Evaluation of IMERG and ERA5 Precipitation-Phase Partitioning on the Global Scale
Abstract
:1. Introduction
2. Materials and Methods
2.1. Gauge Data
2.2. IMERG
2.3. ERA5
2.4. Sample Preparation
- (1)
- When the air temperature exceeded 10 °C or was lower than −10 °C, there was no difficulty in distinguishing between rainfall and snowfall. Therefore, the data with air temperatures below −10 °C and above 10 °C were deleted. This resulted in 46.3% of the dataset being eliminated.
- (2)
- Gauge observations with relative humidity (RH) lower than 10% or greater than 100% were excluded. This is because RH in nature rarely drops below 10% and cannot exceed 100%, as observed by Jennings et al. [2]. The excluded samples comprise about 0.1% of the dataset.
- (3)
- Almost all snowfall events occurred in the middle (60–90° NS) and high latitudes (30–60° NS), so the observation data for 23.5° N–23.5° S were deleted.
2.5. Statistical Metrics
3. Results and Discussion
3.1. Spatial Analysis
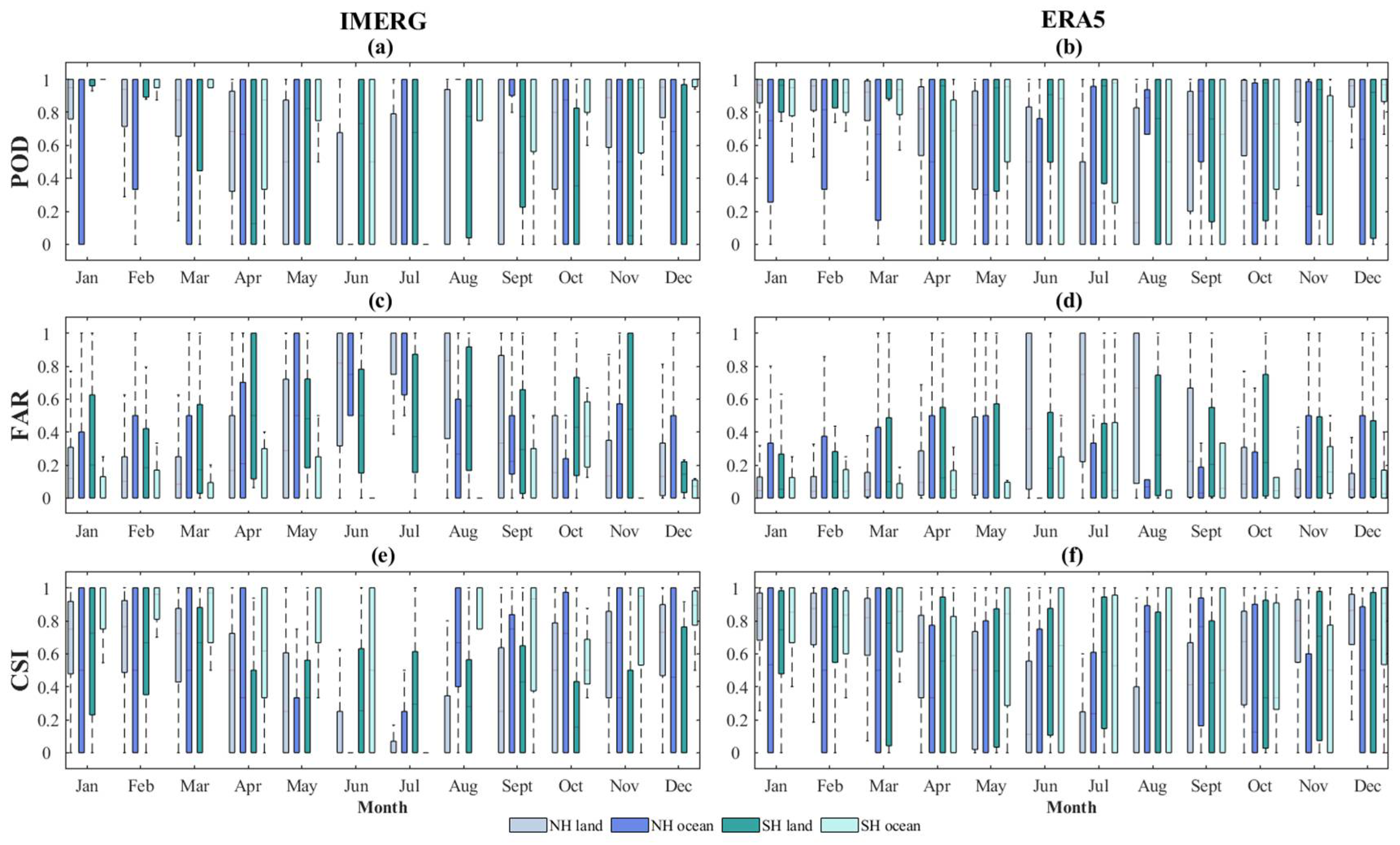
3.2. Seasonal and Regional Analysis
3.3. Sensitivity to Precipitation and Temperature
4. Discussion
4.1. Comparison between IMERG and ERA5
4.2. Performance over Mountainous Areas
5. Conclusions
- (1)
- The ERA5 results show better overall performance in distinguishing rainfall and snowfall events than the IMERG. The median CSI values of the IMERG and ERA5 are 0.78, and 0.82, respectively.
- (2)
- Both the IMERG and ERA5 perform well in winter, but worse in summer. The ERA5 shows good accuracy on all continents except for South America. Both products demonstrated poor performance in South America, likely due to complex terrain and warm temperature circumstances.
- (3)
- Compared with the IMERG, the ERA5 is more sensitive to snowfall events at high latitudes but shows worse performance at mid-low latitude regions. A possible reason for this phenomenon is that due to the ERA5 having a coarser resolution (0.25 × 0.25°) and a simulation based on physical mechanisms, it is more difficult for the ERA5 than the IMERG to accurately capture the complex precipitation phase in low- and medium-dimensional regions. Moreover, the IMERG performs better than the ERA5 at middle latitude regions. Both the IMERG and ERA5 have lower accuracy in rain–snow partitioning under heavy precipitation.
Author Contributions
Funding
Institutional Review Board Statement
Informed Consent Statement
Data Availability Statement
Conflicts of Interest
References
- Harpold, A.A.; Kaplan, M.L.; Klos, P.Z.; Link, T.; McNamara, J.P.; Rajagopal, S.; Schumer, R.; Steele, C.M. Rain or snow: Hydrologic processes, observations, prediction, and research needs. Hydrol. Earth Syst. Sci. 2017, 21, 1–22. [Google Scholar] [CrossRef] [Green Version]
- Jennings, K.S.; Winchell, T.S.; Livneh, B.; Molotch, N.P. Spatial variation of the rain–snow temperature threshold across the Northern Hemisphere. Nat. Commun. 2018, 9, 1148. [Google Scholar] [CrossRef] [PubMed] [Green Version]
- Dai, A. Temperature and pressure dependence of the rain-snow phase transition over land and ocean. Geophys. Res. Lett. 2008, 35, L12802. [Google Scholar] [CrossRef]
- Lynn, E.; Cuthbertson, A.; He, M.; Vasquez, J.P.; Anderson, M.L.; Coombe, P.; Abatzoglou, J.T.; Hatchett, B.J. Technical note: Precipitation-phase partitioning at landscape scales to regional scales. Hydrol. Earth Syst. Sci. 2020, 24, 5317–5328. [Google Scholar] [CrossRef]
- McCabe, G.J.; Wolock, D.M. Long-term variability in Northern Hemisphere snow cover and associations with warmer winters. Clim. Chang. 2009, 99, 141–153. [Google Scholar] [CrossRef]
- Sun, F.; Chen, Y.; Li, Y.; Li, Z.; Duan, W.; Zhang, Q.; Chuan, W. Incorporating relative humidity improves the accuracy of precipitation phase discrimination in High Mountain Asia. Atmos. Res. 2022, 271, 106094. [Google Scholar] [CrossRef]
- Shi, S.; Liu, G. The latitudinal dependence in the trend of snow event to precipitation event ratio. Sci. Rep. 2021, 11, 18112. [Google Scholar] [CrossRef]
- Ding, M.; Yang, D.; Broeke, M.V.D.; Allison, I.; Xiao, C.; Qin, D.; Huai, B. The Surface Energy Balance at Panda 1 Station, Princess Elizabeth Land: A Typical Katabatic Wind Region in East Antarctica. J. Geophys. Res. Atmos. 2019, 125, 1–19. [Google Scholar] [CrossRef]
- You, Q.; Wu, T.; Shen, L.; Pepin, N.; Zhang, L.; Jiang, Z.; Wu, Z.; Kang, S.; AghaKouchak, A. Review of snow cover variation over the Tibetan Plateau and its influence on the broad climate system. Earth-Sci. Rev. 2020, 201, 103043. [Google Scholar] [CrossRef]
- Tang, G.; Long, D.; Behrangi, A.; Wang, C.; Hong, Y. Exploring Deep Neural Networks to Retrieve Rain and Snow in High Latitudes Using Multisensor and Reanalysis Data. Water Resour. Res. 2018, 54, 8253–8278. [Google Scholar] [CrossRef] [Green Version]
- Harpold, A.A.; Rajagopal, S.; Crews, J.B.; Winchell, T.; Schumer, R. Relative Humidity Has Uneven Effects on Shifts from Snow to Rain Over the Western U.S. Geophys. Res. Lett. 2017, 44, 9742–9750. [Google Scholar] [CrossRef]
- Kienzle, S.W. A new temperature based method to separate rain and snow. Hydrol. Process. 2008, 22, 5067–5085. [Google Scholar] [CrossRef]
- Ye, H.; Cohen, J.; Rawlins, M. Discrimination of Solid from Liquid Precipitation over Northern Eurasia Using Surface Atmospheric Conditions. J. Hydrometeorol. 2013, 14, 1345–1355. [Google Scholar] [CrossRef] [Green Version]
- Ding, B.; Yang, K.; Qin, J.; Wang, L.; Chen, Y.; He, X. The dependence of precipitation types on surface elevation and meteorological conditions and its parameterization. J. Hydrol. 2014, 513, 154–163. [Google Scholar] [CrossRef]
- Sims, E.M.; Liu, G. A Parameterization of the Probability of Snow–Rain Transition. J. Hydrometeorol. 2015, 16, 1466–1477. [Google Scholar] [CrossRef]
- Wayand, N.E.; Clark, M.P.; Lundquist, J.D. Diagnosing snow accumulation errors in a rain-snow transitional environment with snow board observations. Hydrol. Process. 2016, 31, 349–363. [Google Scholar] [CrossRef]
- Rajagopal, S.; Harpold, A. Testing and Improving Temperature Thresholds for Snow and Rain Prediction in the Western United States. JAWRA J. Am. Water Resour. Assoc. 2016, 52, 1142–1154. [Google Scholar] [CrossRef]
- Tamang, S.; Ebtehaj, A.M.; Prein, A.F.; Heymsfield, A.J. Linking Global Changes of Snowfall and Wet-Bulb Temperature. J. Clim. 2019, 33, 39–59. [Google Scholar] [CrossRef]
- Behrangi, A.; Yin, X.; Rajagopal, S.; Stampoulis, D.; Ye, H. On distinguishing snowfall from rainfall using near-surface atmospheric information: Comparative analysis, uncertainties and hydrologic importance. Q. J. R. Meteorol. Soc. 2018, 144, 89–102. [Google Scholar] [CrossRef] [Green Version]
- Beck, H.E.; Pan, M.; Roy, T.; Weedon, G.P.; Pappenberger, F.; van Dijk, A.I.J.M.; Huffman, G.J.; Adler, R.F.; Wood, E.F. Daily evaluation of 26 precipitation datasets using Stage-IV gauge-radar data for the CONUS. Hydrol. Earth Syst. Sci. 2019, 23, 207–224. [Google Scholar] [CrossRef] [Green Version]
- Tang, G.; Clark, M.P.; Papalexiou, S.M. SC-Earth: A Station-Based Serially Complete Earth Dataset from 1950 to 2019. J. Clim. 2021, 34, 6493–6511. [Google Scholar] [CrossRef]
- Zhang, L.; Li, X.; Zheng, D.; Zhang, K.; Ma, Q.; Zhao, Y.; Ge, Y. Merging multiple satellite-based precipitation products and gauge observations using a novel double machine learning approach. J. Hydrol. 2021, 594, 125969. [Google Scholar] [CrossRef]
- Levizzani, V.; Laviola, S.; Cattani, E. Detection and Measurement of Snowfall from Space. Remote Sens. 2011, 3, 145–166. [Google Scholar] [CrossRef] [Green Version]
- Tang, G.; Wen, Y.; Gao, J.; Long, D.; Ma, Y.; Wan, W.; Hong, Y. Similarities and differences between three coexisting spaceborne radars in global rainfall and snowfall estimation. Water Resour. Res. 2017, 53, 3835–3853. [Google Scholar] [CrossRef]
- Behrangi, A.; Andreadis, K.; Fisher, J.; Turk, F.J.; Granger, S.; Painter, T.; Das, N. Satellite-Based Precipitation Estimation and Its Application for Streamflow Prediction over Mountainous Western U.S. Basins. J. Appl. Meteorol. Clim. 2014, 53, 2823–2842. [Google Scholar] [CrossRef] [Green Version]
- Behrangi, A.; Guan, B.; Neiman, P.J.; Schreier, M.; Lambrigtsen, B. On the Quantification of Atmospheric Rivers Precipitation from Space: Composite Assessments and Case Studies over the Eastern North Pacific Ocean and the Western United States. J. Hydrometeorol. 2015, 17, 369–382. [Google Scholar] [CrossRef]
- Harpold, A.; Brooks, P.; Rajagopal, S.; Heidbüchel, I.; Jardine, A.; Stielstra, C. Changes in snowpack accumulation and ablation in the intermountain west. Water Resour. Res. 2012, 48, W11501. [Google Scholar] [CrossRef] [Green Version]
- Skofronick-Jackson, G.; Hudak, D.; Petersen, W.; Nesbitt, S.W.; Chandrasekar, V.; Durden, S.; Gleicher, K.J.; Huang, G.-J.; Joe, P.; Kolliaset, P.; et al. Global precipitation measurement cold season precipitation experiment (GCPEX): For measurement’s sake, let it snow. Bull. Am. Meteorol. Soc. 2015, 96, 1719–1741. [Google Scholar] [CrossRef]
- Hou, A.Y.; Kakar, R.K.; Neeck, S.; Azarbarzin, A.A.; Kummerow, C.D.; Kojima, M.; Oki, R.; Nakamura, K.; Iguchi, T. The global precipitation measurement mission. Bull. Am. Meteorol. Soc. 2014, 95, 701–722. [Google Scholar] [CrossRef]
- Kirschbaum, D.B.; Huffman, G.; Adler, R.F.; Braun, S.; Garrett, K.; Jones, E.; McNally, A.; Skofronick-Jackson, G.; Stocker, E.; Wu, H.; et al. NASA’s Remotely Sensed Precipitation: A Reservoir for Applications Users. Bull. Am. Meteorol. Soc. 2017, 98, 1169–1184. [Google Scholar] [CrossRef]
- Huffman, G.J.; Stocker, E.F.; Bolvin, D.T.; Nelkin, E.J.; Tan, J. IMERG Final Precipitation L3 Half Hourly 0.1 Degree × 0.1 Degree V06, Greenbelt, MD, Goddard Earth Sciences Data and Information Services Center (GES DISC). Available online: https://storm.pps.eosdis.nasa.gov/storm/ (accessed on 25 March 2021).
- Bengtsson, L.; Hagemann, S.; Hodges, K.I. Can climate trends be calculated from reanalysis data? J. Geophys. Res. Earth Surf. 2004, 109, D11111. [Google Scholar] [CrossRef] [Green Version]
- Tarek, M.; Brissette, F.P.; Arsenault, R. Evaluation of the ERA5 reanalysis as a potential reference dataset for hydrological modelling over North America. Hydrol. Earth Syst. Sci. 2020, 24, 2527–2544. [Google Scholar] [CrossRef]
- Huang, D.-Q.; Zhu, J.; Zhang, Y.-C.; Huang, Y.; Kuang, X.-Y. Assessment of summer monsoon precipitation derived from five reanalysis datasets over East Asia. Q. J. R. Meteorol. Soc. 2015, 142, 108–119. [Google Scholar] [CrossRef]
- Lin, R.; Zhou, T.; Qian, Y. Evaluation of Global Monsoon Precipitation Changes based on Five Reanalysis Datasets. J. Clim. 2014, 27, 1271–1289. [Google Scholar] [CrossRef]
- Tang, G.; Clark, M.P.; Papalexiou, S.M.; Newman, A.J.; Wood, A.W.; Brunet, D.; Whitfield, P.H. EMDNA: An Ensemble Meteorological Dataset for North America. Earth Syst. Sci. Data 2021, 13, 3337–3362. [Google Scholar] [CrossRef]
- Tang, G.; Clark, M.P.; Papalexiou, S.M. EM-Earth: The Ensemble Meteorological Dataset for Planet Earth. Bull. Am. Meteorol. Soc. 2022; published online ahead of print. [Google Scholar] [CrossRef]
- Hersbach, H.; Bell, B.; Berrisford, P.; Hirahara, S.; Horanyi, A.; Muñoz-Sabater, J.; Nicolas, J.; Peubey, C.; Radu, R.; Schepers, D.; et al. The ERA5 global reanalysis. Q. J. R. Meteorol. Soc. 2020, 146, 1999–2049. [Google Scholar] [CrossRef]
- Karl, H.; Michela, G. What is ERA5. 2019. Available online: https://confluence.ecmwf.int/display/CKB/What+is+ERA5 (accessed on 11 February 2020).
- Liu, Y.; Li, F.; Hao, W.; Barriot, J.-P.; Wang, Y. Evaluation of Synoptic Snowfall on the Antarctic Ice Sheet Based on CloudSat, In-Situ Observations and Atmospheric Reanalysis Datasets. Remote Sens. 2019, 11, 1686. [Google Scholar] [CrossRef] [Green Version]
- Nouri, M.; Homaee, M. Spatiotemporal changes of snow metrics in mountainous data-scarce areas using reanalyses. J. Hydrol. 2021, 603, 126858. [Google Scholar] [CrossRef]
- Amjad, M.; Yilmaz, M.T.; Yucel, I.; Yilmaz, K.K. Performance evaluation of satellite- and model-based precipitation products over varying climate and complex topography. J. Hydrol. 2020, 584, 124707. [Google Scholar] [CrossRef]
- Beck, H.E.; Wood, E.F.; Pan, M.; Fisher, C.K.; Miralles, D.G.; van Dijk, A.I.J.M.; McVicar, T.R.; Adler, R.F. MSWEP V2 Global 3-Hourly 0.1° Precipitation: Methodology and Quantitative Assessment. Bull. Am. Meteorol. Soc. 2019, 100, 473–500. [Google Scholar] [CrossRef] [Green Version]
- Roussel, M.-L.; Lemonnier, F.; Genthon, C.; Krinner, G. Brief communication: Evaluating Antarctic precipitation in ERA5 and CMIP6 against CloudSat observations. Cryosphere 2020, 14, 2715–2727. [Google Scholar] [CrossRef]
- National Centers for Environmental Prediction/National Weather Service/NOAA/U.S. Department of Commerce (1980): NCEP ADP Operational Global Surface Observations, February 1975–February 2007. Research Data Archive at the National Center for Atmospheric Research, Computational and Information Systems Laboratory. Available online: https://rda.ucar.edu/datasets/ds464.0/ (accessed on 1 March 2021).
- Lyu, F.; Tang, G.; Behrangi, A.; Wang, T.; Tan, X.; Ma, Z.; Xiong, W. Precipitation Merging Based on the Triple Collocation Method Across Mainland China. IEEE Trans. Geosci. Remote Sens. 2020, 59, 3161–3176. [Google Scholar] [CrossRef]
- Jiang, Q.; Li, W.; Fan, Z.; He, X.; Sun, W.; Chen, S.; Wen, J.; Gao, J.; Wang, J. Evaluation of the ERA5 reanalysis precipitation dataset over Chinese Mainland. J. Hydrol. 2020, 595, 125660. [Google Scholar] [CrossRef]
- Tang, G.; Ma, Y.; Long, D.; Zhong, L.; Hong, Y. Evaluation of GPM Day-1 IMERG and TMPA Version-7 legacy products over Mainland China at multiple spatiotemporal scales. J. Hydrol. 2016, 533, 152–167. [Google Scholar] [CrossRef]
- Kubecka, P. A possible world record maximum natural ground surface temperature. Weather 2001, 56, 218–221. [Google Scholar] [CrossRef]
- Gleason, B. Global Daily Climatology Network, V1.0, Natl. Clim. Data Cent., Asheville, N.C. 2002. Available online: https://citeseerx.ist.psu.edu/viewdoc/download?doi=10.1.1.195.9580&rep=rep1&type=pdf (accessed on 1 March 2021).
- Orsolini, Y.; Wegmann, M.; Dutra, E.; Liu, B.; Balsamo, G.; Yang, K.; de Rosnay, P.; Zhu, C.; Wang, W.; Senan, R.; et al. Evaluation of snow depth and snow cover over the Tibetan Plateau in global reanalyses using in situ and satellite remote sensing observations. Cryosphere 2019, 13, 2221–2239. [Google Scholar] [CrossRef] [Green Version]
- Norris, J.; Carvalho, L.M.V.; Jones, C.; Cannon, F. Warming and drying over the central Himalaya caused by an amplification of local mountain circulation. Npj Clim. Atmos. Sci. 2020, 3, 1. [Google Scholar] [CrossRef] [Green Version]
- Casellas, E.; Bech, J.; Veciana, R.; Pineda, N.; Rigo, T.; Miró, J.R.; Sairouni, A. Surface precipitation phase discrimination in complex terrain. J. Hydrol. 2020, 592, 125780. [Google Scholar] [CrossRef]











Publisher’s Note: MDPI stays neutral with regard to jurisdictional claims in published maps and institutional affiliations. |
© 2022 by the authors. Licensee MDPI, Basel, Switzerland. This article is an open access article distributed under the terms and conditions of the Creative Commons Attribution (CC BY) license (https://creativecommons.org/licenses/by/4.0/).
Share and Cite
Xiong, W.; Tang, G.; Wang, T.; Ma, Z.; Wan, W. Evaluation of IMERG and ERA5 Precipitation-Phase Partitioning on the Global Scale. Water 2022, 14, 1122. https://doi.org/10.3390/w14071122
Xiong W, Tang G, Wang T, Ma Z, Wan W. Evaluation of IMERG and ERA5 Precipitation-Phase Partitioning on the Global Scale. Water. 2022; 14(7):1122. https://doi.org/10.3390/w14071122
Chicago/Turabian StyleXiong, Wentao, Guoqiang Tang, Tsechun Wang, Ziqiang Ma, and Wei Wan. 2022. "Evaluation of IMERG and ERA5 Precipitation-Phase Partitioning on the Global Scale" Water 14, no. 7: 1122. https://doi.org/10.3390/w14071122
APA StyleXiong, W., Tang, G., Wang, T., Ma, Z., & Wan, W. (2022). Evaluation of IMERG and ERA5 Precipitation-Phase Partitioning on the Global Scale. Water, 14(7), 1122. https://doi.org/10.3390/w14071122

