Estimating the Evaporative Cooling Effect of Irrigation within and above Soybean Canopy
Abstract
1. Introduction
2. Materials and Methods
2.1. Experiment Site
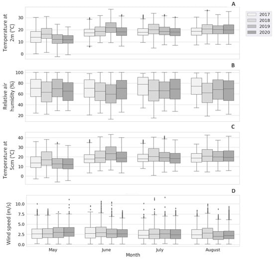
2.1.1. Micrometeorological Observations
2.1.2. Ancillary Data
2.2. Modelling the Air Temperature Differences under Adiabatic Processes
3. Result
3.1. Above the Canopy
3.2. Under the Canopy
3.3. LAI and Thermal Images
4. Discussion
4.1. The Cooling Effect above the Canopy
4.2. The Cooling Effect below the Canopy
4.3. Model Limitations
5. Conclusions
Supplementary Materials
Author Contributions
Funding
Institutional Review Board Statement
Informed Consent Statement
Data Availability Statement
Conflicts of Interest
References
- Seneviratne, S.I.; Donat, M.G.; Pitman, A.J. Managing the Risks of Extreme Events and Disasters to Advance Climate Change. Intergovernmental Panel on Climate Change; Cambridge University Press: New York, NY, USA, 2012. [Google Scholar]
- Arnell, N.W.; Lowe, J.A.; Challinor, A.J.; Osborn, T.J. Global and regional impacts of climate change at different levels of global temperature increase. Climate Chang. 2019, 155, 377–391. [Google Scholar] [CrossRef]
- Fischer, E.M.; Schär, C. Future changes in daily summer temperature variability: Driving processes and role for temperature extremes. Clim. Dyn. 2009, 33, 917–935. [Google Scholar] [CrossRef]
- Ruthrof, K.X.; Breshears, D.D.; Fontaine, J.; Froend, R.; Matusick, G.; Kala, J.; Miller, B.; Mitchell, P.J.; Wilson, S.; van Keulen, M. Subcontinental heat wave triggers terrestrial and marine, multi-taxa responses. Sci. Rep. 2018, 8, 1–9. [Google Scholar] [CrossRef] [PubMed]
- Smith, M.D. The ecological role of climate extremes: Current understanding and future prospects. J. Ecol. 2011, 99, 651–655. [Google Scholar] [CrossRef]
- Teskey, R.; Wertin, T.; Bauweraerts, I.; Ameye, M.; McGuire, M.A.; Steppe, K. Responses of tree species to heat waves and extreme heat events. Plant Cell Environ. 2014, 38, 1699–1712. [Google Scholar] [CrossRef] [PubMed]
- IPCC. Climate Change: Impacts, Adaptation, and Vulnerability. Part A: Global and Sectoral Aspects. In Contribution of Working Group II to the Fifth Assessment Report of the Intergovernmental Panel on Climate Change; Cambridge University Press: Cambridge, UK; New York, NY, USA, 2014; 1132p. [Google Scholar]
- Ainsworth, T.D.; Heron, S.F.; Ortiz, J.C.; Mumby, P.J.; Grech, A.; Ogawa, D.; Eakin, C.M.; Leggat, W. Climate change disables coral bleaching protection on the Great Barrier Reef. Science 2016, 352, 338–342. [Google Scholar] [CrossRef]
- Dijkstra, J.A.; Westerman, E.L.; Harris, L.G. The effects of climate change on species composition, succession and phenology: A case study. Glob. Chang. Biol. 2010, 17, 2360–2369. [Google Scholar] [CrossRef]
- Dunne, J.P.; Stouffer, R.J.; John, J.G. Reductions in labour capacity from heat stress under climate warming. Nat. Clim. Chang. 2013, 3, 563–566. [Google Scholar] [CrossRef]
- Daryanto, S.; Wang, L.; Jacinthe, P.-A. Global Synthesis of Drought Effects on Maize and Wheat Production. PLoS ONE 2016, 11, e0156362. [Google Scholar] [CrossRef]
- Rahman, M.A.; Hartmann, C.; Moser-Reischl, A.; von Strachwitz, M.F.; Paeth, H.; Pretzsch, H.; Pauleit, S.; Rötzer, T. Tree cooling effects and human thermal comfort under contrasting species and sites. Agric. For. Meteorol. 2020, 287, 107947. [Google Scholar] [CrossRef]
- Rahman, M.; Armson, D.; Ennos, A. Effect of urbanization and climate change in the rooting zone on the growth and physiology of Pyrus calleryana. Urban For. Urban Green. 2014, 13, 325–335. [Google Scholar] [CrossRef]
- Edmondson, J.L.; Stott, I.; Davies, Z.G.; Gaston, K.J.; Leake, J.R. Soil surface temperatures reveal moderation of the urban heat island effect by trees and shrubs. Sci. Rep. 2016, 6, 1–8. [Google Scholar] [CrossRef]
- Zölch, T.; Maderspacher, J.; Wamsler, C.; Pauleit, S. Using green infrastructure for urban climate-proofing: An evaluation of heat mitigation measures at the micro-scale. Urban For. Urban Green. 2016, 20, 305–316. [Google Scholar] [CrossRef]
- Findell, K.L.; Shevliakova, E.; Milly, P.C.D.; Stouffer, R.J. Modeled impact of anthropogenic land cover change on climate. J. Clim. 2007, 20, 3621–3634. [Google Scholar] [CrossRef]
- De Frenne, P.; Zellweger, F.; Rodriguez-Sanchez, F.; Scheffers, B.; Hylander, K.; Luoto, M.; Vellend, M.; Verheyen, K.; Lenoir, J. Global buffering of temperatures under forest canopies. Nat. Ecol. Evol. 2019, 3, 744–749. [Google Scholar] [CrossRef]
- Broadbent, A.M.; Coutts, A.M.; Tapper, N.J.; Demuzere, M. The cooling effect of irrigation on urban microclimate during heatwave conditions. Urban Clim. 2018, 23, 309–329. [Google Scholar] [CrossRef]
- Biggs, T.W.; Scott, C.A.; Gaur, A.; Venot, J.-P.; Chase, T.; Lee, E. Impacts of irrigation and anthropogenic aerosols on the water balance, heat fluxes, and surface temperature in a river basin. Water Resour. Res. 2008, 44, W12415. [Google Scholar] [CrossRef]
- Lobell, D.B.; Bonfils, C.J.; Kueppers, L.M.; Snyder, M.A. Irrigation cooling effect on temperature and heat index extremes. Geophys. Res. Lett. 2008, 35, L09705. [Google Scholar] [CrossRef]
- Santamouris, M.; Ban-Weiss, G.; Osmond, P.; Paolini, R.; Synnefa, A.; Cartalis, C.; Muscio, A.; Zinzi, M.; Morakinyo, T.E.; Ng, E.Y.Y. Progress in urban greenery mitigation science–assessment methodologies advanced technologies and impact on cities. J. Civ. Eng. Manag. 2018, 24, 638–671. [Google Scholar] [CrossRef]
- Hoelscher, M.-T.; Nehls, T.; Jänicke, B.; Wessolek, G. Quantifying cooling effects of facade greening: Shading, transpiration and insulation. Energy Build. 2016, 114, 283–290. [Google Scholar] [CrossRef]
- Estoque, R.C.; Murayama, Y.; Myint, S.W. Effects of landscape composition and pattern on land surface temperature: An urban heat island study in the megacities of Southeast Asia. Sci. Total Environ. 2017, 577, 349–359. [Google Scholar] [CrossRef] [PubMed]
- Mahmood, R.; Pielke, R.A., Sr.; Hubbard, K.; Niyogi, D.; Dirmeyer, P.A.; McAlpine, C.; Carleton, A.M.; Hale, R.; Gameda, S.; Beltrán-Przekurat, A. Land cover changes and their biogeophysical effects on climate. Int. J. Clim. 2013, 34, 929–953. [Google Scholar] [CrossRef]
- Hou, H.; Estoque, R.C. Detecting Cooling Effect of Landscape from Composition and Configuration: An Urban Heat Island Study on Hangzhou. Urban For. Urban Green. 2020, 53, 126719. [Google Scholar] [CrossRef]
- Coleman, R.; Stavros, N.; Hulley, G.; Parazoo, N. Comparison of Thermal Infrared-Derived Maps of Irrigated and Non-Irrigated Vegetation in Urban and Non-Urban Areas of Southern California. Remote Sens. 2020, 12, 4102. [Google Scholar] [CrossRef]
- Siebert, S.; Webber, H.; Zhao, G.; Ewert, F. Heat stress is overestimated in climate impact studies for irrigated agriculture. Environ. Res. Lett. 2017, 12, 054023. [Google Scholar] [CrossRef]
- Paschold, P.-J.; Kleber, J.; Mayer, N. Geisenheimer Bewässerungssteuerung; Hochschule Geisenheim University: Geisenheim, Germany, 2010; pp. 1–7. [Google Scholar]
- Allen, R.G.; Pereira, L.S.; Raes, D.; Smith, M. Crop evapotraspiration guidelines for computing crop water requirements. Fao Rome 1998, 300, D05109. [Google Scholar]
- Weiss, M.; Baret, F.; Smith, G.; Jonckheere, I.; Coppin, P. Review of methods for in situ leaf area index (LAI) determination: Part II. Estimation of LAI, errors and sampling. Agric. For. Meteorol. 2004, 121, 37–53. [Google Scholar] [CrossRef]
- FAO. Crop Evapotranspiration-Guidelines for Computing Crop Water Requirements-FAO Irrigation and Drainage Paper 56. 1998. Available online: http://www.fao.org/3/x0490e/x0490e00.htm#Contents (accessed on 6 April 2021).
- Richards, M. PyETo Implements Methods for Estimating Evapotranspiration. 2015. Available online: https://pyeto.readthedocs.io/en/latest/overview.html (accessed on 24 November 2021).
- Engineering ToolBox. 2004. Available online: https://www.engineeringtoolbox.com/enthalpy-moist-air-d_683.html (accessed on 31 July 2021).
- Mankonen, A.; Kaikko, J.; Vakkilainen, E.; Sergeev, V. Thermodynamic analysis of a condensing evaporator in an evaporative gas turbine cycle. MATEC Web Conf. 2018, 245, 07007. [Google Scholar] [CrossRef][Green Version]
- Kueppers, L.M.; Snyder, M.; Sloan, L.C. Irrigation cooling effect: Regional climate forcing by land-use change. Geophys. Res. Lett. 2007, 34, 1–5. [Google Scholar] [CrossRef]
- Casconea, S.; Comab, J.; Gaglianoc, A.; Pérezd, G. The evapotranspiration process in green roofs: A review. Build. Environ. 2018, 147, 337–355. [Google Scholar] [CrossRef]
- Penman, H.L. The physical bases of irrigation control. Proceedings of the Report of the 13th International Horticultural Congress, Adelaide, South Australia, 1952; pp. 1–13. Available online: https://repository.rothamsted.ac.uk/download/c8d6335630949fbe87fac367fbed53ce2dce2f523b7b179092b08badde2b3d9c/1719129/1817_001.pdf (accessed on 24 November 2021).
- Zotarelli, L.; Dukes, M.D.; Romero, C.C.; Migliaccio, K.W.; Morgan, K.T. Step by Step Calculation of the Penman-Monteith Evapotranspiration (FAO-56 Method); Institute of Food and Agricultural Sciences, University of Florida: Gainesville, FL, USA, 2014; pp. 1–14. [Google Scholar]





| Crop | Soybean | |||||
|---|---|---|---|---|---|---|
| Date & time | 4 August 12:58:00 | 5 August 6:34:00 | 11 August 11:02:00 | 14 August 9:48:00 | 20 August 10:23:00 | 26 August 6:31:00 |
| Depth (mm) | 20 | 20 | 20 | 20 | 20 | 20 |
| Growing and Mid-Season Stage | Late-Season Stage | ||||
|---|---|---|---|---|---|
| Date | R2 | MAE[K] | Date | R2 | MAE[K] |
| 1 August 2020 | 0.93 | 0.61 | 15 August 2020 | 0.95 | 0.52 |
| 2 August 2020 | 1.00 | 0.11 | 16 August 2020 | 0.90 | 0.56 |
| 3 August 2020 | 1.00 | 0.13 | 17 August 2020 | 0.98 | 0.31 |
| 4 August 2020 | 0.96 | 0.31 | 18 August 2020 | 0.93 | 0.27 |
| 5 August 2020 | 0.91 | 0.57 | 19 August 2020 | 0.99 | 0.17 |
| 6 August 2020 | 0.91 | 0.70 | 20 August 2020 | 1.00 | 0.10 |
| 7 August 2020 | 0.99 | 0.32 | 21 August 2020 | 0.99 | 0.18 |
| 8 August 2020 | 0.99 | 0.31 | 22 August 2020 | 0.98 | 0.26 |
| 9 August 2020 | 1.00 | 0.23 | 23 August 2020 | 0.99 | 0.17 |
| 10 August 2020 | 1.00 | 0.09 | 24 August 2020 | 1.00 | 0.08 |
| 11 August 2020 | 0.93 | 0.62 | 26 August 2020 | 0.94 | 0.37 |
| 12 August 2020 | 0.88 | 0.75 | 27 August 2020 | 0.98 | 0.28 |
| 13 August 2020 | 0.96 | 0.53 | 28 August 2020 | 0.99 | 0.30 |
| 14 August 2020 | 0.99 | 0.19 | 29 August 2020 | 0.99 | 0.20 |
| 30 August 2020 | 0.99 | 0.43 | |||
| Growing and Mid-Season Stage | Late-Season Stage | ||||
|---|---|---|---|---|---|
| Date | R2 | MAE [K] | Date | R2 | MAE [K] |
| 1 August 2020 | 0.67 | 2.31 | 15 August 2020 | 0.72 | 1.57 |
| 2 August 2020 | 0.88 | 0.56 | 16 August 2020 | 0.75 | 1.84 |
| 3 August 2020 | 0.88 | 0.46 | 17 August 2020 | 0.94 | 0.74 |
| 4 August 2020 | 0.51 | 2.26 | 18 August 2020 | 0.73 | 0.51 |
| 5 August 2020 | 0.17 | 4.29 | 19 August 2020 | 0.96 | 0.50 |
| 6 August 2020 | 0.60 | 2.31 | 20 August 2020 | 0.54 | 1.93 |
| 7 August 2020 | 0.93 | 0.77 | 21 August 2020 | 0.75 | 1.62 |
| 8 August 2020 | 0.94 | 0.81 | 22 August 2020 | 0.93 | 0.33 |
| 9 August 2020 | 0.95 | 0.78 | 23 August 2020 | 0.75 | 1.21 |
| 10 August 2020 | 0.97 | 0.58 | 24 August 2020 | 0.90 | 0.83 |
| 11 August 2020 | −0.16 | 4.97 | 26 August 2020 | 0.87 | 0.26 |
| 12 August 2020 | 0.18 | 5.73 | 27 August 2020 | 0.98 | 0.27 |
| 13 August 2020 | 0.48 | 3.52 | 28 August 2020 | 0.99 | 0.27 |
| 14 August 2020 | 0.94 | 0.30 | 29 August 2020 | 0.97 | 0.36 |
| 30 August 2020 | 0.97 | 0.39 | |||
| Date | Not Irrigated | Irrigated |
|---|---|---|
| 4 August 2020 | 1.8 | 2.4 |
| 11 August 2020 | 1.2 | 1.8 |
| 19 August 2020 | 1 | 1.6 |
| Date | Not Irrigated | Irrigated |
|---|---|---|
| 4 August 2020 | 47.8 | 60.5 |
| 11 August 2020 | 48.7 | 64.8 |
| 19 August 2020 | 59.5 | 60.3 |
| Date | Not Irrigated | Irrigated |
|---|---|---|
| 31 July 2020 | 22.6 | 21.5 |
| 4 August 2020 | 26.5 | 24.0 |
| 18 August 2020 | 22.1 | 21.8 |
| 26 August 2020 | 22.9 | 21.1 |
Publisher’s Note: MDPI stays neutral with regard to jurisdictional claims in published maps and institutional affiliations. |
© 2022 by the authors. Licensee MDPI, Basel, Switzerland. This article is an open access article distributed under the terms and conditions of the Creative Commons Attribution (CC BY) license (https://creativecommons.org/licenses/by/4.0/).
Share and Cite
Ghafarian, F.; Wieland, R.; Nendel, C. Estimating the Evaporative Cooling Effect of Irrigation within and above Soybean Canopy. Water 2022, 14, 319. https://doi.org/10.3390/w14030319
Ghafarian F, Wieland R, Nendel C. Estimating the Evaporative Cooling Effect of Irrigation within and above Soybean Canopy. Water. 2022; 14(3):319. https://doi.org/10.3390/w14030319
Chicago/Turabian StyleGhafarian, Fatemeh, Ralf Wieland, and Claas Nendel. 2022. "Estimating the Evaporative Cooling Effect of Irrigation within and above Soybean Canopy" Water 14, no. 3: 319. https://doi.org/10.3390/w14030319
APA StyleGhafarian, F., Wieland, R., & Nendel, C. (2022). Estimating the Evaporative Cooling Effect of Irrigation within and above Soybean Canopy. Water, 14(3), 319. https://doi.org/10.3390/w14030319

