Coupling Effects of Strain Rate and Low Temperature on the Dynamic Mechanical Properties of Frozen Water-Saturated Sandstone
Abstract
1. Introduction
2. Sample Preparation and Test Procedures
2.1. Sample Preparation
2.2. Test Apparatus
2.3. Test Methodology
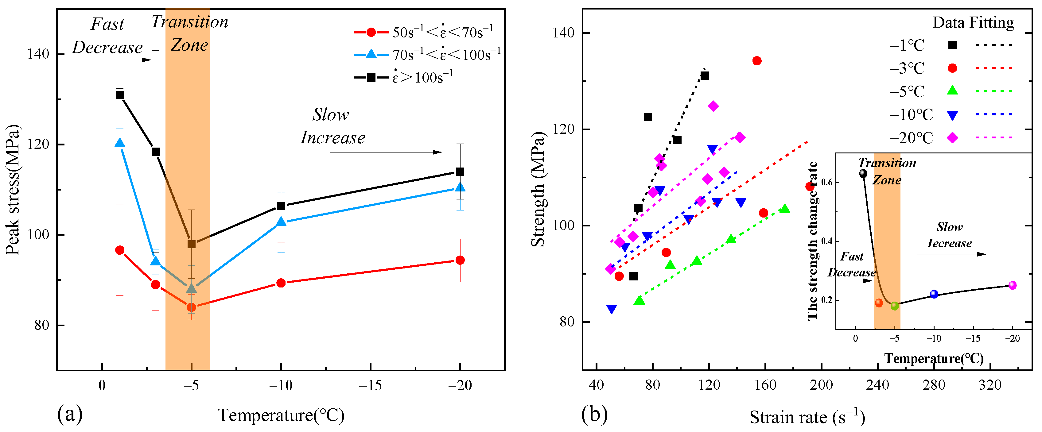
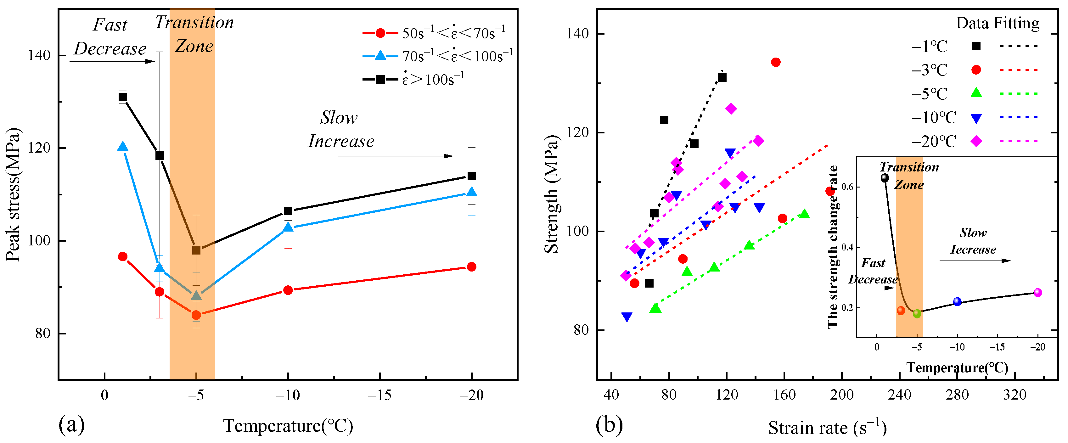
3. Results and Analysis
3.1. Quasi-Static Compression Test
3.2. Dynamic Compression Test
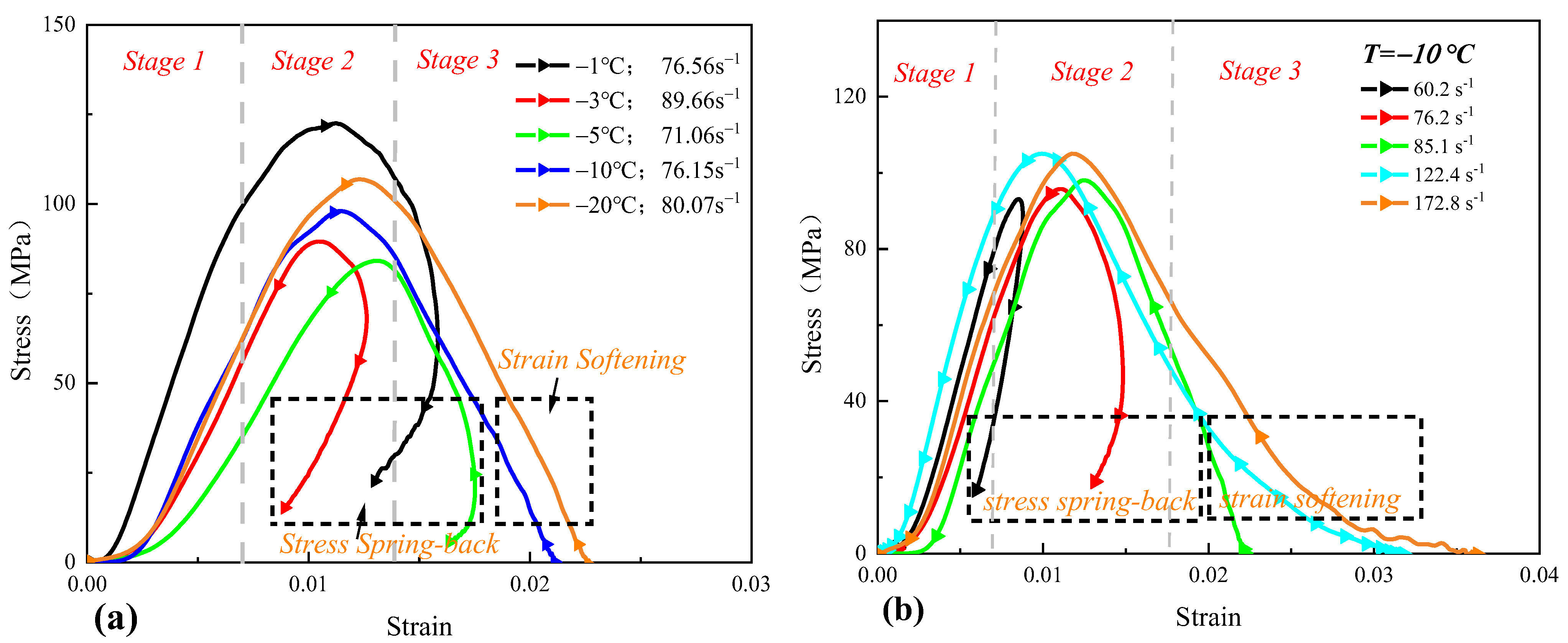
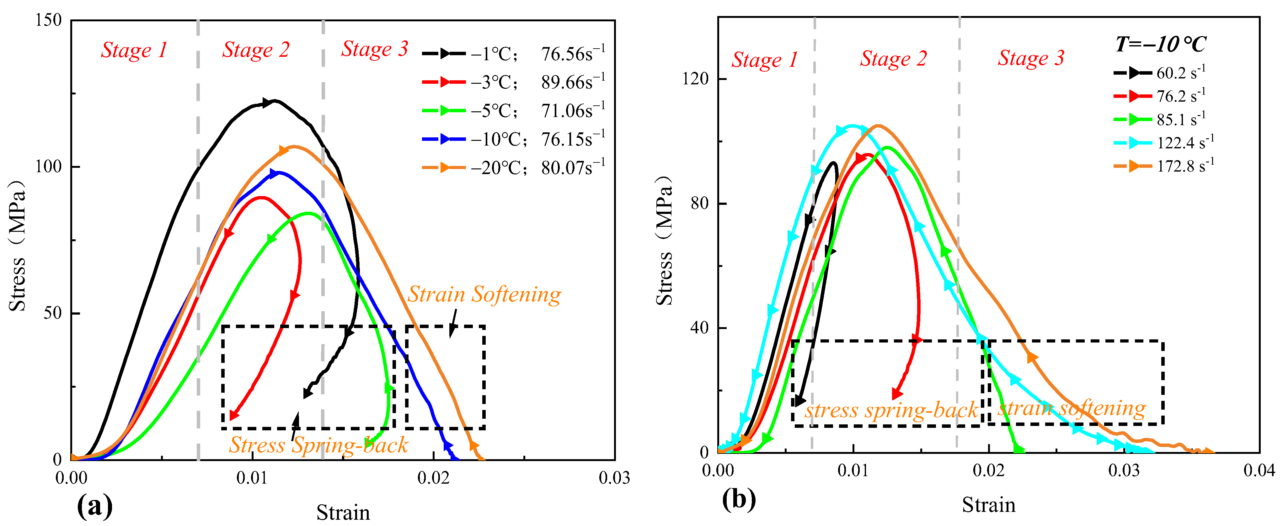
3.2.1. Dynamic Stress-Strain Curve
3.2.2. Failure Pattern
3.2.3. Energy Evolution Law
3.3. Water-Ice Phase Transition Mechanism of Frozen Saturated Sandstone
4. Conclusions
Author Contributions
Funding
Data Availability Statement
Acknowledgments
Conflicts of Interest
References
- Bai, Y.; Shan, R.; Ju, Y.; Wu, Y.; Sun, P.; Wang, Z. Study on the mechanical properties and damage constitutive model of frozen weakly cemented red sandstone. Cold Reg. Sci. Technol. 2020, 171, 102980. [Google Scholar] [CrossRef]
- Xi, G.M.; Yang, G.S.; Pang, L.; Lv, X.-T.; Liu, F.-L. Experimental study on basic mechanical behaviors of sandy mudstone under low freezing temperature. J. China Coal Soc. 2014, 39, 1262–1268. [Google Scholar]
- Shan, R.-L.; Bai, Y.; Ju, Y.; Han, T.-Y.; Dou, H.-Y.; Li, Z.-L. Study on the triaxial unloading creep mechanical properties and damage constitutive model of red sandstone containing a single ice-filled flaw. Rock Mech. 2021, 54, 833–855. [Google Scholar] [CrossRef]
- Wang, X.-H.; Zhang, S.-R.; Wang, C.; Song, R.; Shang, C.; Fang, X. Experimental investigation of the size effect of layered roller compacted concrete (RCC) under high-strain-rate loading. Constr. Build. Mater. 2018, 165, 45–57. [Google Scholar] [CrossRef]
- Yang, Y.; Lai, Y.; Li, J. Laboratory investigation on the strength characteristic of frozen sand considering effect of confining pressure. Cold Reg. Sci. Technol. 2009, 60, 245–250. [Google Scholar] [CrossRef]
- Yang, R.; Fang, S.; Li, W.; Yang, Y.; Yue, Z. Experimental Study on the Dynamic Properties of Three Types of Rock at Negative Temperature. Geotech. Geol. Eng. 2019, 37, 455–564. [Google Scholar] [CrossRef]
- Zhu, Z.; Kang, G.; Ma, Y.; Xie, Q.; Zhang, D.; Ning, J. Temperature damage and constitutive model of frozen soil under dynamic loading. Mech. Mater. 2016, 102, 108–116. [Google Scholar] [CrossRef]
- Wang, L.; Qin, Y.; Jia, H.; Su, H.; Chen, S. Study on Mechanical Properties and Energy Dissipation of Frozen Sandstone under Shock Loading. Shock. Vib. 2020, 2020, 8893128. [Google Scholar] [CrossRef]
- Xu, J.; Kang, Y.; Wang, Z.; Wang, X.; Zeng, D.; Su, D. Dynamic Mechanical Behavior of Granite under the Effects of Strain Rate and Temperature. Int. J. Geomech. 2020, 20, 04019177. [Google Scholar] [CrossRef]
- Wen, M.; Xu, J.Y.; Wang, H.Y.; Fang, X.; Zheng, G. Fractography analysis of sandstone failure under low temperature-dynamic loading coupling effects. Chin. J. Rock Mech. Eng. 2017, 36, 3822–3830. [Google Scholar]
- Yang, Y.; Wang, J.G.; Yang, R.S. Analysis of deformation and fracture of the saturated frozen red sandstone under high strain rate. J. Rock Mech. Eng. 2018, 37, 4016–4026. [Google Scholar]
- Liu, C.; Zhang, J.; Deng, H.; Lin, Y.; Li, P.; Ke, B. Energy Dissipation Characteristics and Failure Patterns of Freeze-Thawed Granite in Dynamic Flexural Tension. IEEE Access 2019, 7, 97793–97802. [Google Scholar] [CrossRef]
- Liu, B.; Sun, Y.; Wang, J.; Zhang, G. Characteristic Analysis of Crack Initiation and Crack Damage Stress of Sandstone and Mudstone under Low-Temperature Condition. J. Cold Reg. Eng. 2020, 34, 04020020. [Google Scholar] [CrossRef]
- Inada, Y.; Yokota, K. Some Studies of Low Temperature Rock Strength. Int. J. Rock Mech. Min. Sci. Geomech. Abstr. 1984, 21, 145–153. [Google Scholar] [CrossRef]
- Shen, Y.; Yang, G.; Wang, M.; Zhang, H.; Jia, H.; Rong, T. Experimental and theoretical study on thermal conductivity of rock under cyclic freezing and thawing. Chin. J. Rock Mech. Eng. 2016, 35, 2417–2425. [Google Scholar] [CrossRef]
- Kodama, J.; Goto, T.; Fujii, Y.; Hagan, P. The effects of water content, temperature and loading rate on strength and failure process of frozen rocks. Int. J. Rock Mech. Min. Sci. 2013, 62, 1–13. [Google Scholar] [CrossRef]
- Weng, L.; Wu, Z.; Liu, Q. Dynamic Mechanical Properties of Dry and Water-Saturated Siltstones Under Sub-Zero Temperatures. Rock Mech. 2020, 53, 4381–4401. [Google Scholar] [CrossRef]
- Xing, H.; Wang, M.; Ju, M.; Li, J.; Li, X. Measurement of ejection velocity of rock fragments under dynamic compression and insight into energy partitioning. Int. J. Rock Mech. Min. Sci. 2022, 149, 104992. [Google Scholar] [CrossRef]
- Gu, H.; Tao, M.; Li, X.; Cao, W.; Li, Q. Dynamic response and meso-deterioration mechanism of water-saturated sandstone under different porosities. Measurement 2021, 167, 108275. [Google Scholar] [CrossRef]
- Bischoff, P.H.; Perry, S.H. Compressive behaviour of concrete at high strain rates. Mater. Struct. 1991, 24, 425–450. [Google Scholar] [CrossRef]
- Fu, H.C.; Erki, M.A.; Seckin, M. Review of Effects of Loading Rate on Concrete in Compression. J. Struct. Eng. 1991, 117, 3645–3659. [Google Scholar] [CrossRef]
- Zhou, Z.; Cai, X.; Ma, D.; Du, X.; Chen, L.; Wang, H.; Zang, H. Water saturation effects on dynamic fracture behavior of sandstone. Int. J. Rock Mech. Min. Sci. 2018, 114, 46–61. [Google Scholar] [CrossRef]
- Ping, Q.; Sun, H.; Zhang, C.; Zhou, X. Physics and dynamics characteristics and energy analysis of freeze-thaw limestone. Adv. Civ. Eng. 2020, 2020, 1–12. [Google Scholar] [CrossRef]
- Niu, C.; Zhu, Z.; Zhou, L.; Li, X.; Ying, P.; Dong, Y.; Deng, S. Study on the microscopic damage evolution and dynamic fracture properties of sandstone under freeze-thaw cycles. Cold Reg. Sci. Technol. 2021, 191, 103328. [Google Scholar] [CrossRef]
- Wu, Z.; Zhang, J.; Yu, H.; Ma, H.; Chen, L.; Dong, W.; Huan, Y.; Zhang, Y. Coupling effect of strain rate and specimen size on the compressive properties of coral aggregate concrete: A 3D mesoscopic study. Compos. Part B Eng. 2020, 200, 108299. [Google Scholar] [CrossRef]
- Gao, F.; Cao, S.; Zhou, K.; Lin, Y.; Zhu, L. Damage characteristics and energy-dissipation mechanism of frozen-thawed sandstone subjected to loading. Cold Reg. Sci. 2020, 169, 102920.1–102920.9. [Google Scholar] [CrossRef]
- Weng, L.; Wu, Z.; Liu, Q.; Wang, Z. Energy dissipation and dynamic fragmentation of dry and water-saturated siltstones under sub-zero temperatures. Eng. Fract. Mech. 2019, 220, 106659. [Google Scholar] [CrossRef]
- Aksenov, V.I.; Bubnov, N.G.; Klinova, G.I.; Iospa, A.V.; Gevorkyan, S.G. Water phase transformations in frozen soil under the effect of cryopegs. Water Resour. 2011, 38, 934–943. [Google Scholar] [CrossRef]
- Mironov, V.L.; Savin, I.; Lukin, Y.; Karavaisky, A.Y. Phase transition analysis in freezing moist soils carried out on the basis of phase transitions characteristic to the different types of soil water. In Proceedings of the 2012 IEEE International Geoscience and Remote Sensing Symposium, Munich, Germany, 22–27 July 2012; IEEE: Piscataway, NJ, USA, 2012. [Google Scholar] [CrossRef]
- Jia, H.; Ding, S.; Wang, Y.; Zi, F.; Sun, Q.; Yang, G. An NMR-based investigation of pore water freezing process in sandstone. Cold Reg. Sci. Technol. 2019, 168, 102893. [Google Scholar] [CrossRef]
- Sheng, D.; Axelsson, K.; Knutsson, S. Frost Heave due to Ice Lens Formation in Freezing Soils. Hydrol. Res. 1995, 26, 147–168. [Google Scholar] [CrossRef]
- Thomas, H.R.; Cleall, P.; Li, Y.-C.; Harris, C.; Kern-Luetschg, M. Modelling of cryogenic processes in permafrost and seasonally frozen soils. Geotechnique 2009, 59, 173–184. [Google Scholar] [CrossRef]
- Fu, T.; Zhu, Z.; Ma, W.; Zhang, F. Damage model of unsaturated frozen soil while considering the influence of temperature rise under impact loading. Mech. Mater. 2021, 163, 104073. [Google Scholar] [CrossRef]
- Zhang, H.; Cheng, S.; Zhang, J.; Gao, Z.; Wang, H. Viscoelastic damage model of saturated rock mass based on water-rock co-loading mechanism. J. WUHAN Univ. Technol. 2019, 41, 6. [Google Scholar] [CrossRef]
- Winkler, E.M. Frost damage to stone and concrete geological considerations. Eng. Geol. 1968, 2, 315–323. [Google Scholar] [CrossRef]
- Potter, R.S.; Cammack, J.M.; Braithwaite, C.H.; Church, P.D.; Walley, S.M. Problems Associated with Making Mechanical Measurements on Water–Ice at Quasistatic and Dynamic Strain Rates. J. Dyn. Behav. Mater. 2019, 5, 198–211. [Google Scholar] [CrossRef]
- Potter, R.S.; Cammack, J.M.; Braithwaite, C.H.; Church, P.D.; Walley, S.M. A study of the compressive mechanical properties of defect-free, porous, and sintered water-ice at low and high strain rates. Icarus 2020, 351, 113940. [Google Scholar] [CrossRef]















| P-Wave Velocity (m/s) | Saturated Density (g/cm3) | Elastic Modulus (GPa) | Moisture Content (%) |
|---|---|---|---|
| 3220 ± 230 | 2.475 ± 0.026 | 7.95 ± 0.95 | 3.53 ± 0.30 |
| Temperature (°C) | Strain Rate (s−1) | Peak Stress (MPa) | Peak Strain | Temperature (°C) | Strain Rate (s−1) | Peak Stress (MPa) | Peak Strain |
|---|---|---|---|---|---|---|---|
| −1 | 66.25 | 89.53 | 0.020 | −10 | 85.12 | 107.48 | 0.024 |
| −1 | 69.73 | 103.71 | 0.013 | −10 | 76.15 | 98.04 | 0.022 |
| −1 | 76.56 | 122.53 | 0.017 | −10 | 122.39 | 116.10 | 0.034 |
| −1 | 97.43 | 117.78 | 0.025 | −10 | 172.76 | 107.81 | 0.043 |
| −1 | 116.88 | 131.14 | 0.033 | −10 | 105.59 | 101.49 | 0.029 |
| −3 | 56.11 | 89.52 | 0.013 | −10 | 125.82 | 105.00 | 0.032 |
| −3 | 89.66 | 94.43 | 0.026 | −10 | 142.65 | 105.01 | 0.036 |
| −3 | 154.18 | 134.22 | 0.027 | −20 | 50.05 | 91.04 | 0.013 |
| −3 | 158.81 | 102.62 | 0.038 | −20 | 66.07 | 97.76 | 0.016 |
| −3 | 191.88 | 108.13 | 0.044 | −20 | 56.43 | 96.57 | 0.017 |
| −5 | 70.06 | 82.11 | 0.016 | −20 | 85.03 | 113.85 | 0.02 |
| −5 | 71.06 | 84.17 | 0.018 | −20 | 80.07 | 106.86 | 0.024 |
| −5 | 92.47 | 91.7 | 0.028 | −20 | 86.23 | 112.48 | 0.027 |
| −5 | 111.37 | 92.57 | 0.029 | −20 | 113.99 | 105.04 | 0.029 |
| −5 | 135.66 | 97.03 | 0.035 | −20 | 118.94 | 109.66 | 0.031 |
| −5 | 174.02 | 103.33 | 0.04 | −20 | 123.01 | 124.81 | 0.031 |
| −10 | 50.77 | 82.94 | 0.014 | −20 | 142.07 | 118.34 | 0.038 |
| −10 | 60.16 | 95.76 | 0.015 | −20 | 130.74 | 111.11 | 0.031 |
| Temperature (°C) | Fitting Equation | R2 |
|---|---|---|
| −1 | 0.75 | |
| −3 | 0.62 | |
| −5 | 0.98 | |
| −10 | 0.71 | |
| −20 | 0.79 |
| Temperature (°C) | Fitting Equation | R2 |
|---|---|---|
| −1 | 0.97 | |
| −3 | 0.73 | |
| −5 | 0.97 | |
| −10 | 0.96 | |
| −20 | 0.93 |
Publisher’s Note: MDPI stays neutral with regard to jurisdictional claims in published maps and institutional affiliations. |
© 2022 by the authors. Licensee MDPI, Basel, Switzerland. This article is an open access article distributed under the terms and conditions of the Creative Commons Attribution (CC BY) license (https://creativecommons.org/licenses/by/4.0/).
Share and Cite
Yan, Z.; Li, Z.; Tan, Y.; Ma, L.; Yu, L.; Li, H. Coupling Effects of Strain Rate and Low Temperature on the Dynamic Mechanical Properties of Frozen Water-Saturated Sandstone. Water 2022, 14, 3513. https://doi.org/10.3390/w14213513
Yan Z, Li Z, Tan Y, Ma L, Yu L, Li H. Coupling Effects of Strain Rate and Low Temperature on the Dynamic Mechanical Properties of Frozen Water-Saturated Sandstone. Water. 2022; 14(21):3513. https://doi.org/10.3390/w14213513
Chicago/Turabian StyleYan, Zhiqiang, Zeng Li, Yizhong Tan, Linjian Ma, Liyuan Yu, and Hongya Li. 2022. "Coupling Effects of Strain Rate and Low Temperature on the Dynamic Mechanical Properties of Frozen Water-Saturated Sandstone" Water 14, no. 21: 3513. https://doi.org/10.3390/w14213513
APA StyleYan, Z., Li, Z., Tan, Y., Ma, L., Yu, L., & Li, H. (2022). Coupling Effects of Strain Rate and Low Temperature on the Dynamic Mechanical Properties of Frozen Water-Saturated Sandstone. Water, 14(21), 3513. https://doi.org/10.3390/w14213513
