Assessment of Palm Jumeirah Island’s Construction Effects on the Surrounding Water Quality and Surface Temperatures during 2001–2020
Abstract
1. Introduction
2. Materials and Methods
2.1. Study Area
2.2. Data Collection
2.3. Data Preprocessing
2.4. Derivation of Image Spectral Characteristics
2.5. Calculation of the Sea Surface Temperature (SST)
2.5.1. Calculation of the SST for ETM+ Sensor Single-Band
2.5.2. Calculating the SST for the TIRS Multi-Band
2.6. Calculation of Water Indices
2.6.1. The Green Normalized Difference Vegetation Index (GNDVI)
2.6.2. The Normalized Difference Turbidity Index (NDTI)
2.6.3. Statistical Analysis
3. Results and Discussion
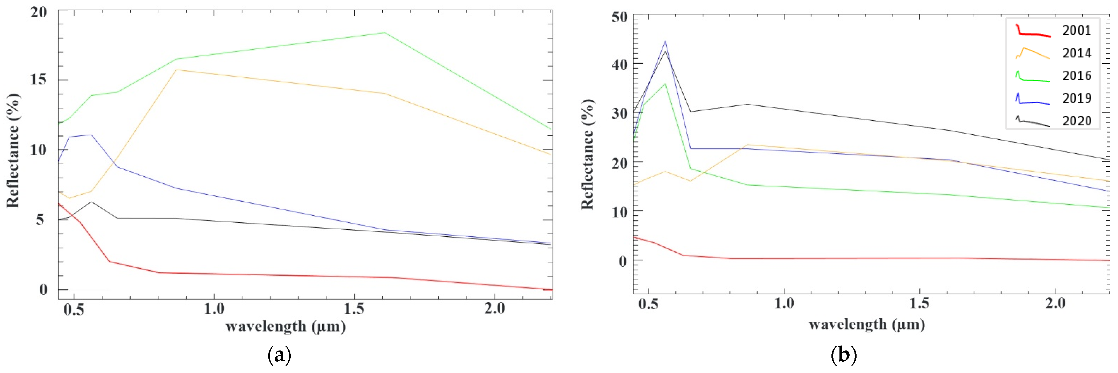
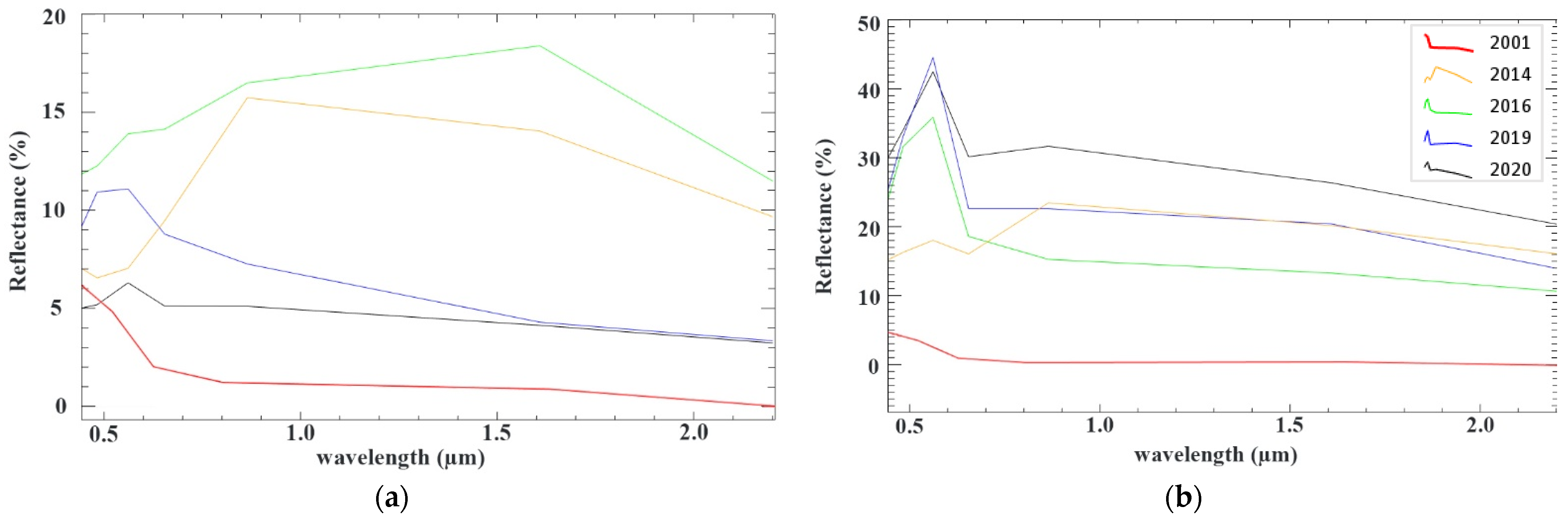
3.1. Changes in Water Spectral Characteristics
3.2. Water Temperature Changes
3.3. Assessment of Water Indices
4. Discussion
5. Conclusions
Author Contributions
Funding
Institutional Review Board Statement
Informed Consent Statement
Data Availability Statement
Acknowledgments
Conflicts of Interest
References
- Rousta, I.; Olafsson, H.; Moniruzzaman, M.; Ardö, J.; Zhang, H.; Mushore, T.D.; Shahin, S.; Azim, S. The 2000–2017 drought risk assessment of the western and southwestern basins in Iran. Modeling Earth Syst. Environ. 2020, 6, 1201–1221. [Google Scholar] [CrossRef]
- He, Q.; Silliman, B.R. Climate change, human impacts, and coastal ecosystems in the Anthropocene. Curr. Biol. 2019, 29, R1021–R1035. [Google Scholar] [CrossRef] [PubMed]
- Rahman, M.T.U.; Tabassum, F.; Rasheduzzaman, M.; Saba, H.; Sarkar, L.; Ferdous, J.; Uddin, S.Z.; Islam, A.Z. Temporal dynamics of land use/land cover change and its prediction using CA-ANN model for southwestern coastal Bangladesh. Environ. Monit. Assess. 2017, 189, 565. [Google Scholar] [CrossRef]
- Moniruzzaman, M.; Thakur, P.K.; Kumar, P.; Ashraful Alam, M.; Garg, V.; Rousta, I.; Olafsson, H. Decadal Urban Land Use/Land Cover Changes and Its Impact on Surface Runoff Potential for the Dhaka City and Surroundings Using Remote Sensing. Remote Sens. 2021, 13, 83. [Google Scholar] [CrossRef]
- Mansourmoghaddam, M.; Rousta, I.; Zamani, M.; Mokhtari, M.H.; Karimi Firozjaei, M.; Alavipanah, S.K. Study and prediction of land surface temperature changes of Yazd city: Assessing the proximity and changes of land cover. J. RS GIS Nat. Resour. 2021, 12, 1–27. [Google Scholar]
- Basar, A. Water security in coastal region of Bangladesh: Would desalination be a solution to the vulnerable communities of the sundarbans? Bangladesh E J. Sociol. 2012, 9, 31. [Google Scholar]
- Baten, M.A.; Seal, L.; Lisa, K.S. Salinity intrusion in interior coast of Bangladesh: Challenges to agriculture in south-central coastal zone. Am. J. Clim. Change 2015, 4, 248. [Google Scholar] [CrossRef]
- Le Tixerant, M. Dynamique des Activités Humaines en Mer Côtière. Application à la Mer d’Iroise; Université de Bretagne occidentale-Brest: Brest, France, 2004. [Google Scholar]
- Ferdous, J.; Rahman, M.T.U. Developing an empirical model from Landsat data series for monitoring water salinity in coastal Bangladesh. J. Environ. Manag. 2020, 255, 109861. [Google Scholar] [CrossRef]
- Nahian, M.A.; Ahmed, A.; Lázár, A.N.; Hutton, C.W.; Salehin, M.; Streatfield, P.K.; Chadwick, O.; Renaud, F. Drinking water salinity associated health crisis in coastal Bangladesh. Elem. Sci. Anthr. 2018, 6, 2. [Google Scholar] [CrossRef]
- Rahman, M.T.U.; Ferdous, J. Detection of environmental degradation of satkhira district, Bangladesh through remote sensing indices. In Proceedings of Global Civil Engineering Conference; Springer: Singapore, 2017; pp. 1053–1066. [Google Scholar]
- Miao, R.; Liu, Y.; Wu, L.; Wang, D.; Liu, Y.; Miao, Y.; Yang, Z.; Guo, M.; Ma, J. Effects of long-term grazing exclusion on plant and soil properties vary with position in dune systems in the Horqin Sandy Land. Catena 2022, 209, 105860. [Google Scholar] [CrossRef]
- Zhao, T.; Shi, J.; Lv, L.; Xu, H.; Chen, D.; Cui, Q.; Jackson, T.J.; Yan, G.; Jia, L.; Chen, L. Soil moisture experiment in the Luan River supporting new satellite mission opportunities. Remote Sens. Environ. 2020, 240, 111680. [Google Scholar] [CrossRef]
- Zhao, T.; Shi, J.; Entekhabi, D.; Jackson, T.J.; Hu, L.; Peng, Z.; Yao, P.; Li, S.; Kang, C.S. Retrievals of soil moisture and vegetation optical depth using a multi-channel collaborative algorithm. Remote Sens. Environ. 2021, 257, 112321. [Google Scholar] [CrossRef]
- Zhang, K.; Chao, L.-J.; Wang, Q.-Q.; Huang, Y.-C.; Liu, R.-H.; Hong, Y.; Tu, Y.; Qu, W.; Ye, J.-Y. Using multi-satellite microwave remote sensing observations for retrieval of daily surface soil moisture across China. Water Sci. Eng. 2019, 12, 85–97. [Google Scholar] [CrossRef]
- Zhang, K.; Ali, A.; Antonarakis, A.; Moghaddam, M.; Saatchi, S.; Tabatabaeenejad, A.; Chen, R.; Jaruwatanadilok, S.; Cuenca, R.; Crow, W.T. The sensitivity of North American terrestrial carbon fluxes to spatial and temporal variation in soil moisture: An analysis using radar-derived estimates of root-zone soil moisture. J. Geophys. Res. Biogeosci. 2019, 124, 3208–3231. [Google Scholar] [CrossRef]
- Cherif, E.K.; Salmoun, F.; Mesas-Carrascosa, F.J. Determination of bathing water quality using thermal images Landsat 8 on the west coast of Tangier: Preliminary results. Remote Sens. 2019, 11, 972. [Google Scholar] [CrossRef]
- Selvakumar, A.; Borst, M. Variation of microorganism concentrations in urban stormwater runoff with land use and seasons. J. Water Health 2006, 4, 109–124. [Google Scholar] [CrossRef] [PubMed]
- Abdelmalik, K. Role of statistical remote sensing for Inland water quality parameters prediction. Egypt. J. Remote Sens. Space Sci. 2018, 21, 193–200. [Google Scholar] [CrossRef]
- Morshed, M.M.; Islam, M.T.; Jamil, R. Soil salinity detection from satellite image analysis: An integrated approach of salinity indices and field data. Environ. Monit. Assess. 2016, 188, 119. [Google Scholar] [CrossRef]
- Swain, R.; Sahoo, B. Mapping of heavy metal pollution in river water at daily time-scale using spatio-temporal fusion of MODIS-aqua and Landsat satellite imageries. J. Environ. Manag. 2017, 192, 1–14. [Google Scholar] [CrossRef]
- Shahzad, M.I.; Meraj, M.; Nazeer, M.; Zia, I.; Inam, A.; Mehmood, K.; Zafar, H. Empirical estimation of suspended solids concentration in the Indus Delta Region using Landsat-7 ETM+ imagery. J. Environ. Manag. 2018, 209, 254–261. [Google Scholar] [CrossRef]
- Le, C.; Hu, C.; Cannizzaro, J.; Duan, H. Long-term distribution patterns of remotely sensed water quality parameters in Chesapeake Bay. Estuar. Coast. Shelf Sci. 2013, 128, 93–103. [Google Scholar] [CrossRef]
- Dona, C.; Chang, N.-B.; Caselles, V.; Sánchez, J.M.; Camacho, A.; Delegido, J.; Vannah, B.W. Integrated satellite data fusion and mining for monitoring lake water quality status of the Albufera de Valencia in Spain. J. Environ. Manag. 2015, 151, 416–426. [Google Scholar] [CrossRef] [PubMed]
- Binding, C.E.; Greenberg, T.A.; Watson, S.B.; Rastin, S.; Gould, J. Long term water clarity changes in North America’s Great Lakes from multi-sensor satellite observations. Limnol. Oceanogr. 2015, 60, 1976–1995. [Google Scholar] [CrossRef]
- Bugnot, A.; Lyons, M.; Scanes, P.; Clark, G.; Fyfe, S.; Lewis, A.; Johnston, E. A novel framework for the use of remote sensing for monitoring catchments at continental scales. J. Environ. Manag. 2018, 217, 939–950. [Google Scholar] [CrossRef] [PubMed]
- Hellweger, F.; Schlosser, P.; Lall, U.; Weissel, J. Use of satellite imagery for water quality studies in New York Harbor. Estuar. Coast. Shelf Sci. 2004, 61, 437–448. [Google Scholar] [CrossRef]
- Pavelsky, T.M.; Smith, L.C. Remote sensing of suspended sediment concentration, flow velocity, and lake recharge in the Peace-Athabasca Delta, Canada. Water Resour. Res. 2009, 45. [Google Scholar] [CrossRef]
- González-Márquez, L.C.; Torres-Bejarano, F.M.; Rodríguez-Cuevas, C.; Torregroza-Espinosa, A.C.; Sandoval-Romero, J.A. Estimation of water quality parameters using Landsat 8 images: Application to Playa Colorada Bay, Sinaloa, Mexico. Appl. Geomat. 2018, 10, 147–158. [Google Scholar] [CrossRef]
- Mallick, J.; Hasan, M.A.; Alashker, Y.; Ahmed, M. Bathymetric and geochemical analysis of lake al-saad, abha, kingdom of saudi arabia using geoinformatics technology. J. Geogr. Inf. Syst. 2014, 6, 440. [Google Scholar] [CrossRef]
- Hasab, H.A.; Ahmad, A.; Marghany, M.; Ziboon, A.R. Landsat TM-8 Data for retrieving salinity in AL-HUWAIZAH marsh, south of IRAQ. J. Teknol. 2015, 75, 201–206. [Google Scholar] [CrossRef][Green Version]
- Nas, B.; Ekercin, S.; Karabörk, H.; Berktay, A.; Mulla, D.J. An application of Landsat-5TM image data for water quality mapping in Lake Beysehir, Turkey. Water Air Soil Pollut. 2010, 212, 183–197. [Google Scholar] [CrossRef]
- Chen, X.; Quan, Q.; Zhang, K.; Wei, J. Spatiotemporal characteristics and attribution of dry/wet conditions in the Weihe River Basin within a typical monsoon transition zone of East Asia over the recent 547 years. Environ. Model. Softw. 2021, 143, 105116. [Google Scholar] [CrossRef]
- Huo, W.; Li, Z.; Wang, J.; Yao, C.; Zhang, K.; Huang, Y. Multiple hydrological models comparison and an improved Bayesian model averaging approach for ensemble prediction over semi-humid regions. Stoch. Environ. Res. Risk Assess. 2019, 33, 217–238. [Google Scholar] [CrossRef]
- Zhao, X.; Xia, H.; Pan, L.; Song, H.; Niu, W.; Wang, R.; Li, R.; Bian, X.; Guo, Y.; Qin, Y. Drought monitoring over Yellow River basin from 2003–2019 using reconstructed MODIS land surface temperature in Google Earth Engine. Remote Sens. 2021, 13, 3748. [Google Scholar] [CrossRef]
- Vu, N.N.; Trung, L.V.; Van, T.T. Development of the Statistical Model for Monitoring Salinization in the Mekong Delta of Vietnam Using Remote Sensing Data and In-Situ Measurements. Proceedings 2018, 2, 565. [Google Scholar] [CrossRef]
- Chang, N.-B.; Bai, K.; Chen, C.-F. Integrating multisensor satellite data merging and image reconstruction in support of machine learning for better water quality management. J. Environ. Manag. 2017, 201, 227–240. [Google Scholar] [CrossRef]
- Vignolo, A.; Pochettino, A.; Cicerone, D. Water quality assessment using remote sensing techniques: Medrano Creek, Argentina. J. Environ. Manag. 2006, 81, 429–433. [Google Scholar] [CrossRef] [PubMed]
- Ferdous, J.; Rahman, M.T.U.; Ghosh, S.K. Detection of total dissolved solids from Landsat 8 OLI image in coastal Bangladesh. In Proceedings of the 3rd International Conference on Climate Change, San Francisco, CA, USA, 28–30 July 2018; pp. 35–44. [Google Scholar]
- Ferdous, J.; Rahman, M.T.U. Applicability of Landsat TM Images to Detect Soil Salinity of Coastal Areas in Bangladesh. In Conference of the Arabian Journal of Geosciences; Springer: Berlin/Heidelberg, Germany, 2019; pp. 219–221. [Google Scholar]
- Lamghari Moubarrad, F.-Z.; Assobhei, O. The health effects of wastewater on the prevalence of ascariasis among the children of the discharge zone of El Jadida, Morocco. Int. J. Environ. Health Res. 2005, 15, 135–142. [Google Scholar] [CrossRef]
- Quan, Q.; Gao, S.; Shang, Y.; Wang, B. Assessment of the sustainability of Gymnocypris eckloni habitat under river damming in the source region of the Yellow River. Sci. Total Environ. 2021, 778, 146312. [Google Scholar] [CrossRef]
- Oxford, M. Remote sensing of suspended sediments in surface waters. Photogramm. Eng. Remote Sens 1976, 42, 1539–1545. [Google Scholar]
- Chen, Z.; Liu, Z.; Yin, L.; Zheng, W. Statistical analysis of regional air temperature characteristics before and after dam construction. Urban Clim. 2022, 41, 101085. [Google Scholar] [CrossRef]
- City-Facts. Palm Jumeirah, Dubai, United Arab Emirates. Available online: https://www.city-facts.com/palm-jumeirah-dubai-united-arab-emirates (accessed on 18 December 2021).
- NAKHEEL. PALM JUMEIRAH. Available online: https://www.nakheel.com/nakheel-palm-jumeirah.html (accessed on 18 December 2021).
- El Amrousi, M.; Elhakeem, M.; Paleologos, E. Building on Water: The Use of Satellite Images to Track Urban Changes and Hydrodynamic Models to Simulate Flow Patterns Around Artificial Islands. In International Conference on Intelligent Human Systems Integration; Springer: Berlin/Heidelberg, Germany, 2019; pp. 363–369. [Google Scholar]
- NAKHEEL. WHO WE ARE. Available online: https://www.nakheel.com/nakheel-who-we-are.html (accessed on 18 December 2021).
- Jong, R.d.; Lindo, M.H.; Saeed, S.A.; Vrijhof, J. Execution methodology for reclamation works Palm Island 1. Terra Aqua 2003, 92, 14–25. [Google Scholar]
- Ritchie, J.C.; Zimba, P.V.; Everitt, J.H. Remote sensing techniques to assess water quality. Photogramm. Eng. Remote Sens. 2003, 69, 695–704. [Google Scholar] [CrossRef]
- Hernandez-Baquero, E.D. Characterization of the Earth’s Surface and Atmosphere from Multispectral and Hyperspectral Thermal Imagery; Air Force Inst of Tech Wright-Pattersonafb oh School of Engineering, Defense Technical Information Center: Rochester, NY, USA, 2000. [Google Scholar]
- Johnson, B.; Young, S.J. In-Scene Atmospheric Compensation: Application to SEBASS Data Collected at the ARM Site; Space and Environment Technology Center, the Aerospace Corporation: Segundo, CA, USA, 1998. [Google Scholar]
- Trisakti, B.; Sulma, S.; Budhiman, S. Study of sea surface temperature (SST) using Landsat-7 ETM (In Comparison with sea surface temperature of NOAA-12 AVHRR). In Proceedings of the 13th Workshop of OMISAR (WOM-13) on Validation and Application of Satellite Data for Marine Resources Conservation, Denpasar, Indonesia, 5–9 October 2004; pp. 7–10. Available online: https://www.researchgate.net/publication/301808555_Study_of_Sea_Surface_Temperature_SST_using_Landsat-7_ETM_In_Comparison_with_Sea_Surface_Temperature_of_NOAA-12_AVHRR (accessed on 5 February 2022).
- Petrenko, B.; Ignatov, A.; Kihai, Y.; Heidinger, A. Clear-sky mask for the advanced clear-sky processor for oceans. J. Atmos. Ocean. Technol. 2010, 27, 1609–1623. [Google Scholar] [CrossRef]
- Cayula, J.-F.P.; May, D.A.; McKenzie, B.D.; Willis, K.D. VIIRS-derived SST at the Naval Oceanographic Office: From evaluation to operation. In Proceedings of Ocean Sensing and Monitoring V; International Society for Optics and Photonics: Bellingham, WA, USA, 2013; p. 87240S. [Google Scholar]
- McBride, W.; Arnone, R.; Cayula, J.-F. Improvements of satellite SST retrievals at full swath. In Proceedings of Ocean Sensing and Monitoring V; International Society for Optics and Photonics: Bellingham, WA, USA, 2013; p. 87240R. [Google Scholar]
- Marsouin, A.; Le Borgne, P.; Legendre, G.; Péré, S.; Roquet, H. Six years of OSI-SAF METOP-A AVHRR sea surface temperature. Remote Sens. Environ. 2015, 159, 288–306. [Google Scholar] [CrossRef]
- McMillin, L.M. Estimation of sea surface temperatures from two infrared window measurements with different absorption. J. Geophys. Res. 1975, 80, 5113–5117. [Google Scholar] [CrossRef]
- Bernstein, R. Sea surface temperature estimation using the NOAA 6 satellite advanced very high resolution radiometer. J. Geophys. Res. Ocean. 1982, 87, 9455–9465. [Google Scholar] [CrossRef]
- McMillin, L.; Crosby, D. Theory and validation of the multiple window sea surface temperature technique. J. Geophys. Res. Ocean. 1984, 89, 3655–3661. [Google Scholar] [CrossRef]
- McClain, E.P.; Pichel, W.G.; Walton, C.C. Comparative performance of AVHRR-based multichannel sea surface temperatures. J. Geophys. Res. Ocean. 1985, 90, 11587–11601. [Google Scholar] [CrossRef]
- Kang, K.-M.; Kim, S.H.; Kim, D.-j.; Cho, Y.-K.; Lee, S.-H. Comparison of coastal sea surface temperature derived from ship-, air-, and space-borne thermal infrared systems. In Proceedings of the 2014 IEEE Geoscience and Remote Sensing Symposium, Quebec City, QC, Canada, 13–18 July 2014; pp. 4419–4422. [Google Scholar]
- Syariz, M.; Jaelani, L.; Subehi, L.; Pamungkas, A.; Koenhardono, E.; Sulisetyono, A. Retrieval of sea surface temperature over Poteran Island water of Indonesia with Landsat 8 TIRS image: A preliminary algorithm. Int. Arch. Photogramm. Remote Sens. Spat. Inf. Sci. 2015, 40, 87. [Google Scholar] [CrossRef]
- Snyder, J.; Boss, E.; Weatherbee, R.; Thomas, A.C.; Brady, D.; Newell, C. Oyster aquaculture site selection using Landsat 8-Derived Sea surface temperature, turbidity, and chlorophyll a. Front. Mar. Sci. 2017, 4, 190. [Google Scholar] [CrossRef]
- Rozenstein, O.; Qin, Z.; Derimian, Y.; Karnieli, A. Derivation of land surface temperature for Landsat-8 TIRS using a split window algorithm. Sensors 2014, 14, 5768–5780. [Google Scholar] [CrossRef] [PubMed]
- Yu, X.; Guo, X.; Wu, Z. Land surface temperature retrieval from Landsat 8 TIRS—Comparison between radiative transfer equation-based method, split window algorithm and single channel method. Remote Sens. 2014, 6, 9829–9852. [Google Scholar] [CrossRef]
- Aleskerova, A.; Kubryakov, A.; Stanichny, S. A two-channel method for retrieval of the Black Sea surface temperature from Landsat-8 measurements. Izv. Atmos. Ocean. Phys. 2016, 52, 1155–1161. [Google Scholar] [CrossRef]
- Bayat, F.; Hasanlou, M. Feasibility study of landsat-8 imagery for retrieving sea surface temperature (case study persian gulf). Int. Arch. Photogramm. Remote Sens. Spat. Inf. Sci. 2016, 41, 1107–1110. [Google Scholar] [CrossRef]
- Cahyono, A.B.; Saptarini, D.; Pribadi, C.B.; Armono, H.D. Estimation of Sea Surface Temperature (SST) Using Split Window Methods for Monitoring Industrial Activity in Coastal Area. In Applied Mechanics and Materials; Trans Tech Publications Ltd.: Freienbach, Switzerland, 2017; pp. 90–95. [Google Scholar]
- Jaelani, L.M.; Alfatinah, A. Sea surface temperature mapping at medium scale using Landsat 8-TIRS satellite image. IPTEK J. Proc. Ser. 2017, 3. [Google Scholar] [CrossRef]
- Jiménez-Muñoz, J.C.; Sobrino, J.A.; Skoković, D.; Mattar, C.; Cristóbal, J. Land surface temperature retrieval methods from Landsat-8 thermal infrared sensor data. IEEE Geosci. Remote Sens. Lett. 2014, 11, 1840–1843. [Google Scholar] [CrossRef]
- Xufeng, X.; Yang, L.; Wentong, D.; Zhonglin, W.; Lianlong, Z.; Zhen, S.; Huang, M. An algorithm to inverse sea surface temperatures at offshore water by employing Landsat 8/TIRS Data. In Proceedings of the 36th Asian Conference on Remote Sensing, Metro Manila, Philippines, 19–23 October 2015; pp. 4504–4511. [Google Scholar]
- Jang, J.-C.; Park, K. High-resolution sea surface temperature retrieval from Landsat 8 OLI/TIRS data at coastal regions. Remote Sens. 2019, 11, 2687. [Google Scholar] [CrossRef]
- CustomWeather. Annual Weather Averages Near Jumeirah Beach. Available online: https://www.timeanddate.com/weather/@7535569/climate (accessed on 8 February 2022).
- Gitelson, A.; Merzlyak, M.N. Quantitative estimation of chlorophyll-a using reflectance spectra: Experiments with autumn chestnut and maple leaves. J. Photochem. Photobiol. B Biol. 1994, 22, 247–252. [Google Scholar] [CrossRef]
- Gitelson, A.A.; Merzlyak, M.N. Remote estimation of chlorophyll content in higher plant leaves. Int. J. Remote Sens. 1997, 18, 2691–2697. [Google Scholar] [CrossRef]
- Elhag, M.; Gitas, I.; Othman, A.; Bahrawi, J.; Gikas, P. Assessment of water quality parameters using temporal remote sensing spectral reflectance in arid environments, Saudi Arabia. Water 2019, 11, 556. [Google Scholar] [CrossRef]
- Lacaux, J.; Tourre, Y.; Vignolles, C.; Ndione, J.; Lafaye, M. Classification of ponds from high-spatial resolution remote sensing: Application to Rift Valley Fever epidemics in Senegal. Remote Sens. Environ. 2007, 106, 66–74. [Google Scholar] [CrossRef]
- Schalles, J.F.; Schiebe, F.R.; Starks, P.J. Estimation of Algal and Suspended Sediment Loads (Singly and Combined) Using Hyperspectral Sensors and Integrated Mesocosm Experiments; Environmental Research Institute of Michigan: Ann Arbor, MI, USA, 1997. [Google Scholar]
- Nakheel PJSC. PALM JUMEIRAH. Available online: https://www.nakheel.com/en/our-communities/nakheel-palm-jumeirah-interesting-facts (accessed on 8 February 2022).
- Aburumman, A.A. COVID-19 impact and survival strategy in business tourism market: The example of the UAE MICE industry. Humanit. Soc. Sci. Commun. 2020, 7, 141. [Google Scholar] [CrossRef]
- Syed, A.; Zhang, J.; Moniruzzaman, M.; Rousta, I.; Omer, T.; Ying, G.; Olafsson, H. Situation of Urban Mobility in Pakistan: Before, during, and after the COVID-19 Lockdown with Climatic Risk Perceptions. Atmosphere 2021, 12, 1190. [Google Scholar] [CrossRef]
- Asna-ashary, M.; Farzanegan, M.R.; Feizi, M.; Sadati, S.M. COVID-19 Outbreak and Air Pollution in Iran: A Panel VAR Analysis; Joint Discussion Paper Series in Economics; Philipps-University Marburg, School of Business and Economics: Marburg, Germany, 2020. [Google Scholar]
- Ju, M.J.; Oh, J.; Choi, Y.-H. Changes in air pollution levels after COVID-19 outbreak in Korea. Sci. Total Environ. 2021, 750, 141521. [Google Scholar] [CrossRef] [PubMed]
- Wang, H.; Luo, Q. Can a colonial legacy explain the pollution haven hypothesis? A city-level panel analysis. Struct. Chang. Econ. Dyn. 2022, 60, 482–495. [Google Scholar] [CrossRef]









| Sensor | Scene ID | Acquisition Date | Acquisition Time (GMT) | Cloud Cover (%) |
|---|---|---|---|---|
| Landsat-7 ETM+ | LE07_L1TP_160043_20010826_20200917_02_T1 | 26 September 2001 | 06:35:19 | 0 |
| Landsat-8 OLI/TIRS | LC08_L1TP_160043_20140822_20200911_02_T1 | 22 September 2014 | 06:46:38 | 0.5 |
| LC08_L1TP_160043_20160827_20200906_02_T1 | 20 August 2016 | 06:46:43 | 0 | |
| LC08_L1TP_159035_20190914_20190917_01_T1 | 14 September 2019 | 06:46:43 | 0 | |
| LC08_L1TP_160043_20200806_20200916_02_T1 | 06 September 2020 | 06:46:32 | 2.8 |
| Symbol | Constant (watts/m2·str·µm) |
|---|---|
| K1 | 1282.71 |
| K2 | 1282.71 |
| Symbol | Coefficient |
|---|---|
| a1 | 0.9767 |
| a2 | 1.8362 |
| a3 | 0.0699 |
| Air Temperature | Wind Speed | Humidity | |
|---|---|---|---|
| R2 | 0/12 | 0/21 | 0/12 |
| p-Value | 0/65 | 0/54 | 0/71 |
| Significance F | 0/65 | 0/54 | 0/71 |
| Rate | Symbol | R2 (%) |
|---|---|---|
| 1 | GNDVI-SST | 80.76 * |
| 2 | NDTI-GBR | 36.08 |
| 3 | GNDVI-NDTI | 44.81 |
| 4 | NDTI-SST | 40.77 |
| 5 | GNDVI-GBR | 16.61 |
| 6 | SST-GBR | 11.7 |
Publisher’s Note: MDPI stays neutral with regard to jurisdictional claims in published maps and institutional affiliations. |
© 2022 by the authors. Licensee MDPI, Basel, Switzerland. This article is an open access article distributed under the terms and conditions of the Creative Commons Attribution (CC BY) license (https://creativecommons.org/licenses/by/4.0/).
Share and Cite
Mansourmoghaddam, M.; Ghafarian Malamiri, H.R.; Rousta, I.; Olafsson, H.; Zhang, H. Assessment of Palm Jumeirah Island’s Construction Effects on the Surrounding Water Quality and Surface Temperatures during 2001–2020. Water 2022, 14, 634. https://doi.org/10.3390/w14040634
Mansourmoghaddam M, Ghafarian Malamiri HR, Rousta I, Olafsson H, Zhang H. Assessment of Palm Jumeirah Island’s Construction Effects on the Surrounding Water Quality and Surface Temperatures during 2001–2020. Water. 2022; 14(4):634. https://doi.org/10.3390/w14040634
Chicago/Turabian StyleMansourmoghaddam, Mohammad, Hamid Reza Ghafarian Malamiri, Iman Rousta, Haraldur Olafsson, and Hao Zhang. 2022. "Assessment of Palm Jumeirah Island’s Construction Effects on the Surrounding Water Quality and Surface Temperatures during 2001–2020" Water 14, no. 4: 634. https://doi.org/10.3390/w14040634
APA StyleMansourmoghaddam, M., Ghafarian Malamiri, H. R., Rousta, I., Olafsson, H., & Zhang, H. (2022). Assessment of Palm Jumeirah Island’s Construction Effects on the Surrounding Water Quality and Surface Temperatures during 2001–2020. Water, 14(4), 634. https://doi.org/10.3390/w14040634

