Application of Saccharomyces cerevisiae in the Biosorption of Co(II), Zn(II) and Cu(II) Ions from Aqueous Media
Abstract
:1. Introduction
2. Materials and Methods
2.1. Materials
2.2. Biosorption Experiments
2.3. Isotherm and Kinetics Models
2.4. Characterization Methods
3. Results and Discussion
3.1. Main Structural Characteristics of Saccharomyces Cerevisiae
3.2. Establishing the Optimal Conditions
3.3. Modelling of Biosorption Processes
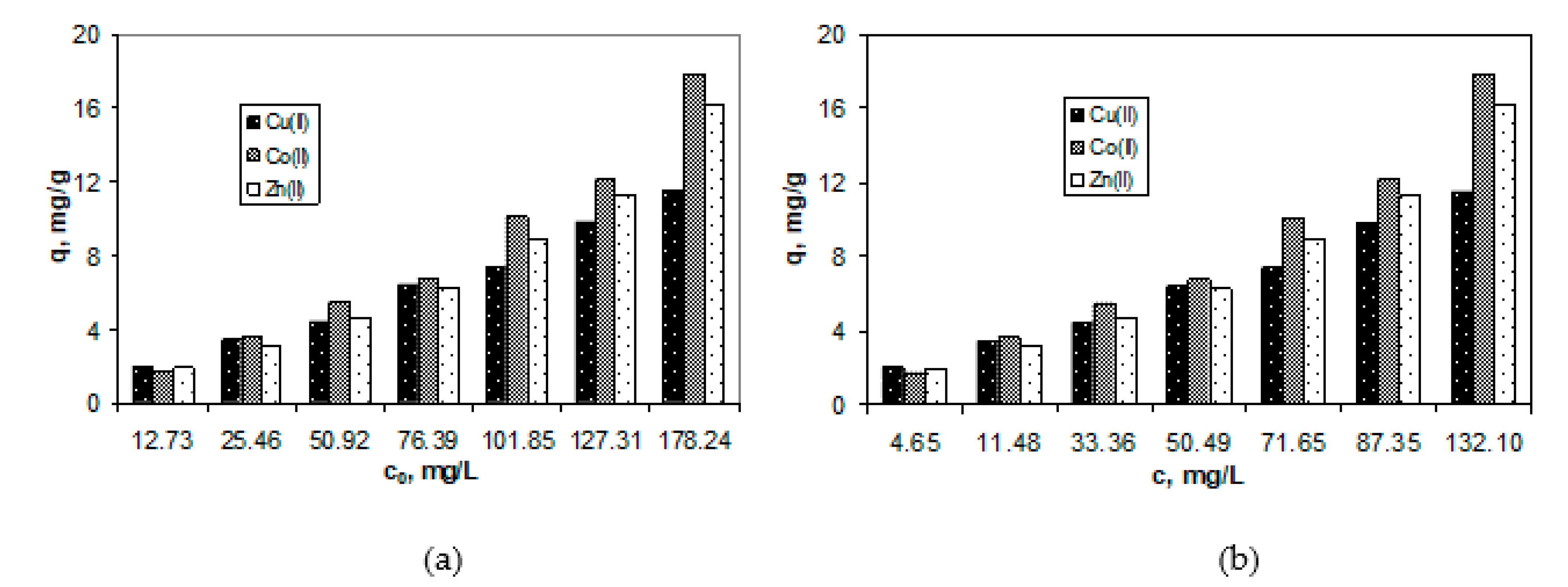
3.3.1. Biosorption Isotherms Modelling
3.3.2. Biosorption Kinetics Modelling
3.4. Inside of the Biosorption Processes
4. Conclusions
Author Contributions
Funding
Institutional Review Board Statement
Informed Consent Statement
Data Availability Statement
Conflicts of Interest
References
- Fu, F.; Wang, Q. Removal of heavy metal ions from wastewaters: A review. J. Environ. Manag. 2011, 92, 407–418. [Google Scholar] [CrossRef] [PubMed]
- Akpor, O.B.; Muchie, M. Environmental and public health implications of wastewater quality. Afr. J. Biotechnol. 2011, 10, 2379–2387. [Google Scholar]
- Volesky, B. Detoxification of metal-bearing effluents biosorption for the next century. Hydrometallurgy 2015, 59, 2003–2016. [Google Scholar] [CrossRef]
- Zhang, L.; Zhu, G.; Ge, X.; Guan, Y. Novel insights into heavy metal pollution of farmland based on reactive heavy metals (RHMs): Pollution characteristics, predictive models, and quantitative source apportionment. J. Hazard. Mater. 2018, 360, 32–42. [Google Scholar] [CrossRef] [PubMed]
- Atkovska, K.; Lisichkov, K.; Ruseska, G.; Dimitrov, A.T.; Grozdanov, A. Removal of heavy metal ions from wastewater using conventional and nanosorbents: A review. J. Chem. Technol. Metall. 2018, 53, 202–219. [Google Scholar]
- Burakov, A.E.; Galunin, E.V.; Burakova, I.V.; Kucherova, A.E.; Agarwal, S.; Tkachev, A.G.; Gupta, V.K. Adsorption of heavy metals on conventional and nanostructured materials for wastewater treatment purposes: A review. Ecotox. Environ. Saf. 2018, 148, 702–712. [Google Scholar] [CrossRef] [PubMed]
- Aji, B.A.; Yavuz, Y.; Koparal, A.S. Electrocoagulation of heavy metals containing model wastewater using monopolar ion electronedes. Sep. Purif. Technol. 2012, 86, 248–254. [Google Scholar] [CrossRef]
- Fu, W.; Ji, G.; Chen, H.; Yang, S.; Guo, B.; Yang, H.; Huang, Z. Molybdenum sulphide modified chelating resin for toxic metal adsorption from acid mine wastewater. Sep. Purif. Technol. 2020, 251, 117407. [Google Scholar] [CrossRef]
- Ezugbe, O.; Rathilal, S. Membrane Technologies in Wastewater Treatment: A Review. Membranes 2020, 10, 89. [Google Scholar] [CrossRef] [PubMed]
- Vijayaraghavan, K.; Balasubramanian, R. Is biosorption suitable for decontamination of metal-bearing wastewaters? A critical review on the state-of-the-art of biosorption processes and future directions. J. Environ. Manag. 2015, 160, 283–296. [Google Scholar] [CrossRef] [PubMed]
- Fu, W.; Huang, Z. Magnetic dithiocarbamate functionalized reduced graphene oxide for the removal of Cu(II), Cd(II), Pb(II), and Hg(II) ions from aqueous solution: Synthesis, adsorption, and regeneration. Chemosphere 2018, 209, 449–456. [Google Scholar] [CrossRef] [PubMed]
- Cheng, S.Y.; Show, P.L.; Lau, B.F.; Chang, J.S.; Ling, T.C. New Prospects for Modified Algae in Heavy Metal Adsorption. Trends Biotechnol. 2019, 37, 1255–1268. [Google Scholar] [CrossRef] [PubMed]
- Thirunavukkarasu, A.; Nithya, R.; Sivashankar, R. Continuous fixed-bed biosorption process: A review. Chem. Eng. J. Adv. 2021, 8, 100188. [Google Scholar] [CrossRef]
- Saravanan, A.; Kumar, P.S.; Yaashikaa, P.R.; Karishma, S.; Jeevanantham, S.; Swetha, S. Mixed biosorbent of agro waste and bacterial biomass for the separation of Pb(II) ions from water system. Chemosphere 2021, 277, 130236. [Google Scholar] [CrossRef] [PubMed]
- El-Sayed, S.; Hyun-Seog, R.; Subhabrata, D.; Moonis, A.K.; Abou-Shanab, R.A.I.; Chang, S.W.; Jeon, B.H. Algae as a green technology for heavy metals removal from various wastewater. World J. Microbiol. Biotechnol. 2019, 35, 75–94. [Google Scholar]
- Negm, N.A.; Abd El Wahed, M.G.; Hassan, A.R.A.; Abou Kana, T.H.A. Feasibility of metal adsorption using brown algae and fungi: Effect of biosorbents structure on adsorption isotherm and kinetics. J. Molec. Liq. 2018, 264, 292–305. [Google Scholar] [CrossRef]
- Andreu, C.; lí del Olmo, M. Yeast arming systems: Pros and cons of different protein anchors and other elements required for display. Appl. Microbiol. Biotechnol. 2018, 102, 2543–2561. [Google Scholar] [CrossRef] [PubMed]
- Farhan, S.N.; Khadom, A.A. Biosorption of heavy metals from aqueous solutions by Saccharomyces cerevisiae. Int. J. Ind. Chem. 2015, 6, 119–130. [Google Scholar] [CrossRef] [Green Version]
- do Nascimento, J.M.; de Oliveira, J.D.; Rizzo, A.C.L.; Leite, S.G.F. Biosorption Cu (II) by the yeast Saccharomyces cerevisiae. Biotechnol. Rep. 2019, 21, e00315. [Google Scholar] [CrossRef] [PubMed]
- Zinicovscaia, I.; Yushin, N.; Abdusamadzoda, D.; Grozdov, D.; Shvetsova, M. Efficient removal of metals from synthetic and real galvanic zinc–containing effluents by brewer’s yeast Saccharomyces cerevisiae. Materials 2020, 13, 3624. [Google Scholar] [CrossRef] [PubMed]
- Can, C.; Jianlong, W. Removal of Heavy Metal Ions by Waste Biomass of Saccharomyces cerevisiae. J. Environ. Eng. 2010, 136, 95–102. [Google Scholar] [CrossRef]
- Parapouli, M.; Vasileiadis, A.; Afendra, A.S.; Hatziloukas, E. Saccharomyces cerevisiae and its industrial applications. AIMS Microbiol. 2020, 6, 1–31. [Google Scholar] [CrossRef] [PubMed]
- Binati, R.L.; Lemos Junior, W.J.F.; Luzzini, G.; Slaghenaufi, D.; Ugliano, M.; Torriani, S. Contribution of non-Saccharomyces yeasts to wine volatile and sensory diversity: A study on Lachancea thermotolerans, Metschnikowia spp. and Starmerella bacillaris strains isolated in Italy. Int. J. Food Microbiol. 2020, 318, 108470. [Google Scholar] [CrossRef] [PubMed]
- Lai, Y.T.; Hsieh, C.W.; Lo, Y.C.; Liou, B.K.; Lin, H.W.; Hou, C.Y.; Chen, K.C. Isolation and identification of aroma-producing non-Saccharomyces yeast strains and the enological characteristic comparison in wine making. LWT 2022, 154, 112653. [Google Scholar] [CrossRef]
- Redl, M.; Sitavanc, L.; Hanousek, F.; Steinkellner, S. A single out-of-season fungicide application reduces the grape powdery mildew inoculums. Crop Prot. 2021, 149, 105760. [Google Scholar] [CrossRef]
- Ali, H.; Khan, E.; Ilahi, I. Environmental Chemistry and Ecotoxicology of Hazardous Heavy Metals: Environmental Persistence, Toxicity, and Bioaccumulation. J. Chem. 2019, 2019, 6730305. [Google Scholar] [CrossRef] [Green Version]
- Rangabhashiyam, S.; Anu, N.; Nandagopal Giri, M.S.; Selvaraju, N. Relevance of isotherm models in biosorption of pollutants by agricultural by-products. J. Environ. Chem. Eng. 2014, 2, 398–414. [Google Scholar] [CrossRef]
- Chong, K.H.; Volesky, B. Description of two-metal biosorption equilibria by Langmuir-type models. Biotechnol. Bioeng. 1995, 47, 451–460. [Google Scholar] [CrossRef] [PubMed] [Green Version]
- Tan, K.L.; Hameed, B.H. Insight into the adsorption kinetics models for the removal of contaminants from aqueous solutions. J. Taiwan Inst. Chem. Eng. 2017, 74, 25–48. [Google Scholar] [CrossRef]
- Cheung, W.H.; Szeto, Y.S.; McKay, G. Intra-particle diffusion processes during acid dye adsorption onto chitosan. Biores. Technol. 2007, 98, 2897–2904. [Google Scholar] [CrossRef] [PubMed]
- Zinicovscaia, I.; Grozdov, D.; Yushin, N.; Abdusamadzoda, D.; Gundorin, S.; Rodlovskaya, E.; Kristavchuk, O. Metal removal from chromium containing synthetic effluents by Saccharomyces cerevisiae. Desal. Water Treat. 2020, 178, 254–270. [Google Scholar] [CrossRef]
- Zeraatkar, A.K.; Ahmadzadeh, H.; Talebi, A.F.; Moheimani, N.R.; McHenry, M.P. Potential use of algae for heavy metal bioremediation, a critical review. J. Environ. Manag. 2016, 181, 817–831. [Google Scholar] [CrossRef] [PubMed]
- Ramesh, S.T.; Rameshbabu, N.; Gandhimathi, R.; Nidheesh, P.V.; Srikanth Kumar, M. Kinetics and equilibrium studies for the removal of heavy metals in both single and binary systems using hydroxyapatite. Appl. Water Sci. 2012, 2, 187–197. [Google Scholar] [CrossRef] [Green Version]
- Mustapha, S.; Shuaib, D.T.; Ndamitso, M.M.; Etsuyankpa, M.B.; Sumaila, A.; Mohammed, U.M.; Nasirudeen, M.B. Adsorption isotherm, kinetic and thermodynamic studies for the removal of Pb(II), Cd(II), Zn(II) and Cu(II) ions from aqueous solutions using Albizia lebbeck pods. Appl. Water Sci. 2019, 9, 142. [Google Scholar] [CrossRef] [Green Version]
- Dean, J.A. Handbook of Analytical Chemistry; Mc-Grow Hill Inc.: New York, NY, USA, 1995. [Google Scholar]
- Guo, X.; Wang, J. Comparison of linearization methods for modeling the Langmuir adsorption isotherm. J. Molec. Liq. 2019, 296, 111850. [Google Scholar] [CrossRef]
- Padmavathy, V.; Vasudevan, P.; Dhingra, S.C. Biosorption of nickel(II) ions on Baker’s yeast. Process Biochem. 2003, 38, 1389–1395. [Google Scholar] [CrossRef]
- Rangabhashiyam, S.; Balasubramanian, P. Characteristics, performances, equilibrium and kinetic modeling aspects of heavy metal removal using algae. Biores. Technol. Rep. 2019, 5, 261–279. [Google Scholar] [CrossRef]
- Michalak, I.; Chojnacka, K.; Witek-Krowiak, A. State of the Art for the Biosorption Process-a Review. Appl. Biochem. Biotechnol. 2013, 170, 1389–1416. [Google Scholar] [CrossRef] [PubMed] [Green Version]
- Li, J.; Karboune, S. A comparative study for the isolation and characterization of mannoproteins from Saccharomyces cerevisiae. Int. J. Biol. Macromolec. 2018, 119, 654–661. [Google Scholar] [CrossRef] [PubMed]
- Wang, J.; Li, M.; Zheng, F.; Niu, C.; Liu, C.; Sun, J. Cell wall polysaccharides: Before and after autolysis of brewer’s yeast. World J. Microbiol. Biotechnol. 2018, 34, 137–145. [Google Scholar] [CrossRef] [PubMed]








| Model | Equation | Notations |
|---|---|---|
| Langmuir model | is the maximum amount of metal ions retained on mass unit of yeast; β is a constant related to the adsorption energy; ε is the Polanyi potential; E is the average biosorption energy; qt, qe are the biosorption capacity at time and at equilibrium; k1 is the rate constant of pseudo-first order kinetics model; k2 is the rate constant of pseudo-second order kinetics model; kdiff is the intra-particle diffusion constant; c is the concentration of each metal ion at equilibrium. | |
| Freundlich model | ||
| D–R model | ||
| Pseudo-first order | ||
| Pseudo-second order | ||
| Intra-particle diffusion model |
| Isotherm Parameter | Cu(II) | Co(II) | Zn(II) | |
|---|---|---|---|---|
| Langmuir model | R2 | 0.9843 | 0.9755 | 0.9894 |
| qmax, mg/g | 26.95 ± 1.76 | 42.73 ± 2.03 | 37.45 ± 1.97 | |
| KL, L/mg | (5.9 ± 0.3)10−3 | (5.8 ± 0.1)10−3 | (5.9 ± 0.2)10−3 | |
| Freundlich model | R2 | 0.9669 | 0.9633 | 0.9546 |
| n | 1.97 ± 0.04 | 1.43 ± 0.08 | 1.49 ± 0.06 | |
| KF, L1/n/g·mg1/(n−1) | 1.8341 ± 0.11 | 0.6401 ± 0.06 | 0.5473 ± 0.08 | |
| D–R model | R2 | 0.9986 | 0.9220 | 0.9790 |
| qD–Rmax, mg/g | 19.27 ± 0.96 | 22.89 ± 0.91 | 20.38 ± 1.02 | |
| E, kJ/mol | 8.45 ± 0.51 | 11.18 ± 0.61 | 10.98 ± 0.072 | |
| Kinetic Parameter | Cu(II) | Co(II) | Zn(II) | ||
|---|---|---|---|---|---|
| qe,exp, mg/g | 3.3887 ± 0.25 | 3.6203 ± 0.31 | 4.4363 ± 0.42 | ||
| Pseudo-first order | R2 | 0.9846 | 0.7327 | 0.8811 | |
| qe,calc mg/g | 0.6065 ± 0.04 | 0.2106 ± 0.02 | 0.2413 ± 0.05 | ||
| k1, 1/min | (1.24 ± 0.21)10−2 | (6.3 ± 0.33)10−2 | (0.42 ± 0.07)10−2 | ||
| Pseudo-second order | R2 | 0.9998 | 0.9998 | 0.9997 | |
| qe,calc mg/g | 3.4317 ± 0.28 | 3.6258 ± 0.19 | 4.4484 ± 0.31 | ||
| k2, g/mg min | 0.1208 ± 0.02 | 0.2437 ± 0.04 | 0.1394 ± 0.03 | ||
| Intra-particle diffusion model | Zone 1 | R2 | 0.9037 | 0.8824 | 0.8358 |
| c, mg/L | 2.7422 ± 0.31 | 3.3479 ± 0.69 | 4.2732 ± 0.78 | ||
| kdiff1, mg/g min1/2 | (6.56 ± 0.36)10−2 | (2.52 ± 0.11)10−2 | (2.74 ± 0.14)10−2 | ||
| Zone 2 | R2 | 0.8526 | 0.7960 | 0.9111 | |
| c, mg/L | 3.2144 ± 0.69 | 3.3321 ± 0.48 | 3.9929 ± 0.59 | ||
| kdiff2, mg/g min1/2 | (1.34 ± 0.33)10−2 | (2.21 ± 0.18)10−2 | (3.37 ± 0.36)10−2 | ||
Publisher’s Note: MDPI stays neutral with regard to jurisdictional claims in published maps and institutional affiliations. |
© 2022 by the authors. Licensee MDPI, Basel, Switzerland. This article is an open access article distributed under the terms and conditions of the Creative Commons Attribution (CC BY) license (https://creativecommons.org/licenses/by/4.0/).
Share and Cite
Savastru, E.; Bulgariu, D.; Zamfir, C.-I.; Bulgariu, L. Application of Saccharomyces cerevisiae in the Biosorption of Co(II), Zn(II) and Cu(II) Ions from Aqueous Media. Water 2022, 14, 976. https://doi.org/10.3390/w14060976
Savastru E, Bulgariu D, Zamfir C-I, Bulgariu L. Application of Saccharomyces cerevisiae in the Biosorption of Co(II), Zn(II) and Cu(II) Ions from Aqueous Media. Water. 2022; 14(6):976. https://doi.org/10.3390/w14060976
Chicago/Turabian StyleSavastru, Evgenia, Dumitru Bulgariu, Cătălin-Ioan Zamfir, and Laura Bulgariu. 2022. "Application of Saccharomyces cerevisiae in the Biosorption of Co(II), Zn(II) and Cu(II) Ions from Aqueous Media" Water 14, no. 6: 976. https://doi.org/10.3390/w14060976
APA StyleSavastru, E., Bulgariu, D., Zamfir, C.-I., & Bulgariu, L. (2022). Application of Saccharomyces cerevisiae in the Biosorption of Co(II), Zn(II) and Cu(II) Ions from Aqueous Media. Water, 14(6), 976. https://doi.org/10.3390/w14060976

