Impact of Historical Agrarian Landforms on Soil Water Content Variability at Local Scale in West Carpathian Region, Slovakia
Abstract
1. Introduction
2. Materials and Methods
2.1. Rainfall Data Collection and Analysis
2.2. SWC Data Collection and Environmental Variables
2.3. Annual SWC Variability Assessment
2.4. Temporal SWC Stability Assessment
2.5. Assessment of Relationship between SWC and Environmental Variables
3. Results
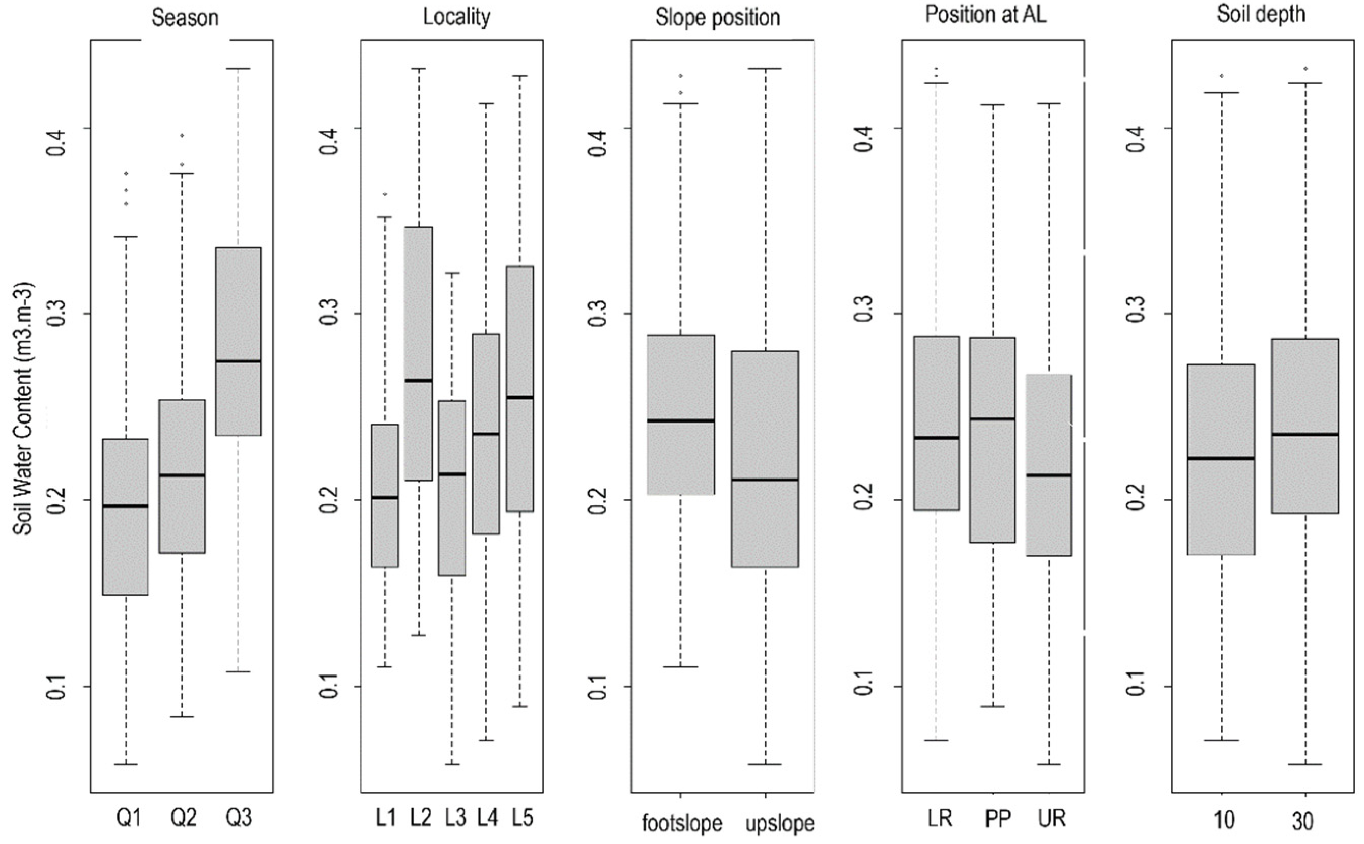
3.1. Statistical Characteristics of SWC Variability and Its Relation to Monitoring Locality, Slope Position, Soil Depth, and Position on Agrarian Landform
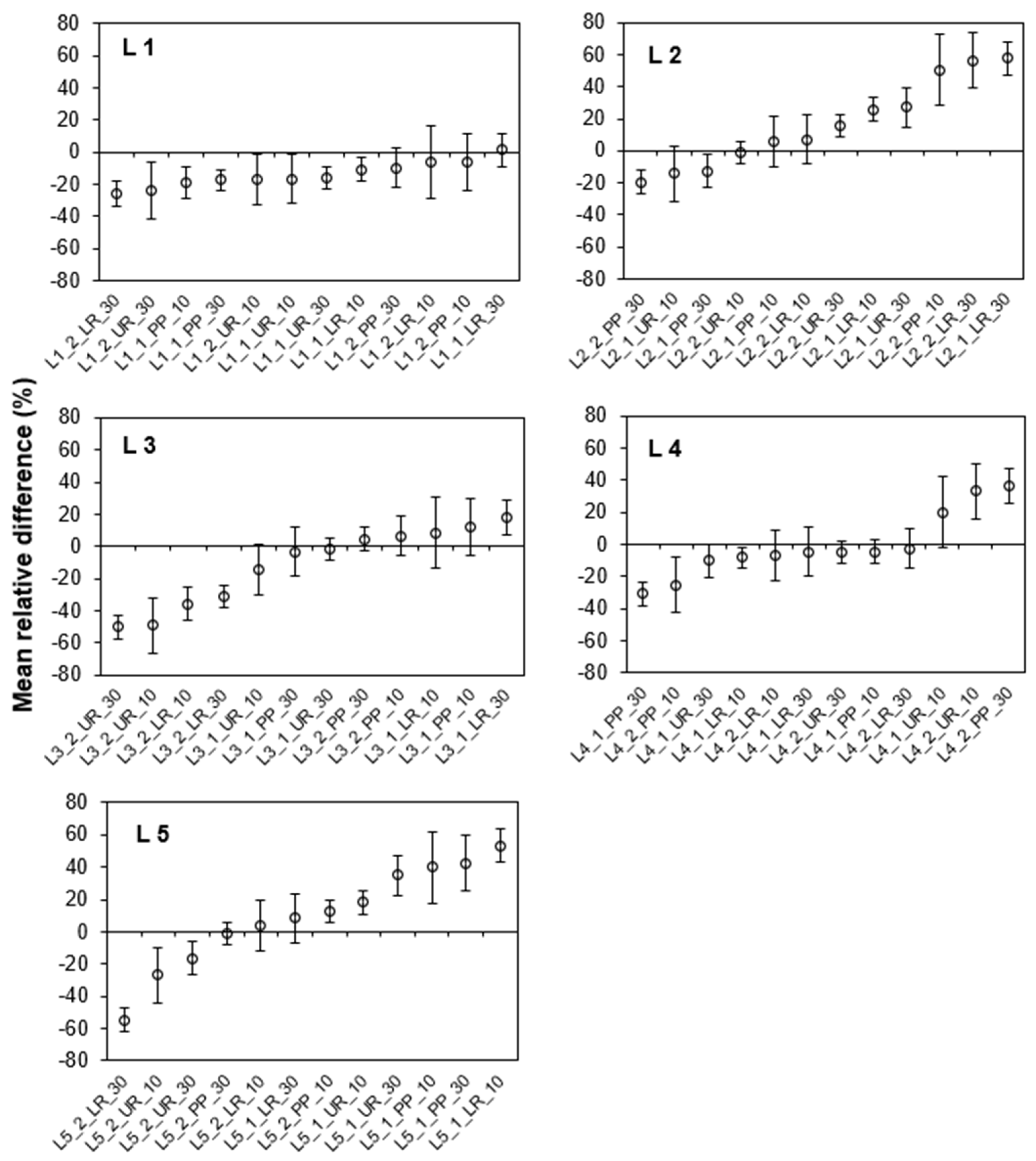
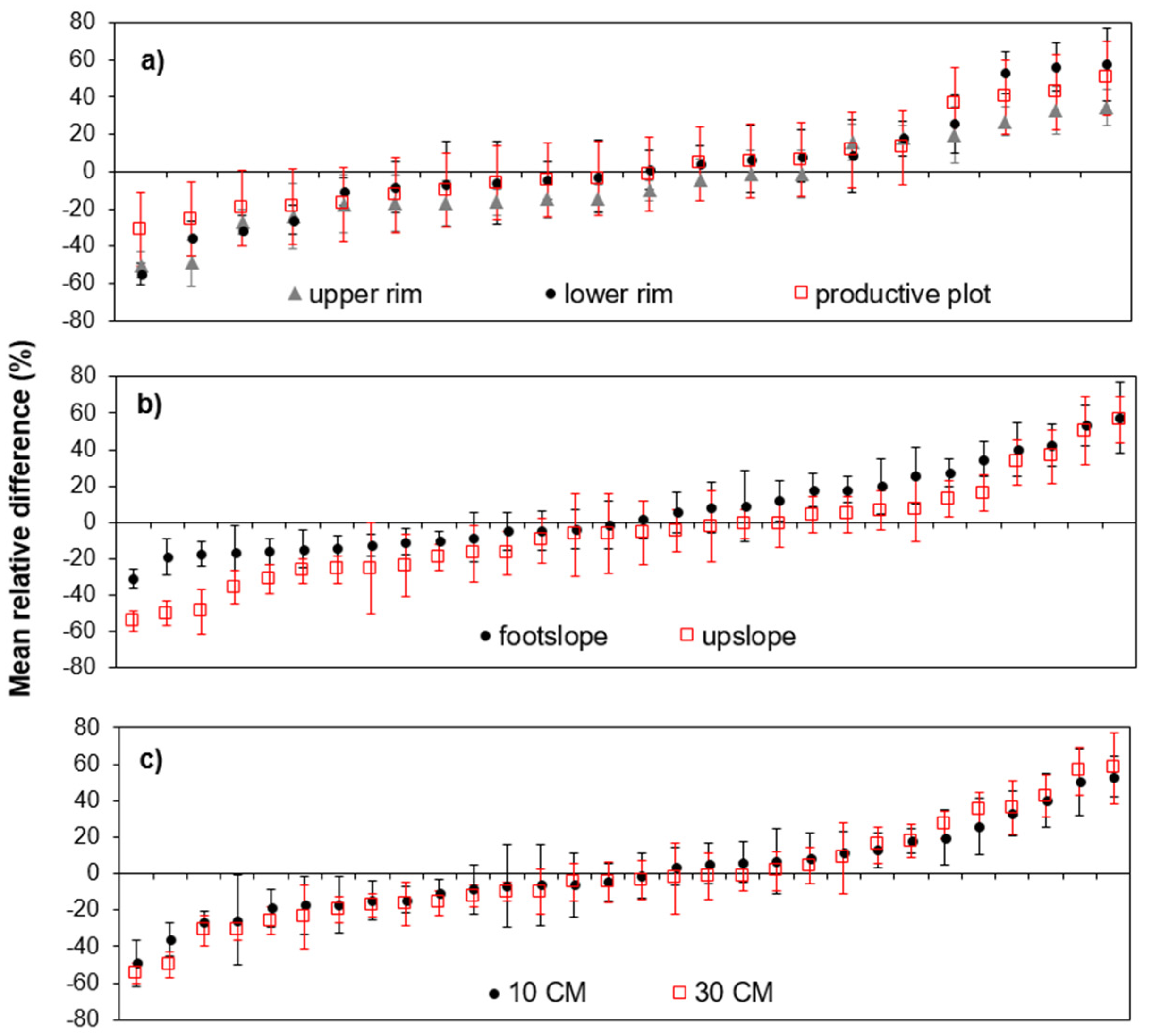
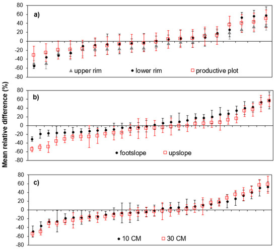
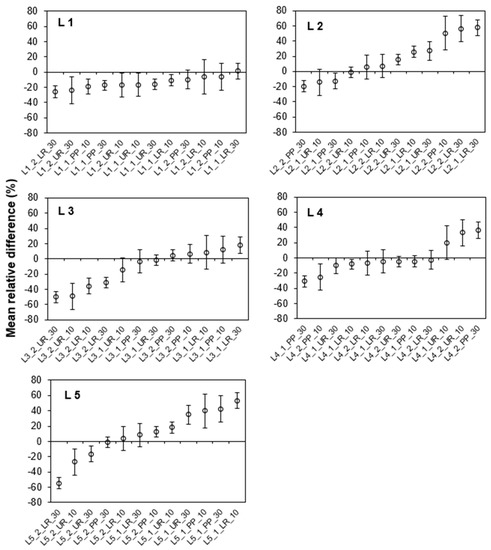
3.2. Evaluation of SWC Temporal Stability
3.3. The Impact of Selected Environmental Variables
4. Discussion
4.1. SWC Temporal Variability and Stability
4.2. Factors Influencing the SWC Variability
5. Conclusions
Author Contributions
Funding
Institutional Review Board Statement
Informed Consent Statement
Data Availability Statement
Acknowledgments
Conflicts of Interest
References
- Varotto, M.; Bonardi, L.; Tarolli, P. (Eds.) Introduction. In World Terraced Landscapes: History, Environment, Quality of Life; Springer: Cham, Switzerland, 2019; Volume 9, pp. 1–4. [Google Scholar] [CrossRef]
- Tarolli, P.; Preti, F.; Romano, N. Terraced landscapes: From an old best practice to a potential hazard for soil degradation due to land abandonment. Anthropocene 2014, 6, 10–25. [Google Scholar] [CrossRef]
- Wei, W.; Chen, D.; Wang, L.; Daryanto, S.; Chen, L.; Yu, Y.; Lu, Y.; Sun, G.; Feng, T. Global synthesis of the classifications, distributions, benefits and issues of terracing. Earth-Sci. Rev. 2016, 159, 388–403. [Google Scholar] [CrossRef]
- Arnáez, J.; Lana-Renault, N.; Lasanta, T.; Ruiz, P.; Castroviejo, J. Effects of farming terraces on hydrological and geomorphological processes. A review. Catena 2015, 128, 122–134. [Google Scholar] [CrossRef]
- López-Vicente, M.; Poesen, J.; Navas, A.; Gaspar, L. Predicting runoff and sediment connectivity and soil erosion by water for different land use scenarios in the Spanish Pre-Pyrenees. Catena 2013, 102, 62–73. [Google Scholar] [CrossRef]
- Agnoletti, M.; Errico, A.; Santoro, A.; Dani, A.; Preti, F. Terraced Landscapes and Hydrogeological Risk. Effects of Land Abandonment in Cinque Terre (Italy) during Severe Rainfall Events. Sustainability 2019, 11, 235. [Google Scholar] [CrossRef]
- Lesschen, J.; Schoorl, J.; Cammeraat, E. Modelling runoff and erosion for a semi-arid catchment using a multi-scale approach based on hydrological connectivity. Geomorphology 2009, 109, 174–183. [Google Scholar] [CrossRef]
- Taye, G.; Poesen, J.; Vanmaercke, M.; van Wesemael, B.; Martens, L.; Teka, D.; Nyssen, J.; Deckers, J.; Vanacker, V.; Haregeweyn, N.; et al. Evolution of the effectiveness of stone bunds and trenches in reducing runoff and soil loss in the semi-arid Ethiopian highlands. Zeitschrift für Geomorphologie 2015, 59, 477–493. [Google Scholar] [CrossRef]
- van Wesemael, B.; Poesen, J.; Solé-Benet, A.; Barrionuevo, L.C.; Puigdefábregas, J. Collection and storage of runoff from hillslopes in a semi-arid environment: Geomorphic and hydrologic aspects of the aljibe system in Almeria Province, Spain. J. Arid. Environ. 1998, 40, 1–14. [Google Scholar] [CrossRef][Green Version]
- Lü, H.; Zhu, Y.; Skaggs, T.H.; Yu, Z. Comparison of measured and simulated water storage in dryland terraces of the Loess Plateau, China. Agric. Water Manag. 2009, 96, 299–306. [Google Scholar] [CrossRef]
- Xu, G.; Zhang, T.; Li, Z.; Li, P.; Cheng, Y.; Cheng, S. Temporal and spatial characteristics of soil water content in diverse soil layers on land terraces of the Loess Plateau, China. Catena 2017, 158, 20–29. [Google Scholar] [CrossRef]
- Llorens, P.; Gallart, F. Small basin response in a Mediterranean mountainous abandoned farming area: Research design and preliminary results. Catena 1992, 19, 309–320. [Google Scholar] [CrossRef]
- Gallart, F.; Llorens, P.; Latron, J.; Muñoz, D.R. Hydrological processes and their seasonal controls in a small Mediterranean mountain catchment in the Pyrenees. Hydrol. Earth Syst. Sci. 2002, 6, 527–537. [Google Scholar] [CrossRef]
- Posthumus, H.; Stroosnijder, L. To terrace or not: The short-term impact of bench terraces on soil properties and crop response in the Peruvian Andes. Environ. Dev. Sustain. 2009, 12, 263–276. [Google Scholar] [CrossRef]
- Entin, J.K.; Robock, A.; Vinnikov, K.Y.; Hollinger, S.E.; Liu, S.; Namkhai, A. Temporal and spatial scales of observed soil moisture variations in the extratropics. J. Geophys. Res. Earth Surf. 2000, 105, 11865–11877. [Google Scholar] [CrossRef]
- Duan, L.; Huang, M.; Li, Z.; Zhang, Z.; Zhang, L. Estimation of spatial mean soil water storage using temporal stability at the hillslope scale in black locust (Robinia pseudoacacia) stands. Catena 2017, 156, 51–61. [Google Scholar] [CrossRef]
- He, Z.-B.; Zhao, M.-M.; Zhu, X.; Du, J.; Chen, L.-F.; Lin, P.-F.; Li, J. Temporal stability of soil water storage in multiple soil layers in high-elevation forests. J. Hydrol. 2019, 569, 532–545. [Google Scholar] [CrossRef]
- Korres, W.; Reichenau, T.G.; Fiener, P.; Koyama, C.N.; Bogena, H.R.; Cornelissen, T.; Baatz, R.; Herbst, M.; Diekkrüger, B.; Vereecken, H.; et al. Spatio-temporal soil moisture patterns–A meta-analysis using plot to catchment scale data. J. Hydrol. 2015, 520, 326–341. [Google Scholar] [CrossRef]
- Sun, F.; Lü, Y.; Fu, B.; Ma, Z.; Yao, X. Spatial explicit soil moisture analysis: Pattern and its stability at small catchment scale in the loess hilly region of China. Hydrol. Process. 2014, 28, 4091–4109. [Google Scholar] [CrossRef]
- Liu, B.; Shao, M. Estimation of soil water storage using temporal stability in four land uses over 10 years on the Loess Plateau, China. J. Hydrol. 2014, 517, 974–984. [Google Scholar] [CrossRef]
- Martinez, G.; Pachepsky, Y.A.; Vereecken, H.; Hardelauf, H.; Herbst, M.; Vanderlinden, K. Modeling local control effects on the temporal stability of soil water content. J. Hydrol. 2013, 481, 106–118. [Google Scholar] [CrossRef]
- Gao, X.; Wu, P.; Zhao, X.; Shi, Y.; Wang, J. Estimating spatial mean soil water contents of sloping jujube orchards using temporal stability. Agric. Water Manag. 2011, 102, 66–73. [Google Scholar] [CrossRef]
- Jacobs, J.M. SMEX02: Field scale variability, time stability and similarity of soil moisture. Remote Sens. Environ. 2004, 92, 436–446. [Google Scholar] [CrossRef]
- Mohanty, B.; Skaggs, T. Spatio-temporal evolution and time-stable characteristics of soil moisture within remote sensing footprints with varying soil, slope, and vegetation. Adv. Water Resour. 2001, 24, 1051–1067. [Google Scholar] [CrossRef]
- Gómez-Plaza, A.; Martínez-Mena, M.; Albaladejo, J.; Castillo, V.M. Factors regulating spatial distribution of soil water content in small semiarid catchments. J. Hydrol. 2001, 253, 211–226. [Google Scholar] [CrossRef]
- Chen, L.; Wang, J.; Wei, W.; Fu, B.; Wu, D. Effects of landscape restoration on soil water storage and water use in the Loess Plateau Region, China. For. Ecol. Manag. 2010, 259, 1291–1298. [Google Scholar] [CrossRef]
- Xu, G.; Huang, M.; Li, P.; Li, Z.; Wang, Y. Effects of land use on spatial and temporal distribution of soil moisture within profiles. Environ. Earth Sci. 2021, 80, 128. [Google Scholar] [CrossRef]
- Famiglietti, J.; Rudnicki, J.; Rodell, M. Variability in surface moisture content along a hillslope transect: Rattlesnake Hill, Texas. J. Hydrol. 1998, 210, 259–281. [Google Scholar] [CrossRef]
- Geroy, I.J.; Gribb, M.M.; Marshall, H.P.; Chandler, D.G.; Benner, S.G.; McNamara, J.P. Aspect influences on soil water retention and storage. Hydrol. Process. 2011, 25, 3836–3842. [Google Scholar] [CrossRef]
- Gómez-Plaza, A.; Alvarez-Rogel, J.; Albaladejo, J.; Castillo, V.M. Spatial patterns and temporal stability of soil moisture across a range of scales in a semi-arid environment. Hydrol. Process. 2000, 14, 1261–1277. [Google Scholar] [CrossRef]
- Gwak, Y.; Kim, S. Factors affecting soil moisture spatial variability for a humid forest hillslope. Hydrol. Process. 2016, 31, 431–445. [Google Scholar] [CrossRef]
- Vanderlinden, K.; Vereecken, H.; Hardelauf, H.; Herbst, M.; Martinez, G.; Cosh, M.H.; Pachepsky, Y.A. Temporal Stability of Soil Water Contents: A Review of Data and Analyses. Vadose Zone J. 2012, 11, 280–288. [Google Scholar] [CrossRef]
- Špulerová, J.; Dobrovodská, M.; Lieskovský, J.; Baca, A.; Halabuk, A.; Kohut, F.; Mojses, M.; Kenderessy, P.; Piscová, V.; Barančok, P.; et al. Inventory and classification of historical structures of the agricultural landscape in Slovakia. Ekológia 2011, 30, 157–170. [Google Scholar] [CrossRef]
- Dobrovodská, M. Krajinnoekologický výskum historickej poľnohospodárskej krajiny v obciach Liptovská Teplička, Osturňa a Malá Franková [The development of relations between man and landscape in a historical]. Ekologia 2006, 25, 38–48. (In Slovak) [Google Scholar]
- Bezák, P.; Mitchley, J. Drivers of change in mountain farming in Slovakia: From socialist collectivisation to the Common Agricultural Policy. Reg. Environ. Chang. 2014, 14, 1343–1356. [Google Scholar] [CrossRef]
- Lieskovský, J.; Kenderessy, P.; Špulerová, J.; Lieskovský, T.; Koleda, P.; Kienast, F.; Gimmi, U. Factors affecting the persistence of traditional agricultural landscapes in Slovakia during the collectivization of agriculture. Landsc. Ecol. 2014, 29, 867–877. [Google Scholar] [CrossRef]
- Balkovič, J.; Bedrna, Z.; Čurlík, J.; Dlapa, P.; Fulajtár, E.; Gömöryová, E.; Gregor, J.; Hanes, J.; Houšková, B.; Hutár, V.; et al. Morfogenetický Klasifikačný Systém pôd Slovenska. Bazálna Referenčná Taxonómia [Morfogenetic Classification System of Soils in Slovakia]; SPS, NPPC VÚPOP: Bratislava, Slovakia, 2000; 96p. (In Slovak) [Google Scholar]
- Ružičková, H.; Dobrovodská, M.; Valachovič, M. Landscape-ecological evaluation of vegetation in relation to the forms of anthropogenic relief in the cadastre of the Liptovská Teplička Village, the Nízke Tatry Mts. Ekológia 1999, 18, 381–400. [Google Scholar]
- Špulerová, J.; Dobrovodská, M.; Bezák, P.; Barančok, P.; Boltižiar, M.; David, S.; Dramstad, W.; Ďugová, O.; Fjellstad, W.; Gajdoš, P.; et al. Stratégia ochrany a manažmentu historických štruktúr poľnohospodárskej krajiny v modelovom území Liptovská Teplička [Strategy of protection and management of historical agrarian structures in Liptovská Teplička village]; Institute of landscape Ecology SAS: Bratislava, Slovak, 2011; 152p. (In Slovak) [Google Scholar]
- Pecho, J.; Ivaňáková, G.; Kajaba, P.; Labudová, L.; Šťastný, P.; Turňa, M. Climatological assessment of the year 2016 in Slovakia. Meterol. J. 2017, 20, 23–27. (In Slovak) [Google Scholar]
- Šamaj, F.; Valovič, S. Intensities of short-term rainfall in Slovakia. In Proceedings of Works of SHMI; SPN: Bratislava, Slovakia, 1973; Nr. 5. (In Slovak) [Google Scholar]
- Malík, P.; Švasta, J.; Bottlik, F. Hydrogeological Boreholes and Wells Database and its Use on Regional Rock Permeability Determination. Slovak Geol. Mag. 2016, 16, 67–93. [Google Scholar]
- Vachaud, G.; De Silans, A.P.; Balabanis, P.; Vauclin, M. Temporal Stability of Spatially Measured Soil Water Probability Density Function. Soil Sci. Soc. Am. J. 1985, 49, 822–828. [Google Scholar] [CrossRef]
- Ben-Salem, N.; Álvarez, S.; López-Vicente, M. Soil and Water Conservation in Rainfed Vineyards with Common Sainfoin and Spontaneous Vegetation under Different Ground Conditions. Water 2018, 10, 1058. [Google Scholar] [CrossRef]
- López-Vicente, M.; Álvarez, S. Stability and patterns of topsoil water content in rainfed vineyards, olive groves, and cereal fields under different soil and tillage conditions. Agric. Water Manag. 2018, 201, 167–176. [Google Scholar] [CrossRef]
- Oksanen, J.; Blanchet, F.G.; Friendly, M.; Kindt, R.; Legendre, P.; McGlinn, D.; Minchin, P.R.; O’Hara, R.B.; Simpson, G.L.; Solymos, P.; et al. Vegan: Community Ecology Package. R Package Version 2.5–7. 2020. Available online: https://CRAN.R-project.org/package=vegan (accessed on 15 November 2021).
- Jacobs, J.M.; Hsu, E.-C.; Choi, M. Time stability and variability of Electronically Scanned Thinned Array Radiometer soil moisture during Southern Great Plains hydrology experiments. Hydrol. Process. 2010, 24, 2807–2819. [Google Scholar] [CrossRef]
- Graefe, S.; Leuschner, C.; Coners, H.; Hertel, D. Root functioning in tropical high-elevation forests: Environmental vs. biological control of root water absorption. Environ. Exp. Bot. 2011, 71, 329–336. [Google Scholar] [CrossRef]
- Xu, M.; Xu, G.; Cheng, Y.; Min, Z.; Li, P.; Zhao, B.; Shi, P.; Xiao, L. Soil Moisture Estimation and Its Influencing Factors Based on Temporal Stability on a Semiarid Sloped Forestland. Front. Earth Sci. 2021, 9, 52. [Google Scholar] [CrossRef]
- Penna, D.; Brocca, L.; Borga, M.; Fontana, G.D. Soil moisture temporal stability at different depths on two alpine hillslopes during wet and dry periods. J. Hydrol. 2013, 477, 55–71. [Google Scholar] [CrossRef]
- Gao, L.; Lv, Y.; Wang, D.; Muhammad, T.; Biswas, A.; Peng, X. Soil water storage prediction at high space–time resolution along an agricultural hillslope. Agric. Water Manag. 2016, 165, 122–130. [Google Scholar] [CrossRef]
- Štibinger, J. Infiltrační schopnosti agrárních valů [Infiltration Capabilities of Agrarian Land Mounds]. Stavební Obzor 2011, 2, 6. [Google Scholar]
- Kovář, P.; Štibinger, J.; Kasl, M. Agrární valy a vodní režim [Agrarian Mounds and their Water Regime]; The Czech University of Life Sciences in Prague: Prague, Czech Republic, 2011; 20p. [Google Scholar]
- Preti, F.; Guastini, E.; Penna, D.; Dani, A.; Cassiani, G.; Boaga, J.; Deiana, R.; Romano, N.; Nasta, P.; Palladino, M.; et al. Conceptualization of Water Flow Pathways in Agricultural Terraced Landscapes. Land Degrad. Dev. 2018, 29, 651–662. [Google Scholar] [CrossRef]
- Brakensiek, D.; Rawls, W. Soil containing rock fragments: Effects on infiltration. Catena 1994, 23, 99–110. [Google Scholar] [CrossRef]
- Sauer, T.J.; Logsdon, S.D. Hydraulic and Physical Properties of Stony Soils in a Small Watershed. Soil Sci. Soc. Am. J. 2002, 66, 1947–1956. [Google Scholar] [CrossRef]
- Poesen, J.; Lavee, H. Rock fragments in top soils: Significance and processes. Catena 1994, 23, 1–28. [Google Scholar] [CrossRef]
- Beckers, E.; Pichault, M.; Pansak, W.; Degré, A.; Garré, S. Characterization of stony soils’ hydraulic conductivity using laboratory and numerical experiments. SOIL 2016, 2, 421–431. [Google Scholar] [CrossRef]
- Beibei, Z.; Ming’An, S.; Hongbo, S. Effects of rock fragments on water movement and solute transport in a Loess Plateau soil. Comptes Rendus Geosci. 2009, 341, 462–472. [Google Scholar] [CrossRef]
- Fiès, J.C.; Louvigny, N.D.E.; Chanzy, A. The role of stones in soil water retention. Eur. J. Soil Sci. 2002, 53, 95–104. [Google Scholar] [CrossRef]
- Ma, D.; Shao, M. Simulating infiltration into stony soils with a dual-porosity model. Eur. J. Soil Sci. 2008, 59, 950–959. [Google Scholar] [CrossRef]
- Ma, D.; Shao, M.; Zhang, J.; Wang, Q. Validation of an analytical method for determining soil hydraulic properties of stony soils using experimental data. Geoderma 2010, 159, 262–269. [Google Scholar] [CrossRef]
- Novák, V.; Kňava, K.; Šimůnek, J. Determining the influence of stones on hydraulic conductivity of saturated soils using numerical method. Geoderma 2011, 161, 177–181. [Google Scholar] [CrossRef]
- Chaney, N.W.; Roundy, J.K.; Herrera-Estrada, J.E.; Wood, E.F. High-resolution modeling of the spatial heterogeneity of soil moisture: Applications in network design. Water Resour. Res. 2015, 51, 619–638. [Google Scholar] [CrossRef]
- Kim, S.; Lee, H.; Woo, N.C.; Kim, J. Soil moisture monitoring on a steep hillside. Hydrol. Process. 2007, 21, 2910–2922. [Google Scholar] [CrossRef]
- Moore, I.D.; Burch, G.J.; Mackenzie, D.H. Topographic effects on the distribution of surface soil water and the location of ephemeral gullies. Trans. ASAE 1988, 31, 1098–1107. [Google Scholar] [CrossRef]
- Western, A.W.; Grayson, R.B.; Bloschl, G.; Willgoose, G.R.; McMahon, T.A. Observed spatial organization of soil moisture and its relation to terrain indices. Water Resour. Res. 1999, 35, 797–810. [Google Scholar] [CrossRef]
- Ladson, A.; Moore, I. Soil water prediction on the Konza Prairie by microwave remote sensing and topographic attributes. J. Hydrol. 1992, 138, 385–407. [Google Scholar] [CrossRef]







| Environmental variables | ML1 | ML2 | ML3 | ML4 | ML5 | |||||||||||||||||
|---|---|---|---|---|---|---|---|---|---|---|---|---|---|---|---|---|---|---|---|---|---|---|
| Slope position | (1) | (2) | (1) | (2) | (1) | (2) | (1) | (2) | (1) | (2) | ||||||||||||
| Slope | 17–25° | 12–17° | 7–12° | 12–17° | 7–12° | 12–17° | 17–25° | 7–12° | 12–17° | 12–17° | ||||||||||||
| Slope orientation | S | S | NE | NE | NE | NE | W | SW | NE | N | ||||||||||||
| Altitude (m.a.s.l) | 941 | 974 | 969 | 989 | 945 | 982 | 956 | 985 | 946 | 960 | ||||||||||||
| Rock permeability | medium | low | medium | medium | high | high | medium | medium | high | high | ||||||||||||
| AL type | T | T | T | T | MT | M | M | M | T | T | ||||||||||||
| AL course | diag | diag | diag/fall | diag/fall | fall | fall | fall | fall | cont | cont | ||||||||||||
| Land cover | pasture | pasture | triset | triset | triset | triset | triset | triset | triset | triset | ||||||||||||
| Management on PP/AL | 1/1 | 1/1 | 2/1 | 2/1 | 3/2 | 3/2 | 2/1 | 2/1 | 2/1 | 2/1 | ||||||||||||
| Upslope area above ML | grazed | intensive meadow | forest | intensive meadow | mow-grazed | |||||||||||||||||
| Slope position | (1) | (2) | (1) | (2) | (1) | (2) | (1) | (2) | (1) | (2) | ||||||||||||
| Depth (cm) | 0–10 | 30 | 0–10 | 30 | 0–10 | 30 | 0–10 | 30 | 0–10 | 30 | 0–10 | 30 | 0–10 | 30 | 0–10 | 30 | 0–10 | 30 | 0–10 | 30 | ||
| pH (H2O) | LR | 6.07 | 6.18 | 6.87 | 7.72 | 6.90 | 7.58 | 7.46 | 7.87 | 7.54 | 7.96 | 7.15 | 7.79 | 7.62 | 7.90 | 7.65 | 7.73 | 7.65 | 7.63 | 7.53 | 7.56 | |
| PP | 6.47 | 6.61 | 5.75 | 5.83 | 6.95 | 7.42 | 7.45 | 7.88 | 7.60 | 7.82 | 7.66 | 7.97 | 7.65 | 7.77 | 7.70 | 7.83 | 7.50 | 7.72 | 7.65 | 7.79 | ||
| UR | 5.94 | 6.09 | 6.77 | 7.31 | 6.66 | 7.30 | 6.60 | 7.12 | 7.60 | 7.73 | 7.54 | 7.58 | 7.71 | 7.61 | 7.16 | 7.57 | 7.68 | 7.53 | 7.53 | 7.70 | ||
| C org (%) | LR | 1.19 | 0.50 | 2.91 | 0.81 | 2.11 | 0.63 | 2.49 | 1.08 | 1.85 | 0.59 | 1.60 | 0.53 | 3.08 | 1.51 | 2.38 | 1.75 | 2.43 | 1.32 | 2.50 | 1.10 | |
| PP | 0.98 | 1.12 | 2.14 | 1.48 | 1.98 | 1.66 | 2.21 | 0.76 | 1.94 | 1.50 | 2.29 | 1.79 | 2.60 | 1.53 | 2.71 | 1.62 | 2.88 | 1.91 | 2.54 | 1.46 | ||
| UR | 2.04 | 0.98 | 2.55 | 1.64 | 2.55 | 1.86 | 2.90 | 1.60 | 2.55 | 2.14 | 6.92 | 4.04 | 2.51 | 3.32 | 4.87 | 3.34 | 2.12 | 1.98 | 3.01 | 2.22 | ||
| Texture classes (%) | 2.00–0.05 mm | LR | 54 | 57 | 53 | 55 | 48 | 31 | 47 | 52 | 61 | 55 | 49 | 51 | 37 | 42 | 39 | 39 | 46 | 50 | 57 | 60 |
| PP | 56 | 60 | 51 | 46 | 47 | 46 | 45 | 46 | 50 | 46 | 55 | 61 | 43 | 48 | 48 | 52 | 44 | 46 | 55 | 48 | ||
| UR | 54 | 54 | 55 | 51 | 43 | 43 | 47 | 38 | 49 | 46 | 62 | 59 | 36 | 36 | 36 | 32 | 50 | 38 | 55 | 51 | ||
| 0.05–0.002 mm | LR | 37 | 32 | 39 | 34 | 45 | 53 | 47 | 42 | 36 | 43 | 45 | 44 | 50 | 46 | 48 | 45 | 45 | 38 | 33 | 31 | |
| PP | 36 | 34 | 39 | 43 | 46 | 47 | 46 | 45 | 45 | 48 | 40 | 37 | 44 | 39 | 42 | 37 | 46 | 45 | 35 | 37 | ||
| UR | 38 | 38 | 39 | 41 | 51 | 49 | 47 | 53 | 47 | 49 | 35 | 37 | 51 | 50 | 51 | 52 | 43 | 47 | 37 | 38 | ||
| <0.002 mm | LR | 8 | 11 | 8 | 11 | 7 | 17 | 6 | 6 | 2 | 2 | 5 | 5 | 13 | 12 | 13 | 16 | 9 | 11 | 10 | 9 | |
| PP | 8 | 6 | 10 | 12 | 7 | 8 | 9 | 9 | 5 | 6 | 4 | 2 | 13 | 12 | 10 | 11 | 10 | 10 | 10 | 15 | ||
| UR | 7 | 8 | 6 | 8 | 7 | 7 | 6 | 9 | 4 | 5 | 3 | 5 | 13 | 15 | 13 | 16 | 8 | 16 | 8 | 11 | ||
| Stone content (%) | 2–50 mm | 30 | 30 | 40 | 70 | 20 | 35 | 25 | 40 | 30 | 50 | 30 | 60 | 30 | 50 | 35 | 70 | 25 | 35 | 30 | 50 | |
| Soil Water Content (SWC/m3·m−3) | Mean | Min | Max | SD | CV (%) | MRD (%) | SDRD (%) | Min_MRD (%) | Max_MRD (%) | Range (%) |
|---|---|---|---|---|---|---|---|---|---|---|
| Monitoring locality (ML) | ||||||||||
| L1 | 0.206 | 0.063 | 0.421 | 0.062 | 30 | −13.94 | 10.40 | −25.86 | 1.47 | 27.33 |
| L2 | 0.275 | 0.089 | 0.465 | 0.085 | 31 | 16.51 | 12.18 | −19.54 | 57.83 | 77.36 |
| L3 | 0.208 | 0.034 | 0.414 | 0.067 | 32 | −11.40 | 10.53 | −50.11 | 17.89 | 68.01 |
| L4 | 0.249 | 0.049 | 0.458 | 0.083 | 33 | −0.73 | 13.83 | −30.95 | 36.28 | 67.22 |
| L5 | 0.257 | 0.072 | 0.459 | 0.088 | 34 | 9.56 | 10.42 | −54.76 | 53.28 | 108.04 |
| Slope position | ||||||||||
| footslope (1) | 0.250 | 0.072 | 0.459 | 0.075 | 30 | 6.28 | 10.85 | −30.95 | 57.83 | 88.77 |
| upslope (2) | 0.223 | 0.034 | 0.465 | 0.087 | 39 | −6.28 | 13.15 | −54.76 | 56.39 | 111.16 |
| Soil depth | ||||||||||
| 10 cm | 0.241 | 0.034 | 0.465 | 0.086 | 36 | 1.13 | 13.25 | −49.04 | 53.28 | 102.32 |
| 30 cm | 0.232 | 0.038 | 0.440 | 0.078 | 34 | −1.13 | 10.50 | −54.76 | 57.83 | 112.59 |
| Position at AL | ||||||||||
| upper rim (UR) | 0.223 | 0.034 | 0.458 | 0.077 | 35 | −5.71 | 10.75 | −50.11 | 34.77 | 84.89 |
| lower rim (LR) | 0.242 | 0.058 | 0.456 | 0.087 | 36 | 2.69 | 13.31 | −54.76 | 57.83 | 112.59 |
| productive plot (PP) | 0.244 | 0.049 | 0.465 | 0.081 | 33 | 3.01 | 11.57 | −30.95 | 50.26 | 81.21 |
| Variables | F | df | p |
|---|---|---|---|
| D | 7.3 | 1 | 0.007 |
| L | 33.9 | 4 | <0.001 |
| SP | 37.6 | 1 | <0.001 |
| AL | 8.3 | 2 | <0.001 |
| Q | 133.2 | 2 | <0.001 |
| L × SP | 32.5 | 4 | <0.001 |
| L × AL | 11.3 | 8 | <0.001 |
| SP × AL | 18.3 | 2 | <0.001 |
| L × Q | 2.3 | 8 | 0.022 |
| SP × Q | 0.0 | 2 | 0.973 |
| AL × Q | 0.5 | 4 | 0.768 |
| L × SP × AL | 0.9 | 8 | 0.549 |
| L × SP × Q | 1.2 | 8 | 0.297 |
| L × AL × Q | 0.2 | 16 | 1.000 |
| SP × AL × Q | 0.7 | 4 | 0.621 |
| L × SP × AL × Q | 0.3 | 16 | 0.999 |
Publisher’s Note: MDPI stays neutral with regard to jurisdictional claims in published maps and institutional affiliations. |
© 2022 by the authors. Licensee MDPI, Basel, Switzerland. This article is an open access article distributed under the terms and conditions of the Creative Commons Attribution (CC BY) license (https://creativecommons.org/licenses/by/4.0/).
Share and Cite
Kenderessy, P.; Dobrovodská, M.; Šatalová, B.; Vlachovičová, M.; Palaj, A. Impact of Historical Agrarian Landforms on Soil Water Content Variability at Local Scale in West Carpathian Region, Slovakia. Water 2022, 14, 389. https://doi.org/10.3390/w14030389
Kenderessy P, Dobrovodská M, Šatalová B, Vlachovičová M, Palaj A. Impact of Historical Agrarian Landforms on Soil Water Content Variability at Local Scale in West Carpathian Region, Slovakia. Water. 2022; 14(3):389. https://doi.org/10.3390/w14030389
Chicago/Turabian StyleKenderessy, Pavol, Marta Dobrovodská, Barbora Šatalová, Miriam Vlachovičová, and Andrej Palaj. 2022. "Impact of Historical Agrarian Landforms on Soil Water Content Variability at Local Scale in West Carpathian Region, Slovakia" Water 14, no. 3: 389. https://doi.org/10.3390/w14030389
APA StyleKenderessy, P., Dobrovodská, M., Šatalová, B., Vlachovičová, M., & Palaj, A. (2022). Impact of Historical Agrarian Landforms on Soil Water Content Variability at Local Scale in West Carpathian Region, Slovakia. Water, 14(3), 389. https://doi.org/10.3390/w14030389

