Assessment of Sponge City Flood Control Capacity According to Rainfall Pattern Using a Numerical Model after Muti-Source Validation
Abstract
:1. Introduction
2. Materials and Methods
- (1)
- Dataset preparation.The hydrological data include precipitation, evaporation, and river flows. The pipe network data were collected from a drainage map provided by the local government, while the subsurface data were land use and topography.
- (2)
- Model validation.The SWMM outputs were converted into runoff depths and the water balance method was used to quantify floods. Passive microwave remote sensing was employed to measure surface inundation; the data were used to define the dynamic trends of historical floods.
- (3)
- Rainfall temporal downscaling.Three different downscaling methods were used to obtain rainfall patterns at different rainfall intensities, along with flood coefficients and numbers to evaluate their effects on the flood control capacity of sponge cities.
- (4)
- Sponge City Simulation.The impact of four LID combinations on the runoff control in the central city of Mianyang was simulated in conjunction with the sponge city planning of Mianyang.
- (5)
- Assessment of Flood Reduction Effect.Flood peak and volume are used as output variables to compare and analyze the abatement effect of sponge cities on urban flooding under the action of different return periods and different rain patterns. The flow chart is shown in Figure 1.
2.1. Study Area
2.2. Database
2.3. Configuration of the Urban Runoff Model
2.4. Multi-Source Validation
2.4.1. Water Balance for Calibration
2.4.2. Satellite Observations for Validation
2.5. Rainfall Observation Data and Design Rainfall Scenarios
2.5.1. Historical Patterns
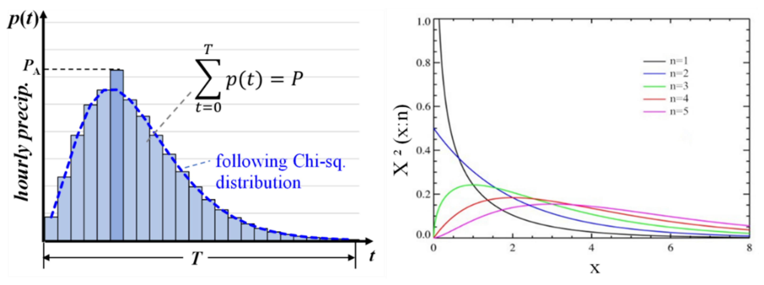
2.5.2. Chi-Squared Probability Distribution Rainfall Patterns
2.5.3. Chicago Design Storm
2.6. Planning of LID Measures for Sponge City in Mianyang City
- (1)
- Green roofs (GRs): vegetated soil above drainage mats that serve to convey stormwater [47].
- (2)
- Permeable pavement (PP): pavement of high porosity and permeability that allows some rainwater through [48].
- (3)
- Rain gardens (RGs): water is retained in surface depressions filled with vegetated soil on a gravel storage bed [49].
- (4)
- Rain barrels (RBs): water tanks are used to capture runoff, typically via pipes from rooftops [50].
2.7. Experimental Design
- (1)
- Single-peak Extreme rainfall (E1–E2).The E1 single peak historical patterns served as the June-to-September single-peak extreme rainfall scenario. In E2, the chi-squared probability distribution of single-peak rainfall pattern was employed; this is the June-to-September average rainfall.
- (2)
- Single-peak Peak coefficients (E3–E6).In E3–E6, the Chicago design storm single-peak rainfall patterns created by weather generator [39] were used; these are the flood peaks with coefficients of 0.2, 0.4, 0.6, and 0.8 from June to September.
- (3)
- Multi-peak (E7–E9).In E7, an historical multi-peaked rainfall rain pattern was used; this is the June-to-September multi-peak extreme rainfall scenario. In E8, the Chicago design storm multi-peak rainfall pattern created by the weather generator was used to represent the June-to-September average double-peak rainfall pattern when the average number of peaks was 2. In E9, the Chicago design storm multi-peak rainfall rain pattern created by the weather generator was also used; the mean peak number was 3 for June-to-September.
3. Results and Discussion
3.1. Validation
3.1.1. Water Balance
3.1.2. Satellite Observations
3.2. Effect of Single Peak
3.2.1. Extreme and Average Conditions
Rainfall Patterns Analysis
Flood Control Analysis
3.2.2. Different Peak Timing
Rainfall Patterns Analysis
Flood Control Analysis
3.3. Effect of Multi Peak
3.3.1. Rainfall Patterns Analysis
3.3.2. Flood Control Analysis
4. Conclusions
- (1)
- The model underestimates hourly runoff over large areas by approximately 13%, as verified by water balancing and remote sensing. The simulated runoff trend was strongly correlated with the satellite observations.
- (2)
- The flood peak and mean rainfall intensities were generally larger for single-peak historical rainfalls than for the chi-squared rain pattern; the difference in bias was substantial, except for the peak bias in September (long continuous rainfall). The peak and average rainfall intensities were also generally lower for the single-peak Chicago rainfall type than for the single-peak historical rainfall; the peak and average biases were equally large. The multi-peak historical rainfall pattern was identical to the multi-peak Chicago pattern; however, the flood rainfall intensity was generally larger in the multi-peak historical pattern than in the multi-peak Chicago rainfall pattern.
- (3)
- Simulation revealed that the ability of LID facilities to control flood peaks and volumes was weaker under the single-peak chi-squared rainfall pattern than under the historical rainfall pattern. Control became weaker as the flood peaks became closer. For multi-peak rainfall, the difference in urban runoff caused by natural extreme rainfall and the uniform multi-peak rainfall of the Chicago rain type was not substantial, while the ability of LID facilities to control flood peaks and volumes became progressively weaker as the average wave peak increased.
Author Contributions
Funding
Data Availability Statement
Acknowledgments
Conflicts of Interest
Abbreviations
| LID | Low-impact development |
| SWMM | Storm Water Management Model |
| SHE | Système Hydrologique Européen |
| SWAT | Soil & Water Assessment Tool |
| IHDM | Institute of Hydrology Distributed Model |
| Chi-2 | Chis-quared probability distribution rainfall patterns |
| Chicago | Chicago design storm |
| His | Historical patterns |
| GRs | Green roofs |
| PP | Permeable pavement |
| RGs | Rain gardens |
| RBs | Rain barrels |
| GSSD | Global Surface Summary of the Day |
| ASTER-GDEM | Advanced Spaceborne Thermal Emission and Reflection Radiometer |
| SSM/I | Special Sensor Microwave/Imager |
| NDFI | Normalized difference frequency index |
References
- United Nations. World Urbanization Prospects: The 2018 Revision, (ST/ESA/SER.A/366); United Nations: New York, NY, USA, 2019. [Google Scholar]
- Tellman, B.; Sullivan, J.A.; Kuhn, C.; Kettner, A.J.; Doyle, C.S.; Brakenridge, G.R.; Erickson, T.A.; Slayback, D.A. Satellite imaging reveals increased proportion of population exposed to floods. Nature 2021, 596, 80–86. [Google Scholar] [CrossRef] [PubMed]
- Guan, X.; Wei, H.; Lu, S.; Dai, Q.; Su, H. Assessment on the urbanization strategy in China: Achievements, challenges and reflections. Habitat Int. 2018, 71, 97–109. [Google Scholar] [CrossRef]
- Chen, Y.; Zhou, H.; Zhang, H.; Du, G.; Zhou, J. Urban flood risk warning under rapid urbanization. Environ. Res. 2015, 139, 3–10. [Google Scholar] [CrossRef]
- Kong, F.; Wang, Y.; Lv, L.; Shi, P. Genesis analysis and countermeasures on huge rainstorm and flooding on 21st July in Beijing. Yangtze River 2018, 49, 15–19. [Google Scholar] [CrossRef]
- Zhou, H.; Wang, D.; Yuan, Y.; Hao, M. New advances in statistics of largescale natural disasters damage and loss: Explanation of “Statistical system of large-scale natural disasters”. Adv. Earth Sci. 2015, 30, 530–538. [Google Scholar]
- Chen, W.; Xia, J. Analysis of causes and countermeasures of extraordinary rainstorm in 22nd May, Guangzhou. China Water Resour. 2020, 13, 4–7. [Google Scholar]
- Yang, W.; Gao, F.; Xu, T.; Wang, N.; Tu, J.; Jing, L.; Kong, Y. Daily Flood Monitoring Based on Spaceborne GNSS-R Data: A Case Study on Henan, China. Remote Sens. 2021, 13, 4561. [Google Scholar] [CrossRef]
- Fiori, A.; Volpi, E. On the Effectiveness of LID Infrastructures for the Attenuation of Urban Flooding at the Catchment Scale. Water Resour. Res. 2020, 56, e2020WR027121. [Google Scholar] [CrossRef]
- Bai, Y.; Zhao, N.; Zhang, R.; Zeng, X. Storm Water Management of Low Impact Development in Urban Areas Based on SWMM. Water 2019, 11, 33. [Google Scholar] [CrossRef] [Green Version]
- Yan, D.; Liu, J.; Shao, W.; Mei, C. Evolution of Urban Flooding in China. Proc. IAHS 2020, 383, 193–199. [Google Scholar] [CrossRef]
- Jia, H.; Wang, Z.; Zhen, X.; Clar, M.; Yu, S.L. China’s Sponge City Construction: A Discussion on Technical Approaches. Front. Environ. Sci. Eng. 2017, 11, 18. [Google Scholar] [CrossRef]
- Mobilia, M.; Longobardi, A. Impact of rainfall properties on the performance of hydrological models for green roofs simulation. Water Sci. Technol. 2020, 81, 1375–1387. [Google Scholar] [CrossRef]
- Rujner, H.; Leonhardt, G.; Marsalek, J.; Viklander, M. High-resolution modelling of the grass swale response to runoff inflows with Mike SHE. J. Hydrol. 2018, 562, 411–422. [Google Scholar] [CrossRef]
- Seo, M.; Jaber, F.; Srinivasan, R.; Jeong, J. Evaluating the Impact of Low Impact Development (LID) Practices on Water Quantity and Quality under Different Development Designs Using SWAT. Water 2017, 9, 193. [Google Scholar] [CrossRef]
- Beven, K.J.; Calver, A.; Morris, E.M. The Institute of Hydrology Distributed Model, Institute of Hydrology; Report 98; Institute of Hydrology: Wallingford, UK, 1987. [Google Scholar]
- GebreEgziabher, M.; Demissie, Y. Modeling Urban Flood Inundation and Recession Impacted by Manholes. Water 2020, 12, 1160. [Google Scholar] [CrossRef] [Green Version]
- Wu, X.; Wang, Z.; Guo, S.; Lai, C.; Chen, X. A simplified approach for flood modeling in urban environments. Hydrol. Res. 2018, 49, 1804–1816. [Google Scholar] [CrossRef]
- Xu, T.; Jia, H.; Wang, Z.; Mao, X.; Xu, C. SWMM-based methodology for block-scale LID-BMPs planning based on site-scale multi-objective optimization: A case study in Tianjin. Front. Environ. Sci. Eng. 2017, 11, 1. [Google Scholar] [CrossRef]
- Yin, D.; Evans, B.; Wang, Q.; Chen, Z.; Jia, H.; Chen, A.S.; Fu, G.; Ahmad, S.; Leng, L. Integrated 1D and 2D model for better assessing runoff quantity control of low impact development facilities on community scale. Sci. Total Environ. 2020, 720, 137630. [Google Scholar] [CrossRef]
- Elgamal, A.; Reggiani, P.; Jonoski, A. Impact analysis of satellite rainfall products on flow simulations in the Magdalena River Basin, Colombia. J. Hydrol. Reg. Stud. 2017, 9, 85–103. [Google Scholar] [CrossRef]
- Nguyen, T.T.; Ngo, H.H.; Guo, W.; Wang, X.C. A new model framework for sponge city implementation: Emerging challenges and future developments. J. Environ. Manag. 2020, 253, 109689. [Google Scholar] [CrossRef]
- Wang, C.; Hou, J.; Miller, D.; Brown, I.; Jiang, Y. Flood risk management in sponge cities: The role of integrated simulation and 3D visualization. Int. J. Disaster Risk Reduct. 2019, 39, 101139. [Google Scholar] [CrossRef] [Green Version]
- Li, H.; Ding, L.; Ren, M.; Li, C.; Wang, H. Sponge City Construction in China: A Survey of the Challenges and Opportunities. Water 2017, 9, 594. [Google Scholar] [CrossRef] [Green Version]
- Yin, D.; Chen, Y.; Jia, H.; Wang, Q.; Chen, Z.; Xu, C.; Li, Q.; Wang, W.; Yang, Y.; Fu, G.; et al. Sponge city practice in China: A review of construction, assessment, operational and maintenance. J. Clean. Prod. 2020, 280, 124963. [Google Scholar] [CrossRef]
- Agency, U.S.E.P. Low-Impact Development Design Strategies: An Integrated Design Approach; Department of Environmental Resources, Programs and Planning Division: Prince George’s County, MD, USA, 1999. [Google Scholar]
- Chan, F.K.S.; Griffiths, J.A.; Higgitt, D.; Xu, S.; Zhu, F.; Tang, Y.-T.; Xu, Y.; Thorne, C.R. “Sponge City” in China—A breakthrough of planning and flood risk management in the urban context. Land Use Policy 2018, 76, 772–778. [Google Scholar] [CrossRef]
- Shao, M.; Zhao, G.; Kao, S.-C.; Cuo, L.; Rankin, C.; Gao, H. Quantifying the effects of urbanization on floods in a changing environment to promote water security—A case study of two adjacent basins in Texas. J. Hydrol. Reg. Stud. 2020, 589, 125154. [Google Scholar] [CrossRef]
- Smith, B.K.; Smith, J.A.; Baeck, M.L.; Villarini, G.; Wright, D.B. Spectrum of storm event hydrologic response in urban watersheds. Water Resour. Res. 2013, 49, 2649–2663. [Google Scholar] [CrossRef]
- Fu, X.; Liu, J.; Shao, W.; Mei, C.; Wang, D.; Yan, W. Evaluation of Permeable Brick Pavement on the Reduction of Stormwater Runoff Using a Coupled Hydrological Model. Water 2020, 12, 2821. [Google Scholar] [CrossRef]
- Zhang, Q.; Wu, Z.; Tarolli, P. Investigating the Role of Green Infrastructure on Urban WaterLogging: Evidence from Metropolitan Coastal Cities. Remote Sens. 2021, 13, 2341. [Google Scholar] [CrossRef]
- Feng, M.; Jung, K.; Li, F.; Li, H.; Kim, J.-C. Evaluation of the Main Function of Low Impact Development Based on Rainfall Events. Water 2020, 12, 2231. [Google Scholar] [CrossRef]
- Zhu, Y.; Xu, C.; Yin, D.; Xu, J.; Wu, Y.; Jia, H. Environmental and economic cost-benefit comparison of Sponge City construction in different urban functional regions. J. Environ. Manag. 2022, 304, 114230. [Google Scholar] [CrossRef]
- Leng, L.; Mao, X.; Jia, H.; Xu, T.; Chen, A.S.; Yin, D.; Fu, G. Performance assessment of coupled green-grey-blue systems for Sponge City construction. Sci. Total Environ. 2020, 728, 138608. [Google Scholar] [CrossRef]
- Li, N.; Qin, C.; Du, P. Optimization of China Sponge City Design: The Case of Lincang Technology Innovation Park. Water 2018, 10, 1189. [Google Scholar] [CrossRef] [Green Version]
- Zhao, G.; Xu, Z.; Pang, B.; Tu, T.; Xu, L.; Du, L. An enhanced inundation method for urban flood hazard mapping at the large catchment scale. J. Hydrol. 2019, 571, 873–882. [Google Scholar] [CrossRef]
- Randall, M.; Sun, F.; Zhang, Y.; Jensen, M.B. Evaluating Sponge City volume capture ratio at the catchment scale using SWMM. J. Environ. Manag. 2019, 246, 745–757. [Google Scholar] [CrossRef]
- Chen, J.; Ban, Y.; Li, S. China: Open access to Earth land-cover map. Nature 2014, 514, 434. [Google Scholar] [CrossRef] [Green Version]
- Li, H.; Ishidaira, H.; Souma, K.; Magome, J. Assessment of the Flood Control Capacity and Cost Efficiency of Sponge City Construction in Mianyang City, China. J. Jpn. Soc. Civ. Eng. Ser. G Environ. Res. 2020, 76, 335–342. [Google Scholar] [CrossRef]
- Li, H.; Ishidaira, H.; Souma, K.; Magome, J. The Impact of Climate Change and Urbanization on Flood Control Capacity of Sponge City. J. Jpn. Soc. Civ. Eng. Ser. G Environ. Res. 2021, 77, 17–25. [Google Scholar] [CrossRef]
- Seto, S. High-resolution surface water map over Japan and estimation of inundation area caused by Typhoon Hagibis. J. Jpn. Soc. Civ. Eng. Ser. B1 Hydraul. Eng. 2020, 76, 613–618. [Google Scholar] [CrossRef]
- Li, X.; Takeuchi, W. Land Surface Water Coverage Estimation with PALSAR and AMSR-E for Large Scale Flooding Detection. Terr. Atmos. Ocean. Sci. 2016, 27, 473. [Google Scholar] [CrossRef] [Green Version]
- Li, H.; Ishidaira, H.; Souma, K.; Magome, J. Analysis of Flood Characteristics of Yangtze River Basin in 2020 using Satellite Observations. J. Jpn. Soc. Civ. Eng. Ser. B1 Hydraul. Eng. 2021, 77, 465–470. [Google Scholar] [CrossRef]
- Raes, D.; Willems, P.; Gbaguidi, F. RAINBOW—A software package for analyzing data and testing the homogeneity of historical data sets. In Proceedings of the 4th International Workshop on Sustainable Management of Marginal Drylands, Islamabad, Pakistan, 27–31 January 2006; pp. 41–55. [Google Scholar]
- Ye, A.; Dai, Y.; Xia, J. SL/XR Comparative Test and Precision Analysis. J. China Hydrol. 2007, 27, 16–20. [Google Scholar]
- Keifer, C.J.; Chu, H.H. Synthetic Storm Pattern for Drainage Design. J. Hydraul. Div. 1957, 83, 1332. [Google Scholar] [CrossRef]
- Shafique, M.; Kim, R.; Rafiq, M. Green roof benefits, opportunities and challenges—A review. Renew. Sustain. Energy Rev. 2018, 90, 757–773. [Google Scholar] [CrossRef]
- Scholz, M.; Grabowiecki, P. Review of permeable pavement systems. Build. Environ. 2007, 42, 3830–3836. [Google Scholar] [CrossRef]
- Lariyah, M.S.; Norshafa, E.N. Constructed Rain Garden for Water Sensitive Urban Design (WSUD) as Stormwater Management in Malaysia: A Literature Review. In Proceedings of the National Graduate Conference, Universiti Tenaga Nasional, Putrajaya Campus, Kajang, Malaysia, 8–10 November 2012. [Google Scholar]
- Jennings, A.A.; Adeel, A.A.; Hopkins, A.; Litofsky, A.L. Rain Barrel–Urban Garden Stormwater Management Performance. J. Environ. Eng. 2013, 139, 757–765. [Google Scholar] [CrossRef]
- Wang, S.; Li, X.; Zhang, J.; Yu, H.; Hao, Y.; Yang, W. The impact of green roofs in urban areas on water quality. Chin. J. Appl. Ecol. 2014, 25, 2026–2032. [Google Scholar]
- Tang, L.; Ni, G.; Liu, M.; Sun, T. Study on Runoff and Rainwater Retention Capacity of Green Roof by Experiment and Model Simulation. J. China Hydrol. 2011, 31, 18–22. [Google Scholar]
- Zhuo, H.; Li, Y. Assessment of Storm-water Control Effect of Residential Quarters in Sponge City on SWMM. Water Supply Drain. Eng. 2019, 37, 119–123. [Google Scholar]
- Kourtis, O.M.; Kopsiaftis, G.; Bellos, V.; Tsihrintzis, V.A. Calibration and validation of SWMM model in two urban catchments in Athens, Greece. In Proceedings of the 15th International Conference on Environmental Science and Technology, Rhodes, Greece, 31 August–2 September 2017. [Google Scholar]
- David, S.M.; William, I.N. Statistics: Concepts and Controversies, 9th ed.; W.H. Freeman: New York, NY, USA, 2016. [Google Scholar]













| Item | Data Source etc. | Function/Derived Features/Parameters |
|---|---|---|
| Precipitation | GSOD (Daily 1973–2017) https://www.ncei.noaa.gov/access/search/data-search/global-summary-of-the-day (accessed on 18 January 2022) Fujiangqiao Rain-gauge (Hourly 2015–2020) | Time Series, Validation |
| Evaporation | Mianyang Weather station (Monthly 2015–2020) | Monthly Evaporation |
| Discharge | 4 Hydrological stations (Hourly 2000–2020) | Validation |
| Topography | ASTER-GDEM (30 m resolution digital elv.) https://asterweb.jpl.nasa.gov/GDEM.asp (accessed on 18 January 2022) | Flow direction, Slope (gradient) |
| Land use | Sentinel-2B (10 m resolution) https://scihub.copernicus.eu/ (accessed on 18 January 2022) | Manning Coeff., Permeability, Underlying surface, Green cover |
| Pipe Network | Printed map of pipe network | Connection between each sub-catchment |
| Satellite Data | SSM/I (25 km 1991–2020) https://nsidc.org/data/NSIDC-0032/versions/2 (accessed on 18 January 2022) | Validation |
| T [h] | (1, 8] * | (8, 11] | (11, 14] | (14, 16] | (16, 18] | (18, 24] |
|---|---|---|---|---|---|---|
| n | 3 | 4 | 5 | 6 | 7 | 8 |
| Type of LIDs | Green Roofs (GRs) | Permeable Pavement (PP) | Rain Gardens (RGs) | Rain Barrels (RBs) |
|---|---|---|---|---|
| Description | ![]() | ![]() | ![]() | ![]() |
| Area (km2) | 9.95 | 24.50 | 27.12 | 3.11 |
| Ratio (%) | 4.76 | 11.71 | 12.96 | 1.49 |
| Experiments | Peak Types | Number of Peaks | Peak Coefficients | Methods |
|---|---|---|---|---|
| E1 | Single | 1 | 0.3–0.7 | His |
| E2 | Single | 1 | 0.2–0.3 | Chi-2 |
| E3 | Single | 1 | 0.2 | Chicago |
| E4 | Single | 1 | 0.4 | Chicago |
| E5 | Single | 1 | 0.6 | Chicago |
| E6 | Single | 1 | 0.8 | Chicago |
| E7 | Multi | 2–4 | 0.2–1 | His |
| E8 | Multi | 2 | 0.5 | Chicago |
| E9 | Multi | 3 | 0.3 | Chicago |
| Months | JUN | JUL | AUG | SEP |
|---|---|---|---|---|
| PEAK-BIAS (%) | [−34, −33] | [−66, −65] | [−38, −36] | [5, 9] |
| Average-BIAS (%) | [−59, −50] | [28, 53] | [−47, −38] | [−59, −53] |
| Experiments | Month | Return Period (y) | Duration (h) | Peak Intensity (mm/h) | Average Intensity (mm/h) |
|---|---|---|---|---|---|
| E1 | JUN | 2–100 | 7 | 54.0–140.9 | 14.1–36.7 |
| JUL | 2–100 | 23 | 59.6–155.6 | 4.3–11.2 | |
| AUG | 2–100 | 8 | 51.7–134.9 | 12.3–32.1 | |
| SEP | 2–100 | 9 | 13.9–36.2 | 10.9–28.6 | |
| E2 | JUN | 2–100 | 14–17 | 35.9–92.6 | 7.0–15.1 |
| JUL | 2–100 | 15–18 | 20.6–48.2 | 6.6–14.3 | |
| AUG | 2–100 | 13–15 | 33.2–83.6 | 7.6–17.1 | |
| SEP | 2–100 | 19–22 | 15.2–38.0 | 5.2–11.7 |
| Months | JUN | JUL | AUG | SEP |
|---|---|---|---|---|
| PEAK-BIAS (%) | [−62, −56] | [−65, −60] | [−52, −60] | [30, 50] |
| Average-BIAS (%) | [−59, −50] | [28, 53] | [−47, −38] | [−59, −53] |
| Experiments | Month | Return Period (y) | Duration (h) | Peak Intensity (mm/h) | Average Intensity (mm/h) |
|---|---|---|---|---|---|
| E3–E6 | JUN | 2–100 | 14–17 | 22.4–56.7 | 7.0–15.1 |
| JUL | 2–100 | 15–18 | 20.7–55.1 | 6.6–14.3 | |
| AUG | 2–100 | 13–15 | 24.8–54.2 | 7.6–17.1 | |
| SEP | 2–100 | 19–22 | 19.2–49.8 | 5.2–11.7 |
| PEAK-BIAS | JUN | JUL | AUG | SEP |
|---|---|---|---|---|
| E7 & E8 | −45 | −51 | −47 | −7 |
| E7 & E9 | −57 | −58 | −43 | −27 |
| Experiments | Month | Return Period (y) | Duration (h) | Peak Intensity (mm/h) | Average Intensity (mm/h) |
|---|---|---|---|---|---|
| E7 | JUN | 2–100 | 19 | 27.0–70.4 | 5.2–13.5 |
| JUL | 2–100 | 21 | 29.0–75.7 | 4.7–12.2 | |
| AUG | 2–100 | 16 | 23.7–62.0 | 6.2–16.1 | |
| SEP | 2–100 | 23 | 14.6–38.1 | 4.3–11.2 | |
| E8 | JUN | 2–100 | 19 | 15.0–39.1 | 5.2–13.5 |
| JUL | 2–100 | 21 | 14.1–36.9 | 4.7–12.2 | |
| AUG | 2–100 | 16 | 12.6–33.0 | 6.2–16.1 | |
| SEP | 2–100 | 23 | 13.6–35.5 | 4.3–11.2 | |
| E9 | JUN | 2–100 | 19 | 11.7–30.5 | 5.2–13.5 |
| JUL | 2–100 | 21 | 12.1–31.5 | 4.7–12.2 | |
| AUG | 2–100 | 16 | 13.6–35.6 | 6.2–16.1 | |
| SEP | 2–100 | 23 | 10.7–28.0 | 4.3–11.2 |
Publisher’s Note: MDPI stays neutral with regard to jurisdictional claims in published maps and institutional affiliations. |
© 2022 by the authors. Licensee MDPI, Basel, Switzerland. This article is an open access article distributed under the terms and conditions of the Creative Commons Attribution (CC BY) license (https://creativecommons.org/licenses/by/4.0/).
Share and Cite
Li, H.; Ishidaira, H.; Wei, Y.; Souma, K.; Magome, J. Assessment of Sponge City Flood Control Capacity According to Rainfall Pattern Using a Numerical Model after Muti-Source Validation. Water 2022, 14, 769. https://doi.org/10.3390/w14050769
Li H, Ishidaira H, Wei Y, Souma K, Magome J. Assessment of Sponge City Flood Control Capacity According to Rainfall Pattern Using a Numerical Model after Muti-Source Validation. Water. 2022; 14(5):769. https://doi.org/10.3390/w14050769
Chicago/Turabian StyleLi, Haichao, Hiroshi Ishidaira, Yanqi Wei, Kazuyoshi Souma, and Jun Magome. 2022. "Assessment of Sponge City Flood Control Capacity According to Rainfall Pattern Using a Numerical Model after Muti-Source Validation" Water 14, no. 5: 769. https://doi.org/10.3390/w14050769
APA StyleLi, H., Ishidaira, H., Wei, Y., Souma, K., & Magome, J. (2022). Assessment of Sponge City Flood Control Capacity According to Rainfall Pattern Using a Numerical Model after Muti-Source Validation. Water, 14(5), 769. https://doi.org/10.3390/w14050769





