A Treatment Reliability-Based Method for Supporting Infrastructure Asset Management of Wastewater Treatment Plants
Abstract
1. Introduction
2. Methods
2.1. WWTPs Analysed
2.2. Reliability Determination
2.3. Compliance Indicator
3. Results and Discussion
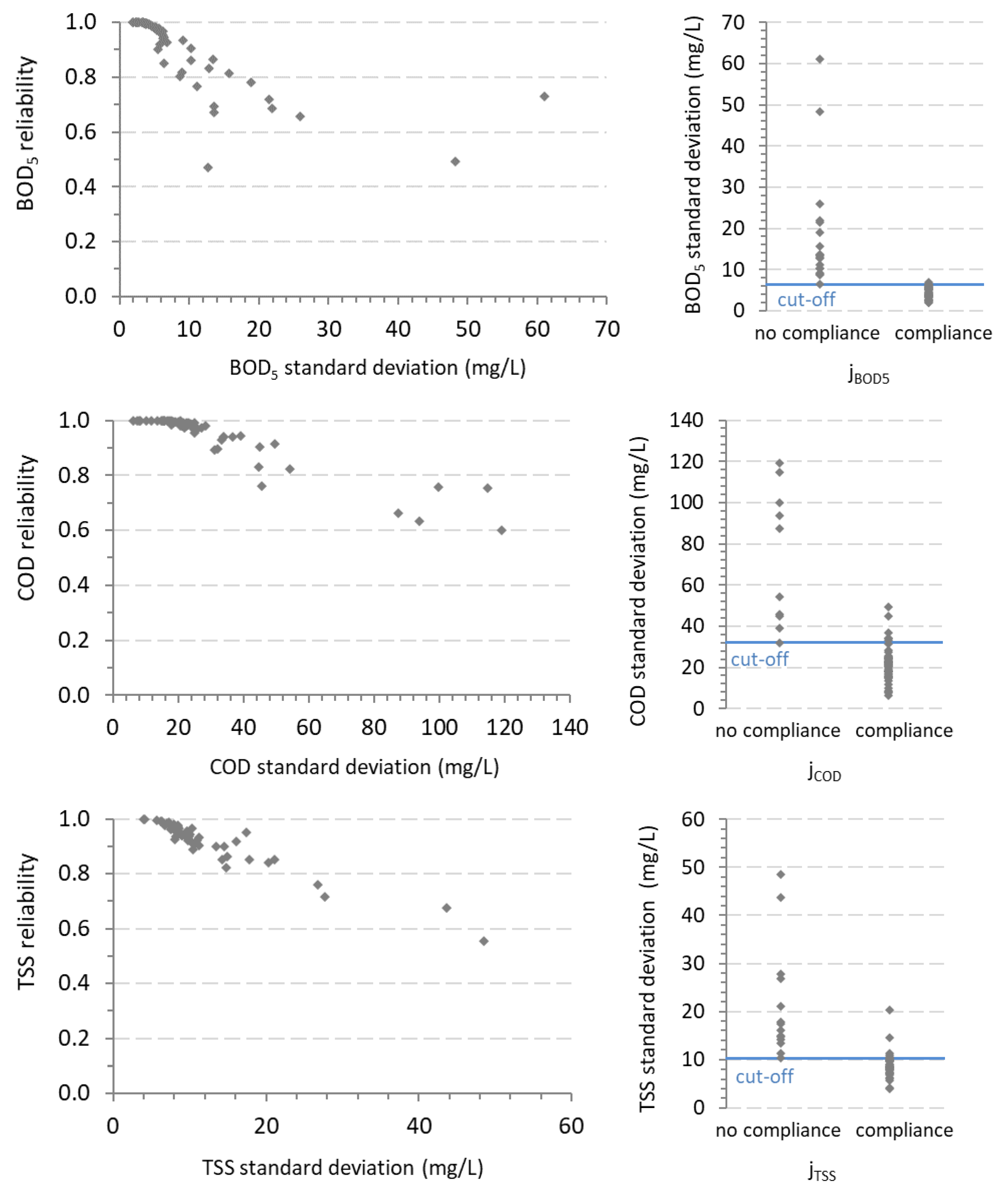
3.1. Reliability vs. Compliance
3.2. Reliability and Compliance vs. Stability
3.3. Reliability and Stability of the Two Treatment Sequences Analyzed
3.4. Reliability and Stability vs. Treatment Capacities
3.5. Estimating the Target Effluent Mean Values for a Given Reliability
4. Conclusions
Supplementary Materials
Author Contributions
Funding
Institutional Review Board Statement
Informed Consent Statement
Acknowledgments
Conflicts of Interest
Abbreviations
| AS | Activated Sludge |
| BOD5 | Biological Oxygen Demand |
| COR | Coefficient of Reliability |
| CAS | Conventional Aeration |
| COD | Chemical Oxygen Demand |
| EA | Extended Aeration |
| F/M | Food/Microorganisms ratio |
| HRT | Hydraulic Retention Time |
| IAM | Infrastructure Asset Management |
| LOQ | limit of quantification |
| MLSS | Mixed-Liquor Suspended Solids |
| PIs | Performance Indicators |
| SRT | solids retention time |
| TSS | Total Suspended Solids |
| WWTPs | Wastewater Treatment Plants |
References
- Metcalf and Eddy Ltd. Wastewater Engineering—Treatment and Resource Recovery, 5th ed.; Tchobanoglous, G., Stensel, H.D., Tsuchihashi, R., Burton, F., Eds.; McGraw-Hill Education: New York, NY, USA, 2014. [Google Scholar]
- Cardoso, M.A.; Poças, A.; Silva, M.S.; Ribeiro, R.; Almeida, M.C.; Brito, R.S.; Coelho, S.T.; Alegre, H. Innovation results of IAM planning in urban water services. Water Sci. Technol. 2016, 74, 1518–1526. [Google Scholar] [CrossRef] [PubMed][Green Version]
- Alegre, H.; Covas, D.; Coelho, S.T.; Almeida, M.C.; Cardoso, M.A. Integrated Approach for Infrastructure Asset Management of Urban Water Systems. In Proceedings of the IWA 4th LESAM, Mülheim an der Ruhr, Germany, 27–30 September 2011. [Google Scholar]
- ISO 55000:2014; Asset Management—Overview, Principles, and Terminology. ISO: Geneva, Switzerland, 2014.
- ISO 55001:2014; Asset Management—Management Systems—Requirements. ISO: Geneva, Switzerland, 2014.
- ISO 55002:2014; Asset Management—Management Systems—Guidelines for the Application of ISO 55001. ISO: Geneva, Switzerland, 2014.
- Loureiro, D.; Silva, C.; Cardoso, M.A.; Mamade, A.; Alegre, H.; Rosa, M.J. The Development of a Framework for Assessing the Energy Efficiency in Urban Water Systems and Its Demonstration in the Portuguese Water Sector. Water 2020, 12, 134. [Google Scholar] [CrossRef]
- Silva, C.; Rosa, M.J. Performance assessment of 23 wastewater treatment plants—A case study. Urban Water J. 2020, 17, 78–85. [Google Scholar] [CrossRef]
- EC. Council Directive of 21 May 1991 concerning urban waste-water treatment (91/271/EEC). Off. J. Eur. Union 1991, 135, 40–52. [Google Scholar]
- EC. Directive 2000/60/EC of the European Parliament and of the Council of 23 October 2000 establishing a framework for Community action in the field of water policy. Off. J. Eur. Parliam. 2000, L327, 1–82. [Google Scholar]
- Silva, C.; Quadros, S.; Ramalho, P.; Rosa, M.J. A tool for assessing treated wastewater quality in urban WWTPs. J. Environ. Manag. 2014, 146, 400–406. [Google Scholar] [CrossRef] [PubMed]
- Oliveira, S.C.; Von Sperling, N. Reliability analysis of wastewater treatment plants. Water Res. 2008, 42, 1182–1194. [Google Scholar] [CrossRef] [PubMed]
- Niku, S.; Schroeder, E.D.; Tchobanoglous, G.; Samaniego, F.J. Performance of Activated Sludge Processes: Reliability, Stability and Variability; EPA/600/2-81/227; U.S. Environmental Protection Agency: Washington, DC, USA, 1981. [Google Scholar]
- Bunce, J.T.; Graham, D.W. A Simple Approach to Predicting the Reliability of Small Wastewater Treatment Plants. Water 2019, 11, 2397. [Google Scholar] [CrossRef]
- Andraka, D. Reliability Evaluation of Wastewater Treatment Plant Impact on the Receiving Waters. J. Ecol. Eng. 2019, 20, 226–231. [Google Scholar] [CrossRef]
- Kurek, K.; Bugajski, P.; Operacz, A.; Śliz, P.; Jóźwiakowski, K.; Almeida, A. Reliability assessment of pollution removal of wastewater treatment plant using the method of Weibull. E3S Web Conf. 2020, 171, 01007. [Google Scholar] [CrossRef]
- Jóźwiakowska, K.; Marzec, M. Efficiency and reliability of sewage purification in long-term exploitation of the municipal wastewater treatment plant with activated sludge and hydroponic system. Arch. Environ. Prot. 2020, 46, 30–41. [Google Scholar]
- Makowska, M.; Spychała, M.; Pawlak, M. Efficacy and reliability of wastewater treatment technology in small meat plants. Desalin. Water Treat. 2021, 221, 1–10. [Google Scholar] [CrossRef]
- Zawadzka, B.; Siwiec, T.; Marzec, M. Effectiveness of Dairy and Domestic Wastewater Treatment and Technological Reliability of the Wastewater Treatment Plant in Michów, Poland. J. Ecol. Eng. 2021, 22, 141–151. [Google Scholar] [CrossRef]
- Taheriyoun, M.; Moradinejad, S. Reliability analysis of a wastewater treatment plant using fault tree analysis and Monte Carlo simulation. Environ. Monit. Assess. 2015, 187, 4186. [Google Scholar] [CrossRef] [PubMed]
- Wu, L.; Ning, D.; Zhang, B.; Li, Y.; Zhang, P.; Shan, X.; Zhang, Q.; Brown, M.; Li, Z.; Van Nostrand, J.; et al. Global diversity and biogeography of bacterial communities in wastewater treatment plants. Nat. Microbiol. 2019, 4, 1183. [Google Scholar] [CrossRef] [PubMed]
- Silva, C.; Rosa, M.J. Energy performance indicators of wastewater treatment—A field study with 17 Portuguese plants. Water Sci. Technol. 2015, 72, 510–519. [Google Scholar] [CrossRef] [PubMed]







| WWTP | AS | Design Capacity (103 m3/d) | Treated Wastewater (103 m3/d) | Influent BOD5 (mg/L) | Influent COD (mg/L) | HRT in Reactor (h) | MLSS (mg/L) | SRT (d) | F/M (d−1) |
|---|---|---|---|---|---|---|---|---|---|
| A | CAS | 9.5 | 4.5 (3.8–5.5) | 420 (320–540) | 729 (509–980) | 23 (18–27) | 3412 (2590–4140) | 38 (15–51) | 0.09 (0.07–0.13) |
| B | CAS | 4.4 | 5.9 (4.8–7.5) | 268 (187–377) | 528 (325–711) | 6.9 (5.5–8.5) | 2840 (2250–3690) | 5.7 (3.7–8.3) | 0.25 (0.16–0.42) |
| C | CAS | 42.9 | 11.6 (9.9–13.6) | 500 (390–640) | 900 (714–1100) | 21 (18–25) | 3428 (2873–4086) | 21 (16–32) | 0.13 (0.09–0.16) |
| D | CAS | 27.9 | 12.8 (11.9–14.0) | 490 (370–590) | 983 (840–1113) | 14 (13–26) | 4770 (3870–5683) | 21 (13–35) | 0.13 (0.11–0.17) |
| E | CAS | 26.0 | 17.5 (16.3–18.9) | 331 (250–412) | 560 (415–707) | 5.8 (5.4–6.3) | 1100 (800–1500) | 1.8 (1.1–2.6) | 0.81 (0.56–2.6) |
| F | CAS | 18.4 | 22.0 (17.3–26.9) | 225 (164–303) | 501 (365–692) | 7.2 (5.9–9.2) | 3000 (2610–3507) | 4.7 (3.9–5.9) | 0.23 (0.17–0.32) |
| G | CAS | 54.0 | 33.1 (30.8–35.4) | 340 (250–560) | 642 (491–893) | 11.4 (10.6–12.3) | 3580 (2915–4815) | 8.9 (6.8–11.5) | - |
| H | EA | 1.2 | 0.45 (0.39–0.54) | 258 (176–346) | 520 (320–700) | 39 (32–45) | 2240 (1750–2713) | 56 (50–74) | 0.13 (0.08–0.18) |
| I | EA | 0.76 | 0.78 (0.61–1.2) | 208 (107–358) | 459 (293–760) | 32 (22–43) | 3625 (2600–5100) | 17 (12–27) | 0.05 (0.03–0.09) |
| J | EA | 11.4 | 8.6 (6.9–10.8) | 165 (110–240) | 311 (234–483) | 32 (26–40) | 2613 (2048–3398) | 17 (11–25) | 0.07 (0.05–0.09) |
| K | EA | 15.1 | 10.6 (8.6–12.7) | 320 (277–355) | 924 (758–1059) | 32 (26–39) | 4218 (3910–4586) | 17 (17–20) | 0.07 (0.06–0.09) |
| L | EA | 28.1 | 16.0 (12.5–20.7) | 283 (232–326) | 813 (669–956) | 28 (20–37) | 3375 (3100–3640) | 14 (9–17) | 0.10 (0.07–0.13) |
| M | EA | 35.9 | 19.9 (16.6–23.3) | 550 (371–630) | 938 (730–1064) | 19 (16–22) | 3710 (3433–4085) | 14 (11–17) | - |
| N | EA | 25.6 | 21.3 (16.5–25.4) | 320 (277–355) | 924 (758–1059) | 31 (26–40) | 4890 (4505–5200) | 21 (19–24) | 0.07 (0.06–0.08) |
| O | EA | 24.9 | 22.2 (14.9–27.4) | 246 (189–296) | 772 (575–925) | 27 (22–39) | 4280 (3879–4650) | 19 (16–23) | 0.06 (0.05–0.08) |
| P | EA | 44.3 | 39.0 (32.0–45.5) | 335 (243–398) | 871 (587–1134) | 30 (25–37) | 5270 (4595–5920) | 24 (21–28) | 0.06 (0.04–0.08) |
| WWTP | Year | Treated Volume (m3/d) | BOD5 | COD | TSS | |||||||||
|---|---|---|---|---|---|---|---|---|---|---|---|---|---|---|
| No. Samples | mx (mg/L) | Ji | 1−α | No. Samples | mx (mg/L) | Ji | 1−α | No. Samples | mx (mg/L) | Ji | 1−α | |||
| A | 2015 | 4606 | 52 | 18.70 | 0 | 0.85 | 52 | 69.90 | 1 | 0.98 | 52 | 18.00 | 1 | 0.96 |
| A | 2016 | 5795 | 66 | 16.30 | 1 | 0.92 | 374 | 60.40 | 1 | 0.99 | 65 | 19.70 | 1 | 0.96 |
| A | 2017 | 4328 | 63 | 17.90 | 1 | 0.90 | 363 | 73.30 | 1 | 0.98 | 63 | 19.90 | 1 | 0.94 |
| A | 2018 | 5178 | 63 | 19.63 | 0 | 0.76 | 375 | 85.59 | 1 | 0.89 | 64 | 22.48 | 1 | 0.89 |
| A | 2019 | 4943 | 67 | 14.33 | 1 | 0.93 | 369 | 64.47 | 1 | 0.98 | 66 | 16.33 | 1 | 0.96 |
| B | 2015 | 6251 | 53 | 24.42 | 0 | - | 105 | 86.22 | 0 | 0.82 | 105 | 33.20 | 0 | - |
| B | 2016 | 5852 | 51 | 18.92 | 0 | 0.80 | 102 | 68.43 | 1 | 0.90 | 102 | 25.55 | 0 | - |
| B | 2017 | 5217 | 53 | 28.32 | 0 | 0.47 | 105 | 100.80 | 0 | 0.76 | 107 | 33.90 | 0 | - |
| B | 2018 | 6587 | 53 | 22.74 | 0 | 0.67 | 105 | 66.45 | 1 | 0.94 | 105 | 25.27 | 1 | - |
| B | 2019 | 6507 | 107 | 18.79 | 1 | - | 107 | 61.00 | 1 | 0.97 | 107 | 24.47 | 1 | - |
| C | 2015 | 11,164 | 103 | 12.91 | 1 | 0.95 | 103 | 61.65 | 1 | 1.00 | 103 | 17.96 | 1 | 0.98 |
| C | 2016 | 12,718 | 104 | 11.99 | 1 | - | 104 | 52.91 | 1 | 0.99 | 104 | 14.93 | 1 | - |
| C | 2017 | 12,098 | 100 | 21.99 | 0 | 0.70 | 101 | 84.32 | 0 | 0.90 | 100 | 20.56 | 1 | 0.92 |
| D | 2015 | 12,358 | 51 | 23.37 | 0 | 0.68 | 36 | 118.12 | 0 | 0.66 | 125 | 30.45 | 0 | 0.71 |
| D | 2016 | 12,935 | 52 | 18.56 | 0 | 0.78 | 26 | 101.42 | 0 | 0.75 | 52 | 16.00 | 1 | 0.95 |
| D | 2017 | 12,264 | 52 | 27.04 | 0 | 0.73 | 26 | 88.85 | 0 | 0.83 | 53 | 21.58 | 0 | 0.86 |
| D | 2018 | 13,739 | 88 | 39.92 | 0 | 0.49 | 26 | 124.27 | 0 | 0.63 | 113 | 45.48 | 0 | 0.55 |
| D | 2019 | 14,387 | 24 | 25.42 | 0 | 0.66 | 26 | 137.00 | 0 | 0.60 | 24 | 21.38 | 0 | 0.85 |
| E | 2015 | 16,597 | 83 | 15.50 | 0 | 0.86 | 83 | 50.60 | 1 | 0.99 | 83 | 27.30 | 0 | 0.76 |
| E | 2016 | 17,069 | 78 | 10.10 | 1 | 0.98 | 78 | 30.00 | 1 | 1.00 | 78 | 10.40 | 0 | 0.95 |
| E | 2017 | 17,077 | 83 | 21.90 | 0 | 0.72 | 84 | 44.80 | 1 | 0.98 | 83 | 20.70 | 0 | 0.85 |
| E | 2018 | 17,342 | 92 | 16.89 | 0 | 0.81 | 91 | 55.78 | 0 | 0.94 | 92 | 15.29 | 0 | 0.92 |
| E | 2019 | 20,775 | 92 | 14.26 | 0 | 0.86 | 92 | 54.68 | 1 | 0.99 | 91 | 11.71 | 1 | 0.97 |
| F | 2015 | 21,579 | 139 | 14.16 | 1 | 0.94 | 349 | 73.04 | 1 | - | 141 | 18.76 | 1 | 0.95 |
| G | 2015 | 32,060 | 70 | 12.69 | 1 | 0.99 | 70 | 53.60 | 1 | 1.00 | 70 | 20.33 | 0 | 0.92 |
| G | 2016 | 34,013 | 73 | 11.36 | 1 | 0.98 | 73 | 49.08 | 1 | 1.00 | 73 | 20.58 | 0 | 0.90 |
| G | 2017 | 33,073 | 68 | 10.96 | 1 | 0.98 | 68 | 52.38 | 1 | 1.00 | 68 | 17.32 | 1 | 0.93 |
| G | 2018 | 33,153 | 76 | 12.71 | 1 | 0.96 | 77 | 61.88 | 1 | 0.98 | 77 | 19.42 | 1 | 0.93 |
| G | 2019 | 32,810 | 65 | 11.95 | 1 | 0.97 | 76 | 52.40 | 1 | 1.00 | 76 | 21.30 | 1 | 0.94 |
| H | 2017 | 433 | 66 | 16.00 | 0 | - | 66 | 40.20 | 1 | 1.00 | 70 | 15.50 | 1 | - |
| H | 2018 | 558 | 40 | 10.67 | 0 | 0.94 | 43 | 35.26 | 1 | 0.99 | 43 | 8.58 | 1 | 0.99 |
| H | 2019 | 406 | 33 | 6.27 | 1 | 1.00 | 33 | 35.18 | 1 | 1.00 | 33 | 5.36 | 1 | 1.00 |
| I | 2016 | 1582 | 25 | 12.83 | 1 | - | 24 | 46.42 | 1 | - | 24 | 16.96 | 1 | 0.94 |
| I | 2017 | 733 | 24 | 30.92 | 0 | - | 24 | 99.00 | 0 | 0.76 | 24 | 35.71 | 0 | 0.68 |
| I | 2018 | 928 | 24 | 15.79 | 0 | - | 24 | 61.10 | 1 | 0.91 | 24 | 21.88 | 1 | 0.84 |
| I | 2019 | 947 | 12 | 18.33 | 0 | 0.82 | 12 | 67.30 | 1 | 0.97 | 12 | 22.73 | 1 | 0.92 |
| J | 2015 | 8296 | 97 | 15.66 | 0 | - | 98 | 72.03 | 1 | 0.93 | 98 | 22.59 | 0 | 0.85 |
| J | 2016 | 11,079 | 118 | 16.29 | 0 | 0.83 | 118 | 65.84 | 1 | 0.94 | 118 | 24.47 | 0 | 0.82 |
| J | 2017 | 8729 | 104 | 12.65 | 0 | 0.91 | 104 | 55.18 | 1 | 1.00 | 104 | 14.95 | 1 | 0.98 |
| J | 2018 | 9341 | 105 | 15.70 | 0 | - | 105 | 62.90 | 1 | 0.94 | 105 | 18.39 | 1 | 0.90 |
| J | 2019 | 8968 | 98 | 8.09 | 1 | 1.00 | 98 | 52.99 | 1 | 0.99 | 98 | 13.28 | 1 | 0.98 |
| K | 2015 | 9710 | 60 | 6.62 | 1 | - | 241 | 57.31 | 1 | 1.00 | 241 | 9.07 | 1 | - |
| K | 2016 | 10,791 | 35 | 10.72 | 1 | 1.00 | 244 | 59.95 | 1 | 1.00 | 244 | 15.34 | 1 | 0.98 |
| K | 2017 | 9866 | 34 | 9.53 | 1 | 1.00 | 241 | 70.66 | 1 | 1.00 | 241 | 18.72 | 1 | 0.95 |
| K | 2018 | 11,218 | 35 | 10.89 | 1 | 0.99 | 236 | 66.66 | 1 | 0.98 | 236 | 19.36 | 1 | 0.94 |
| K | 2019 | 11,053 | 33 | 10.79 | 1 | 1.00 | 232 | 68.76 | 1 | 0.97 | 224 | 18.74 | 1 | 0.93 |
| L | 2015 | 15,244 | 60 | 7.28 | 1 | 1.00 | 241 | 80.68 | 1 | - | 241 | 6.79 | 1 | - |
| L | 2018 | 16,824 | 36 | 7.42 | 1 | 1.00 | 237 | 81.82 | 1 | - | 237 | 6.92 | 1 | - |
| L | 2019 | 17,826 | 36 | 7.36 | 1 | 1.00 | 243 | 79.89 | 1 | 0.98 | 243 | 6.42 | 1 | - |
| M | 2015 | 16,201 | 66 | 5.89 | 1 | - | 66 | 33.27 | 1 | 1.00 | 66 | 7.34 | 1 | 1.00 |
| M | 2016 | 23,799 | 69 | 7.95 | 1 | 1.00 | 69 | 38.12 | 1 | 1.00 | 69 | 12.01 | 1 | 0.99 |
| M | 2017 | 18,212 | 56 | 7.86 | 1 | 1.00 | 72 | 37.29 | 1 | 1.00 | 72 | 11.26 | 1 | 1.00 |
| M | 2018 | 23,462 | 66 | 9.68 | 1 | 0.98 | 68 | 51.01 | 1 | 0.99 | 68 | 19.17 | 0 | 0.90 |
| M | 2019 | 24,952 | 54 | 10.50 | 1 | 0.97 | 60 | 50.40 | 1 | 0.99 | 60 | 17.75 | 1 | 0.96 |
| N | 2015 | 20,813 | 60 | 6.58 | 1 | - | 241 | 59.68 | 1 | 1.00 | 241 | 9.42 | 1 | - |
| N | 2016 | 24,526 | 35 | 11.51 | 1 | 0.98 | 244 | 70.78 | 1 | 0.98 | 244 | 15.60 | 1 | 0.96 |
| N | 2017 | 19,378 | 34 | 9.12 | 1 | 1.00 | 243 | 69.28 | 1 | 1.00 | 243 | 14.23 | 1 | 0.97 |
| N | 2018 | 20,888 | 35 | 12.31 | 1 | 0.97 | 216 | 74.82 | 1 | 0.97 | 210 | 18.80 | 1 | 0.92 |
| N | 2019 | 20,943 | 34 | 13.50 | 1 | 0.95 | 210 | 76.66 | 1 | 0.95 | 210 | 20.74 | 1 | 0.91 |
| O | 2016 | 20,845 | 34 | 8.00 | 1 | 1.00 | 244 | 57.92 | 1 | 1.00 | 244 | 8.11 | 1 | - |
| O | 2017 | 17,631 | 34 | 7.29 | 1 | 1.00 | 241 | 66.84 | 1 | - | 241 | 9.37 | 1 | - |
| O | 2018 | 23,053 | 36 | 8.86 | 1 | 0.99 | 236 | 66.58 | 1 | - | 236 | 7.98 | 1 | - |
| O | 2019 | 24,009 | 35 | 7.74 | 1 | 1.00 | 241 | 58.87 | 1 | - | 241 | 6.56 | 1 | - |
| P | 2015 | 35,792 | 59 | 11.49 | 1 | 1.00 | 243 | 65.47 | 1 | 0.98 | 243 | 12.68 | 1 | 0.98 |
| P | 2016 | 39,503 | 34 | 10.88 | 1 | 0.99 | 243 | 55.60 | 1 | 0.98 | 243 | 13.15 | 1 | 0.98 |
| P | 2017 | 35,656 | 34 | 9.38 | 1 | 1.00 | 241 | 59.24 | 1 | 1.00 | 241 | 12.63 | 1 | 0.99 |
| P | 2018 | 39,075 | 35 | 9.80 | 1 | 0.99 | 237 | 51.10 | 1 | - | 237 | 9.77 | 1 | - |
| P | 2019 | 40,380 | 35 | 8.86 | 1 | 1.00 | 241 | 52.76 | 1 | 1.00 | 241 | 8.95 | 1 | - |
| WWTP | Year | BOD5 | COD | TSS | ||||||
|---|---|---|---|---|---|---|---|---|---|---|
| Vx | mx (mg/L) | Vx | mx (mg/L) | Vx | mx (mg/L) | |||||
| 1−α = 0.85 | 1−α = 0.95 | 1−α = 0.85 | 1−α = 0.95 | 1−α = 0.85 | 1−α = 0.95 | |||||
| A | 2015 | 0.34 | 18.7 | 15.3 | 0.29 | 96.9 | 81.6 | 0.45 | 24.6 | 18.9 |
| A | 2016 | 0.36 | 18.5 | 15.0 | 0.31 | 95.6 | 79.5 | 0.38 | 25.6 | 20.5 |
| A | 2017 | 0.31 | 19.1 | 15.9 | 0.29 | 96.9 | 81.6 | 0.45 | 24.6 | 18.9 |
| A | 2018 | 0.57 | 16.6 | 12.0 | 0.36 | 92.2 | 74.4 | 0.46 | 24.4 | 18.7 |
| A | 2019 | 0.48 | 17.3 | 13.1 | 0.35 | 92.9 | 75.4 | 0.52 | 23.7 | 17.6 |
| B | 2015 | - | - | - | 0.63 | 81.2 | 57.1 | - | - | - |
| B | 2016 | 0.46 | 17.5 | 13.4 | 0.66 | 80.4 | 55.8 | - | - | - |
| B | 2017 | 0.45 | 17.6 | 13.5 | 0.45 | 87.7 | 67.4 | - | - | - |
| B | 2018 | 0.60 | 16.4 | 11.7 | 0.51 | 85.2 | 63.5 | - | - | - |
| B | 2019 | - | - | - | 0.45 | 88.0 | 67.8 | - | - | - |
| C | 2015 | 0.48 | 17.3 | 13.1 | 0.29 | 96.7 | 81.2 | 0.38 | 25.6 | 20.5 |
| C | 2016 | - | - | - | 0.41 | 89.9 | 70.8 | - | - | - |
| C | 2017 | 0.62 | 16.3 | 11.5 | 0.38 | 91.4 | 73.2 | 0.47 | 24.3 | 18.5 |
| D | 2015 | 0.94 | 15.0 | 9.3 | 0.74 | 78.4 | 52.4 | 0.91 | 21.2 | 13.2 |
| D | 2016 | 1.02 | 14.9 | 8.9 | 1.13 | 73.7 | 42.4 | 0.6 | 23.0 | 16.4 |
| D | 2017 | 2.26 | 15.3 | 6.8 | 0.50 | 85.5 | 64.0 | 0.69 | 22.3 | 15.2 |
| D | 2018 | 1.21 | 14.7 | 8.2 | 0.75 | 78.1 | 51.9 | 1.07 | 20.7 | 12.2 |
| D | 2019 | 1.02 | 14.9 | 8.9 | 0.87 | 76.1 | 48.2 | 0.83 | 21.5 | 13.8 |
| E | 2015 | 0.66 | 16.1 | 11.1 | 0.49 | 86.1 | 64.9 | 0.98 | 20.9 | 12.7 |
| E | 2016 | 0.53 | 16.9 | 12.5 | 0.27 | 98.4 | 83.7 | 1.67 | 20.6 | 10.2 |
| E | 2017 | 0.98 | 15.0 | 9.1 | 0.63 | 81.1 | 57.1 | 1.02 | 20.8 | 12.5 |
| E | 2018 | 0.93 | 15.1 | 9.3 | 0.70 | 79.2 | 53.9 | 1.05 | 20.8 | 12.3 |
| E | 2019 | 0.94 | 15.0 | 9.2 | 0.44 | 88.3 | 68.3 | 0.88 | 21.3 | 13.4 |
| F | 2015 | 0.44 | 17.7 | 13.7 | - | - | - | 0.46 | 24.5 | 18.7 |
| G | 2015 | 0.30 | 19.3 | 16.1 | 0.22 | 102.2 | 89.6 | 0.5 | 23.9 | 17.9 |
| G | 2016 | 0.45 | 17.6 | 13.5 | 0.31 | 95.5 | 79.3 | 0.55 | 23.5 | 17.2 |
| G | 2017 | 0.46 | 17.4 | 13.3 | 0.29 | 97.1 | 81.8 | 0.65 | 22.6 | 15.8 |
| G | 2018 | 0.48 | 17.3 | 13.2 | 0.37 | 92.0 | 74.0 | 0.51 | 23.9 | 17.9 |
| G | 2019 | 0.47 | 17.4 | 13.2 | 0.33 | 94.3 | 77.5 | 0.39 | 25.5 | 20.3 |
| H | 2017 | - | - | - | 0.51 | 85.2 | 63.6 | - | - | - |
| H | 2018 | 0.85 | 15.3 | 9.7 | 0.66 | 80.4 | 55.9 | 0.85 | 21.4 | 13.6 |
| H | 2019 | 0.52 | 17.0 | 12.6 | 0.21 | 102.7 | 90.4 | 0.74 | 22.0 | 14.7 |
| I | 2016 | - | - | - | - | - | - | 0.59 | 23.1 | 16.5 |
| I | 2017 | - | - | - | 1.01 | 74.5 | 44.8 | 1.22 | 20.5 | 11.5 |
| I | 2018 | - | - | - | 0.81 | 77.0 | 50.0 | 0.93 | 21.1 | 13.1 |
| I | 2019 | 0.49 | 17.2 | 13.0 | 0.38 | 91.2 | 72.8 | 0.35 | 26.0 | 21.1 |
| J | 2015 | - | - | - | 0.46 | 87.2 | 66.7 | 0.63 | 22.7 | 16.0 |
| J | 2016 | 0.79 | 15.5 | 10.1 | 0.52 | 85.0 | 63.2 | 0.61 | 22.9 | 16.3 |
| J | 2017 | 0.81 | 15.4 | 10.0 | 0.30 | 96.1 | 80.2 | 0.53 | 23.7 | 17.5 |
| J | 2018 | - | - | - | 0.58 | 82.6 | 59.5 | 0.79 | 21.7 | 14.2 |
| J | 2019 | 0.47 | 17.4 | 13.2 | 0.38 | 91.3 | 73.0 | 0.55 | 23.5 | 17.2 |
| K | 2015 | - | - | - | 0.31 | 95.5 | 79.4 | - | - | - |
| K | 2016 | 0.36 | 18.5 | 15.0 | 0.26 | 98.9 | 84.5 | 0.46 | 24.5 | 18.8 |
| K | 2017 | 0.30 | 19.3 | 16.1 | 0.21 | 103.0 | 90.7 | 0.46 | 24.5 | 18.7 |
| K | 2018 | 0.38 | 18.2 | 14.6 | 0.34 | 93.8 | 76.7 | 0.47 | 24.4 | 18.6 |
| K | 2019 | 0.34 | 18.7 | 15.3 | 0.36 | 92.5 | 74.7 | 0.53 | 23.7 | 17.5 |
| L | 2015 | 0.33 | 18.9 | 15.6 | - | - | - | - | - | - |
| L | 2018 | 0.26 | 19.9 | 17.0 | - | - | - | - | - | - |
| L | 2019 | 0.26 | 19.8 | 16.9 | 0.23 | 101.7 | 88.8 | - | - | - |
| M | 2015 | 0.19 | 104.8 | 93.6 | 0.57 | 23.2 | 16.8 | |||
| M | 2016 | 0.46 | 17.5 | 13.4 | 0.27 | 98.6 | 84.1 | 0.52 | 23.8 | 17.7 |
| M | 2017 | 0.42 | 17.8 | 13.9 | 0.23 | 101.5 | 88.5 | 0.51 | 23.9 | 17.8 |
| M | 2018 | 0.59 | 16.5 | 11.8 | 0.44 | 88.2 | 68.1 | 0.7 | 22.2 | 15.1 |
| M | 2019 | 0.59 | 16.5 | 11.8 | 0.47 | 86.8 | 66.0 | 0.48 | 24.3 | 18.4 |
| N | 2015 | - | - | - | 0.31 | 95.5 | 79.4 | - | - | - |
| N | 2016 | 0.44 | 17.7 | 13.7 | 0.30 | 96.3 | 80.5 | 0.62 | 22.8 | 16.1 |
| N | 2017 | 0.43 | 17.8 | 13.9 | 0.23 | 101.5 | 88.4 | 0.59 | 23.0 | 16.5 |
| N | 2018 | 0.43 | 17.7 | 13.8 | 0.29 | 96.7 | 81.1 | 0.58 | 23.1 | 16.7 |
| N | 2019 | 0.47 | 17.4 | 13.2 | 0.33 | 94.5 | 77.8 | 0.51 | 23.8 | 17.8 |
| O | 2016 | 0.34 | 18.7 | 15.3 | 0.23 | 101.0 | 87.7 | - | - | - |
| O | 2017 | 0.32 | 19.0 | 15.6 | - | - | - | - | - | - |
| O | 2018 | 0.47 | 17.3 | 13.2 | - | - | - | - | - | - |
| O | 2019 | 0.32 | 18.9 | 15.6 | - | - | - | - | - | - |
| P | 2015 | 0.32 | 19.0 | 15.7 | 0.34 | 93.7 | 76.6 | 0.63 | 22.7 | 16.0 |
| P | 2016 | 0.43 | 17.8 | 13.8 | 0.44 | 88.5 | 68.7 | 0.64 | 22.6 | 15.9 |
| P | 2017 | 0.35 | 18.6 | 15.1 | 0.31 | 95.8 | 79.9 | 0.51 | 23.9 | 17.9 |
| P | 2018 | 0.46 | 17.4 | 13.3 | - | - | - | - | - | - |
| P | 2019 | 0.40 | 18.1 | 14.3 | 0.37 | 92.2 | 74.3 | - | - | - |
Publisher’s Note: MDPI stays neutral with regard to jurisdictional claims in published maps and institutional affiliations. |
© 2022 by the authors. Licensee MDPI, Basel, Switzerland. This article is an open access article distributed under the terms and conditions of the Creative Commons Attribution (CC BY) license (https://creativecommons.org/licenses/by/4.0/).
Share and Cite
Silva, C.; Rosa, M.J. A Treatment Reliability-Based Method for Supporting Infrastructure Asset Management of Wastewater Treatment Plants. Water 2022, 14, 1106. https://doi.org/10.3390/w14071106
Silva C, Rosa MJ. A Treatment Reliability-Based Method for Supporting Infrastructure Asset Management of Wastewater Treatment Plants. Water. 2022; 14(7):1106. https://doi.org/10.3390/w14071106
Chicago/Turabian StyleSilva, Catarina, and Maria João Rosa. 2022. "A Treatment Reliability-Based Method for Supporting Infrastructure Asset Management of Wastewater Treatment Plants" Water 14, no. 7: 1106. https://doi.org/10.3390/w14071106
APA StyleSilva, C., & Rosa, M. J. (2022). A Treatment Reliability-Based Method for Supporting Infrastructure Asset Management of Wastewater Treatment Plants. Water, 14(7), 1106. https://doi.org/10.3390/w14071106
