Comparison of Three Techniques to Adjust Daily Precipitation Biases from Regional Climate Models over Germany
Abstract
:1. Introduction
2. Data and Methods
2.1. Data
2.2. Bias Correction Techniques
2.2.1. Linear Scaling
- Raw modeled precipitation estimate, in mm/day, at time in the validation period;
- Corrected modeled precipitation estimate, in mm/day, at time in the validation period;
- Seasonal mean of the observed precipitation estimate, in mm/day, during the training period;
- Seasonal mean of the modeled precipitation estimate, in mm/day, during the training period.
2.2.2. Empirical Quantile Mapping
- Observed CDF from the observational data in the training period;
- Modeled CDF from the simulated data in the training period.
2.2.3. Quantile Delta Mapping
- The non-exceedance probability (ranging from 0 to 1) of the projected value at a given time in the validation/forecast period;
- Inverse CDF of the simulated value during the historical/training period for the original values;
- Relative change signal in the simulated quantiles.
2.2.4. Multivariate Quantile Mapping
- (1)
- Apply orthogonal rotation to the 3 precipitation data sets respectively (i.e., the observed and simulated data in the training period, and the simulated precipitation data in the validation period). The rotation aims to (i) obtain a linear combination of the covariates and; (ii) obtain a uniform multivariate distribution that allows convergence between the simulated and observed multivariate distributions. Here the variables that are rotated to obtain the uniform multivariate distribution are grid points that covary over time.
- (2)
- Match the simulated multivariate distribution (i.e., from the RCM) to fit the target multivariate distribution (i.e., from the observed precipitation) using QDM.
- (3)
- Apply inverse rotation to the matched multivariate distribution in step (2).
2.3. Metrics Used to Validate the Bias Correction Techniques
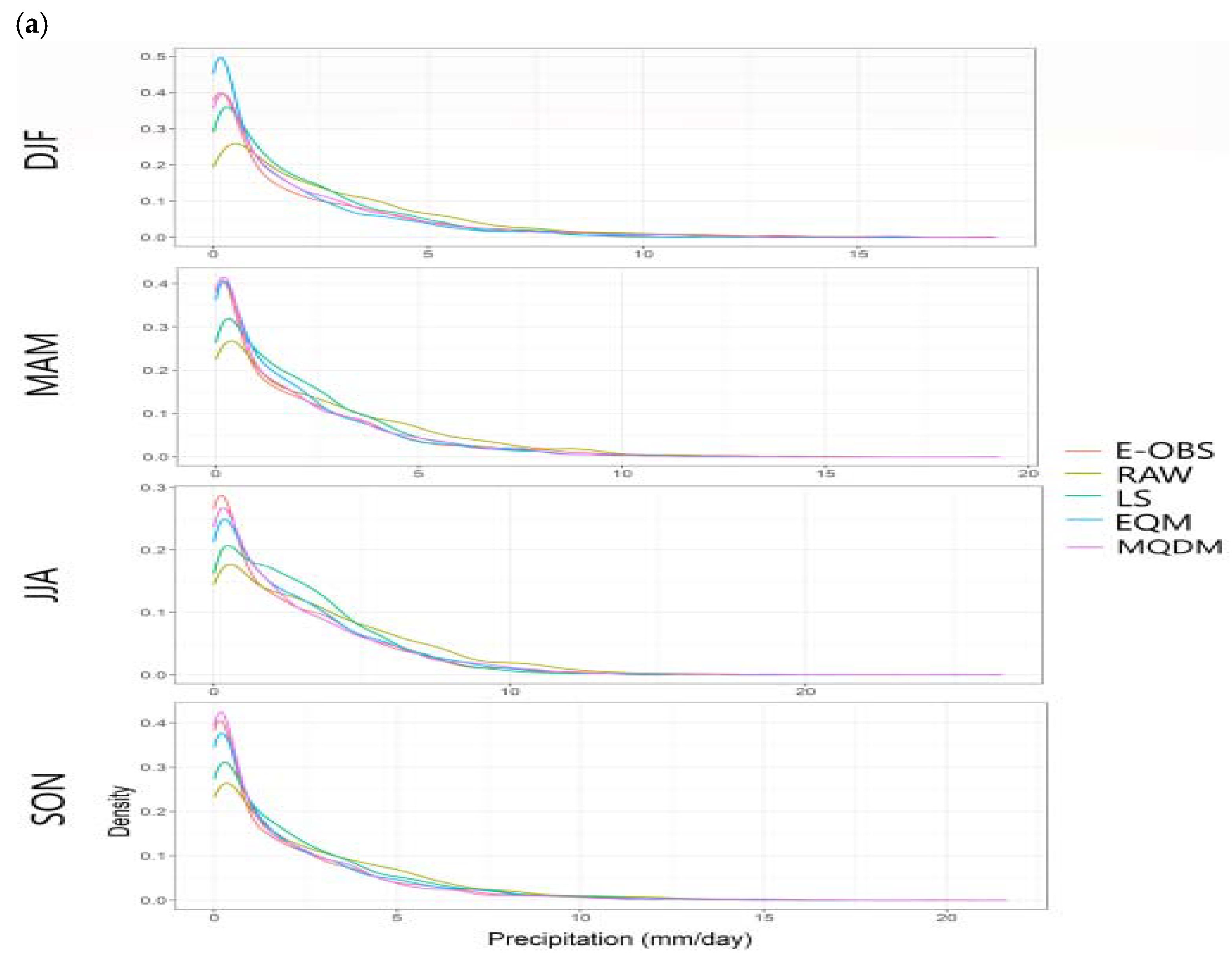
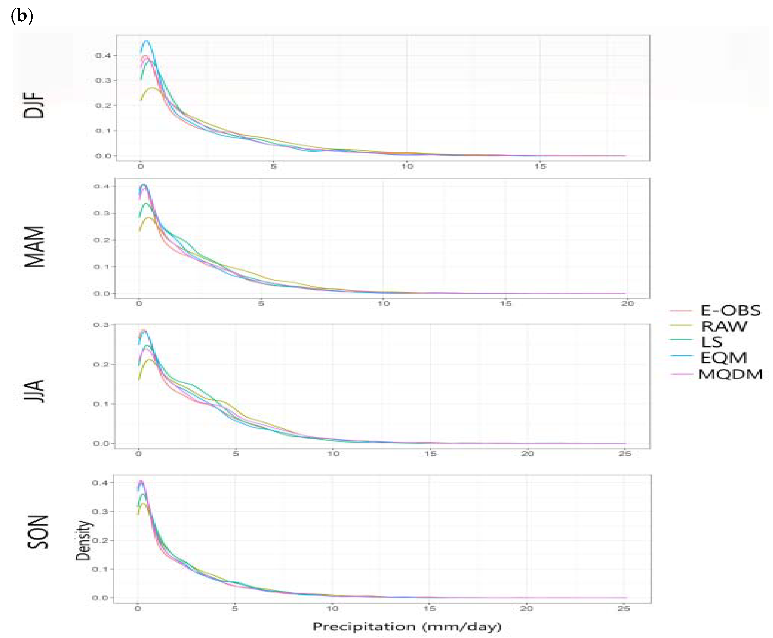
3. Results and Discussion
3.1. Evaluation of Simulated Precipitation from Uncorrected RCMs
3.2. Relative Performance of the Bias Correction Techniques
4. Conclusions and Outlook
Author Contributions
Funding
Institutional Review Board Statement
Informed Consent Statement
Data Availability Statement
Conflicts of Interest
Appendix A



References
- Kotlarski, S.; Keuler, K.; Christensen, O.B.; Colette, A.; Déqué, M.; Gobiet, A.; Goergen, K.; Jacob, D.; Lüthi, D.; van Meijgaard, E.; et al. Regional climate modeling on European scales: A joint standard evaluation of the EURO-CORDEX RCM ensemble. Geosci. Model Dev. 2014, 7, 1297–1333. [Google Scholar] [CrossRef] [Green Version]
- Paeth, H.; Born, K.; Podzun, R.; Jacob, D. Regional dynamical downscaling over West Africa: Model evaluation and comparison of wet and dry years. Meteorol. Z. 2005, 14, 349–367. [Google Scholar] [CrossRef]
- Paeth, H.; Born, K.; Girmes, R.; Podzun, R.; Jacob, D. Regional Climate Change in Tropical and Northern Africa due to Greenhouse Forcing and Land Use Changes. J. Clim. 2009, 22, 114–132. [Google Scholar] [CrossRef] [Green Version]
- Fowler, H.J.; Blenkinsop, S.; Tebaldi, C. Linking climate change modelling to impacts studies: Recent advances in downscaling techniques for hydrological modelling. Int. J. Clim. 2007, 27, 1547–1578. [Google Scholar] [CrossRef]
- Maraun, D.; Wetterhall, F.; Ireson, A.M.; Chandler, R.E.; Kendon, E.J.; Widmann, M.; Brienen, S.; Rust, H.W.; Sauter, T.; Themeßl, M.; et al. Precipitation downscaling under climate change: Recent developments to bridge the gap between dynamical models and the end user. Rev. Geophys. 2010, 48. [Google Scholar] [CrossRef]
- Eden, J.M.; Widmann, M.; Grawe, D.; Rast, S. Skill, Correction, and Downscaling of GCM-Simulated Precipitation. J. Clim. 2012, 25, 3970–3984. [Google Scholar] [CrossRef] [Green Version]
- Maraun, D.; Widmann, M. The representation of location by regional climate models in complex terrain. Hydrol. Earth Syst. Sci. Discuss. 2015, 12, 3011–3028. [Google Scholar] [CrossRef] [Green Version]
- Gutiérrez, J.M.; Maraun, D.; Widmann, M.; Huth, R.; Hertig, E.; Benestad, R.; Roessler, O.; Wibig, J.; Wilcke, R.; Kotlarski, S.; et al. An intercomparison of a large ensemble of statistical downscaling methods over Europe: Results from the VALUE perfect predictor cross-validation experiment. Int. J. Clim. 2018, 39, 3750–3785. [Google Scholar] [CrossRef]
- Paeth, H.; Girmes, R.; Menz, G.; Hense, A. Improving Seasonal Forecasting in the Low Latitudes. Mon. Weather Rev. 2006, 134, 1859–1879. [Google Scholar] [CrossRef]
- Paeth, H. Postprocessing of simulated precipitation for impact research in West Africa. Part I: Model output statistics for monthly data. Clim. Dyn. 2011, 36, 1321–1336. [Google Scholar] [CrossRef]
- Paeth, H.; Diederich, M. Postprocessing of simulated precipitation for impact research in West Africa. Part II: A weather generator for daily data. Clim. Dyn. 2011, 36, 1337–1348. [Google Scholar] [CrossRef]
- Chen, J.; Brissette, F.P.; Chaumont, D.; Braun, M. Finding appropriate bias correction methods in downscaling precipitation for hydrologic impact studies over North America. Water Resour. Res. 2013, 49, 4187–4205. [Google Scholar] [CrossRef]
- Dosio, A.; Paruolo, P.; Rojas, R. Bias correction of the ENSEMBLES high resolution climate change projections for use by impact models: Analysis of the climate change signal. J. Geophys. Res. Earth Surf. 2012, 117. [Google Scholar] [CrossRef] [Green Version]
- Cannon, A.J.; Sobie, S.R.; Murdock, T.Q. Bias Correction of GCM Precipitation by Quantile Mapping: How Well Do Methods Preserve Changes in Quantiles and Extremes? J. Clim. 2015, 28, 6938–6959. [Google Scholar] [CrossRef]
- Maurer, E.P.; Pierce, D.W. Bias correction can modify climate model simulated precipitation changes without adverse effect on the ensemble mean. Hydrol. Earth Syst. Sci. 2014, 18, 915–925. [Google Scholar] [CrossRef] [Green Version]
- Wood, A.; Leung, L.R.; Sridhar, V.; Lettenmaier, D.P. Hydrologic Implications of Dynamical and Statistical Approaches to Downscaling Climate Model Outputs. Clim. Chang. 2004, 62, 189–216. [Google Scholar] [CrossRef]
- Bürger, G.; Sobie, S.R.; Cannon, A.; Werner, A.T.; Murdock, T.Q. Downscaling Extremes: An Intercomparison of Multiple Methods for Future Climate. J. Clim. 2013, 26, 3429–3449. [Google Scholar] [CrossRef]
- Willkofer, F.; Schmid, F.-J.; Komischke, H.; Korck, J.; Braun, M.; Ludwig, R. The impact of bias correcting regional climate model results on hydrological indicators for Bavarian catchments. J. Hydrol. Reg. Stud. 2018, 19, 25–41. [Google Scholar] [CrossRef]
- Lenderink, G.; van Ulden, A.; Hurk, B.V.D.; Keller, F. A study on combining global and regional climate model results for generating climate scenarios of temperature and precipitation for the Netherlands. Clim. Dyn. 2007, 29, 157–176. [Google Scholar] [CrossRef] [Green Version]
- Berg, P.; Feldmann, H.; Panitz, H.-J. Bias correction of high resolution regional climate model data. J. Hydrol. 2012, 448–449, 80–92. [Google Scholar] [CrossRef]
- Rocheta, E.; Evans, J.; Sharma, A. Assessing atmospheric bias correction for dynamical consistency using potential vorticity. Environ. Res. Lett. 2014, 9, 124010. [Google Scholar] [CrossRef]
- Nelsen, R.B. An Introduction to Copulas, 2nd ed.; Springer: Berlin, Germany, 2006. [Google Scholar] [CrossRef]
- Mao, G.; Vogl, S.; Laux, P.; Wagner, S.; Kunstmann, H. Stochastic bias correction of dynamically downscaled precipitation fields for Germany through Copula-based integration of gridded observation data. Hydrol. Earth Syst. Sci. 2015, 19, 1787–1806. [Google Scholar] [CrossRef] [Green Version]
- Maity, R.; Suman, M.; Laux, P.; Kunstmann, H. Bias Correction of Zero-Inflated RCM Precipitation Fields: A Copula-Based Scheme for Both Mean and Extreme Conditions. J. Hydrometeorol. 2019, 20, 595–611. [Google Scholar] [CrossRef]
- Cannon, A.J. Multivariate quantile mapping bias correction: An N-dimensional probability density function transform for climate model simulations of multiple variables. Clim. Dyn. 2017, 50, 31–49. [Google Scholar] [CrossRef] [Green Version]
- Jacob, D.; Petersen, J.; Eggert, B.; Alias, A.; Christensen, O.B.; Bouwer, L.M.; Braun, A.; Colette, A.; Déqué, M.; Georgievski, G.; et al. EURO-CORDEX: New high-resolution climate change projections for European impact research. Reg. Environ. Chang. 2014, 14, 563–578. [Google Scholar] [CrossRef]
- Popke, D.; Stevens, B.; Voigt, A. Climate and climate change in a radiative-convective equilibrium version of ECHAM6. J. Adv. Modeling Earth Syst. 2013, 5, 1–14. [Google Scholar] [CrossRef]
- Cornes, R.C.; Van Der Schrier, G.; van den Besselaar, E.J.M.; Jones, P.D. An Ensemble Version of the E-OBS Temperature and Precipitation Data Sets. J. Geophys. Res. Atmos. 2018, 123, 9391–9409. [Google Scholar] [CrossRef] [Green Version]
- Jones, P.W. First-and second-order conservative remapping schemes for grids in spherical coordinates. Mon. Weather Rev. 1999, 127, 2204–2210. [Google Scholar] [CrossRef]
- Teichmann, C.; Eggert, B.; Elizalde, A.; Haensler, A.; Jacob, D.; Kumar, P.; Moseley, C.; Pfeifer, S.; Rechid, D.; Remedio, A.R.; et al. How Does a Regional Climate Model Modify the Projected Climate Change Signal of the Driving GCM: A Study over Different CORDEX Regions Using REMO. Atmosphere 2013, 4, 214–236. [Google Scholar] [CrossRef] [Green Version]
- Feldmann, H.; Früh, B.; Schädler, G.; Panitz, H.-J.; Keuler, K.; Jacob, D.; Lorenz, P. Evaluation of the precipitation for South-western Germany from high resolution simulations with regional climate models. Meteorol. Z. 2008, 17, 455–465. [Google Scholar] [CrossRef]
- Ibebuchi, C. Patterns of atmospheric circulation in Western Europe linked to heavy rainfall in Germany: Preliminary analysis into the 2021 heavy rainfall episode. Theor. Appl. Climatol. 2022. [Google Scholar] [CrossRef]
- Fischer, S.; Schumann, A. Comparison between Classical Annual Maxima and Peak over Threshold Approach Concerning Robustness. 2014. Available online: https://eldorado.tu-dortmund.de/handle/2003/33522 (accessed on 20 December 2021).







| Data Set | MAE (Time) (mm/day) | MAE (Spatial) (mm/day) | Wet Day Bias (day/year) |
|---|---|---|---|
| CCLM4 (ERA-Interim) | 1.18 | 0.26 | 12 |
| CCLM4 (MPI-ESM) | 2.95 | 0.47 | 58 |
| REMO (ERA-Interim) | 1.40 | 0.62 | 18 |
| REMO (MPI-ESM) | 2.79 | 0.81 | 44 |
| RAW | LS | EQM | MQDM |
|---|---|---|---|
| CCLM4 | |||
| DJF | |||
| 0.64 | 0.10 * | 0.39 | 0.10 * |
| MAM | |||
| 0.63 | 0.13 * | 0.14 | 0.14 |
| JJA | |||
| 1.03 | 0.24 | 0.30 | 0.17 * |
| SON | |||
| 0.62 | 0.19 | 0.10 * | 0.21 |
| REMO | |||
| DJF | |||
| 0.82 | 0.08 * | 0.27 | 0.14 |
| MAM | |||
| 0.59 | 0.08 * | 0.20 | 0.13 |
| JJA | |||
| 0.70 | 0.11 * | 0.15 | 0.22 |
| SON | |||
| 0.51 | 0.09 * | 0.14 | 0.15 |
| Raw | LS | EQM | MQDM |
|---|---|---|---|
| CCLM4 | |||
| DJF | |||
| 0.41 | 0.87 ** | 0.55 ** | 0.25 * |
| MAM | |||
| 0.43 | 0.57 ** | 0.41 * | 0.42 |
| JJA | |||
| 0.72 | 0.73 ** | 0.42 * | 0.44 |
| SON | |||
| 0.48 | 0.49 ** | 0.39 * | 0.39 * |
| REMO | |||
| DJF | |||
| 1.04 | 0.44 | 0.45 | 0.32 * |
| MAM | |||
| 0.56 | 0.59 ** | 0.55 | 0.33 * |
| JJA | |||
| 0.74 | 0.80 ** | 0.42 * | 0.56 |
| SON | |||
| 0.70 | 0.39 * | 0.40 | 0.41 |
| Statistic | RAW | LS | EQM | MQDM |
|---|---|---|---|---|
| DJF | ||||
| Mean | 0.64 | 0.08 | 0.39 | 0.02 * |
| SD | 0.03 * | 0.68 | 0.56 | 0.18 * |
| Skweness | 0.42 | 0.43 ** | 0.08 | 0.05 * |
| Kurtosis | 1.77 | 1.73 | 0.85 | 0.44 * |
| MAM | ||||
| Mean | 0.63 | 0.13 | 0.12 | 0.10 * |
| SD | 0.17 * | 0.37 | 0.32 | 0.25 * |
| Skweness | 0.49 | 0.36 | 0.10 * | 0.22 |
| Kurtosis | 2.27 | 1.50 | 0.56 * | 1.31 |
| JJA | ||||
| Mean | 1.03 | 0.33 | 0.23 | 0.14 * |
| SD | 0.43 | 0.38 | 0.02 * | 0.06 |
| Skweness | 0.43 | 0.49 ** | 0.20 | 0.07 * |
| Kurtosis | 2.17 | 2.42 ** | 1.43 | 0.59 * |
| SON | ||||
| Mean | 0.59 | 0.18 | 0.01 * | 0.19 |
| SD | 0.12 * | 0.34 | 0.23 * | 0.37 |
| Skweness | 0.48 | 0.58 ** | 0.30 | 0.08 * |
| Kurtosis | 2.45 | 3.15 ** | 1.88 | 0.36 * |
| Statistic | RAW | LS | EQM | MQDM |
|---|---|---|---|---|
| DJF | ||||
| Mean | 0.58 | 0.00 * | 0.25 | 0.11 |
| SD | 0.07 * | 0.44 | 0.46 | 0.43 * |
| Skweness | 0.37 | 0.36 | 0.19 * | 0.22 |
| Kurtosis | 1.52 | 1.92 ** | 1.19 | 0.93 * |
| MAM | ||||
| Mean | 0.50 | 0.04 * | 0.19 | 0.04 * |
| SD | 0.05 * | 0.46 | 0.32 | 0.21 * |
| Skweness | 0.23 | 0.42 | 0.27 | 0.08 * |
| Kurtosis | 1.45 | 1.86 ** | 1.50 ** | 1.44 * |
| JJA | ||||
| Mean | 0.51 | 0.09 | 0.00 * | 0.30 |
| SD | 0.14 | 0.40 | 0.13 | 0.00 * |
| Skweness | 0.46 | 0.26 | 0.03 * | 0.26 |
| Kurtosis | 2.06 | 0.98 | 0.23 * | 0.98 |
| SON | ||||
| Mean | 0.24 | 0.04 ** | 0.13 | 0.10 |
| SD | 0.06 * | 0.33 | 0.39 | 0.20 * |
| Skweness | 0.20 | 0.38 ** | 0.38 ** | 0.02 * |
| Kurtosis | 0.57 | 2.08 ** | 2.22 ** | 0.45 * |
Publisher’s Note: MDPI stays neutral with regard to jurisdictional claims in published maps and institutional affiliations. |
© 2022 by the authors. Licensee MDPI, Basel, Switzerland. This article is an open access article distributed under the terms and conditions of the Creative Commons Attribution (CC BY) license (https://creativecommons.org/licenses/by/4.0/).
Share and Cite
Ibebuchi, C.C.; Schönbein, D.; Adakudlu, M.; Xoplaki, E.; Paeth, H. Comparison of Three Techniques to Adjust Daily Precipitation Biases from Regional Climate Models over Germany. Water 2022, 14, 600. https://doi.org/10.3390/w14040600
Ibebuchi CC, Schönbein D, Adakudlu M, Xoplaki E, Paeth H. Comparison of Three Techniques to Adjust Daily Precipitation Biases from Regional Climate Models over Germany. Water. 2022; 14(4):600. https://doi.org/10.3390/w14040600
Chicago/Turabian StyleIbebuchi, Chibuike Chiedozie, Daniel Schönbein, Muralidhar Adakudlu, Elena Xoplaki, and Heiko Paeth. 2022. "Comparison of Three Techniques to Adjust Daily Precipitation Biases from Regional Climate Models over Germany" Water 14, no. 4: 600. https://doi.org/10.3390/w14040600
APA StyleIbebuchi, C. C., Schönbein, D., Adakudlu, M., Xoplaki, E., & Paeth, H. (2022). Comparison of Three Techniques to Adjust Daily Precipitation Biases from Regional Climate Models over Germany. Water, 14(4), 600. https://doi.org/10.3390/w14040600

