar]
- Abu Salem, H.S.; Abu Khatita, A.; Abdeen, M.M.; Mohamed, E.A.; El Kammar, A.M. Geo-environmental evaluation of Wadi El Raiyan Lakes, Egypt, using remote sensing and trace element techniques. Arab. J. Geosci. 2017, 10, 224. [Google Scholar] [CrossRef]
- Kaiser, H.F. The varimax criteria for analytical rotation in factor analysis. Psychometrika 1958, 23, 187–200. [Google Scholar] [CrossRef]
- Liu, C.-W.; Lin, K.-H.; Kuo, Y.-M. Application of factor analysis in the assessment of groundwater quality in a blackfoot disease area in Taiwan. Sci. Total Environ. 2003, 313, 77–89. [Google Scholar] [CrossRef]
- Field, A. Discovering Statistics Using SPSS: Book Plus Code for E Version of Text; SAGE Publications Limited: London, UK, 2009; p. 896. [Google Scholar]














| Minimum | Maximum | Mean | Std. Deviation | CV% | |
|---|---|---|---|---|---|
| pH | 6.9 | 8.9 | 7.6 | 0.4 | 5 |
| TDS | 283 | 19550 | 3595 | 5397 | 150 |
| EC | 389 | 30030 | 5429 | 8135 | 150 |
| K+ | 4.5 | 146 | 24.3 | 26.5 | 109 |
| Na+ | 16 | 4350 | 734 | 1131 | 154 |
| Mg2+ | 13 | 960 | 146 | 242 | 166 |
| Ca2+ | 15 | 1554 | 227 | 366 | 161 |
| Cl− | 30 | 10120 | 1459 | 2557 | 175 |
| SO42− | 15 | 4560 | 654 | 1147 | 175 |
| HCO3− | 72 | 810 | 227 | 129 | 57 |
| Kaiser–Meyer–Olkin Measure of Sampling Adequacy | 0.79 | |||
| Bartlett’s Test of Sphericity | Approx. Chi-Square | 2604.09 | ||
| df | 153 | |||
| Sig. | 0.000 | |||
| Rotation Sums of Squared Loadings | Total | 8.96 | 3.41 | 3.11 |
| % of Variance | 49.78 | 18.95 | 17.29 | |
| Cumulative % | 49.78 | 68.72 | 86.02 | |
| 1 | 2 | 3 | ||
| EC | 0.97 | 0.22 | −0.01 | |
| TDS | 0.97 | 0.22 | −0.02 | |
| Mg | 0.97 | 0.16 | −0.01 | |
| Cl | 0.95 | 0.21 | −0.04 | |
| Na | 0.95 | 0.26 | −0.02 | |
| Ca | 0.95 | 0.15 | −0.02 | |
| SO4 | 0.89 | 0.21 | −0.05 | |
| SI Gypsum | 0.75 | 0.54 | 0.12 | |
| SI Halite | 0.73 | 0.62 | 0.05 | |
| K | 0.73 | 0.19 | 0.19 | |
| SAR | 0.69 | 0.51 | −0.02 | |
| Distance | −0.40 | −0.85 | −0.08 | |
| Total Depth | −0.05 | −0.83 | 0.26 | |
| Water level | −0.35 | −0.83 | −0.11 | |
| SI Dolomite | 0.22 | 0.05 | 0.96 | |
| SI Calcite | 0.19 | 0.00 | 0.96 | |
| HCO3 | −0.08 | 0.02 | 0.81 | |
| pH | −0.40 | −0.16 | 0.69 | |
Publisher’s Note: MDPI stays neutral with regard to jurisdictional claims in published maps and institutional affiliations. |
© 2022 by the authors. Licensee MDPI, Basel, Switzerland. This article is an open access article distributed under the terms and conditions of the Creative Commons Attribution (CC BY) license (https://creativecommons.org/licenses/by/4.0/).
Share and Cite
Abu Salem, H.S.; Gemail, K.S.; Junakova, N.; Ibrahim, A.; Nosair, A.M. An Integrated Approach for Deciphering Hydrogeochemical Processes during Seawater Intrusion in Coastal Aquifers. Water 2022, 14, 1165. https://doi.org/10.3390/w14071165
Abu Salem HS, Gemail KS, Junakova N, Ibrahim A, Nosair AM. An Integrated Approach for Deciphering Hydrogeochemical Processes during Seawater Intrusion in Coastal Aquifers. Water. 2022; 14(7):1165. https://doi.org/10.3390/w14071165
Chicago/Turabian StyleAbu Salem, Hend S., Khaled S. Gemail, Natalia Junakova, Amin Ibrahim, and Ahmed M. Nosair. 2022. "An Integrated Approach for Deciphering Hydrogeochemical Processes during Seawater Intrusion in Coastal Aquifers" Water 14, no. 7: 1165. https://doi.org/10.3390/w14071165
APA StyleAbu Salem, H. S., Gemail, K. S., Junakova, N., Ibrahim, A., & Nosair, A. M. (2022). An Integrated Approach for Deciphering Hydrogeochemical Processes during Seawater Intrusion in Coastal Aquifers. Water, 14(7), 1165. https://doi.org/10.3390/w14071165

