Physiological and Shoot Growth Responses of Abies holophylla and Abies koreana Seedlings to Open-Field Experimental Warming and Increased Precipitation
Abstract
1. Introduction
2. Materials and Methods
2.1. Study Site
2.2. Experimental Design
2.3. Data Collection
2.3.1. Environmental Data
2.3.2. Physiological and Shoot Growth Data
2.4. Statistical Analyses
3. Results
3.1. Environmental Conditions
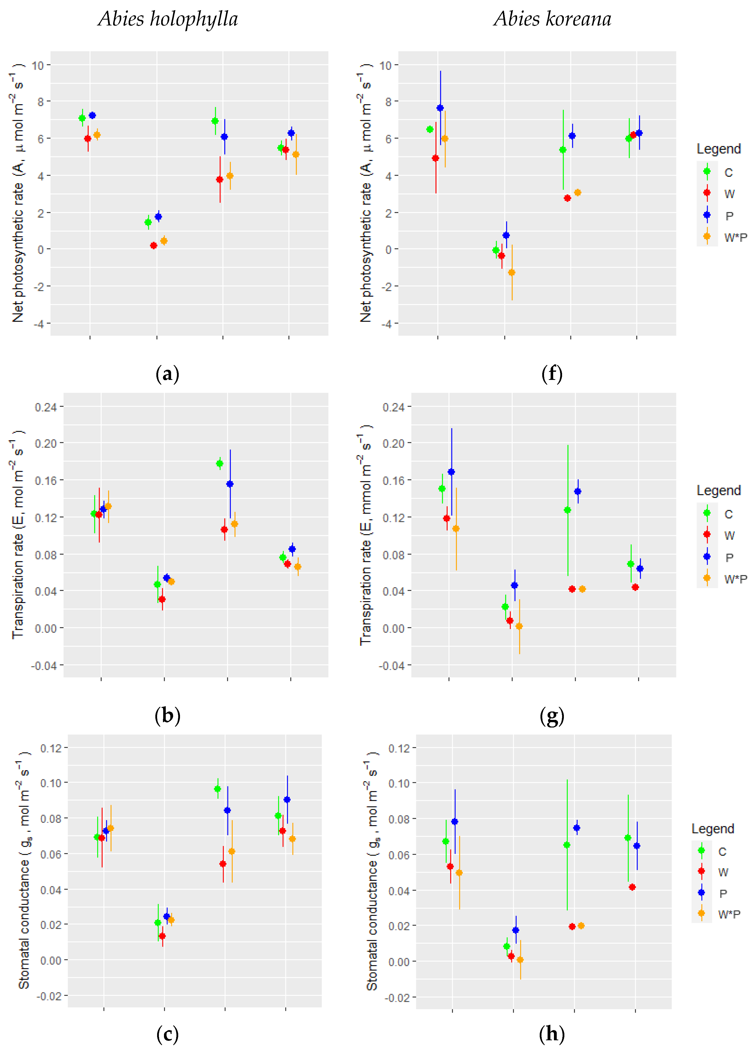
3.2. Physiological Responses to Warming and Increased Precipitation Treatments
3.3. Growth Responses to Warming and Increased Precipitation Treatments
4. Discussion
4.1. Effects of Warming and Increased Precipiation on Plant Physiological Parameters
4.2. Effects of Warming and Increased Precipiation on Shoot Growth of the Species
4.3. Plant Adaptation to Climate Change
5. Conclusions
Supplementary Materials
Author Contributions
Funding
Institutional Review Board Statement
Informed Consent Statement
Acknowledgments
Conflicts of Interest
References
- IPCC. Climate Change 2014: Synthesis Report; Intergovernmental Panel on Climate Change: Geneva, Switzerland, 2014. [Google Scholar]
- NIMS. Korea 100 Years Climate Change Report; National Institute of Meteorological Sciences: Seogwipo, Korea, 2018. [Google Scholar]
- Hughes, L. Biological consequences of global warming: Is the signal already apparent? Trends Ecol. Evol. 2000, 15, 56–61. [Google Scholar] [CrossRef]
- Spittlehouse, D.L.; Stewart, R.B. Adaptation to climate change in forest management. BC J. Ecosyst. Manag. 2003, 4, 1–11. [Google Scholar]
- Ciais, P.; Reichstein, M.; Viovy, N.; Granier, A.; Ogée, J.; Allard, V.; Aubinet, M.; Buchmann, N.; Bernhofer, C.; Carrara, A.; et al. Europe-wide reduction in primary productivity caused by the heat and drought in 2003. Nature 2005, 437, 529–533. [Google Scholar] [CrossRef] [PubMed]
- Schwalm, C.R.; Williams, C.A.; Schaefer, K.; Baldocchi, D.; Black, T.A.; Goldstein, A.H.; Law, B.E.; Oechel, W.C.; Paw, U.K.T.; Scott, R.L. Reduction in carbon uptake during turn of the century drought in western North America. Nat. Geosci. 2012, 5, 551–556. [Google Scholar] [CrossRef]
- Williams, A.P.; Allen, C.D.; Macalady, A.K.; Griffin, D.; Woodhouse, C.A.; Meko, D.M.; Swetnam, T.W.; Rauscher, S.A.; Seager, R.; Grissino-Mayer, H.D.; et al. Temperature as a potent driver of regional forest drought stress and tree mortality. Nat. Clim. Change 2013, 3, 292–297. [Google Scholar] [CrossRef]
- Mitchell, P.J.; O’Grady, A.P.; Hayes, K.R.; Pinkard, E.A. Exposure of trees to drought-induced die-off is defined by a common climatic threshold across different vegetation types. Ecol. Evol. 2014, 4, 1088–1101. [Google Scholar] [CrossRef]
- FAO. Global Forest Resources Assessment; Food and Agriculture Organization of the United Nations: Rome, Italy, 2015. [Google Scholar]
- Thompson, I.; Mackey, B.; McNulty, S.; Mosseler, A. Forest resilience, biodiversity, and climate change. In Secretariat of the Convention on Biological Diversity, Montreal; Technical Series No. 43. 1–67; Secretariat of the Convention on Biological Diversity: Montreal, QC, Canada, 2009; pp. 1–67. [Google Scholar]
- Noulèkoun, F.; Khamzina, A.; Naab, J.B.; Khasanah, N.M.; Van Noordwijk, M.; Lamers, J.P.A. Climate Change Sensitivity of Multi-Species Afforestation in Semi-Arid Benin. Sustainability 2018, 10, 1931. [Google Scholar] [CrossRef]
- Easterling, D.R.; Meehl, G.A.; Parmesan, C.; Changnon, S.A.; Karl, T.R.; Mearns, L.O. Climate extremes: Observations, modeling, and impacts. Science 2000, 289, 2068–2074. [Google Scholar] [CrossRef]
- Reichstein, M.; Bahn, M.; Ciais, P.; Frank, D.; Mahecha, M.D.; Seneviratne, S.I.; Zscheischler, J.; Beer, C.; Buchmann, N.; Frank, D.C.; et al. Climate extremes and the carbon cycle. Nature 2013, 500, 287–295. [Google Scholar] [CrossRef]
- Ruehr, N.K.; Gast, A.; Weber, C.; Daub, B.; Arneth, A. Water availability as dominant control of heat stress responses in two contrasting tree species. Tree Physiol. 2015, 36, 164–178. [Google Scholar] [CrossRef]
- Ruehr, N.K.; Law, B.E.; Quandt, D.; Williams, M. Effects of heat and drought on carbon and water dynamics in a regenerating semi-arid pine forest: A combined experimental and modeling approach. Biogeosciences 2014, 11, 4139–4156. [Google Scholar] [CrossRef]
- Haworth, M.; Marino, G.; Cosentino, S.L.; Brunetti, C.; De Carlo, A.; Avola, G.; Riggi, E.; Loreto, F.; Centritto, M. Increased free abscisic acid during drought enhances stomatal sensitivity and modifies stomatal behaviour in fast growing giant reed (Arundo donax L.). Environ. Exp. Bot. 2018, 147, 116–124. [Google Scholar] [CrossRef]
- Chaves, M.M.; Maroco, J.P.; Pereira, J.S. Understanding plant responses to drought—from genes to the whole plant. Funct. Plant Biol. 2003, 30, 239–264. [Google Scholar] [CrossRef] [PubMed]
- Ameye, M.; Wertin, T.M.; Bauweraerts, I.; McGuire, M.A.; Teskey, R.O.; Steppe, K. The effect of induced heat waves on Pinus taeda and Quercus rubra seedlings in ambient and elevated CO2 atmospheres. New Phytol. 2012, 196, 448–461. [Google Scholar] [CrossRef] [PubMed]
- Berry, J.; Bjorkman, O. Photosynthetic response and adaptation to temperature in higher plants. Annu. Rev. Plant Physiol. 1980, 31, 491–543. [Google Scholar] [CrossRef]
- Hikosaka, K.; Ishikawa, K.; Borjigidai, A.; Muller, O.; Onoda, Y. Temperature acclimation of photosynthesis: Mechanisms involved in the changes in temperature dependence of photosynthetic rate. J. Exp. Bot. 2006, 57, 291–302. [Google Scholar] [CrossRef]
- Yamori, W.; Hikosaka, K.; Way, D.A. Temperature response of photosynthesis in C3, C4, and CAM plants: Temperature acclimation and temperature adaptation. Photosynth. Res. 2014, 119, 101–117. [Google Scholar] [CrossRef]
- McWilliam, J.R.; Naylor, A.W. Temperature and plant adaptation. I. Interaction of temperature and light in the synthesis of chlorophyll in corn. Plant Physiol. 1967, 42, 1711–1715. [Google Scholar] [CrossRef]
- Ormrod, D.P.; Lesser, V.M.; Olszyk, D.M.; Tingey, D.T. Elevated Temperature and Carbon Dioxide Affect Chlorophylls and Carotenoids in Douglas-Fir Seedlings. Int. J. Plant Sci. 1999, 160, 529–534. [Google Scholar] [CrossRef]
- Tewari, A.K.; Tripathy, B.C. Temperature-Stress-Induced Impairment of Chlorophyll Biosynthetic Reactions in Cucumber and Wheat. Plant Physiol. 1998, 117, 851–858. [Google Scholar] [CrossRef]
- Muller, B.; Pantin, F.; Génard, M.; Turc, O.; Freixes, S.; Piques, M.; Gibon, Y. Water deficits uncouple growth from photosynthesis, increase C content, and modify the relationships between C and growth in sink organs. J. Exp. Bot. 2011, 62, 1715–1729. [Google Scholar] [CrossRef] [PubMed]
- Vu, J.C.V.; Allen, L.H., Jr.; Boote, K.J.; Bowes, G. Effects of elevated CO2 and temperature on photosynthesis and Rubisco in rice and soybean. Plant Cell Environ. 1997, 20, 68–76. [Google Scholar] [CrossRef]
- Tjoelker, M.G.; Oleksyn, J.; Reich, P.B. Seedlings of five boreal tree species differ in acclimation of net photosynthesis to elevated CO2 and temperature. Tree Physiol. 1998, 18, 715–726. [Google Scholar] [CrossRef] [PubMed]
- Driscoll, W.W.; Wiles, G.C.; D’Arrigo, R.D.; Wilmking, M. Divergent tree growth response to recent climatic warming, Lake Clark National Park and Preserve, Alaska. Geophys. Res. Lett. 2005, 32, 1–4. [Google Scholar] [CrossRef]
- Han, S.; Lee, S.J.; Yoon, T.K.; Han, S.H.; Lee, J.; Kim, S.; Hwang, J.; Cho, M.S.; Son, Y. Species-specific growth and photosynthetic responses of first-year seedlingsof four coniferous species to open-field experimental warming. Turk. J. Agric. For. 2015, 39, 342–349. [Google Scholar] [CrossRef]
- Jo, H.; Chang, H.; An, J.; Cho, M.S.; Son, Y. Species specific physiological responses of Pinus densiflora and Larix kaempferi seedlings to open-field experimental warming and precipitation manipulation. For. Sci. Technol. 2019, 15, 44–50. [Google Scholar] [CrossRef]
- Cao, J.; Liu, H.; Zhao, B.; Li, Z.; Drew, D.M.; Zhao, X. Species-specific and elevation-differentiated responses of tree growth to rapid warming in a mixed forest lead to a continuous growth enhancement in semi-humid Northeast Asia. For. Ecol. Manag. 2019, 448, 76–84. [Google Scholar] [CrossRef]
- Jassey, V.E.J.; Signarbieux, C. Effects of climate warming on Sphagnum photosynthesis in peatlands depend on peat moisture and species-specific anatomical traits. Glob. Chang. Biol. 2019, 25, 3859–3870. [Google Scholar] [CrossRef]
- Haworth, M.; Marino, G.; Brunetti, C.; Killi, D.; De Carlo, A.; Centritto, M. The impact of heat stress and water deficit on the photosynthetic and stomatal physiology of olive (Olea europaea L.)—A case study of the 2017 heat wave. Plants 2018, 7, 76. [Google Scholar] [CrossRef]
- Smith, B.G.; Stephens, W.; Burgess, P.J.; Carr, M.K.V. Effects of light, temperature, irrigation and fertilizer on photosynthetic rate in tea (Camellia sinensis). Exp. Agric. 1993, 29, 291–306. [Google Scholar] [CrossRef]
- Shrive, S.C.; McBride, R.A.; Gordon, A.M. Photosynthetic and Growth Responses of Two Broad-Leaf Tree Species to Irrigation with Municipal Landfill Leachate. J. Environ. Qual. 1994, 23, 534–542. [Google Scholar] [CrossRef]
- Khamzina, A.; Sommer, R.; Lamers, J.P.A.; Vlek, P.L.G. Transpiration and early growth of tree plantations established on degraded cropland over shallow saline groundwater table in northwest Uzbekistan. Agric. For. Meteorol. 2009, 149, 1865–1874. [Google Scholar] [CrossRef]
- Vu, J.C.V.; Yelenosky, G. Photosynthetic responses of citrus trees to soil flooding. Physiol. Plant. 1991, 81, 7–14. [Google Scholar] [CrossRef]
- Fernández, M. Changes in photosynthesis and fluorescence in response to flooding in emerged and submerged leaves of Pouteria orinocoensis. Photosynthetica 2006, 44, 32–38. [Google Scholar] [CrossRef]
- Khamzina, A.; Lamers, J.P.A.; Vlek, P.L.G. Tree establishment under deficit irrigation on degraded agricultural land in the lower Amu Darya River region, Aral Sea Basin. For. Ecol. Manag. 2008, 255, 168–178. [Google Scholar] [CrossRef]
- Cha, Y.-G.; Choi, K.-S.; Song, K.-S.; Sung, H.-I.; Kim, J.-J. Growth characteristics of one-year-old container seedlings of Pinus densiflora by irrigation level. Prot. Hortic. Plant Fact. 2017, 26, 167–174. [Google Scholar] [CrossRef]
- Noulèkoun, F.; Lamers, J.P.; Naab, J.; Khamzina, A. Shoot and root responses of woody species to silvicultural management for afforestation of degraded croplands in the Sudano-Sahelian zone of Benin. For. Ecol. Manag. 2017, 385, 254–263. [Google Scholar] [CrossRef]
- Noulèkoun, F.; Khamzina, A.; Naab, J.B.; Lamers, J.P. Biomass allocation in five semi-arid afforestation species is driven mainly by ontogeny rather than resource availability. Ann. For. Sci. 2017, 74, 1–12. [Google Scholar] [CrossRef]
- Xiang, X.; Cao, M.; Zhou, Z. Fossil history and modern distribution of the genus Abies (Pinaceae). Front. For. China 2007, 2, 355–365. [Google Scholar] [CrossRef]
- Seong, E.S.; Kim, S.K.; Lee, J.W.; Choi, S.H.; Yoo, J.H.; Lim, J.D.; Na, J.K.; Yu, C.Y. Antioxidant and antibacterial activities of the byproducts of Abies holophylla extract. Korean J. Med. Crop Sci. 2018, 26, 134–140. [Google Scholar] [CrossRef]
- Kim, J.; Lee, D.K.; Kim, H.G. Suitable trees for urban landscapes in the Republic of Korea under climate change. Landsc. Urban Plan. 2020, 204, 103937. [Google Scholar] [CrossRef]
- Koo, K.-A.; Park, W.-K.; Kong, W.-S. Dendrochronological analysis of Abies koreana W. at Mt. Halla, Korea: Effects of climate change on the growths. Korean J. Ecol. 2001, 24, 281–288. [Google Scholar]
- Woo, S.Y. Forest decline of the world: A linkage with air pollution and global warming. Afr. J. Biotechnol. 2009, 8, 7409–7414. [Google Scholar]
- Koo, K.A.; Kong, W.-S.; Park, S.U.; Lee, J.H.; Kim, J.; Jung, H. Sensitivity of Korean fir (Abies koreana Wils.), a threatened climate relict species, to increasing temperature at an island subalpine area. Ecol. Model. 2017, 353, 5–16. [Google Scholar] [CrossRef]
- Kim, Y.S.; Chang, C.S.; Kim, C.S.; Gardner, M. Abies Koreana. The IUCN Red List of Threatened Species 2011. 2011. Available online: https://dx.doi.org/10.2305/IUCN.UK.2011-2.RLTS.T31244A9618913.en (accessed on 3 November 2021).
- Kimball, B.A.; Conley, M.M.; Wang, S.; Lin, X.; Luo, C.; Morgan, J.; Smith, D. Infrared heater arrays for warming ecosystem field plots. Glob. Chang. Biol. 2008, 14, 309–320. [Google Scholar] [CrossRef]
- Mensah, S.; Noulekoun, F.; Dimobe, K.; Atanasso, J.; Salako, V.K.; Assogbadjo, A.; Kakaï, R.G. Revisiting biotic and abiotic drivers of seedling establishment, natural enemies and survival in a tropical tree species in a West Africa semi-arid biosphere reserve. J. Environ. Manag. 2020, 276, 111268. [Google Scholar] [CrossRef]
- Haase, D.L. Understanding forest seedling quality: Measurements and interpretation. Tree Plant. Notes 2008, 52, 24–30. [Google Scholar]
- Shevtsova, A.; Graae, B.J.; Jochum, T.; Milbau, A.; Kockelbergh, F.; Beyens, L.; Nijs, I. Critical periods for impact of climate warming on early seedling establishment in subarctic tundra. Glob. Chang. Biol. 2009, 15, 2662–2680. [Google Scholar] [CrossRef]
- Korea Meteorological Administration. Automatic Weather Station (AWS) Observations; Korea Meteorological Administration: Seoul, Korea, 2020. [Google Scholar]
- Korea Forest Service. Guidelines for Seed and Seedling Management; Korea Forest Service: Daejeon, Korea, 2015. [Google Scholar]
- Korea Global Atmosphere Watch Center (KGAWC). RCP Korean Peninsula Scenario; KGAWC: Seoul, Korea, 2005. [Google Scholar]
- Harte, J.; Shaw, R. Shifting Dominance Within a Montane Vegetation Community: Results of a Climate-Warming Experiment. Science 1995, 267, 876–880. [Google Scholar] [CrossRef]
- Kimball, B.A. Theory and performance of an infrared heater for ecosystem warming. Glob. Chang. Biol. 2005, 11, 2041–2056. [Google Scholar] [CrossRef]
- Hiscox, J.; Israelstam, G. A method for the extraction of chlorophyll from leaf tissue without maceration. Can. J. Bot. 1979, 57, 1332–1334. [Google Scholar] [CrossRef]
- Went, F.W. The effect of temperature on plant growth. Annu. Rev. Plant Physiol. 1953, 4, 347–362. [Google Scholar] [CrossRef]
- Daniell, J.W.; Chappell, W.; Couch, H. Effect of sublethal and lethal temperature on plant cells. Plant Physiol. 1969, 44, 1684–1689. [Google Scholar] [CrossRef] [PubMed]
- Harding, S.A.; Guikema, J.A.; Paulsen, G.M. Photosynthetic decline from high temperature stress during maturation of wheat: II. Interaction with source and sink processes. Plant Physiol. 1990, 92, 654–658. [Google Scholar] [CrossRef]
- Salvucci, M.E.; Crafts-Brandner, S.J. Inhibition of photosynthesis by heat stress: The activation state of Rubisco as a limiting factor in photosynthesis. Physiol. Plant. 2004, 120, 179–186. [Google Scholar] [CrossRef]
- Allakhverdiev, S.I.; Kreslavski, V.D.; Klimov, V.V.; Los, D.A.; Carpentier, R.; Mohanty, P. Heat stress: An overview of molecular responses in photosynthesis. Photosynth. Res. 2008, 98, 541–550. [Google Scholar] [CrossRef]
- Woo, S.Y.; Lim, J.-H.; Lee, D.K. Effects of Temperature on Photosynthetic Rates in Korean Fir (Abies koreana) between Healthy and Dieback Population. J. Integr. Plant Biol. 2008, 50, 190–193. [Google Scholar] [CrossRef]
- Sánchez-Salguero, R.; Ortíz, C.; Covelo, F.; Ochoa, V.; García-Ruíz, R.; Seco, J.I.; Carreira, J.A.; Merino, J.Á.; Linares, J.C. Regulation of Water Use in the Southernmost European Fir (Abies pinsapo Boiss.): Drought Avoidance Matters. Forests 2015, 6, 2241–2260. [Google Scholar] [CrossRef]
- Fang, O.; Qiu, H.; Zhang, Q.-B. Species-specific drought resilience in juniper and fir forests in the central Himalayas. Ecol. Indic. 2020, 117, 106615. [Google Scholar] [CrossRef]
- Dusenge, M.E.; Duarte, A.G.; Way, D.A. Plant carbon metabolism and climate change: Elevated CO2 and temperature impacts on photosynthesis, photorespiration and respiration. New Phytol. 2019, 221, 32–49. [Google Scholar] [CrossRef]
- Crawford, A.J.; McLachlan, D.H.; Hetherington, A.M.; Franklin, K.A. High temperature exposure increases plant cooling capacity. Curr. Biol. 2012, 22, R396–R397. [Google Scholar] [CrossRef] [PubMed]
- Je, S.M.; Kim, S.H.; Woo, S.Y. Responses of the photosynthetic apparatus of Abies koreana to drought under different light conditions. Ecol. Res. 2018, 33, 413–423. [Google Scholar] [CrossRef]
- Larcher, W.; Wagner, J.; Lütz, C. The effect of heat on photosynthesis, dark respiration and cellular ultrastructure of the arctic-alpine psychrophyte Ranunculus glacialis. Photosynthetica 1998, 34, 219–232. [Google Scholar] [CrossRef]
- Robakowski, P.; Montpied, P.; Dreyer, E. Temperature response of photosynthesis of silver fir (Abies alba Mill.) seedlings. Ann. For. Sci. 2002, 59, 163–170. [Google Scholar] [CrossRef][Green Version]
- Gallé, A.; Feller, U. Changes of photosynthetic traits in beech saplings (Fagus sylvatica) under severe drought stress and during recovery. Physiol. Plant. 2007, 131, 412–421. [Google Scholar] [CrossRef]
- Miyashita, K.; Tanakamaru, S.; Maitani, T.; Kimura, K. Recovery responses of photosynthesis, transpiration, and stomatal conductance in kidney bean following drought stress. Environ. Exp. Bot. 2005, 53, 205–214. [Google Scholar] [CrossRef]
- Kim, E.-S.; Cho, H.-B.; Heo, D.; Kim, N.-S.; Kim, Y.-S.; Lee, K.; Lee, S.-H.; Ryu, J. Precision monitoring of radial growth of trees and micro-climate at a Korean Fir (Abies koreana Wilson) forest at 10 minutes interval in 2016 on Mt. Hallasan National Park, Jeju Island, Korea. J. Ecol. Environ. 2019, 43, 226–245. [Google Scholar] [CrossRef]
- Gazol, A.; Camarero, J.J.; Gutiérrez, E.; Popa, I.; Andreu-Hayles, L.; Motta, R.; Nola, P.; Ribas, M.; Sangüesa-Barreda, G.; Urbinati, C. Distinct effects of climate warming on populations of silver fir (Abies alba) across Europe. J. Biogeogr. 2015, 42, 1150–1162. [Google Scholar] [CrossRef]
- Smith, A.M.; Stitt, M. Coordination of carbon supply and plant growth. Plant Cell Environ. 2007, 30, 1126–1149. [Google Scholar] [CrossRef]
- Chapin, F.S., III; Shaver, G.R. Physiological and growth responses of arctic plants to a field experiment simulating climatic change. Ecology 1996, 77, 822–840. [Google Scholar] [CrossRef]
- Hanley, M.E.; Fenner, M.; Whibley, H.; Darvill, B. Early plant growth: Identifying the end point of the seedling phase. New Phytol. 2004, 163, 61–66. [Google Scholar] [CrossRef] [PubMed]
- Kotak, S.; Larkindale, J.; Lee, U.; von Koskull-Döring, P.; Vierling, E.; Scharf, K.-D. Complexity of the heat stress response in plants. Curr. Opin. Plant Biol. 2007, 10, 310–316. [Google Scholar] [CrossRef] [PubMed]
- Friedrichs, D.A.; Trouet, V.; Büntgen, U.; Frank, D.C.; Esper, J.; Neuwirth, B.; Löffler, J. Species-specific climate sensitivity of tree growth in Central-West Germany. Trees 2009, 23, 729–739. [Google Scholar] [CrossRef]
- Cunningham, S.; Read, J. Comparison of temperate and tropical rainforest tree species: Photosynthetic responses to growth temperature. Oecologia 2002, 133, 112–119. [Google Scholar] [CrossRef]





| Parameters | Physiology | Growth | |||||
|---|---|---|---|---|---|---|---|
| A | E | gs | Chl | Ci/Ca | Height | RCD | |
| Sp | 0.080 | 0.071 | <0.001 | 0.024 | 0.053 | <0.001 | <0.001 |
| W | <0.001 | <0.001 | <0.001 | 0.013 | 0.007 | 0.647 | 0.157 |
| P | 0.205 | 0.228 | 0.294 | 0.106 | 0.023 | 0.254 | 0.89 |
| Time | <0.001 | <0.001 | <0.001 | <0.001 | <0.001 | <0.001 | <0.001 |
| Sp*W | 0.649 | 0.016 | 0.111 | 0.843 | 0.378 | 0.026 | 0.062 |
| Sp*P | 0.331 | 0.77 | 0.841 | 0.543 | 0.025 | 0.529 | 0.824 |
| W*P | 0.423 | 0.7 | 0.84 | 0.027 | 0.393 | 0.501 | 0.353 |
| Time*Sp | 0.134 | 0.003 | 0.215 | <0.001 | <0.001 | 0.502 | 0.388 |
| Time*W | 0.003 | <0.001 | <0.001 | 0.422 | <0.001 | 0.473 | 0.654 |
| Time*P | 0.721 | 0.728 | 0.845 | 0.327 | 0.621 | 0.432 | 0.596 |
| Sp*W*P | 0.363 | 0.1 | 0.205 | 0.494 | 0.426 | 0.356 | 0.386 |
| Time*Sp*W | 0.818 | 0.677 | 0.733 | 0.773 | 0.148 | 0.803 | 0.36 |
| Time*Sp*P | 0.544 | 0.626 | 0.706 | 0.988 | 0.819 | 0.054 | 0.569 |
| Time*W*P | 0.438 | 0.729 | 0.457 | 0.636 | 0.704 | 0.574 | 0.833 |
| Time*Sp*W*P | 0.743 | 0.954 | 0.912 | 0.855 | 0.290 | 0.711 | 0.676 |
| Physiology | |||||||||||||
| A (µmol m−2 s−1) | E (mol m−2 s−1) | gs (mol m−2 s−1) | |||||||||||
| Jul | Aug | Sep | Oct | Jul | Aug | Sep | Oct | Jul | Aug | Sep | Oct | ||
| Sp | Ah | 6.61 a | 0.95 a | 5.17 a | 5.55 a | 0.13 a | 0.05 a | 0.14 a | 0.07 a | 0.07 a | 0.02 a | 0.07 a | 0.08 a |
| Ak | 6.24 a | −0.13 b | 5.02 a | 6.13 a | 0.14 a | 0.02 b | 0.11 a | 0.06 a | 0.06 a | 0.01 b | 0.06 a | 0.06 b | |
| W | No W | 7.09 a | 0.97 a | 6.11 a | 5.99 a | 0.14 a | 0.04 a | 0.15 a | 0.07 a | 0.07 a | 0.02 a | 0.08 a | 0.08 a |
| W | 5.75 b | −0.16 b | 3.61 b | 5.38 a | 0.12 b | 0.03 b | 0.09 b | 0.06 a | 0.06 a | 0.01 a | 0.05 b | 0.07 a | |
| P | No P | 6.10 a | 0.35 a | 5.08 a | 5.66 a | 0.13 a | 0.03 a | 0.13 a | 0.07 a | 0.06 a | 0.01 a | 0.07 a | 0.07 a |
| P | 6.74 a | 0.57 a | 5.13 a | 5.88 a | 0.13 a | 0.04 a | 0.13 a | 0.07 a | 0.07 a | 0.02 a | 0.07 a | 0.07 a | |
| Physiology | Growth | ||||||||||||
| Chl (mg g−1) | Ci/Ca | Height (cm) | RCD (mm) | ||||||||||
| Jul | Aug | Sep | Oct | Jul | Aug | Sep | Oct | Aug | Dec | Aug | Dec | ||
| Sp | Ah | 0.18 a | 0.14 a | 0.15 a | 0.15 a | 0.59 a | 0.80 a | 0.68 a | 0.69 a | 2.87 a | 3.55 a | 0.97 a | 1.44 a |
| Ak | 0.20 a | 0.10 b | 0.12 b | 0.13 a | 0.56 a | 0.98 a | 0.59 b | 0.59 b | 1.36 b | 1.96 b | 0.47 b | 0.99 b | |
| W | No W | 0.20 a | 0.14 a | 0.15 a | 0.14 a | 0.57 a | 0.75 b | 0.65 a | 0.65 a | 2.07 a | 2.75 a | 0.73 a | 1.23 a |
| W | 0.18 a | 0.11 a | 0.13 a | 0.15 a | 0.58 a | 1.04 a | 0.64 a | 0.68 a | 2.31 a | 3.03 a | 0.76 a | 1.26 a | |
| P | No P | 0.19 a | 0.12 a | 0.14 a | 0.13 b | 0.58 a | 0.93 a | 0.66 a | 0.67 a | 2.25 a | 2.83 a | 0.73 a | 1.24 a |
| P | 0.19 a | 0.13 a | 0.14 a | 0.16 a | 0.56 a | 0.81 a | 0.63 a | 0.65 a | 2.12 a | 2.92 a | 0.76 a | 1.26 a | |
Publisher’s Note: MDPI stays neutral with regard to jurisdictional claims in published maps and institutional affiliations. |
© 2022 by the authors. Licensee MDPI, Basel, Switzerland. This article is an open access article distributed under the terms and conditions of the Creative Commons Attribution (CC BY) license (https://creativecommons.org/licenses/by/4.0/).
Share and Cite
Jo, H.; Noulèkoun, F.; Khamzina, A.; Chang, H.; Son, Y. Physiological and Shoot Growth Responses of Abies holophylla and Abies koreana Seedlings to Open-Field Experimental Warming and Increased Precipitation. Water 2022, 14, 356. https://doi.org/10.3390/w14030356
Jo H, Noulèkoun F, Khamzina A, Chang H, Son Y. Physiological and Shoot Growth Responses of Abies holophylla and Abies koreana Seedlings to Open-Field Experimental Warming and Increased Precipitation. Water. 2022; 14(3):356. https://doi.org/10.3390/w14030356
Chicago/Turabian StyleJo, Heejae, Florent Noulèkoun, Asia Khamzina, Hanna Chang, and Yowhan Son. 2022. "Physiological and Shoot Growth Responses of Abies holophylla and Abies koreana Seedlings to Open-Field Experimental Warming and Increased Precipitation" Water 14, no. 3: 356. https://doi.org/10.3390/w14030356
APA StyleJo, H., Noulèkoun, F., Khamzina, A., Chang, H., & Son, Y. (2022). Physiological and Shoot Growth Responses of Abies holophylla and Abies koreana Seedlings to Open-Field Experimental Warming and Increased Precipitation. Water, 14(3), 356. https://doi.org/10.3390/w14030356

