Function of a Deep-Buried Isolated Trench and Its Effect on Cracking Failure Characteristics of a Slope under Artificial Rainfall
Abstract
:1. Introduction
2. Methods and Materials
2.1. Deep-Buried Isolated Trench Method
- 1)
- We selected the natural slope with soil quality and slope that met the test requirements. A trench with a width of 0.1 m on both sides of the boundary close to the rainfall region was vertically excavated downward along the slope crest and surface to the specified depth. The depth of the trench was greater than the maximum local statistic value of the infiltration depth. The trench was maintained upright, and the side wall was flat during excavation. The floating soil at the bottom was finally cleaned up to ensure that it did not influence the effect of the isolated trench.
- 2)
- We calculated the required area of the whole isolated cloth according to the depth and width of the trench. Afterward, the isolated cloth, with the characteristics of a dense texture, softness, good ductility, impermeability, and a smooth surface was cut out and spread out on the ground and was slowly placed at the bottom of the trench to fully cover the side wall of the trench.
- 3)
- We backfilled the trench layer by layer and tamped after every 0.2 m of soil thickness to achieve a compactness close to that of the original slope. The slope crest surface of the isolated trench was leveled.
- 4)
- 1)
- The deep-buried isolated trench can effectively prevent the lateral loss of rainwater that infiltrates into deep within the rainfall area by means of the impermeable isolated cloth, so as to separate the rainfall area from the non-rainfall region, and an independent rainfall area can be formed in a better test condition.
- 2)
- In order to eliminate retardation deformation in the rainfall area resulting from the boundary constraint of the adjacent non-rainfall area, an isolated cloth with smooth surface and lower friction coefficient is used in the deep-buried isolated trench. The approach ensures the natural deformation and the crack from initiation to expansion in rainfall area. Thus, the free deformation of the soil will be realized in the test slope.
- 3)
- The isolated trench is leveled and backfilled layer by layer so that the stress of the rainfall area of the field slope is consistent with that of the non-rain area, and the plane strain stress state will be restored. In short, an overall downward-cutting form of the failure can be achieved, and the accuracy and reliability of the test slope can be improved under local artificial rainfall.
2.2. Basic Information of Test Slope
2.3. Construction of Deep-Buried Isolated Trench
2.4. Embedding of Monitoring Equipment
3. Results
3.1. Characteristics of Cracking and Failure of Test Slopes
3.2. Cracking and Failure Process of the Test Slopes
4. Discussion
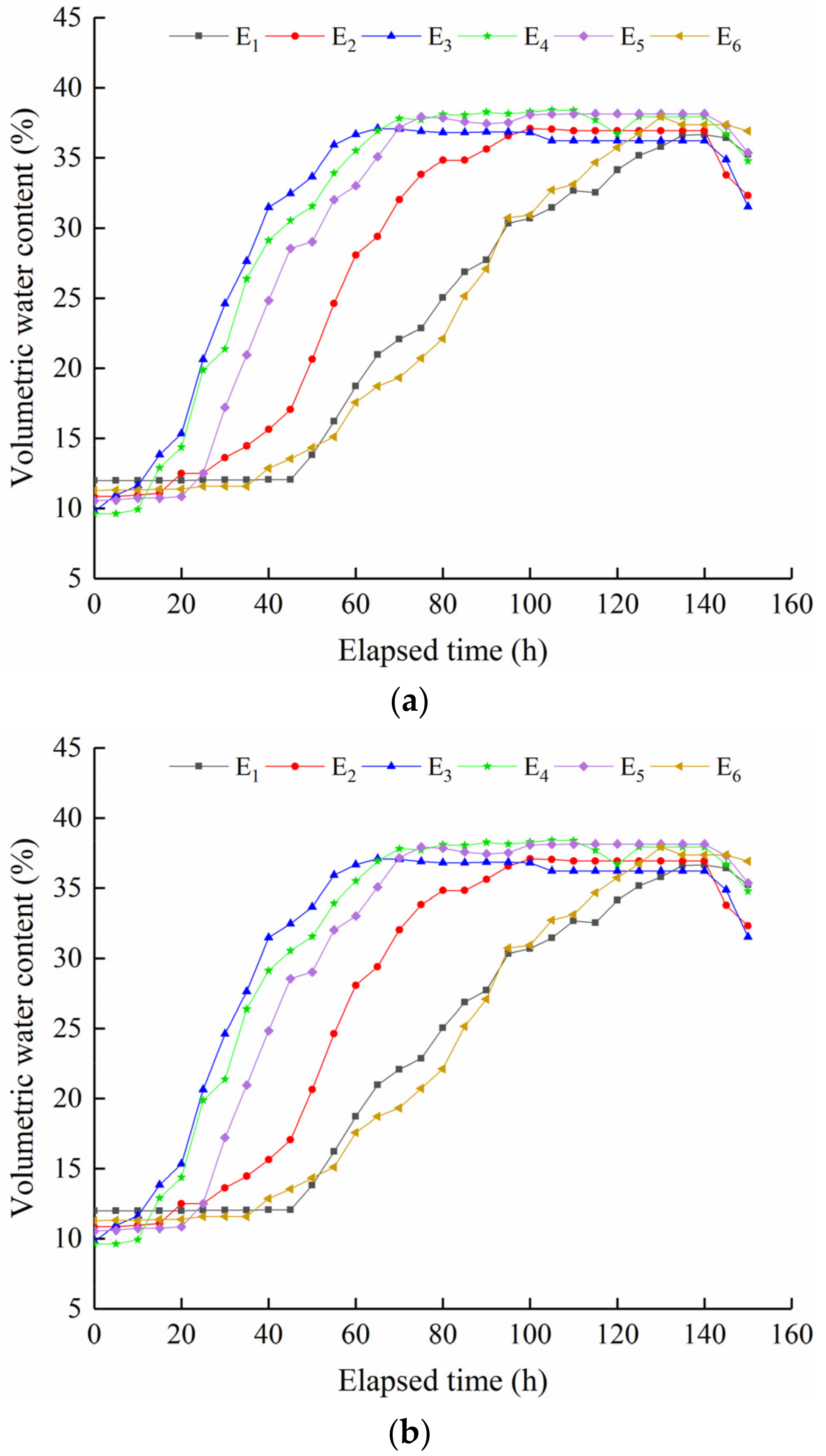
4.1. Analysis of the Change Law of Volumetric Water Content in Monitoring Points
4.2. Analysis of Cracking Change Law on Slope Crest
4.3. Evaluation of Cracking Failure Characteristics with Deep-Buried Isolated Trench
4.4. Numerical Simulation Analysis of Rainfall Slope in Double Isolated Trench
4.4.1. Model Establishment and Boundary Condition
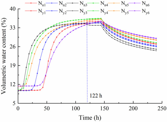
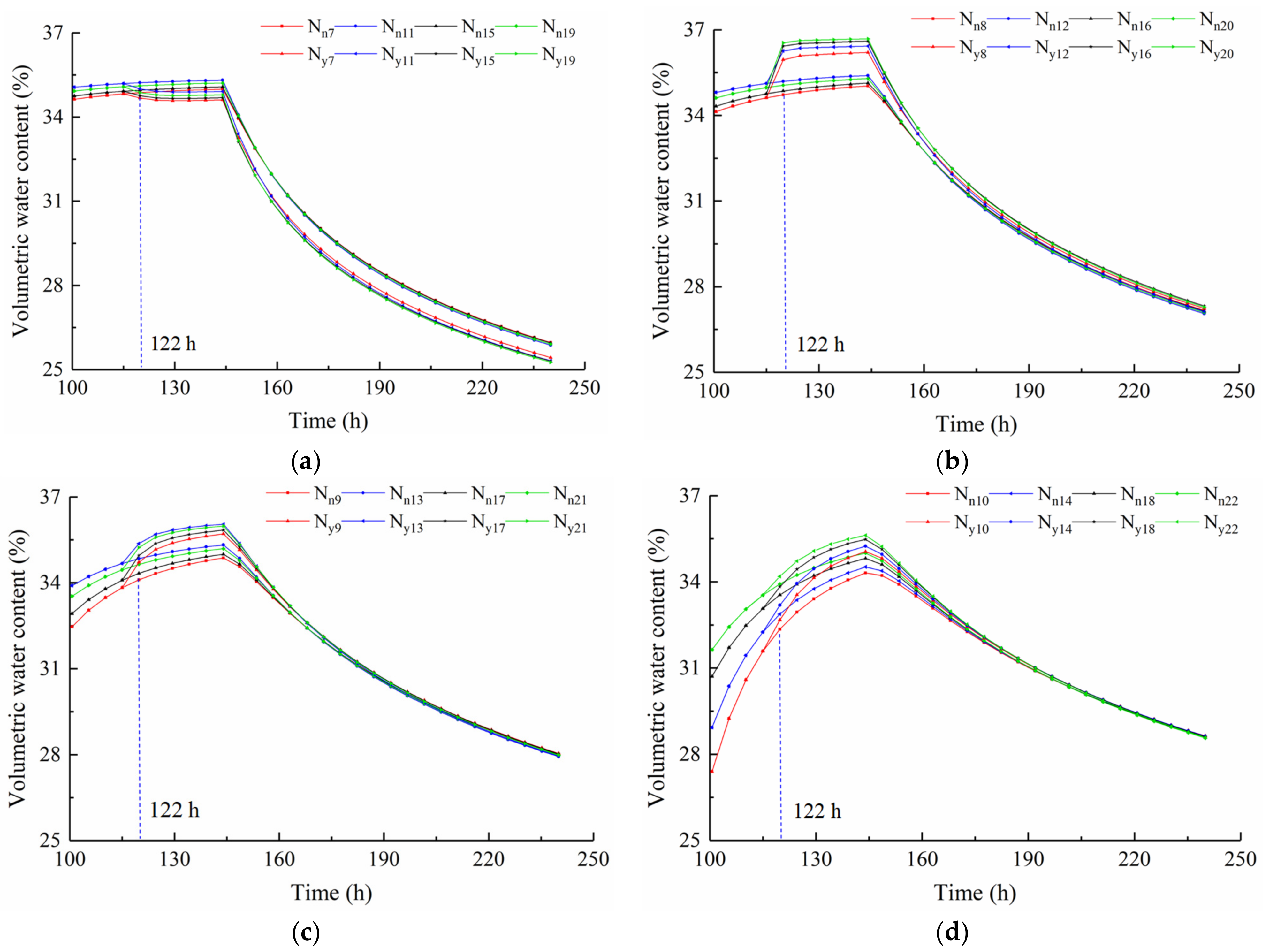
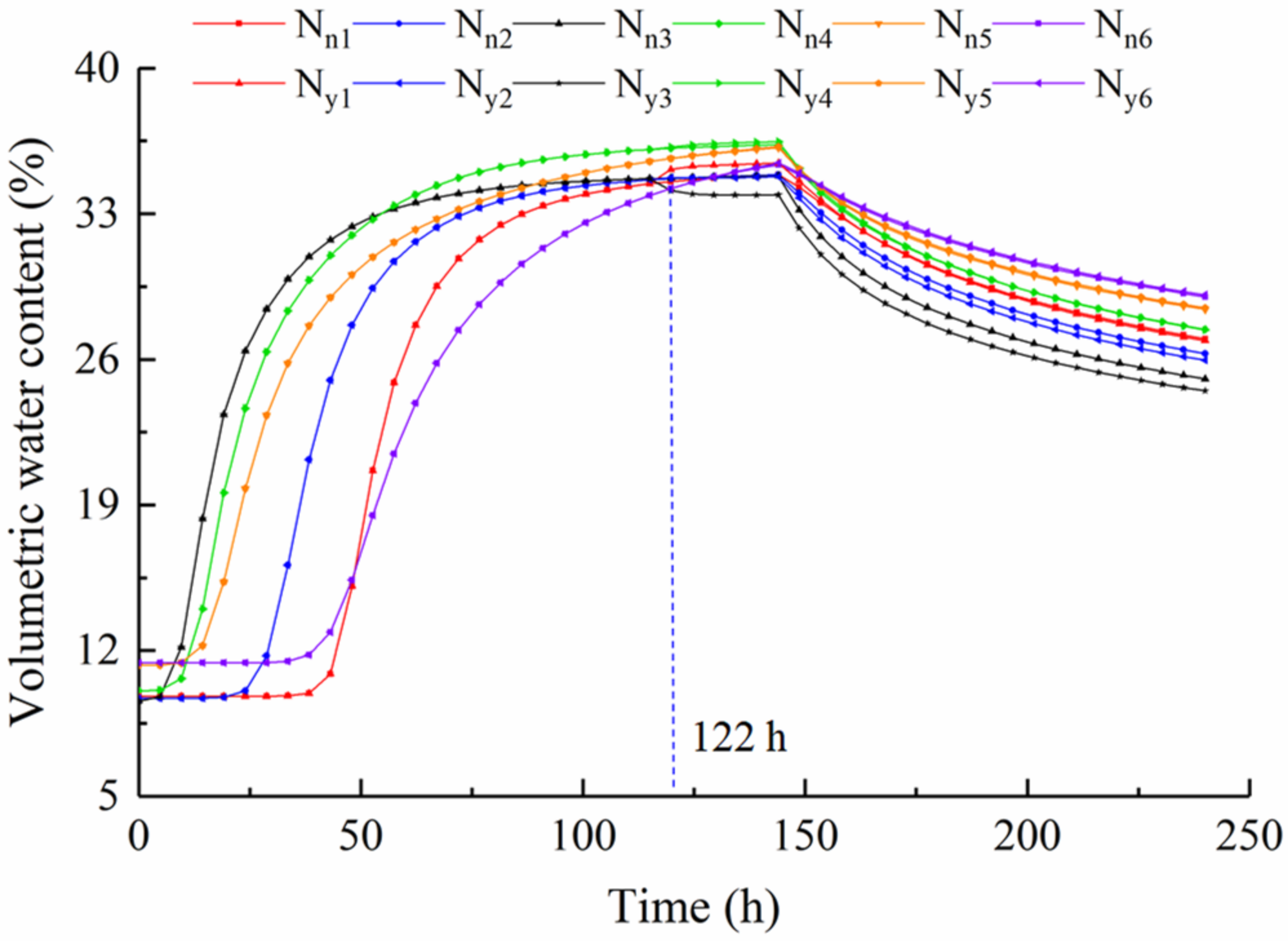
4.4.2. Discussion on Change Law of Volumetric Water Content in Monitoring Points
5. Conclusions
Author Contributions
Funding
Institutional Review Board Statement
Informed Consent Statement
Data Availability Statement
Conflicts of Interest
References
- Duan, Z.; Zhao, F.S.; Chen, X.J. Types and spatio-temporal distribution of loess landslides in loess plateau region: A case study in Wuqi county. J. Catastrophol. 2011, 26, 52–56. (In Chinese) [Google Scholar]
- Wang, T.; Zhao, X.L.; Qi, P.R. Impact of continued heavy rainfall on loess land slide hazard areas: A case study on Yan’an. Geol. Surv. Res. 2014, 37, 224–229. (In Chinese) [Google Scholar]
- Sun, P.P.; Zhang, M.S.; Jiang, R.J.; Jia, J.; Liu, F.; Liu, M.M. Deformation and failure mechanism of rainfall-induced shallow loess landslide. Geol. Bull. China 2021, 40, 1617–1625. (In Chinese) [Google Scholar]
- Peng, J.; Wang, S.; Wang, Q.; Zhuang, J.; Huang, W.; Zhu, X.; Leng, Y.; Ma, P. Distribution and genetic types of loess landslides in China. J. Southeast Asian Earth Sci. 2018, 170, 329–350. [Google Scholar] [CrossRef]
- Gu, T.; Wang, J.; Lin, H.; Xue, Q.; Sun, B.; Kong, J.; Sun, J.; Wang, C.; Zhang, F.; Wang, X. The Spatiotemporal Relationship between Landslides and Mechanisms at the Heifangtai Terrace, Northwest China. Water 2021, 13, 3275. [Google Scholar] [CrossRef]
- Huang, R.Q. Large-scale landslides and their sliding mechanisms in china since the 20th century. Chin. J. Rock Mech. Eng. 2007, 26, 433–454. (In Chinese) [Google Scholar]
- Griffiths, D.V.; Marquez, R.M. Three-dimensional slope stability analysis by elasto-plastic finite elements. Géotechnique 2007, 57, 537–546. [Google Scholar] [CrossRef] [Green Version]
- Ashraf, A.A.; Abdallah, S.B. Three-Dimensional Analysis of Seepage below and around Hydraulic Structures. J. Hydrol. Eng. 2009, 14, 243–247. [Google Scholar]
- Hou, X.P.; Xu, Q.; Chen, S.H. An air element method for overflow boundary problem in seepage analysis. Rock Soil Mech. 2015, 36, 2345–2351. (In Chinese) [Google Scholar]
- Li, G.R.; Chen, W.T.; Zhu, H.L.; Guo, Z.J.; Li, J.F.; Wang, T.; Hu, X.S. Influence of rain infiltration to stability of loess slope in the northeast Qinghai-Tibetan plateau. Hydrogeol. Eng. Geol. 2015, 42, 105–111. (In Chinese) [Google Scholar]
- Lei, W.; Dong, H.; Chen, P.; Lv, H.; Fan, L.; Mei, G. Study on Runoff and Infiltration for Expansive Soil Slopes in Simulated Rainfall. Water 2020, 12, 222. [Google Scholar] [CrossRef] [Green Version]
- Zhang, M.; Yang, L.; Ren, X.W.; Zhang, C.Y.; Zhang, T.L.; Zhang, J.J.; Shi, X.Y. Field model experiments to determine mech-anisms of rainstorm-induced shallow landslides in the Feiyunjiang river basin. Eng. Geol. 2019, 262, 105348. [Google Scholar] [CrossRef]
- Zhou, Z.; Fu, H.L.; Liu, B.C.; Tan, H.H.; Long, W.X.; Zhou, Y. In-situ monitoring test study on artificial rainfall infiltration of a well-instrumented accumulation slope. China Railw. Sci. 2006, 27, 11–15. (In Chinese) [Google Scholar]
- Zhou, Z.; Fu, H.L.; Liu, B.C.; Tan, H.H.; Long, W.X. Artificial rainfall tests on a well-instrumented soil-rock-mixture slope. Rock Soil Mech. 2007, 28, 1391–1396. (In Chinese) [Google Scholar]
- Fu, H.L.; Li, C.Y.; Guo, F.; Zhou, Z. Situ-test of abduction elements of landslide and its influence. J. Cent. South Univ. 2009, 40, 781–785. (In Chinese) [Google Scholar]
- Tu, X.B.; Kwong, A.F.L.; Dai, F.C.; Tham, L.G.; Min, H. Field monitoring of rainfall infiltration in a loess slope and analysis of failure mechanism of rainfall-induced landslides. Eng. Geol. 2009, 105, 134–150. [Google Scholar] [CrossRef]
- Zhang, M.S.; Li, T.L. Triggering factors and forming mechanism of loess landslides. J. Eng. Geol. 2011, 19, 530–540. (In Chinese) [Google Scholar]
- Wang, G.; Sun, P.; Wu, L.Z.; Shi, L.Y.; Zhu, E.Z. Experimental study on mechanism of shallow loess landslides induced by rainfall. J. Eng. Geol. 2017, 25, 1252–1263. (In Chinese) [Google Scholar]
- Liu, H.L.; Xu, Z.M.; Zhang, Y.; Wang, Z.Q. Evolutionary mechanism of slope fissures during rainfall and their affection slope stability: A case study of Dingjiafen landslide in Shuangbo country, Yunnan. J. Catastrophol. 2011, 26, 26–29. (In Chinese) [Google Scholar]
- Xu, X.J.; Wang, L.B.; He, Z.J. Study of influence of vertical cracks on slope stability. Yangtze River 2009, 40, 46–48. (In Chinese) [Google Scholar]
- Peng, J.B.; Wang, Q.Y.; Zhuang, J.Q.; Leng, Y.Q.; Fan, Z.J.; Wang, S.K. Dynamic formation mechanism of landslide disaster on the loess plateau. J. Geomech. 2020, 26, 714–730. [Google Scholar]
- Ma, P.H.; Peng, J.B.; Zhu, X.H.; Tong, X.; Meng, Z.J.; Duan, Z. Regularities of rainfall infiltration in shallow loess. Bull. Soil Water Conserv. 2017, 37, 248–253. (In Chinese) [Google Scholar]
- Miao, H.B.; Chai, S.F.; Wang, G.H. Influence factors for failure of cohesionless soil slopes triggered by heavy rainfall. Chin. J. Geotech. Eng. 2021, 43, 300–308. (In Chinese) [Google Scholar]
- Sun, P.; Wang, H.; Wang, G.; Li, R.; Zhang, Z.; Huo, X. Field model experiments and numerical analysis of rainfall-induced shallow loess landslides. Eng. Geol. 2021, 295, 106411. [Google Scholar] [CrossRef]
- Wen, Y.; Gao, P.; Mu, X.; Li, M.; Su, Y.; Wang, H. Experimental Study on Landslides in Terraced Fields in the Chinese Loessial Region under Extreme Rainfall. Water 2021, 13, 270. [Google Scholar] [CrossRef]
- Yang, L.; Liu, E. Numerical Analysis of the Effects of Crack Characteristics on the Stress and Deformation of Unsaturated Soil Slopes. Water 2020, 12, 194. [Google Scholar] [CrossRef] [Green Version]
- Sassa, K.; Hiroshi, F.; Wang, F.W.; Wang, G.H. Progress in Landslide Science; Springer: Berlin, Germany, 2007. [Google Scholar]
- Liu, B.; Sun, S.L.; Liu, J.; Wang, E.X.; Chen, Y.Y. Fissure developed loess slope stability analysis under rainfall infiltration. Geotech. Investig. Surv. 2016, 44, 16–21. (In Chinese) [Google Scholar]
- Yu, T.T.; Gu, S.P.; Shao, X.J.; He, H.X.; Cao, A.W. Stability analysis of reservoir bank slope considering tensile crack by the action of rainfall. Yellow River 2017, 39, 104–107. (In Chinese) [Google Scholar]
- Liu, F.; Rui, Y.Q.; Zhang, C. Influence of tension cracks of slope crest on the stability of slope. J. Liaoning Tech. Univ. 2016, 35, 945–954. (In Chinese) [Google Scholar]
- Geo-Slope International Ltd. Slope/W for Slope Stability Analysis; Geo-Slope International Ltd.: Calgary, AB, Canada, 2004. [Google Scholar]
- Peng, G.Y.; Zhou, H.Q.; Ren, J.B.; Wu, R.Z. The influence of vertical fissures on land slope stability after rainfall. J. Logist. Eng. Univ. 2016, 32, 23–27. (In Chinese) [Google Scholar]
- Elahe, J.; Philip, J.V.; Susan, C. S-D. The impact of evaporation induced cracks and precipitation on temporal slope stability. Comput. Geotech. 2020, 122, 103506. [Google Scholar]
- Zhang, Y.H. Using equivalent penetration coefficient method to search the unconfined flow surface. J. Eng. Geol. 2004, 12, 187–192. (In Chinese) [Google Scholar]
- Van Genuchten, M.T. A Closed-form Equation for Predicting the Hydraulic Conductivity of Unsaturated Soils. Soil Sci. Soc. Am. J. 1980, 44, 892–898. [Google Scholar] [CrossRef] [Green Version]















| Natural Water Content (%) | Natural Density (g·cm−3) | Liquid Limit (%) | Plastic Limit (%) | Permeability Coefficient (m·s−1) | Collapsibility Coefficient | Cohesion (kPa) | Internal Friction Angle (°) | ||
|---|---|---|---|---|---|---|---|---|---|
| 8.93 | 1.44 | 26.43 | 16.42 | 5.72 × 10−6 | 0.11 | Natural | Saturation | Natural | Saturation |
| 16.32 | 9.05 | 26.62 | 23.93 | ||||||
| Material | /% | /% | a/kPa | n | m | ks/m·s−1 |
|---|---|---|---|---|---|---|
| Soil | 38.4 | 2.7 | 12.92 | 1.68 | 0.38 | 5.72 × 10−6 |
Publisher’s Note: MDPI stays neutral with regard to jurisdictional claims in published maps and institutional affiliations. |
© 2022 by the authors. Licensee MDPI, Basel, Switzerland. This article is an open access article distributed under the terms and conditions of the Creative Commons Attribution (CC BY) license (https://creativecommons.org/licenses/by/4.0/).
Share and Cite
Wang, L.; Li, R.; Zhang, S.; Li, R.; Bai, W.; Xiao, H. Function of a Deep-Buried Isolated Trench and Its Effect on Cracking Failure Characteristics of a Slope under Artificial Rainfall. Water 2022, 14, 1123. https://doi.org/10.3390/w14071123
Wang L, Li R, Zhang S, Li R, Bai W, Xiao H. Function of a Deep-Buried Isolated Trench and Its Effect on Cracking Failure Characteristics of a Slope under Artificial Rainfall. Water. 2022; 14(7):1123. https://doi.org/10.3390/w14071123
Chicago/Turabian StyleWang, Lei, Rongjian Li, Shibin Zhang, Rongjin Li, Weishi Bai, and Huiping Xiao. 2022. "Function of a Deep-Buried Isolated Trench and Its Effect on Cracking Failure Characteristics of a Slope under Artificial Rainfall" Water 14, no. 7: 1123. https://doi.org/10.3390/w14071123
APA StyleWang, L., Li, R., Zhang, S., Li, R., Bai, W., & Xiao, H. (2022). Function of a Deep-Buried Isolated Trench and Its Effect on Cracking Failure Characteristics of a Slope under Artificial Rainfall. Water, 14(7), 1123. https://doi.org/10.3390/w14071123

