Effects of Agriculture and Animal Husbandry on Heavy Metal Contamination in the Aquatic Environment and Human Health in Huangshui River Basin
Abstract
:1. Introduction
2. Materials and Methods
2.1. Study Area and Data Source
2.2. Sampling and Experimental Methods
2.3. PMF Model
2.4. HRA Method
2.5. Effects Calculation
3. Results
3.1. Descriptive Statistics
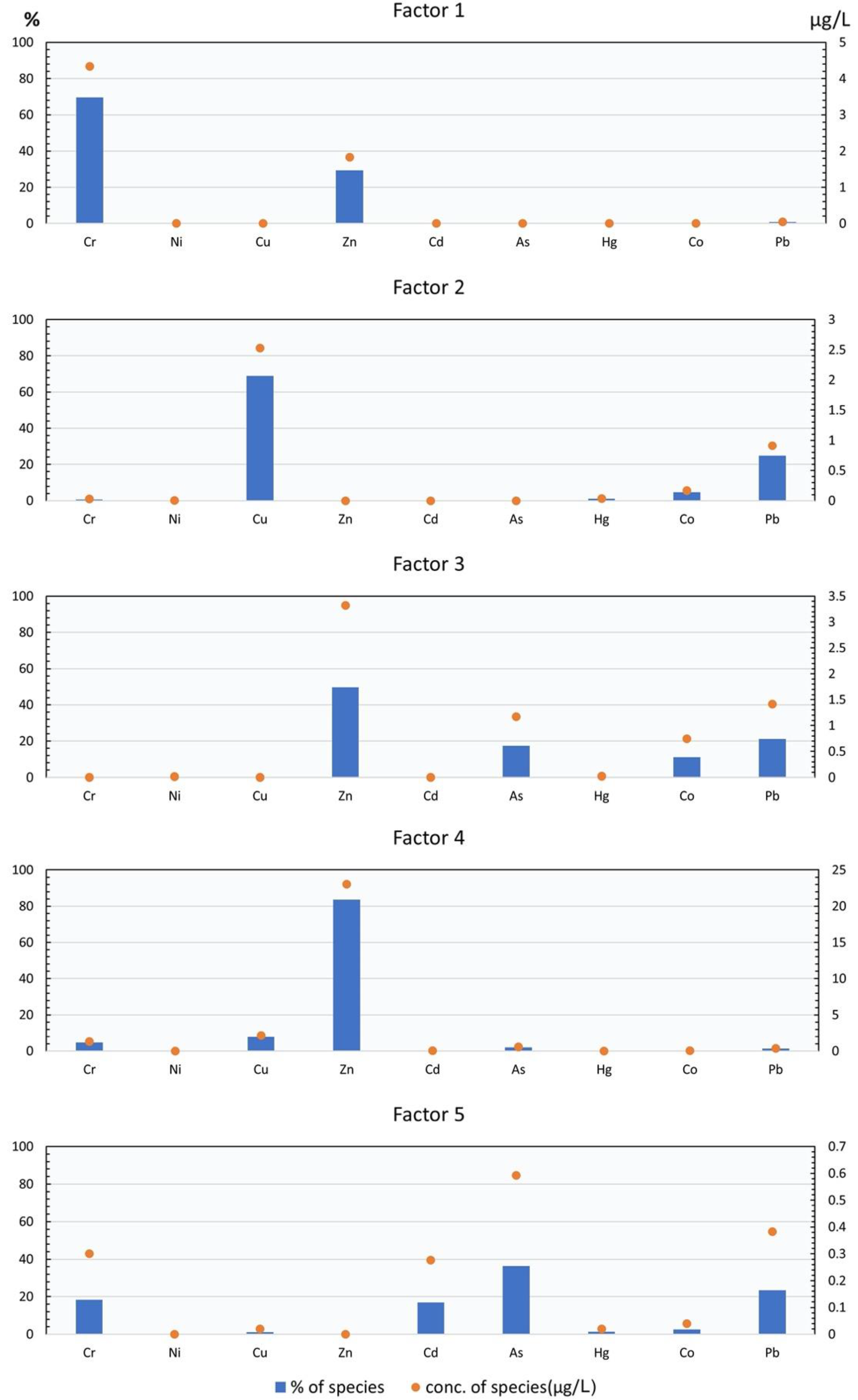
3.2. Source Apportionment
3.3. HRA Results
3.4. Effects Analysis
4. Discussion
4.1. Comparative Analysis
4.2. Limitations
5. Conclusions
Author Contributions
Funding
Institutional Review Board Statement
Informed Consent Statement
Data Availability Statement
Acknowledgments
Conflicts of Interest
References
- Keskin, T.E. Nitrate and heavy metal pollution resulting from agricultural activity: A case study from Eskipazar (Karabuk, Turkey). Environ. Earth Sci. 2010, 61, 703–721. [Google Scholar] [CrossRef]
- Sun, B.; Zhang, L.; Yang, L.; Zhang, F.; Norse, D.; Zhu, Z. Agricultural non-point source pollution in China: Causes and mitigation measures. Ambio 2012, 41, 370–379. [Google Scholar] [CrossRef] [PubMed] [Green Version]
- Yi, X.; Lin, D.; Li, J.; Zeng, J.; Wang, D.; Yang, F. Ecological treatment technology for agricultural non-point source pollution in remote rural areas of China. Environ. Sci. Pollut. Res. 2021, 28, 40075–40087. [Google Scholar] [CrossRef] [PubMed]
- Zhang, Q.; Zhang, X. Quantitative source apportionment and ecological risk assessment of heavy metals in soil of a grain base in Henan Province, China, using PCA, PMF modeling, and geostatistical techniques. Environ. Monit. Assess. 2021, 193, 655. [Google Scholar] [CrossRef] [PubMed]
- Li, Z.; Ma, Z.; van der Kuijp, T.J.; Yuan, Z.; Huang, L. A review of soil heavy metal pollution from mines in China: Pollution and health risk assessment. Sci. Total Environ. 2014, 468–469, 843–853. [Google Scholar] [CrossRef]
- Marković, M.; Cupać, S.; Durović, R.; Milinović, J.; Kljajić, P. Assessment of heavy metal and pesticide levels in soil and plant products from agricultural area of Belgrade, Serbia. Arch. Environ. Contam. Toxicol. 2010, 58, 341–351. [Google Scholar] [CrossRef]
- Jastrzębska, M.; Kostrzewska, M.K.; Saeid, A.; Jastrzębski, W.P. Do new-generation recycled phosphorus fertilizers increase the content of potentially toxic elements in soil and plants? Minerals 2021, 11, 999. [Google Scholar] [CrossRef]
- Wang, H.; Dong, Y.; Yang, Y.; Toor, G.S.; Zhang, X. Changes in heavy metal contents in animal feeds and manures in an intensive animal production region of China. J. Environ. Sci. (China) 2013, 25, 2435–2442. [Google Scholar] [CrossRef]
- Järup, L. Hazards of heavy metal contamination. Br. Med. Bull. 2003, 68, 167–182. [Google Scholar] [CrossRef] [Green Version]
- Chen, H.; Zheng, C.; Tu, C.; Zhu, Y.G. Heavy metal pollution in soils in China: Status and countermeasures. Ambio 1999, 28, 130–134. [Google Scholar] [CrossRef]
- Yang, L.; Ren, Q.; Zheng, K.; Jiao, Z.; Ruan, X.; Wang, Y. Migration of heavy metals in the soil-grape system and potential health risk assessment. Sci. Total Environ. 2021, 806, 150646. [Google Scholar] [CrossRef] [PubMed]
- Bi, B.; Liu, X.; Guo, X.; Lu, S. Occurrence and risk assessment of heavy metals in water, sediment, and fish from Dongting Lake, China. Environ. Sci. Pollut. Res. 2018, 25, 34076–34090. [Google Scholar] [CrossRef]
- Jia, Y.; Wang, L.; Qu, Z.; Yang, Z. Distribution, contamination and accumulation of heavy metals in water, sediments, and freshwater shellfish from Liuyang River, Southern China. Environ. Sci. Pollut. Res. 2018, 25, 7012–7020. [Google Scholar] [CrossRef] [PubMed]
- Imseng, M.; Wiggenhauser, M.; Müller, M. The Fate of Zn in Agricultural Soils: A Stable Isotope Approach to Anthropogenic Impact, Soil Formation, and Soil–Plant Cycling. Environ. Sci. Technol. 2019, 53, 4140–4149. [Google Scholar] [CrossRef] [PubMed]
- Yan, J.; Qu, Z.; Li, F.; Li, H. Heavy metals in the water environment of Yangtze River Economic Belt: Status, fuzzy environmental risk assessment and management. Urban Clim. 2021, 40, 100981. [Google Scholar] [CrossRef]
- Sun, C.; Zhang, Z.; Cao, H.; Xu, M.; Xu, L. Concentrations, speciation, and ecological risk of heavy metals in the sediment of the Songhua River in an urban area with petrochemical industries. Chemosphere 2019, 219, 538–545. [Google Scholar] [CrossRef]
- Nguyen, B.T.; Do, D.D.; Nguyen, T.X.; Nguyen, V.N.; Phuc Nguyen, D.T.; Nguyen, M.H.; Thi Truong, H.T.; Dong, H.P.; Le, A.H.; Bach, Q.V. Seasonal, spatial variation, and pollution sources of heavy metals in the sediment of the Saigon River, Vietnam. Environ. Pollut. 2020, 256, 113412. [Google Scholar] [CrossRef]
- Li, J.; Chen, Y.; Lu, H.; Zhai, W. Spatial distribution of heavy metal contamination and uncertainty-based human health risk in the aquatic environment using multivariate statistical method. Environ. Sci. Pollut. Res. 2021, 28, 22804–22822. [Google Scholar] [CrossRef]
- Martínez-Cortijo, J.; Ruiz-Canales, A. Effect of heavy metals on rice irrigated fields with waste water in high pH Mediterranean soils: The particular case of the Valencia area in Spain. Agric. Water Manag. 2018, 210, 108–123. [Google Scholar] [CrossRef]
- Saha, N.; Rahman, M.S.; Ahmed, M.B.; Zhou, J.L.; Ngo, H.H.; Guo, W. Industrial metal pollution in water and probabilistic assessment of human health risk. J. Environ. Manag. 2017, 185, 70–78. [Google Scholar] [CrossRef]
- Tepanosyan, G.; Sahakyan, L.; Belyaeva, O.; Asmaryan, S.; Saghatelyan, A. Continuous impact of mining activities on soil heavy metals levels and human health. Sci. Total Environ. 2018, 639, 900–909. [Google Scholar] [CrossRef] [PubMed]
- Lu, Y.; Song, S.; Wang, R.; Liu, Z.; Meng, J.; Sweetman, A.J.; Jenkins, A.; Ferrier, R.C.; Li, H.; Luo, W.; et al. Impacts of soil and water pollution on food safety and health risks in China. Environ. Int. 2015, 77, 5–15. [Google Scholar] [CrossRef] [PubMed] [Green Version]
- Swain, R.; Sahoo, B. Mapping of heavy metal pollution in river water at daily time-scale using spatio-temporal fusion of MODIS-aqua and Landsat satellite imageries. J. Environ. Manag. 2017, 192, 1–14. [Google Scholar] [CrossRef] [PubMed] [Green Version]
- Huang, Y.; Deng, M.; Wu, S.; Japenga, J.; Li, T.; Yang, X.; He, Z. A modified receptor model for source apportionment of heavy metal pollution in soil. J. Hazard. Mater. 2018, 354, 161–169. [Google Scholar] [CrossRef]
- Huang, Y.; Chen, Q.; Deng, M.; Japenga, J.; Li, T.; Yang, X.; He, Z. Heavy metal pollution and health risk assessment of agricultural soils in a typical peri-urban area in southeast China. J. Environ. Manag. 2018, 207, 159–168. [Google Scholar] [CrossRef]
- Muhammad, S.; Shah, M.T.; Khan, S. Health risk assessment of heavy metals and their source apportionment in drinking water of Kohistan region, northern Pakistan. Microchem. J. 2011, 98, 334–343. [Google Scholar] [CrossRef]
- Zhou, B.; Wang, H.; Zhang, Q. Assessment of the evolution of groundwater chemistry and its controlling factors in the Huangshui river basin of northwestern China, using hydrochemistry and multivariate statistical techniques. Int. J. Environ. Res. Public Health 2021, 18, 7551. [Google Scholar] [CrossRef]
- Zhang, X. Analysis of Water Pollution and Calculation of Ecological Compensation Standards in Huangshui River Basin Based on Ecological Footprint. J. Phys. Conf. Ser. 2020, 1533, 022070. [Google Scholar] [CrossRef]
- Dong, B.; Qin, T.; Wang, Y.; Zhao, Y.; Liu, S.; Feng, J.; Li, C.; Zhang, X. Spatiotemporal variation of nitrogen and phosphorus and its main influencing factors in Huangshui River basin. Environ. Monit. Assess. 2021, 193, 1–22. [Google Scholar] [CrossRef]
- Ministry of Agriculture, People’s Republic of China. Water-Soluble Fertilizers-Content-Limits of Mercury, Arsenic, Cadmium, Lead and Chromium (NY 1110-2010); Ministry of Agriculture: Beijing, China, 2010.
- State Administration of Quality Supervision and Inspection. Ecological Index of Arsenic, Cadmium, Lead, Chromium and Mercury for Fertilizers (GBT23349-2009); State Administration of Quality Supervision and Inspection, Standardization Administration Committee: Beijing, China, 2009.
- Liaoning Market Supervision Administration. Determination of Copper, Zinc, Iron, Manganese, Calcium, Phosphorus, Sodium, Magnesium, Lead, Chromium, Cadmium and Arsenic in Feeds Method Using Inductively Coupled Plasma Optical Emission Spectrometry(DB21/T3059-2018); Liaoning Market Supervision Administration: Liaoning, China, 2018.
- State Environmental Protection Administration. Technical Specifications Requirements for Monitoring of Surface Water and Waste Water (HJ/T91-2002); State Environmental Protection Administration: Beijing, China, 2002.
- State Environmental Protection Administration. Ministry of Environmental Protection Enviromental Quality Standards for Surface Water (GB3838-2002); State Environmental Protection Administration; State Administration of Quality Supervision and Inspection: Beijing, China, 2002.
- Wang, J.; Yu, D.; Wang, Y.; Du, X.; Li, G.; Li, B.; Zhao, Y.; Wei, Y.; Xu, S. Source analysis of heavy metal pollution in agricultural soil irrigated with sewage in Wuqing, Tianjin. Sci. Rep. 2021, 11, 17816. [Google Scholar] [CrossRef]
- Lu, A.; Wang, J.; Qin, X.; Wang, K.; Han, P.; Zhang, S. Multivariate and geostatistical analyses of the spatial distribution and origin of heavy metals in the agricultural soils in Shunyi, Beijing, China. Sci. Total Environ. 2012, 425, 66–74. [Google Scholar] [CrossRef] [PubMed]
- Liu, Z.; Zhu, H.; Cui, X.; Wang, W.; Luan, X.; Chen, L.; Cui, Z.; Zhang, L. Groundwater quality evaluation of the dawu water source area based on water quality index (Wqi): Comparison between delphi method and multivariate statistical analysis method. Water 2021, 13, 1127. [Google Scholar] [CrossRef]
- Pan, H.; Lu, X.; Lei, K. A comprehensive analysis of heavy metals in urban road dust of Xi’an, China: Contamination, source apportionment and spatial distribution. Sci. Total Environ. 2017, 609, 1361–1369. [Google Scholar] [CrossRef] [PubMed]
- Dai, G.; Wang, B.; Fu, C.; Dong, R.; Huang, J.; Deng, S.; Wang, Y.; Yu, G. Pharmaceuticals and personal care products (PPCPs) in urban and suburban rivers of Beijing, China: Occurrence, source apportionment and potential ecological risk. Environ. Sci. Process. Impacts 2016, 18, 445–455. [Google Scholar] [CrossRef]
- Proshad, R.; Kormoker, T.; Abdullah Al, M.; Islam, M.S.; Khadka, S.; Idris, A.M. Receptor model-based source apportionment and ecological risk of metals in sediments of an urban river in Bangladesh. J. Hazard. Mater. 2022, 423, 127030. [Google Scholar] [CrossRef]
- Chen, R.; Chen, H.; Song, L.; Yao, Z.; Meng, F.; Teng, Y. Characterization and source apportionment of heavy metals in the sediments of Lake Tai (China) and its surrounding soils. Sci. Total Environ. 2019, 694, 133819. [Google Scholar] [CrossRef]
- Li, W.; Wu, J.; Zhou, C.; Nsabimana, A. Groundwater Pollution Source Identification and Apportionment Using PMF and PCA-APCS-MLR Receptor Models in Tongchuan City, China. Arch. Environ. Contam. Toxicol. 2021, 81, 397–413. [Google Scholar] [CrossRef]
- Viana, M.; Kuhlbusch, T.A.J.; Querol, X.; Alastuey, A.; Harrison, R.M.; Hopke, P.K.; Winiwarter, W.; Vallius, M.; Szidat, S.; Prévôt, A.S.H.; et al. Source apportionment of particulate matter in Europe: A review of methods and results. J. Aerosol Sci. 2008, 39, 827–849. [Google Scholar] [CrossRef]
- Huang, J.; Peng, S.; Mao, X.; Li, F.; Guo, S.; Shi, L.; Shi, Y.; Yu, H.; Zeng, G. ming Source apportionment and spatial and quantitative ecological risk assessment of heavy metals in soils from a typical Chinese agricultural county. Process Saf. Environ. Prot. 2019, 126, 339–347. [Google Scholar] [CrossRef]
- Paatero, P.; Tapper, U. Positive matrix factorization: A non-negative factor model with optimal utilization of error estimates of data values. Environmetrics 1994, 5, 111–126. [Google Scholar] [CrossRef]
- Paatero, P. A weighted non-negative least squares algorithm for three-way “PARAFAC” factor analysis. Chemom. Intell. Lab. Syst. 1997, 38, 223–242. [Google Scholar] [CrossRef]
- U.S. Environmental Protection Agency Office of Research and Development. EPA Positive Matrix Factorization ( PMF ) 5.0 Fundamentals and user guide; U.S. Environmental Protection Agency Office of Research and Development: Washington, DC, USA, 2014.
- Yuan, Z.; Yadav, V.; Turner, J.R.; Louie, P.K.K.; Lau, A.K.H. Long-term trends of ambient particulate matter emission source contributions and the accountability of control strategies in Hong Kong over 1998–2008. Atmos. Environ. 2013, 76, 21–31. [Google Scholar] [CrossRef]
- Liu, J.; Gao, Z.; Zhang, Y.; Sun, Z.; Sun, T.; Fan, H.; Wu, B.; Li, M.; Qian, L. Hydrochemical evaluation of groundwater quality and human health risk assessment of nitrate in the largest peninsula of China based on high-density sampling: A case study of Weifang. J. Clean. Prod. 2021, 322, 129164. [Google Scholar] [CrossRef]
- Omonona, O.V.; Okogbue, C.O. Hydrochemical evolution, geospatial groundwater quality and potential health risks associated with intake of nitrate via drinking water: Case of Gboko agricultural district, central Nigeria. Environ. Earth Sci. 2021, 80, 1–16. [Google Scholar] [CrossRef]
- Means, B. Risk-Assessment Guidance for Superfund: Human Health Evaluation Manual: Part A: Interim Report (Final); Environmental Protection Agency: Washington, DC, USA, 1989; Volume 1.
- Qing, X.; Yutong, Z.; Shenggao, L. Assessment of heavy metal pollution and human health risk in urban soils of steel industrial city (Anshan), Liaoning, Northeast China. Ecotoxicol. Environ. Saf. 2015, 120, 377–385. [Google Scholar] [CrossRef]
- Adimalla, N.; Qian, H. Groundwater quality evaluation using water quality index (WQI) for drinking purposes and human health risk (HHR) assessment in an agricultural region of Nanganur, south India. Ecotoxicol. Environ. Saf. 2019, 176, 153–161. [Google Scholar] [CrossRef]
- Zhang, Q.; Xu, P.; Qian, H. Assessment of groundwater quality and human health risk (HHR) evaluation of nitrate in the central-western Guanzhong basin, China. Int. J. Environ. Res. Public Health 2019, 16, 4246. [Google Scholar] [CrossRef] [Green Version]
- Kamunda, C.; Mathuthu, M.; Madhuku, M. Health risk assessment of heavy metals in soils from witwatersrand gold mining basin, South Africa. Int. J. Environ. Res. Public Health 2016, 13, 663. [Google Scholar] [CrossRef] [PubMed]
- He, Z.; Shentu, J.; Yang, X.; Baligar, V.C.; Zhang, T. Stoffella, & Heavy Metal Contamination of Soils: Sources, Indicators, and Assessment. J. Environ. Indic. 2015, 9, 17–18. [Google Scholar]
- Huang, S.S.; Liao, Q.L.; Hua, M.; Wu, X.M.; Bi, K.S.; Yan, C.Y.; Chen, B.; Zhang, X.Y. Survey of heavy metal pollution and assessment of agricultural soil in Yangzhong district, Jiangsu Province, China. Chemosphere 2007, 67, 2148–2155. [Google Scholar] [CrossRef]
- Bhuiyan, M.A.H.; Parvez, L.; Islam, M.A.; Dampare, S.B.; Suzuki, S. Heavy metal pollution of coal mine-affected agricultural soils in the northern part of Bangladesh. J. Hazard. Mater. 2010, 173, 384–392. [Google Scholar] [CrossRef] [PubMed]
- Luo, L.; Mei, K.; Qu, L.; Zhang, C.; Chen, H.; Wang, S.; Di, D.; Huang, H.; Wang, Z.; Xia, F.; et al. Assessment of the Geographical Detector Method for investigating heavy metal source apportionment in an urban watershed of Eastern China. Sci. Total Environ. 2019, 653, 714–722. [Google Scholar] [CrossRef] [PubMed] [Green Version]
- Islam, M.S.; Hossain, M.B.; Matin, A.; Islam Sarker, M.S. Assessment of heavy metal pollution, distribution and source apportionment in the sediment from Feni River estuary, Bangladesh. Chemosphere 2018, 202, 25–32. [Google Scholar] [CrossRef] [PubMed]







| Parameters | Infants | Children | Teenagers | Adults |
|---|---|---|---|---|
| IR (L/d) | 1 | 1.3 | 1.8 | 2.8 |
| BW (kg) | 10 | 30 | 50 | 70 |
| AT (d) | 365 | 2190 | 4380 | 10,950 |
| ED(a) | 1 | 6 | 12 | 30 |
| EF (d/a) | 365 | 365 | 365 | 365 |
| Parameters | Cr | Ni | Cu | Zn | Cd | As | Hg | Co | Pb |
|---|---|---|---|---|---|---|---|---|---|
| RfD [mg/(kg·d)] | 3 × 10−3 | 2 × 10−2 | 3.7 × 10−2 | 3 × 10−1 | 5 × 10−4 | 3 × 10−4 | 3 × 10−4 | 2 × 10−2 | 3.6 × 10−3 |
| SF [mg/(kg·d)] | 5.0 × 10−1 | 1.7 | −1 | - | 6.1 | 1.5 | - | - | 8.5 × 10−3 |
| Parameters | Cr | Ni | Cu | Zn | Cd | As | Hg | Co | Pb |
|---|---|---|---|---|---|---|---|---|---|
| Max. (µg/L) | 46.150 | 2.958 | 13.277 | 81.428 | 3.835 | 9.519 | 0.536 | 2.982 | 8.570 |
| Min. (µg/L) | 0.425 | <MDL | <MDL | 3.323 | <MDL | 0.322 | <MDL | 0.062 | 1.054 |
| Mean (µg/L) | 6.109 | 0.290 | 4.708 | 28.160 | 0.317 | 3.282 | 0.074 | 1.018 | 3.523 |
| Median (µg/L) | 4.372 | <MDL | 4.488 | 20.880 | 0.151 | 3.166 | 0.026 | 0.706 | 2.960 |
| SD 1 | 7.322 | 0.613 | 2.876 | 18.767 | 0.602 | 1.843 | 0.111 | 0.881 | 2.135 |
| RSD 2 (%) | 119.86 | 211.65 | 61.09 | 66.65 | 190.07 | 56.16 | 150.08 | 86.52 | 60.60 |
| Effect | Index | River Basin | HLJ | YFC | JT | HY | ZML | XHQ | BSQ | DTNC | XML | TEQ | RZQ | XXQ | LD | MH | DGH |
|---|---|---|---|---|---|---|---|---|---|---|---|---|---|---|---|---|---|
| Agriculture (%) | HMs | 15.09 | 19.03 | 11.83 | 12.98 | 4.80 | 9.24 | 16.23 | 18.87 | 29.43 | 7.81 | 26.63 | 16.57 | 12.32 | 11.59 | 22.38 | 20.20 |
| Hg | 26.58 | 29.50 | 24.88 | 41.01 | 10.53 | 27.05 | 27.03 | 40.44 | 11.23 | 21.81 | 38.15 | 56.60 | 28.27 | 19.86 | 40.69 | 32.45 | |
| HI | 15.09 | 19.03 | 11.83 | 12.98 | 4.80 | 9.24 | 16.23 | 18.87 | 29.43 | 7.81 | 26.63 | 16.57 | 12.32 | 11.59 | 22.38 | 20.20 | |
| HQAs | 44.92 | 64.73 | 63.07 | 60.89 | 26.58 | 42.29 | 44.79 | 61.35 | 17.12 | 27.95 | 65.18 | 55.84 | 47.94 | 52.09 | 62.29 | 64.30 | |
| TCR | 21.42 | 34.86 | 9.59 | 16.94 | 8.77 | 17.30 | 25.21 | 30.11 | 14.88 | 13.98 | 40.85 | 33.13 | 25.58 | 17.48 | 38.11 | 30.36 | |
| CRCr | 0.00 | 0.00 | 0.00 | 0.00 | 0.00 | 0.00 | 0.00 | 0.00 | 0.00 | 0.00 | 0.00 | 0.00 | 0.00 | 0.00 | 0.00 | 0.00 | |
| CRNi | 71.46 | 76.86 | 40.53 | 60.11 | 41.65 | 65.26 | 77.69 | 78.24 | 100.00 | 68.98 | 84.58 | 87.87 | 75.97 | 57.39 | 84.88 | 74.72 | |
| CRCd | 0.00 | 0.00 | 0.00 | 0.00 | 0.00 | 0.00 | 0.00 | 0.00 | 0.00 | 0.00 | 0.00 | 0.00 | 0.00 | 0.00 | 0.00 | 0.00 | |
| CRAs | 44.92 | 64.73 | 63.07 | 60.89 | 26.58 | 42.29 | 44.79 | 61.35 | 17.12 | 27.95 | 65.18 | 55.84 | 47.94 | 52.09 | 62.29 | 64.30 | |
| CRPb | 43.85 | 46.48 | 41.33 | 53.27 | 18.97 | 39.38 | 44.69 | 56.27 | 27.90 | 34.82 | 57.22 | 64.34 | 42.60 | 34.10 | 57.86 | 50.16 | |
| Animal husbandry (%) | HMs | 5.51 | 1.53 | 1.85 | 0.78 | 2.36 | 1.94 | 6.07 | 2.22 | 67.96 | 5.40 | 3.79 | 2.09 | 2.29 | 1.84 | 3.01 | 2.28 |
| Hg | 33.23 | 8.11 | 13.30 | 8.47 | 17.71 | 19.45 | 34.61 | 16.32 | 88.77 | 51.62 | 18.57 | 24.48 | 18.00 | 10.80 | 18.73 | 12.52 | |
| HI | 5.51 | 1.53 | 1.85 | 0.78 | 2.36 | 1.94 | 6.07 | 2.22 | 67.96 | 5.40 | 3.79 | 2.09 | 2.29 | 1.84 | 3.01 | 2.28 | |
| HQAs | 34.14 | 10.82 | 20.49 | 7.64 | 27.18 | 18.48 | 34.86 | 15.04 | 82.26 | 40.21 | 19.28 | 14.68 | 18.55 | 17.22 | 17.43 | 15.08 | |
| TCR | 19.17 | 6.86 | 3.67 | 2.50 | 10.56 | 8.90 | 23.09 | 8.69 | 84.16 | 23.67 | 14.23 | 10.25 | 11.65 | 6.80 | 12.55 | 8.38 | |
| CRCr | 7.73 | 4.02 | 0.89 | 0.70 | 3.56 | 3.11 | 11.38 | 3.61 | 96.69 | 9.02 | 9.24 | 4.65 | 5.58 | 2.38 | 7.21 | 3.71 | |
| CRNi | 0.00 | 0.00 | 0.00 | 0.00 | 0.00 | 0.00 | 0.00 | 0.00 | 0.00 | 0.00 | 0.00 | 0.00 | 0.00 | 0.00 | 0.00 | 0.00 | |
| CRCd | 91.48 | 74.36 | 89.75 | 61.73 | 79.45 | 75.58 | 91.83 | 80.74 | 99.89 | 89.23 | 89.06 | 76.55 | 78.39 | 78.74 | 84.92 | 82.81 | |
| CRAs | 34.14 | 10.82 | 20.49 | 7.64 | 27.18 | 18.48 | 34.86 | 15.04 | 82.26 | 40.21 | 19.28 | 14.68 | 18.55 | 17.22 | 17.43 | 15.08 | |
| CRPb | 17.80 | 4.15 | 7.17 | 3.57 | 10.36 | 9.19 | 18.57 | 7.37 | 71.59 | 26.75 | 9.04 | 9.03 | 8.80 | 6.02 | 8.64 | 6.28 |
Publisher’s Note: MDPI stays neutral with regard to jurisdictional claims in published maps and institutional affiliations. |
© 2022 by the authors. Licensee MDPI, Basel, Switzerland. This article is an open access article distributed under the terms and conditions of the Creative Commons Attribution (CC BY) license (https://creativecommons.org/licenses/by/4.0/).
Share and Cite
Zhang, L.; Tan, X.; Chen, H.; Liu, Y.; Cui, Z. Effects of Agriculture and Animal Husbandry on Heavy Metal Contamination in the Aquatic Environment and Human Health in Huangshui River Basin. Water 2022, 14, 549. https://doi.org/10.3390/w14040549
Zhang L, Tan X, Chen H, Liu Y, Cui Z. Effects of Agriculture and Animal Husbandry on Heavy Metal Contamination in the Aquatic Environment and Human Health in Huangshui River Basin. Water. 2022; 14(4):549. https://doi.org/10.3390/w14040549
Chicago/Turabian StyleZhang, Long, Xianfeng Tan, Hongnian Chen, Yalin Liu, and Zhaojie Cui. 2022. "Effects of Agriculture and Animal Husbandry on Heavy Metal Contamination in the Aquatic Environment and Human Health in Huangshui River Basin" Water 14, no. 4: 549. https://doi.org/10.3390/w14040549
APA StyleZhang, L., Tan, X., Chen, H., Liu, Y., & Cui, Z. (2022). Effects of Agriculture and Animal Husbandry on Heavy Metal Contamination in the Aquatic Environment and Human Health in Huangshui River Basin. Water, 14(4), 549. https://doi.org/10.3390/w14040549
