Observation Experiment of Wind-Driven Rain Harvesting from a Building Wall
Abstract
1. Introduction
2. WDR and Its Estimation
3. Observation Settings
3.1. Observation of WDR
3.2. Observation of WDR Harvesting
4. Validation of the Observed Data
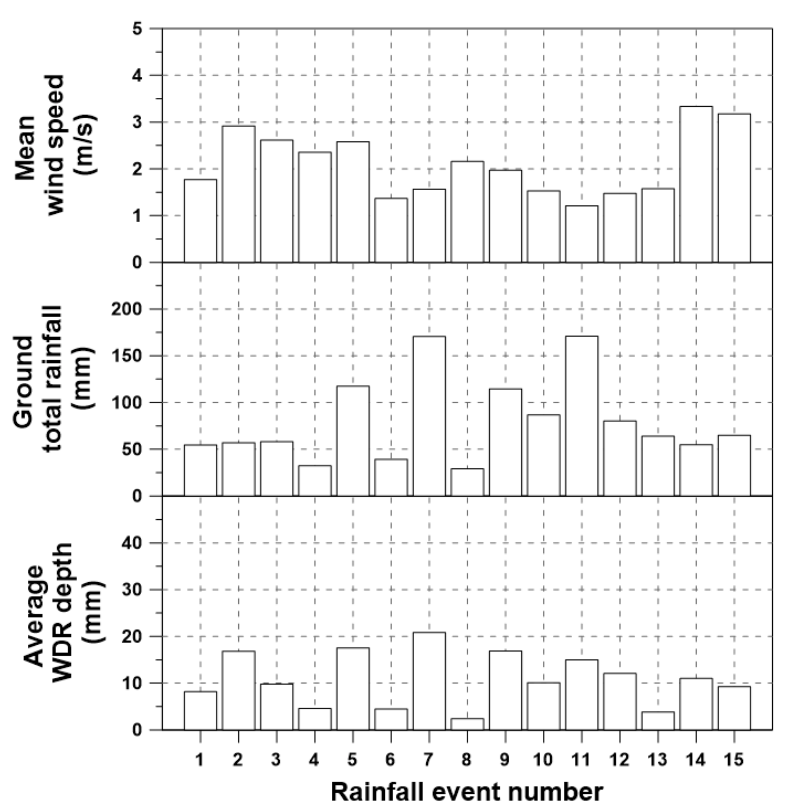
4.1. Rainfall Data
4.2. Wind Speed Data
5. Results
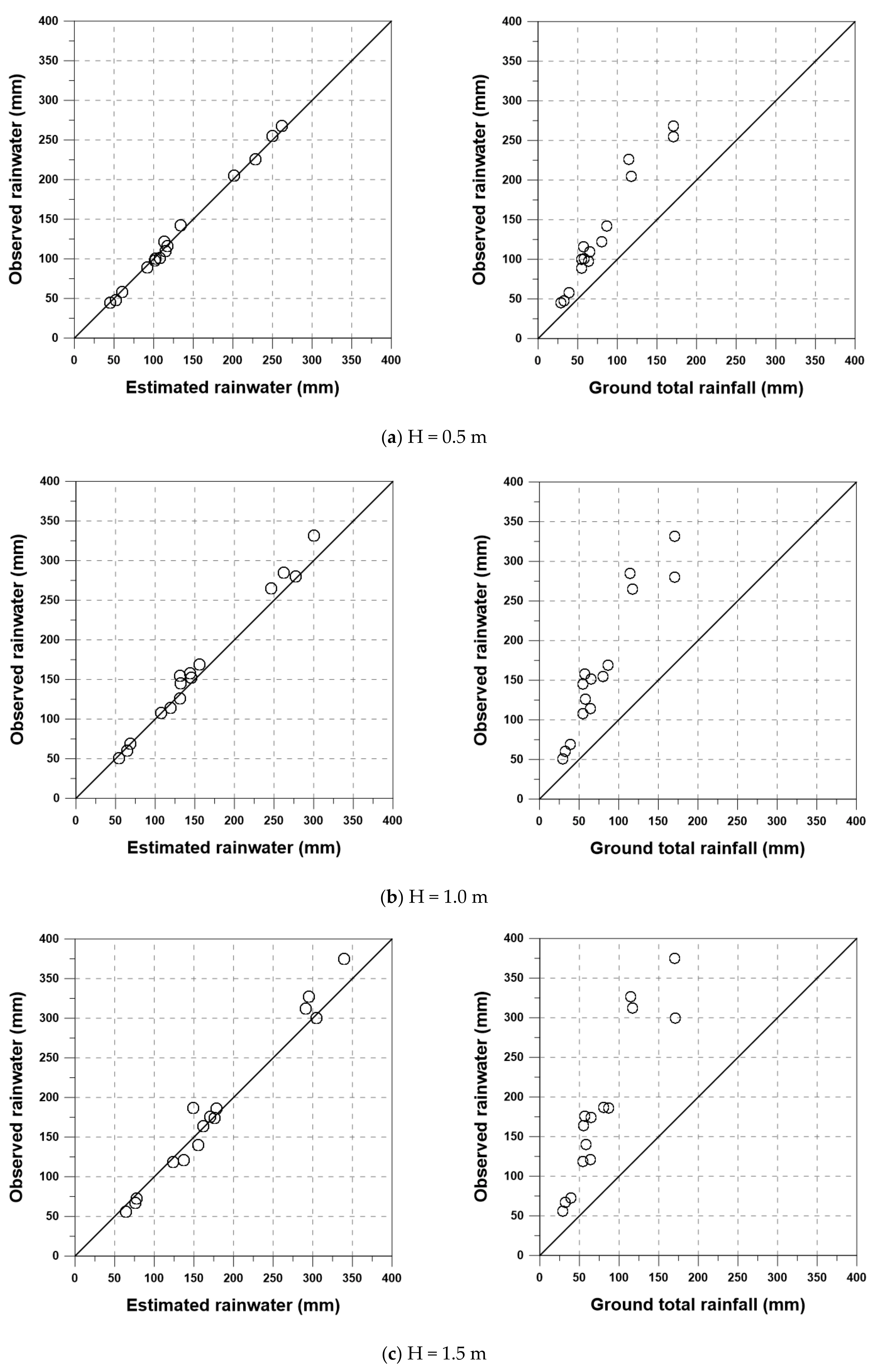
5.1. WDR vs. Ground Rain
5.2. WDR Harvesting from the Building Wall
6. Discussion
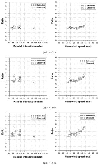
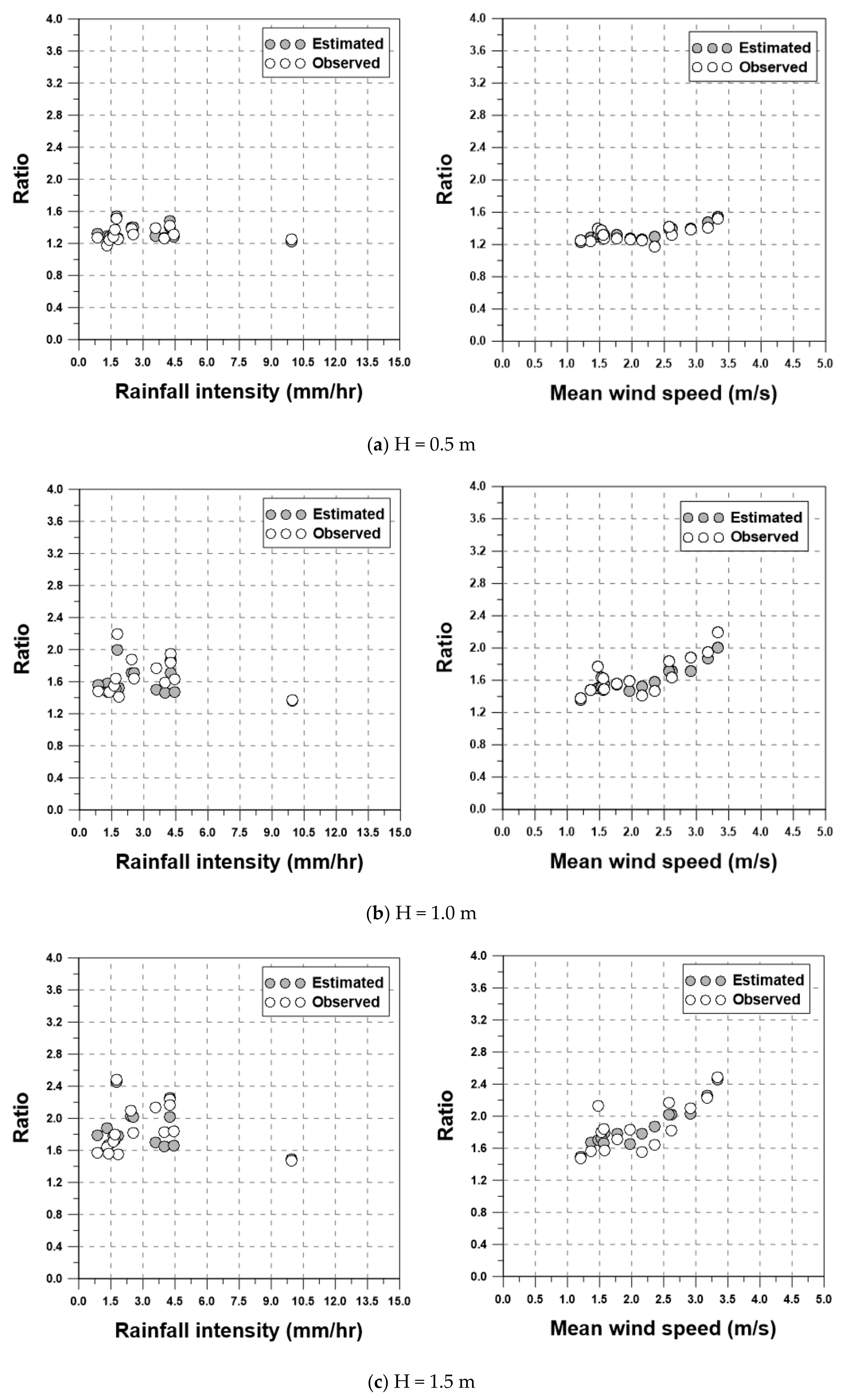
6.1. On the Validation of the Empirical Equation
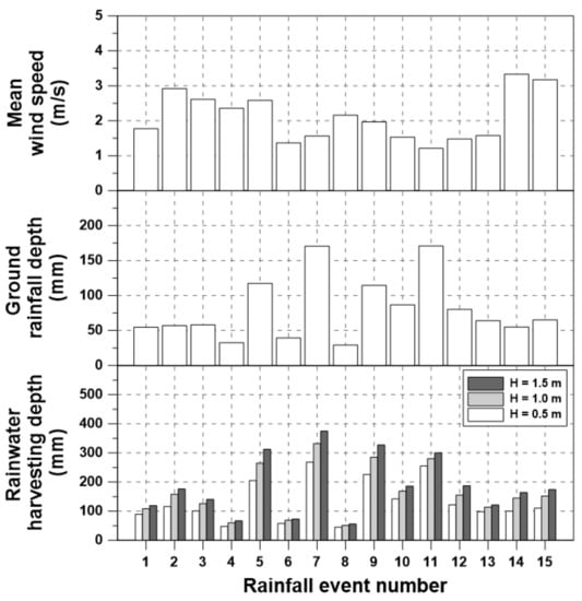
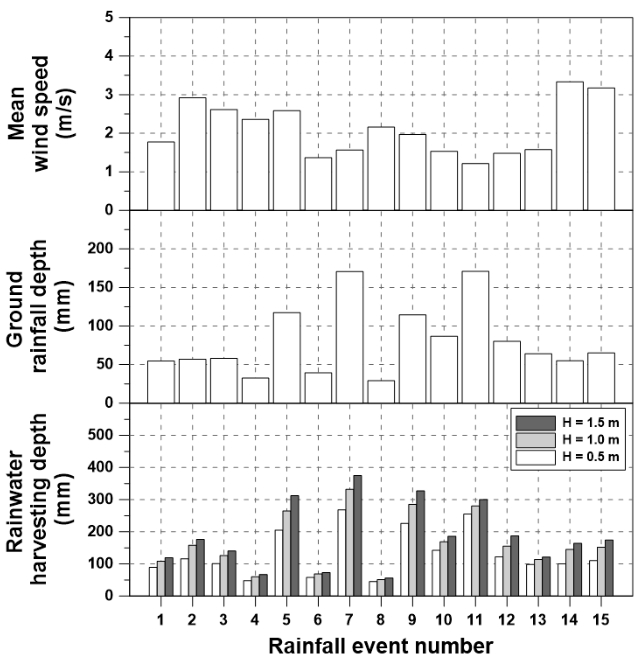
6.2. Effect of Rainfall Intensity, Wind Speed, and Building Height on the Amount of Harvested Rainwater
7. Summary and Conclusions
Author Contributions
Funding
Institutional Review Board Statement
Informed Consent Statement
Data Availability Statement
Conflicts of Interest
References
- Mays, L.; Antoniou, G.P.; Angelakis, A.N. History of water cisterns: Legacies and lessons. Water 2013, 5, 1916–1940. [Google Scholar] [CrossRef]
- Lee, K.E.; Mokhtar, M.; Hanafiah, M.M.; Halim, A.A.; Badusah, J. Rainwater harvesting as an alternative water resource in Malaysia: Potential, policies and development. J. Clean. Prod. 2016, 126, 218–222. [Google Scholar] [CrossRef]
- Tamaddun, K.; Kalra, A.; Ahmad, S. Potential of rooftop rainwater harvesting to meet outdoor water demand in arid regions. J. Arid Land 2018, 10, 68–83. [Google Scholar] [CrossRef]
- Hatibu, N.; Mutabazi, K.; Senkondo, E.; Msangi, A. Economics of rainwater harvesting for crop enterprises in semi-arid areas of East Africa. Agric. Water Manag. 2006, 80, 74–86. [Google Scholar] [CrossRef]
- Shadeed, S.; Lange, J. Rainwater harvesting to alleviate water scarcity in dry conditions: A case study in Faria Catchment, Palestine. Water Sci. Eng. 2010, 3, 132–143. [Google Scholar] [CrossRef]
- Moges, G.; Hengsdijk, H.; Jansen, H. Review and quantitative assessment of ex situ household rainwater harvesting systems in Ethiopia. Agric. Water Manag. 2011, 98, 1215–1227. [Google Scholar] [CrossRef]
- Ennenbach, M.W.; Concha Larrauri, P.; Lall, U. County-scale rainwater harvesting feasibility in the United States: Climate, collection area, density, and reuse considerations. J. Am. Water Resour. Assoc. 2018, 54, 255–274. [Google Scholar] [CrossRef]
- Ghisi, E.; Montibeller, A.; Schmidt, R.W. Potential for potable water savings by using rainwater: An analysis over 62 cities in southern Brazil. Build. Environ. 2006, 41, 204–210. [Google Scholar] [CrossRef]
- Mitchell, V.G.; McCarthy, D.T.; Deletic, A.; Fletcher, T.D. Urban stormwater harvesting–sensitivity of a storage behaviour model. Environ. Model. Softw. 2008, 23, 782–793. [Google Scholar] [CrossRef]
- Akter, A.; Ahmed, S. Potentiality of rainwater harvesting for an urban community in Bangladesh. J. Hydrol. 2015, 528, 84–93. [Google Scholar] [CrossRef]
- Castonguay, A.C.; Urich, C.; Iftekhar, M.S.; Deletic, A. Modelling urban water management transitions: A case of rainwater harvesting. Environ. Model. Softw. 2018, 105, 270–285. [Google Scholar] [CrossRef]
- Abdulla, F.A.; Al-Shareef, A. Roof rainwater harvesting systems for household water supply in Jordan. Desalination 2009, 243, 195–207. [Google Scholar] [CrossRef]
- Eroksuz, E.; Rahman, A. Rainwater tanks in multi-unit buildings: A case study for three Australian cities. Resour. Conserv. Recy. 2010, 54, 1449–1452. [Google Scholar] [CrossRef]
- Ibrahim, M.B. Rainwater harvesting for urban areas: A success story from Gadarif City in Central Sudan. Water Resour. Manag. 2009, 23, 2727–2736. [Google Scholar] [CrossRef]
- Mahmoud, W.H.; Elagib, N.A.; Gaese, H.; Heinrich, J. Rainfall conditions and rainwater harvesting potential in the urban area of Khartoum. Resour. Conserv. Recy. 2014, 91, 89–99. [Google Scholar] [CrossRef]
- Mouli, T.; Krupavathi, K.; Rao, C.S.G. Urban rooftop area assessment for estimation of rooftop rainwater-harvesting potential. Int. J. Agric. Environ. Biotechnol. 2020, 13, 275–283. [Google Scholar] [CrossRef]
- Mehrabadi, M.H.R.; Saghafian, B.; Fashi, F.H. Assessment of residential rainwater harvesting efficiency for meeting non-potable water demands in three climate conditions. Resour. Conserv. Recy. 2013, 73, 86–93. [Google Scholar] [CrossRef]
- Gado, T.A.; El-Agha, D.E. Feasibility of rainwater harvesting for sustainable water management in urban areas of Egypt. Environ. Sci. Pollut. Res. 2020, 27, 32304–32317. [Google Scholar] [CrossRef] [PubMed]
- Helmreich, B.; Horn, H. Opportunities in rainwater harvesting. Desalination 2009, 248, 118–124. [Google Scholar] [CrossRef]
- Farreny, R.; Morales-Pinzón, T.; Guisasola, A.; Tayà, C.; Rieradevall, J.; Gabarrell, X. Roof selection for rainwater harvesting: Quantity and quality assessments in Spain. Water Res. 2011, 45, 3245–3254. [Google Scholar] [CrossRef]
- Moniruzzaman, M.; Imteaz, M.A. Generalized equations, climatic and spatial variabilities of potential rainwater savings: A case study for Sydney. Resour. Conserv. Recy. 2017, 125, 139–156. [Google Scholar] [CrossRef]
- Sturm, M.; Zimmermann, M.; Schütz, K.; Urban, W.; Hartung, H. Rainwater harvesting as an alternative water resource in rural sites in central northern Namibia. Phys. Chem. Earth 2009, 34, 776–785. [Google Scholar] [CrossRef]
- Zhang, Q.; Wang, X.; Hou, P.; Wan, W.; Li, R.; Ren, Y.; Ouyang, Z. Quality and seasonal variation of rainwater harvested from concrete, asphalt, ceramic tile and green roofs in Chongqing, China. J. Environ. Manag. 2014, 132, 178–187. [Google Scholar] [CrossRef] [PubMed]
- De Gouvello, B.; Gerolin, A.; Le Nouveau, N. Rainwater harvesting in urban areas: How can foreign experiences enhance the French approach? Water Sci. Technol. Water Supply 2014, 14, 569–576. [Google Scholar] [CrossRef][Green Version]
- Fricano, R.J.; Grass, A.K. Evaluating American rainwater harvesting policy: A case study of three US cities. J. Sustain. Dev. 2014, 7, 133. [Google Scholar] [CrossRef]
- Schuetze, T. Rainwater harvesting and management–policy and regulations in Germany. Water Sci. Technol. Water Supply 2013, 13, 376–385. [Google Scholar] [CrossRef]
- Lehmann, S. Low carbon districts: Mitigating the urban heat island with green roof infrastructure. City Cult. Soc. 2014, 5, 1–8. [Google Scholar] [CrossRef]
- Heidarinejad, G.; Esmaili, A. Numerical simulation of the dual effect of green roof thermal performance. Energy Convers. Manag. 2015, 106, 1418–1425. [Google Scholar] [CrossRef]
- Qin, X.; Wu, X.; Chiew, Y.; Li, Y. A green roof test bed for stormwater management and reduction of urban heat island effect in Singapore. Br. J. Environ. Clim. Chang. 2012, 2, 410–420. [Google Scholar] [CrossRef] [PubMed]
- Shafique, M.; Kim, R.; Rafiq, M. Green roof benefits, opportunities and challenges–A review. Renew. Sust. Energ. Rev. 2018, 90, 757–773. [Google Scholar] [CrossRef]
- Kim, E.; Jung, J.; Hapsari, G.; Kang, S.; Kim, K.; Yoon, S.; Lee, M.; Han, M.; Choi, Y.; Choe, J.K. Economic and environmental sustainability and public perceptions of rooftop farm versus extensive garden. Build. Environ. 2018, 146, 206–215. [Google Scholar] [CrossRef]
- Taib, N.; Ali, Z.; Abdullah, A.; Yeok, F.S.; Prihatmanti, R. The performance of different ornamental plant species in transitional spaces in urban high-rise settings. Urban For. Urban Green. 2019, 43, 126393. [Google Scholar] [CrossRef]
- Zhang, G.; He, B.-J.; Dewancker, B.J. The maintenance of prefabricated green roofs for preserving cooling performance: A field measurement in the subtropical city of Hangzhou, China. Sustain. Cities Soc. 2020, 61, 102314. [Google Scholar] [CrossRef]
- Monteiro, C.M.; Calheiros, C.S.; Pimentel-Rodrigues, C.; Silva-Afonso, A.; Castro, P.M. Contributions to the design of rainwater harvesting systems in buildings with green roofs in a Mediterranean climate. Water Sci. Technol. 2016, 73, 1842–1847. [Google Scholar] [CrossRef] [PubMed]
- Pimentel-Rodrigues, C.; Silva-Afonso, A. Determination of runoff coefficients with a view to integration of green roofs with rainwater harvesting systems. Int. J. Environ. Sci. 2017, 2, 366–372. [Google Scholar]
- Almeida, A.P.; Liberalesso, T.; Silva, C.M.; Sousa, V. Dynamic modelling of rainwater harvesting with green roofs in university buildings. J. Clean. Prod. 2021, 312, 127655. [Google Scholar]
- Ward, S.; Memon, F.; Butler, D. Performance of a large building rainwater harvesting system. Water Res. 2012, 46, 5127–5134. [Google Scholar] [CrossRef] [PubMed]
- Hashim, H.; Hudzori, A.; Yusop, Z.; Ho, W. Simulation based programming for optimization of large-scale rainwater harvesting system: Malaysia case study. Resour. Conserv. Recy. 2013, 80, 1–9. [Google Scholar] [CrossRef]
- van Dijk, S.; Lounsbury, A.W.; Hoekstra, A.Y.; Wang, R. Strategic design and finance of rainwater harvesting to cost-effectively meet large-scale urban water infrastructure needs. Water Res. 2020, 184, 116063. [Google Scholar] [CrossRef] [PubMed]
- Cho, E.; Yoo, C.; Kang, M.; Song, S.-u.; Kim, S. Experiment of wind-driven-rain measurement on building walls and its in-situ validation. Build. Environ. 2020, 185, 107269. [Google Scholar] [CrossRef]
- Feitosa, R.C.; Wilkinson, S.J. Attenuating heat stress through green roof and green wall retrofit. Build. Environ. 2018, 140, 11–22. [Google Scholar] [CrossRef]
- Manso, M.; Teotónio, I.; Silva, C.M.; Cruz, C.O. Green roof and green wall benefits and costs: A review of the quantitative evidence. Renew. Sust. Energ. Rev. 2021, 135, 110111. [Google Scholar] [CrossRef]
- Lee, L.S.; Jim, C.Y. Transforming thermal-radiative study of a climber green wall to innovative engineering design to enhance building-energy efficiency. J. Clean. Prod. 2019, 224, 892–904. [Google Scholar] [CrossRef]
- Weinmaster, M. Are green walls as “green” as they look? An introduction to the various technologies and ecological benefits of green walls. J. Green Build. 2009, 4, 3–18. [Google Scholar] [CrossRef]
- Prenner, F.; Pucher, B.; Zluwa, I.; Pitha, U.; Langergraber, G. Rainwater Use for Vertical Greenery Systems: Development of a Conceptual Model for a Better Understanding of Processes and Influencing Factors. Water 2021, 13, 1860. [Google Scholar] [CrossRef]
- Jurga, A.; Pacak, A.; Pandelidis, D.; Kaźmierczak, B. A Long-Term Analysis of the Possibility of Water Recovery for Hydroponic Lettuce Irrigation in an Indoor Vertical Farm. Part 2: Rainwater Harvesting. Appl. Sci. 2021, 11, 310. [Google Scholar] [CrossRef]
- Samzadeh, M.; Din, N.C.; Abdullah, Z.; Mahyuddin, N.; Ismail, M.A. Feasibility of Vertical Rainwater Harvesting via In-situ Measurement of Wind-driven Rain Loads on Building Facades in a Tropical Climate. Int. J. Built Environ. Sustain. 2021, 8, 27–45. [Google Scholar] [CrossRef]
- Straube, J.; Burnett, E. Simplified prediction of driving rain on buildings. In Proceedings of the International Building Physics Conference; Eindhoven University of Technology Eindhoven: Eindhoven, The Netherlands, 2000. [Google Scholar]
- ISO. Hygrothermal Performance of Buildings–Calculation and Presentation of Climatic Data–Part 3: Calculation of a Driving Rain Index for Vertical Surfaces from Hourly wind and Rain Data; European Committee for Standardization: Bruxelles, Belgium, 2009. [Google Scholar]
- Lacy, R.E. Driving rain maps and the onslaught of rain on buildings. In Proceedings of the RILEM/CIB Symposium on Moisture Problems in Buildings, Helsinki, Finland, 16–18 August 1965. [Google Scholar]
- Hens, H.; Ali Mohamed, F. Preliminary Results on Driving Rain Estimation; T2-B-94/02: Contribution to the IEA annex 24, Task 2—Environmental conditions; International Energy Agency: Paris, France, 1994. [Google Scholar]
- Flori, J.-P. Influence des Conditions Climatiques sur le Mouillage et le Sechage d’une Facade Verticale; Cahiers du CSTB: Paris, France, 1992. [Google Scholar]
- Beijer, O.; Johansson, A. Driving Rain against Externall Walls of Concrete [Slagregn mot Betongfasader]; Swedish Cement and Concrete Research Institute at the Institute of Technology: Stockholm, Sweden, 1977. [Google Scholar]
- Blocken, B.; Carmeliet, J. A simplified numerical model for rainwater runoff on building facades: Possibilities and limitations. Build. Environ. 2012, 53, 59–73. [Google Scholar] [CrossRef]
- Kubilay, A.; Derome, D.; Blocken, B.; Carmeliet, J. Numerical simulations of wind-driven rain on an array of low-rise cubic buildings and validation by field measurements. Build. Environ. 2014, 81, 283–295. [Google Scholar] [CrossRef]
- Fang, A.; Chen, Y.; Wu, L. Modeling and numerical investigation for hygrothermal behavior of porous building envelope subjected to the wind driven rain. Energy Build. 2021, 231, 110572. [Google Scholar] [CrossRef]
- Briggen, P.; Blocken, B.; Schellen, H. Wind-driven rain on the facade of a monumental tower: Numerical simulation, full-scale validation and sensitivity analysis. Build. Environ. 2009, 44, 1675–1690. [Google Scholar] [CrossRef]
- Van den Brande, T.; Blocken, B.; Roels, S. Wind-driven rain and runoff on a medium-rise building: Experimental and numerical analysis. In Proceedings of the 10th Nordic Symposium on Building Physics, Lund, Sweden, 15–19 June 2014. [Google Scholar]
- Wang, X.; Li, Q.; Li, J. Field measurements and numerical simulations of wind-driven rain on a low-rise building during typhoons. J. Wind Eng. Ind. Aerod. 2020, 204, 104274. [Google Scholar] [CrossRef]
- Choi, E.C. Numerical simulation of wind-driven rain falling onto a 2-D building. In Proceedings of the Asian Pacific Conference on Computational Mechanics, Hong Kong, China, 11–13 December 1991. [Google Scholar]
- Choi, E.C. Simulation of wind-driven-rain around a building. J. Wind Eng. Ind. Aerod. 1993, 46, 721–729. [Google Scholar] [CrossRef]
- Choi, E.C. Determination of wind-driven-rain intensity on building faces. J. Wind Eng. Ind. Aerod. 1994, 51, 55–69. [Google Scholar] [CrossRef]
- Pérez-Bella, J.M.; Domínguez-Hernández, J.; Cano-Suñén, E.; del Coz-Díaz, J.J.; Alonso-Martínez, M. Global analysis of building façade exposure to water penetration in Chile. Build. Environ. 2013, 70, 284–297. [Google Scholar] [CrossRef]
- Pérez-Bella, J.M.; Domínguez-Hernández, J.; Cano-Suñén, E.; Martínez-Martínez, J.E.; del Coz-Díaz, J.J. Avoiding the need to directionally determine the exposure to rainwater penetration for façade designs. Build. Environ. 2020, 176, 106850. [Google Scholar] [CrossRef]
- Pérez-Bella, J.M.; Domínguez-Hernández, J.; Rodríguez-Soria, B.; Del Coz-Díaz, J.J.; Cano-Suñén, E. Estimation of the exposure of buildings to driving rain in Spain from daily wind and rain data. Build. Environ. 2012, 57, 259–270. [Google Scholar] [CrossRef]
- Raychev, J.; Kinaneva, D.; Hristov, G.; Zahariev, P.; Staevska, G. Investigating the Possibilities of Integrating Cloud Weather Data into Existing Applications. In Proceedings of the 2019 27th National Conference with International Participation (TELECOM), Sofia, Bulgaria, 30–31 October 2019. [Google Scholar]
















| # | Starting Time | Ending Time | Mean Rainfall Intensity (mm/h) | Total Rainfall Depth (mm) | Rainfall Duration (h) | ||
|---|---|---|---|---|---|---|---|
| Rain Gauge | BloomSky | Rain Gauge | BloomSky | ||||
| 1 | 2020-06-24 18:55 | 2020-06-26 04:36 | 1.6 | 0.8 | 54.7 | 26.4 | 33.7 |
| 2 | 2020-06-29 22:13 | 2020-06-30 21:28 | 2.5 | 2.7 | 57.0 | 61.8 | 23.3 |
| 3 | 2020-07-13 06:15 | 2020-07-14 04:57 | 2.6 | 1.9 | 58.1 | 42.8 | 22.7 |
| 4 | 2020-07-19 08:49 | 2020-07-20 09:25 | 1.3 | 0.1 | 32.4 | 3.4 | 24.6 |
| 5 | 2020-07-23 08:15 | 2020-07-24 11:46 | 4.3 | 3.6 | 117.4 | 98.6 | 27.5 |
| 6 | 2020-07-29 01:10 | 2020-07-30 05:00 | 1.4 | 1.3 | 39.3 | 35.8 | 27.8 |
| 7 | 2020-08-01 23:13 | 2020-08-03 13:42 | 4.4 | 3.3 | 170.5 | 127.2 | 38.5 |
| 8 | 2020-08-03 15:44 | 2020-08-04 07:30 | 1.8 | 1.8 | 29.1 | 28.0 | 15.8 |
| 9 | 2020-08-05 06:24 | 2020-08-06 11:02 | 4.0 | 3.8 | 114.5 | 108.4 | 28.6 |
| 10 | 2020-08-08 12:38 | 2020-08-10 15:59 | 1.7 | 2.0 | 86.8 | 100.8 | 51.4 |
| 11 | 2020-08-10 16:00 | 2020-08-11 09:11 | 9.9 | 8.0 | 170.8 | 137.8 | 17.2 |
| 12 | 2020-08-21 21:26 | 2020-08-22 19:52 | 3.6 | 4.1 | 80.2 | 91.4 | 22.4 |
| 13 | 2020-08-27 21:47 | 2020-08-30 22:35 | 0.9 | 0.9 | 64.0 | 63.2 | 72.8 |
| 14 | 2020-09-02 15:37 | 2020-09-03 22:51 | 1.8 | 2.2 | 55.0 | 68.2 | 31.2 |
| 15 | 2020-09-07 09:01 | 2020-09-08 00:15 | 4.3 | 2.2 | 65.0 | 33.4 | 15.2 |
| # | Starting Time | Ending Time | AWS Wind Speed | BloomSky Wind Speed | ||
|---|---|---|---|---|---|---|
| Mean (m/s) | Standard Deviation (m/s) | Mean (m/s) | Standard Deviation (m/s) | |||
| 1 | 2020-06-24 18:55 | 2020-06-26 04:36 | 1.80 | 1.13 | 1.77 | 0.96 |
| 2 | 2020-06-29 22:13 | 2020-06-30 21:28 | 2.36 | 1.54 | 2.91 | 1.76 |
| 3 | 2020-07-13 06:15 | 2020-07-14 04:57 | 2.01 | 1.08 | 2.61 | 1.06 |
| 4 | 2020-07-19 08:49 | 2020-07-20 09:25 | 2.35 | 1.43 | 2.36 | 1.08 |
| 5 | 2020-07-23 08:15 | 2020-07-24 11:46 | 2.20 | 1.63 | 2.57 | 1.81 |
| 6 | 2020-07-29 01:10 | 2020-07-30 05:00 | 1.57 | 1.07 | 1.35 | 0.80 |
| 7 | 2020-08-01 23:13 | 2020-08-03 13:42 | 1.92 | 1.24 | 1.62 | 1.38 |
| 8 | 2020-08-03 15:44 | 2020-08-04 07:30 | 2.00 | 1.39 | 1.98 | 1.50 |
| 9 | 2020-08-05 06:24 | 2020-08-06 11:02 | 2.39 | 1.56 | 2.01 | 1.32 |
| 10 | 2020-08-08 12:38 | 2020-08-10 15:59 | 1.62 | 1.20 | 1.52 | 0.99 |
| 11 | 2020-08-10 16:00 | 2020-08-11 09:11 | 1.53 | 1.11 | 1.20 | 0.91 |
| 12 | 2020-08-21 21:26 | 2020-08-22 19:52 | 1.52 | 1.10 | 1.38 | 0.96 |
| 13 | 2020-08-27 21:47 | 2020-08-30 22:35 | 1.76 | 1.58 | 1.55 | 1.44 |
| 14 | 2020-09-02 15:37 | 2020-09-03 22:51 | 3.18 | 1.98 | 3.30 | 1.84 |
| 15 | 2020-09-07 09:01 | 2020-09-08 00:15 | 3.32 | 1.72 | 3.18 | 1.65 |
| Height of the WDR Harvesting Gauge (m) | Measured Rainwater | Estimated Rainwater | ||
|---|---|---|---|---|
| Mean (mm) | Standard Deviation (mm) | Mean (mm) | Standard Deviation (mm) | |
| 0.5 | 132.2 | 72.6 | 137.3 | 71.4 |
| 1.0 | 164.6 | 87.4 | 165.7 | 81.8 |
| 1.5 | 185.1 | 99.9 | 194.2 | 92.7 |
Publisher’s Note: MDPI stays neutral with regard to jurisdictional claims in published maps and institutional affiliations. |
© 2022 by the authors. Licensee MDPI, Basel, Switzerland. This article is an open access article distributed under the terms and conditions of the Creative Commons Attribution (CC BY) license (https://creativecommons.org/licenses/by/4.0/).
Share and Cite
Yoo, C.; Cho, E.; Lee, M.; Kim, S. Observation Experiment of Wind-Driven Rain Harvesting from a Building Wall. Water 2022, 14, 603. https://doi.org/10.3390/w14040603
Yoo C, Cho E, Lee M, Kim S. Observation Experiment of Wind-Driven Rain Harvesting from a Building Wall. Water. 2022; 14(4):603. https://doi.org/10.3390/w14040603
Chicago/Turabian StyleYoo, Chulsang, Eunsaem Cho, Munseok Lee, and Soeun Kim. 2022. "Observation Experiment of Wind-Driven Rain Harvesting from a Building Wall" Water 14, no. 4: 603. https://doi.org/10.3390/w14040603
APA StyleYoo, C., Cho, E., Lee, M., & Kim, S. (2022). Observation Experiment of Wind-Driven Rain Harvesting from a Building Wall. Water, 14(4), 603. https://doi.org/10.3390/w14040603

